Sign in to use this feature.

Years

Between: -

Subjects

remove_circle_outline
remove_circle_outline
remove_circle_outline
remove_circle_outline
remove_circle_outline
remove_circle_outline
remove_circle_outline
remove_circle_outline
remove_circle_outline

Journals

remove_circle_outline
remove_circle_outline
remove_circle_outline
remove_circle_outline
remove_circle_outline
remove_circle_outline
remove_circle_outline
remove_circle_outline
remove_circle_outline
remove_circle_outline
remove_circle_outline
remove_circle_outline
remove_circle_outline

Article Types

Countries / Regions

remove_circle_outline
remove_circle_outline
remove_circle_outline
remove_circle_outline
remove_circle_outline
remove_circle_outline

Search Results (903)

Search Parameters:
Keywords = marine environment observation

Order results
Result details
Results per page
Select all
Export citation of selected articles as:
15 pages, 5704 KB  
Article
Synergistic Forcing and Extreme Coastal Abrasion in the Sea of Azov: A Multi-Source Geospatial Assessment
by Samir Misirov, Natalia Yaitskaya, Valerii Kulygin, Anastasiia Magaeva, Sergey Berdnikov and Liudmila Bespalova
Water 2025, 17(24), 3518; https://doi.org/10.3390/w17243518 - 12 Dec 2025
Abstract
Coastal erosion poses a significant threat to global shorelines, exacerbated by anthropogenic pressures and climate change. The Sea of Azov, a shallow, semi-enclosed basin with coastlines composed of weakly consolidated sediments, represents a highly vulnerable and understudied hotspot for abrasion processes. This study [...] Read more.
Coastal erosion poses a significant threat to global shorelines, exacerbated by anthropogenic pressures and climate change. The Sea of Azov, a shallow, semi-enclosed basin with coastlines composed of weakly consolidated sediments, represents a highly vulnerable and understudied hotspot for abrasion processes. This study provides a comprehensive, multi-decadal assessment of coastal retreat rates for the Sea of Azov by synergistically integrating long-term field observations with a multi-temporal analysis of satellite imagery from 1971 to 2022. We employed a diverse array of satellite data, including declassified CORONA, SPOT, Sentinel-2, and high-resolution Resurs-P imagery, which were processed and analyzed within a GIS framework using the Digital Shoreline Analysis System (DSAS). Our results quantify extreme coastal abrasion, revealing maximum retreat rates of 1.0–3.5 m/yr along the eastern Sea of Azov coast and specific sectors of Taganrog Bay. The spatiotemporal analysis identified the period of 2013–2014, marked by two major storms, as a peak of erosional activity across all coastal sectors. This study demonstrates that the spatial distribution of erosion is controlled by a convergence of high-energy wind-wave forcing, low geotechnical resistance of Quaternary sedimentary deposits, and unfavorable coastal morphometry. This research underscores the critical value of merging historical field data with modern geospatial technologies to establish baseline rates, identify erosion hotspots, and inform future coastal zone management strategies in vulnerable marine environments. Full article
(This article belongs to the Special Issue Advanced Remote Sensing for Coastal System Monitoring and Management)
Show Figures

Figure 1

35 pages, 6141 KB  
Article
The Role of Heterogeneous Marine Environmental Regulation in SDGs-Integrated Marine Economic Development
by Lehua Gao, Shuang Yu, Longxuan Zhang, Fengyao Wang and Xueke Yang
Sustainability 2025, 17(24), 11141; https://doi.org/10.3390/su172411141 - 12 Dec 2025
Abstract
With the growing global reliance on marine resources, issues pertaining to the marine environment and the Sustainable Development Goals (SDGs)-integrated development of the marine economy have gained worldwide attention. This study employs the synthetic control method (SCM) and difference-in-differences (DID) approach to assess [...] Read more.
With the growing global reliance on marine resources, issues pertaining to the marine environment and the Sustainable Development Goals (SDGs)-integrated development of the marine economy have gained worldwide attention. This study employs the synthetic control method (SCM) and difference-in-differences (DID) approach to assess the impact of three heterogeneous types of marine environmental regulations—market incentives, command-and-control, and public participation—on the SDGs-integrated development of the marine economy. Special focus is placed on the detailed mechanisms through which these regulatory approaches influence five key dimensions of the SDGs-integrated development of the marine economy. Overall, the results show that market incentive regulation has a significant positive effect on the SDGs-integrated development of the marine economy. In contrast, command-and-control and public participation regulations demonstrate varying degrees of inhibitory influence. Examining the five dimensions of SDGs-integrated development, innovation-driven development, industrial coordination, green construction, open cooperation, and the sharing of livelihoods, market incentive regulation promotes innovation-driven and open cooperation dimensions while inhibiting industrial coordination, green construction, and the sharing of livelihoods. command-and-control regulation positively promotes people’s sharing of livelihoods but negatively impacts the other four dimensions, with the strongest inhibitory effect on the innovation-driven dimension. Public participation regulations inhibit innovation-driven development and the sharing of livelihoods, with the most pronounced suppression observed in innovation-driven development. Conversely, they promote industrial coordination, green construction, and open cooperation. Based on these findings, this paper proposes a series of policy recommendations aimed at achieving coordinated integration between marine ecological governance and SDGs-integrated development of the marine economy. Full article
Show Figures

Figure 1

21 pages, 2218 KB  
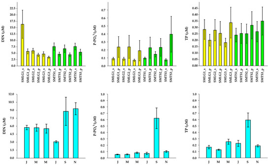
Article
Long-Term Assessment of Trophic State and Environmental Drivers in the Gulf of Trieste (Northern Adriatic Sea) Within the MSFD (D5) Implementation
by Alessandro Acquavita, Nicola Bettoso, Massimo Celio and Francesco Cumani
Environments 2025, 12(12), 482; https://doi.org/10.3390/environments12120482 - 10 Dec 2025
Viewed by 35
Abstract
The trophic status of coastal environments is largely controlled by nutrient inputs, particularly nitrogen and phosphorus, whose excess may lead to eutrophication. The northern Adriatic Sea has historically been affected by these processes, with notable impacts on water quality. This study analyses a [...] Read more.
The trophic status of coastal environments is largely controlled by nutrient inputs, particularly nitrogen and phosphorus, whose excess may lead to eutrophication. The northern Adriatic Sea has historically been affected by these processes, with notable impacts on water quality. This study analyses a time series (2015–2024) collected at six offshore sites in the Gulf of Trieste within the Marine Strategy Framework Directive (MSFD) Descriptor 5. Dissolved Inorganic Nitrogen (DIN) showed marked spatial variability, with 19.9% of samples exceeding the threshold of 6.85 µM. Phosphate concentrations were low (mean 0.17 µM), indicating strong P-limitation (mean N:P ratio = 277). Chlorophyll a concentrations (mean 0.9 ± 0.1 µg L−1) reflected oligotrophic conditions, although 17% of samples exceeded 1.5 µg L−1. Time-series analyses revealed a significant warming trend (+0.1 °C yr−1; p = 0.022) and a significant decrease in chlorophyll a (p = 0.038), while no significant trends were observed for nutrients, dissolved oxygen or TRIX. TRIX values (0.8–6.9) indicated overall good to high ecological status. A trophic–hydrological gradient highlighted the positive influence of river inputs and precipitation on nutrient availability and trophic conditions. These results provide a solid quantitative baseline for MSFD assessments and underscore the role of hydrological and meteorological forcing in shaping trophic variability in the Gulf of Trieste. Full article
Show Figures

Figure 1

17 pages, 5817 KB  
Article
The Cu Ions Releasing Behavior of Cu-Ti Pseudo Alloy Antifouling Anode Deposited by Cold Spray in Marine Environment
by Yan Su, Fulei Cai, Yuhao Wang, Shuai Wu, Hongren Wang, Jiancai Qian, Li Ma and Guosheng Huang
Coatings 2025, 15(12), 1433; https://doi.org/10.3390/coatings15121433 - 5 Dec 2025
Viewed by 187
Abstract
Many special structures such as pipeline, revolving gears, and tanks suffer from biofouling used in marine environment, which could induce serious results in the ship system such as blockage and stuck, consequently lead to failure of the mechanical system and power system. Generally, [...] Read more.
Many special structures such as pipeline, revolving gears, and tanks suffer from biofouling used in marine environment, which could induce serious results in the ship system such as blockage and stuck, consequently lead to failure of the mechanical system and power system. Generally, coatings with antifouling agents are used for protecting metal structures from biofouling, but coatings are not conveniently applicable in the high velocity flowing seawater and narrow space. Electrochlorination and electrolysis of copper and aluminum anode are usually used in these circumstances, but the electric power will lead to stray current corrosion to the component. For the sake of convenience and safety, Cu-Ti pseudo alloy antifouling anode was proposed in this work for antifouling in pipeline and other narrow spaces without external electric power. Four Cu-Ti pseudo alloy antifouling anodes with different Ti contents (mass fraction) of 0 wt.%, 5 wt.%, 10 wt.%, and 15 wt.% were investigated with computational method, and a 15 wt.% Ti content Cu-Ti pseudo alloy antifouling anode was prepared by cold spray, and the microstructure and composition of the anode were observed by scanning electron microscope (SEM) and energy dispersive spectroscopy (EDS). Electrochemical tests were conducted to obtain the corrosion potential, potentiodynamic polarization curve, and micro zone electrochemical information in natural seawater, and the Cu ions releasing behavior were analyzed using inductively coupled plasma (ICP). The results indicated that in natural seawater, copper particles, and titanium particles on the surface of anode samples can form micro galvanic couples. With the increase in Ti mass fraction, the number of micro primary cells composed of copper particles and titanium particles increases, and the corrosion rate of Cu particles increased. When the Ti mass fraction is 15%, the corrosion rate is the fastest, and the copper ion release rate increases by nearly ten times, reaching 147 μg/(cm2·d). This method can effectively accelerate the releasing rate of Cu ions in Cu-Ti pseudo alloy anode and promote the antifouling effect. Full article
(This article belongs to the Section Surface Coatings for Biomedicine and Bioengineering)
Show Figures

Figure 1

20 pages, 6749 KB  
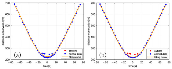
Article
An Improved RANSAC Method for Outlier Detection in OBN Acoustic Positioning
by Yijun Yang, Cuilin Kuang, Baocai Yang, Haonan Zhang, Tao Cui and Kaiwei Sang
Appl. Sci. 2025, 15(23), 12732; https://doi.org/10.3390/app152312732 - 1 Dec 2025
Viewed by 129
Abstract
In ocean bottom node (OBN) seismic exploration, the precise positioning of OBNs directly affects seismic data quality. However, complex marine environments often introduce intricate outliers into collected acoustic positioning data, which severely restricts the positioning accuracy and stability of OBNs. To address issues [...] Read more.
In ocean bottom node (OBN) seismic exploration, the precise positioning of OBNs directly affects seismic data quality. However, complex marine environments often introduce intricate outliers into collected acoustic positioning data, which severely restricts the positioning accuracy and stability of OBNs. To address issues such as poor threshold adaptability and low continuous outlier detection capability in existing outlier detection methods when processing OBN acoustic observation data, this paper proposes a quality control method for seabed acoustic positioning based on an improved Random Sample Consensus (RANSAC) method. This method employs a dynamic threshold that adapts to the observation fitting value and inlier rate, and introduces time-series uniform grouping sampling, thereby optimizing threshold setting and sampling strategy to enhance outlier detection performance and computational efficiency. Simulation results demonstrate that compared to the conventional RANSAC, the improved method exhibits superior outlier detection performance and computational efficiency, while achieving optimal positioning accuracy. Field experiment results demonstrate that the improved method can effectively detect and eliminate both large and small outliers, as well as continuous outliers. Compared to the fixed-threshold method, the improved RANSAC method improves positioning accuracy by 28.8% and 42.2% in the Direction Alongline (DA) and Direction Crossline (DC), respectively. Additionally, it achieves a 13.3% improvement in DA positioning accuracy and a 49.0% increase in computational efficiency over the conventional RANSAC method. The research findings demonstrate that the improved RANSAC method effectively enhances the accuracy and efficiency of OBN positioning, providing technical support for high-precision positioning in complex marine seismic exploration. Full article
Show Figures

Figure 1

18 pages, 987 KB  
Article
Chronic Thermal Effects on Growth, Osmoregulation, and Stress Physiology in Chum Salmon (Oncorhynchus keta) Smolt
by Balamuralikrishnan Balasubramanian, Kiyoung Kim, Junwon Kim, Doosun Hwang, Eun-Young Yun, Young Chul Kim and Jang-Won Lee
Fishes 2025, 10(12), 616; https://doi.org/10.3390/fishes10120616 - 1 Dec 2025
Viewed by 286
Abstract
Chum salmon (Oncorhynchus keta) is undergoing aquaculture development in the Republic of Korea (ROK). Understanding its thermal biology, including the identification of optimal and suboptimal temperature ranges, is essential for sustainable aquaculture, particularly in a warming marine environment. In this study, [...] Read more.
Chum salmon (Oncorhynchus keta) is undergoing aquaculture development in the Republic of Korea (ROK). Understanding its thermal biology, including the identification of optimal and suboptimal temperature ranges, is essential for sustainable aquaculture, particularly in a warming marine environment. In this study, we aimed to assess the optimal temperature range and high-temperature effects in chum salmon smolt reared at 10, 14, 18, and 22 °C for 6 weeks. Specifically, we evaluated growth performance, osmoregulatory capacity, health indicators, and endocrine and cellular stress responses after 3 and 6 weeks of exposure. After 6 weeks, the growth performance peaked at 18 °C, whereas both growth and body lipid reserve significantly declined at 22 °C despite sustained appetite. Growth was also significantly lower at 10 °C. Plasma osmolality and ion concentration did not change with increasing temperature. While hematocrit (Hct) and red blood cell count (RBCC) significantly decreased at 18 °C and 22 °C, hemoglobin concentration did not change significantly. The typical endocrine stress response was not observed; rather, cortisol levels decreased at 22 °C, whereas hepatic Heat Shock Protein (HSP)70 and HSP90 mRNA expressions were significantly upregulated at both 18 °C and 22 °C, with the markedly higher induction at 22 °C. These findings collectively indicate the onset of cellular stress at temperatures of 18 °C or higher. Despite the peak growth performance and competent osmoregulation performance at 18 °C, the concurrent induction of heat shock responses and decreases in Hct and RBCC suggest that the physiological optimum lies below 18 °C. Taken together, these findings suggest that maintaining rearing temperatures above 10 °C and below 18 °C is advisable to promote growth while minimizing cellular stress in aquaculture settings. Full article
(This article belongs to the Special Issue Stress Physiology in Aquatic Animals)
Show Figures

Figure 1

13 pages, 3931 KB  
Communication
Promoting Biofilm Formation by Serratia marcescens on Three Types of Artificially Aged Microplastics Under Marine Conditions
by Manildo Marcião de Oliveira, Nikolas Gomes Silveira de Souza, Rachel Ann Hauser-Davis, Renato Matos Lopes, Victor Barbosa Saraiva, Ocimar Ferreira de Andrade, Jader Lugon, Antônio Silva Neto, Carla C. C. R. de Carvalho and Ramiro Neves
Microplastics 2025, 4(4), 95; https://doi.org/10.3390/microplastics4040095 - 1 Dec 2025
Viewed by 203
Abstract
Bacterial biofilms on different types of microplastics in aquatic environments have become an increasing ecological and public health concern. In this context, this study investigated biofilm formation on virgin and aged microplastics under marine conditions. Serratia marcescens biofilm formation was observed on both [...] Read more.
Bacterial biofilms on different types of microplastics in aquatic environments have become an increasing ecological and public health concern. In this context, this study investigated biofilm formation on virgin and aged microplastics under marine conditions. Serratia marcescens biofilm formation was observed on both virgin and aged polyethylene particles after 7 days, with no significant changes by day 14. Concerning polypropylene microplastics, biofilms developed on aged particles but were not detectable on virgin particles, likely due to interference from the polypropylene red color matching S. marcescens cells. In contrast, expanded polystyrene spheres showed an initial biofilm formation that dissipated by day 14, potentially due to toxic residues from photooxidation, including potential styrene monomers and other chemical additives, inhibiting biofilm persistence. These findings indicate differences in biofilm formation across microplastics types, which may influence microplastic buoyancy and ecological impacts. Thus, microplastic color and additives should be considered in future studies on microplastics biofilm formation and biofouling. Full article
Show Figures

Figure A1

23 pages, 7162 KB  
Article
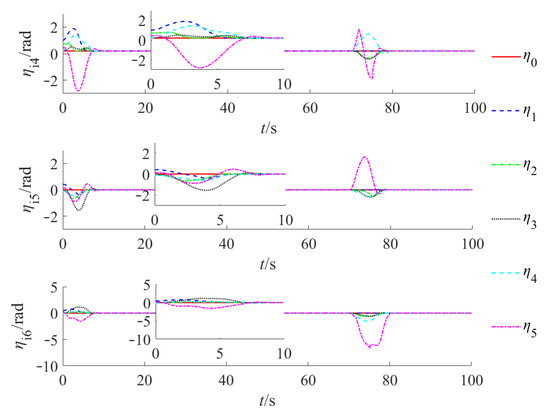
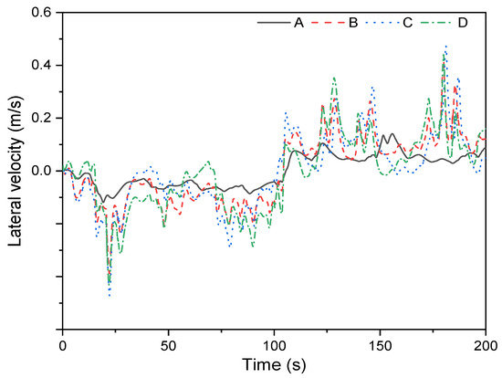
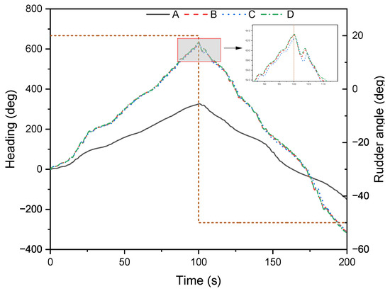
Motion Characteristics Analysis of the Wave Glider Under Wave and Current Coupling
by Paixia Li, Liangtian Gu and Liucun Zhu
J. Mar. Sci. Eng. 2025, 13(12), 2272; https://doi.org/10.3390/jmse13122272 - 28 Nov 2025
Viewed by 168
Abstract
The wave glider is an unmanned marine observation platform propelled by wave energy. Accurate prediction of its motion performance is crucial for structural design and motion control. This paper presents a four-degree-of-freedom nonlinear coupled dynamic model for wave gliders in complex marine environments, [...] Read more.
The wave glider is an unmanned marine observation platform propelled by wave energy. Accurate prediction of its motion performance is crucial for structural design and motion control. This paper presents a four-degree-of-freedom nonlinear coupled dynamic model for wave gliders in complex marine environments, developed using a separated-body modeling approach. The model incorporates the torsional properties of the umbilical cable and includes coupled environmental forces that account for wave–current interactions. Simulation results demonstrate that the proposed model agrees well with existing studies. Based on the model, experimental analyses were conducted to investigate the turning and heading tracking performance under various operational conditions. The findings reveal that the rudder angle determines the radius and direction. The significant wave height influences the longitudinal velocity and turning rate; the average longitudinal velocity increases from 0.15m/s (at 0.5m wave height) to 0.3m/s (at 1.25m wave height), leading to a notable increase in turning cycles per unit time. Current disturbances cause trajectory drift, the pattern of which depends on the wave–current angle, exhibiting a distinct η-direction offset under 90 conditions. A conventional PID controller fails to achieve precise heading maintenance under second-order wave forces. The surface float exhibits more pronounced oscillations than the submerged glider, and the heading deviation becomes more severe at a wave height of 1.25m. Full article
(This article belongs to the Section Ocean Engineering)
Show Figures

Figure 1

16 pages, 1142 KB  
Article
Representativeness Error Assessment and Multi-Method Scaling of HY-2B Altimeter Significant Wave Height
by Sheng Yang, Lu Zhang, Hailong Peng, Wu Zhou, Qingjun Song, Bo Mu and Yufei Zhang
Remote Sens. 2025, 17(23), 3829; https://doi.org/10.3390/rs17233829 - 26 Nov 2025
Viewed by 225
Abstract
Satellite altimeters provide global observations of significant wave height (SWH, in m), yet buoy-based validation is affected by representativeness errors and sampling mismatches. This study develops a consistent framework for validating and scaling HY-2B SWH that integrates nearest-point spatiotemporal collocation, sea-state-binned diagnostics, three [...] Read more.
Satellite altimeters provide global observations of significant wave height (SWH, in m), yet buoy-based validation is affected by representativeness errors and sampling mismatches. This study develops a consistent framework for validating and scaling HY-2B SWH that integrates nearest-point spatiotemporal collocation, sea-state-binned diagnostics, three complementary calibration schemes (bias correction, ordinary least-squares (OLS) linear regression scaling, and machine-learning residual correction), and Extended Triple Collocation (ETC) for sensor-independent uncertainty estimates. The dataset includes HY-2B SWH, National Data Buoy Center (NDBC) buoy records, seven buoys in the Taiwan Strait, and the sea surface significant wave height (VHM0, in m) from the Copernicus Marine Environment Monitoring Service (CMEMS) Global Wave Reanalysis. Sensitivity tests show that tightening the collocation radius from 100 to 25 km reduces scatter (RMSE/STD) while preserving near-zero bias; correlations remain ≥0.97 for 25–50 km but degrade at larger windows, underscoring representativeness effects. Error metrics increase monotonically with sea state, whereas mean biases remain small. ETC applied to HY-2B, NDBC, and CMEMS yields random error standard deviations of 0.158, 0.147, and 0.179 m, respectively, with squared correlation coefficients (ρ2) of approximately 0.960.98 for all systems. Scaling experiments reveal a data-quality-dependent behavior: for NDBC matchups, HY-2B already agrees closely with buoys (e.g., RMSE ≈ 0.24 m), and additional scaling brings no benefit; for the Taiwan Strait buoys, all three schemes improve agreement (RMSE ≈ 0.41 m; correlation ≈ 0.95), with the residual machine-learning model providing the largest reduction in random error. The results support a practical protocol for HY-2B SWH validation: a 30 min/25–50 km window, modest outlier screening, and selective use of linear or residual corrections depending on buoy network and environment. Full article
(This article belongs to the Section Ocean Remote Sensing)
Show Figures

Figure 1

30 pages, 4729 KB  
Article
Fixed-Time Event-Triggered Fault-Tolerant Formation Control for Autonomous Underwater Vehicle Swarms
by Zhuo Wang, Shukai Jiang, Yifan Xue, Xiaokai Mu and Chong Wang
J. Mar. Sci. Eng. 2025, 13(12), 2249; https://doi.org/10.3390/jmse13122249 - 26 Nov 2025
Viewed by 203
Abstract
Autonomous Underwater Vehicle (AUV) swarms possess advantages such as efficiency, reliability, flexibility, and extensive coverage in underwater operations. However, their coordinated control is challenged by communication interruptions and actuator failures in complex marine environments. This paper proposes a fixed-time event-triggered fault-tolerant formation control [...] Read more.
Autonomous Underwater Vehicle (AUV) swarms possess advantages such as efficiency, reliability, flexibility, and extensive coverage in underwater operations. However, their coordinated control is challenged by communication interruptions and actuator failures in complex marine environments. This paper proposes a fixed-time event-triggered fault-tolerant formation control method to address these challenges. First, the Prim algorithm and the Hungarian algorithm are employed to reconstruct the communication topology, mitigating AUV disconnections due to communication failures and ensuring formation stability. Second, a fixed-time extended state observer (ESO) is designed to estimate the lumped disturbance arising from model uncertainties, unknown ocean disturbances, and actuator failures. Finally, a performance function is introduced to reformulate error variables, and a fixed-time event-triggered formation control law is developed based on an auxiliary saturation system and an event-triggering mechanism. In addition, this paper demonstrates the stability of the entire closed-loop system, and no Zeno phenomenon will occur. Simulation experiments demonstrate the effectiveness and superiority of the proposed method in maintaining robust formation control of AUV systems under adverse conditions. Full article
(This article belongs to the Special Issue Advancements in Autonomous Systems for Complex Maritime Operations)
Show Figures

Figure 1

20 pages, 3610 KB  
Article
Heat Shock Protein 104 (Hsp104) in the Marine Diatom Ditylum brightwellii: Identification and Transcriptional Responses to Environmental Stress
by Han-Sol Kim, Jong-Won Lee and Jang-Seu Ki
Genes 2025, 16(12), 1408; https://doi.org/10.3390/genes16121408 - 26 Nov 2025
Viewed by 381
Abstract
Backgrounds: The marine diatom Ditylum brightwellii has been widely used as a model species for ecotoxicological assessments in marine environments. Heat shock proteins (Hsps) function as molecular chaperones that protect cells under diverse stress conditions. Of them, Hsp104 participates in the protein restoration [...] Read more.
Backgrounds: The marine diatom Ditylum brightwellii has been widely used as a model species for ecotoxicological assessments in marine environments. Heat shock proteins (Hsps) function as molecular chaperones that protect cells under diverse stress conditions. Of them, Hsp104 participates in the protein restoration system by reversing protein aggregation. Methods: In the present study, we determined the full-length sequence of DbHsp104 in D. brightwellii using transcriptome sequencing and gene cloning. Results: The open reading frame (ORF) was 2745 bp in length, encoding a protein of 915 amino acids (101.15 kDa). Phylogenetic and domain structural analysis revealed that DbHsp104 possesses conserved features of eukaryotic Hsp104. In addition, transcriptional responses of the gene were evaluated after exposures to thermal stress at 20, 25, and 30 °C, and heavy metals and endocrine-disrupting chemicals (EDCs) for 24 h. Relative gene expression analysis showed that DbHsp104 was significantly up-regulated under thermal stress and copper exposures, peaking at 4.87- and 5.55-fold (p < 0.001) increases, respectively. In contrast, no significant changes were observed in response to nickel, bisphenol A (BPA), polychlorinated biphenyl (PCB), and endosulfan (EDS) treatments. Conclusions: These results suggest that DbHsp104 is specifically responsive to acute stress induced by thermal stress and copper, highlighting its potential as a molecular biomarker in marine environments. Full article
(This article belongs to the Section Genes & Environments)
Show Figures

Figure 1

21 pages, 4335 KB  
Article
Screening and Identification of Hnf1ba-slc12a1 Signal Pathway in Response to Low-Salinity Stress in Marine Medaka (Oryzias melastigma)
by Binghua Liu, Lei Lin, Meng Wang, Jingjing Zhang, Yu Yang, Hong-Yan Wang and Changwei Shao
Int. J. Mol. Sci. 2025, 26(23), 11402; https://doi.org/10.3390/ijms262311402 - 25 Nov 2025
Viewed by 206
Abstract
Euryhaline fishes provide excellent material for the theoretical study of the broad-spectrum adaptability of organisms and the use of low-salinity and even freshwater environments, or high-salinity and seawater environments, for the domestication of fishes. Here, we studied the molecular mechanisms of osmotic pressure [...] Read more.
Euryhaline fishes provide excellent material for the theoretical study of the broad-spectrum adaptability of organisms and the use of low-salinity and even freshwater environments, or high-salinity and seawater environments, for the domestication of fishes. Here, we studied the molecular mechanisms of osmotic pressure regulation in a euryhaline fish, marine medaka (Oryzias melastigma). As the fish progressed from seawater to freshwater, the changes in stress indicators (cortisol—COR; malondialdehyde—MDA; reactive oxygen species—ROS; superoxide dismutase—SOD) indicated that they gradually adapted to the freshwater environment. The transcriptome analysis also showed that there were 6850 DEGs (differentially expressed genes) involved in the process. By analyzing these DEGs deeply, we screened and identified the Hnf1ba-slc12a1 signal pathway involved in osmotic pressure regulation. The results of a dual-luciferase reporter assay in HEK293T cells, as well as an overexpression experiment by in vitro cultured gill cells of O. melastigma, confirmed that Hnf1ba transcriptionally regulates the slc12a1 gene. Fragment deletion and site-directed mutagenesis assays revealed a Hnf1ba-binding sequence (GATTAATCATTTACT, located at −1877 to −1863) in the slc12a1 promoter. Based on this result, we conducted a targeted regulation experiment on the slc12a1 gene using the CRISPR-dCas9 & Sun-Tag system. The most effective activation of slc12a1 gene expression was observed in the sgRNA2 group. These results enhance our understanding of adaptation mechanisms in salt-tolerant fish and provide a reference for efficiently promoting the domestication of fish adaptive to salinity changes. Full article
(This article belongs to the Section Molecular Biology)
Show Figures

Figure 1

34 pages, 8174 KB  
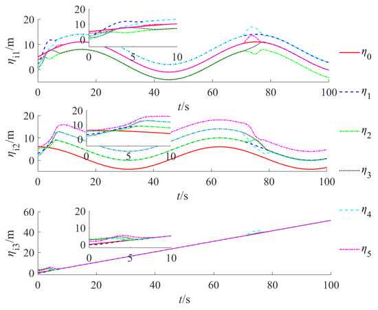
Article
Formation Control of Underactuated AUVs Based on Event-Triggered Communication and Fractional-Order Sliding Mode Control
by Long He, Ya Zhang, Shizhong Li, Bo Li, Mengting Xie, Zehui Yuan and Chenrui Bai
Fractal Fract. 2025, 9(12), 755; https://doi.org/10.3390/fractalfract9120755 - 21 Nov 2025
Viewed by 414
Abstract
To address the challenges faced by multiple autonomous underwater vehicles (AUVs) in formation control under complex marine environments—such as model uncertainties, external disturbances, dynamic communication topology variations, and limited communication resources—this paper proposes an integrated control framework that combines robust individual control, distributed [...] Read more.
To address the challenges faced by multiple autonomous underwater vehicles (AUVs) in formation control under complex marine environments—such as model uncertainties, external disturbances, dynamic communication topology variations, and limited communication resources—this paper proposes an integrated control framework that combines robust individual control, distributed cooperative formation, and dynamic event-triggered communication. At the individual control level, a robust control method based on a fractional-order sliding mode observer (FOSMO) and a fractional-order terminal sliding mode controller (FOTSMC) is developed. The observer exploits the memory and broadband characteristics of fractional calculus to achieve high-precision estimation of lumped disturbances, while the controller constructs a non-integer-order sliding surface with an adaptive gain law to guarantee finite-time convergence of tracking errors. At the formation coordination level, a distributed trajectory generation method based on dynamic consensus is proposed to achieve reference trajectory planning and formation maintenance in a cooperative manner. At the communication level, a dynamic-threshold event-triggered mechanism is designed, where the triggering condition is adaptively adjusted according to the state errors, thereby significantly reducing communication load and energy consumption. Theoretically, Lyapunov-based analysis rigorously proves the stability and convergence of the closed-loop system. Numerical simulations confirm that the proposed method outperforms several benchmark algorithms in terms of tracking accuracy and disturbance rejection. Moreover, the integrated framework maintains precise formation under communication topology variations, achieving a communication reduction rate exceeding 65% compared to periodic protocols while preserving coordination accuracy. Full article
Show Figures

Figure 1

15 pages, 3422 KB  
Article
Comparative Study of Atmospheric Polycyclic Aromatic Hydrocarbons (PAHs) and Nitro-PAHs at Marine and Forest Background Stations in Shimane, Japan (2022–2024)
by Yan Wang, Pengchu Bai, Xuan Zhang, Shingo Matsumoto, Tamon Yamashita, Masa-aki Yoshida, Seiya Nagao, Ammara Habib, Bushra Khalid, Lulu Zhang, Bin Chen and Ning Tang
Atmosphere 2025, 16(11), 1311; https://doi.org/10.3390/atmos16111311 - 20 Nov 2025
Viewed by 328
Abstract
To clarify the pollution characteristics of polycyclic aromatic hydrocarbons (PAHs) and nitro-PAHs (NPAHs) in the East Asian monsoon region under different atmospheric environments and to assess their potential influences on receptor areas, this study selected two background monitoring stations with different environments in [...] Read more.
To clarify the pollution characteristics of polycyclic aromatic hydrocarbons (PAHs) and nitro-PAHs (NPAHs) in the East Asian monsoon region under different atmospheric environments and to assess their potential influences on receptor areas, this study selected two background monitoring stations with different environments in Shimane Prefecture, Japan: a marine station (MB) and a forest station (SF). PM2.5 samples were simultaneously collected using a high-volume sampler during the summer and winter of 2022–2023, and ten PAHs and three NPAHs were quantified using HPLC. The concentrations of PAHs and NPAHs at MB and SF exhibited significant seasonal variations in 2022 (winter > summer). However, in 2023, a clear seasonal difference was observed only at MB. Isomer ratio analysis of PAHs at both stations indicated that traffic emissions and biomass or coal combustion were major contributors. Seasonal variations in the [2-NFR]/[1-NP] ratio indicated that, while high ratios at MB and SF during summer were mainly associated with local photochemical formation, low ratios in winter reflected long-range transportation of combustion-derived PAHs and NPAHs from the Asian continent. Incremental lifetime cancer risk values (10−7 to 10−11) indicated that even at background stations, the atmospheric environment poses certain health risks. This first comparative investigation of PAHs and NPAHs at two distinct background stations in Shimane again highlights the importance of international cooperation among East Asian countries for effective air pollution control. Full article
(This article belongs to the Section Air Quality and Health)
Show Figures

Figure 1

22 pages, 875 KB  
Article
Water-State-Aware Spatiotemporal Graph Transformer Network for Water-Level Prediction
by Ziang Li, Wenru Zhang, Zongying Liu, Shaoxi Li, Jiangling Hao and Chu Kiong Loo
J. Mar. Sci. Eng. 2025, 13(11), 2187; https://doi.org/10.3390/jmse13112187 - 18 Nov 2025
Viewed by 317
Abstract
Accurate water-level prediction is a critical component for ensuring safe maritime navigation, optimizing port operations, and mitigating coastal flooding risks. However, the complex, non-linear spatiotemporal dynamics of water systems pose significant challenges for current forecasting models. The proposed framework introduces three key innovations. [...] Read more.
Accurate water-level prediction is a critical component for ensuring safe maritime navigation, optimizing port operations, and mitigating coastal flooding risks. However, the complex, non-linear spatiotemporal dynamics of water systems pose significant challenges for current forecasting models. The proposed framework introduces three key innovations. First, a dual-weight graph construction mechanism integrates geographical proximity with Dynamic Time Warping (DTW)-derived temporal similarity to better represent hydrodynamic connectivity in coastal and estuarine environments. Second, a state-aware weighted loss function is designed to enhance predictive accuracy during critical hydrological events, such as storm surges and extreme tides, by prioritizing the reduction in errors in these high-risk periods. Third, the WS-STGTN architecture combines graph attention with temporal self-attention to capture long-range dependencies in both space and time. Extensive experiments are conducted using water-level data from five stations in the tidal-influenced lower Yangtze River, a vital artery for shipping and a region susceptible to coastal hydrological extremes. The results demonstrate that the model consistently surpasses a range of baseline methods. Notably, the WS-STGTN achieves an average reduction in Mean Squared Error (MSE) of 27.6% compared to the standard Transformer model, along with the highest coefficient of determination (R20.96) across all datasets, indicating its stronger explanatory power for observed water-level variability. This work provides a powerful tool that can be directly applied to improve coastal risk management, marine navigation safety, and the operational planning of port and coastal engineering projects. Full article
(This article belongs to the Section Ocean Engineering)
Show Figures

Figure 1

Back to TopTop