Next Article in Journal
Numerical Comparison of Piston-, Flap-, and Double-Flap-Type Wave Makers in a Numerical Wave Tank
Previous Article in Journal
Numerical Analysis of Water-Injection Drag Reduction on a Flat Plate
 
 
Font Type:
Arial Georgia Verdana
Font Size:
Aa Aa Aa
Line Spacing:
Column Width:
Background:
Article

Motion Characteristics Analysis of the Wave Glider Under Wave and Current Coupling

1
College of Mechanical Engineering, Guangxi University, Nanning 530004, China
2
College of Mechanical and Marine Engineering, Beibu Gulf University, Qinzhou 535011, China
3
School of Computer, Shandong Xiehe University, Jinan 250109, China
*
Author to whom correspondence should be addressed.
J. Mar. Sci. Eng. 2025, 13(12), 2272; https://doi.org/10.3390/jmse13122272
Submission received: 1 November 2025 / Revised: 25 November 2025 / Accepted: 26 November 2025 / Published: 28 November 2025
(This article belongs to the Section Ocean Engineering)

Abstract

The wave glider is an unmanned marine observation platform propelled by wave energy. Accurate prediction of its motion performance is crucial for structural design and motion control. This paper presents a four-degree-of-freedom nonlinear coupled dynamic model for wave gliders in complex marine environments, developed using a separated-body modeling approach. The model incorporates the torsional properties of the umbilical cable and includes coupled environmental forces that account for wave–current interactions. Simulation results demonstrate that the proposed model agrees well with existing studies. Based on the model, experimental analyses were conducted to investigate the turning and heading tracking performance under various operational conditions. The findings reveal that the rudder angle determines the radius and direction. The significant wave height influences the longitudinal velocity and turning rate; the average longitudinal velocity increases from 0.15 m / s (at 0.5 m wave height) to 0.3 m / s (at 1.25 m wave height), leading to a notable increase in turning cycles per unit time. Current disturbances cause trajectory drift, the pattern of which depends on the wave–current angle, exhibiting a distinct η -direction offset under 90 conditions. A conventional PID controller fails to achieve precise heading maintenance under second-order wave forces. The surface float exhibits more pronounced oscillations than the submerged glider, and the heading deviation becomes more severe at a wave height of 1.25 m .

1. Introduction

The wave glider (WG) is an unmanned marine vehicle propelled by wave energy and powered by solar panels for instrument communication, control, positioning, navigation, and sensor data acquisition [1]. Its structure comprises the surface float (SF), an intermediate umbilical cable, and the submarine glider (SG), as shown in Figure 1. The working principle is illustrated in Figure 2, while the forces acting on the SG’s hydrofoils during upward and downward motion are depicted in Figure 3. As the SF heaves with the waves, it transmits this motion to the SG via the umbilical cable. The six pairs of hydrofoils mounted on the SG undergo a passive pitching motion, generating forward thrust to propel the WG. The umbilical cable assumes the role of communication and connection, composed of a junction box, a flexible armored cable, and shock absorbers. The flexible armored cable is designed as a flat cable, featuring a 6 × 7 galvanized steel wire core for load-bearing and tensile strength, with an outer jacket of rubber sealing. Relying on natural energy sources for long-term endurance and capable of withstanding severe open-ocean waves and strong winds [2], the WG has been widely deployed in various fields, including marine science data collection [3,4,5], weather observation [6], and fish monitoring [7,8,9,10].
The WG, as a rigid-flexible coupled multibody structure, differs from traditional oceanic vehicles. It rises and sinks under wave action to realize continuous forward motion, and the umbilical cable and hydrofoils have strong nonlinear forces. To achieve the optimal control of its trajectory tracking and yaw prediction, it is crucial to establish a dynamic model applicable to the WG. The existing dynamics models mainly include the unified model, the two-dimensional model, and the separation model. The unified model is an early modeling method that establishes a six-degree-of-freedom (DOF) dynamic model of the WG as a whole system [11,12]. However, subsequent studies have found that it cannot reflect the motion lag between the SF and the SG [13]. The two-dimensional model only considers vertical and horizontal motions, treats the umbilical cable as a truss structure [14], and does not consider steering motions. This limitation makes it incapable of providing accurate position and angle calculations for heading control and path tracking. The separation model considers the umbilical cable as elastic and establishes the dynamic models of the SF and the SG separately, which means it can reflect more system states, but it still has some problems. Sun et al. [15] ignored the sway and yaw motions. Wang et al. [16] dismissed the heave motion of the SF and did not establish a nonlinear model for the umbilical cable. Sang et al. [17] ignored the heave motion of the SF, did not analyze the nonlinear force of the hydrofoils, and considered that the yaw moments generated at both ends of the umbilical were the same. Zhang et al. [18] and Wang et al. [19] concluded that the umbilical only produces tension, resulting in an inability to control the heading of the SF. By analyzing the structure and working principle of the WG, the SF generates heave motion under the action of waves, and the umbilical cable drives the hydrofoil of the SG to turn over and generate a forward motion force to realize continuous navigation. The WG only installs the rudder at the rear part of the SG to realize yaw control. Wang et al. [13] clarified that the active control moment for the SF’s turning is generated by the tension moment in the umbilical through the test.
As a wave-propelled vehicle, the WG’s motion modeling must account for numerous marine environmental factors to be accurate. Accurate modeling of the marine environment is essential for accurately predicting the maneuverability of wave gliders. In wave modeling, waves are simplified as regular sinusoids [16] and harmonic functions [20], while in the analysis of wave dynamics [21], waves are considered long-peaked irregular forms. In the wave force calculation, Kraus thought that only the wave force in the heave direction should be considered [12]; this later developed into the use of wave drift coefficients [17], as well as the probability density of Rayleigh [22] distribution to describe the wave force. To obtain higher wave force accuracy, the response amplitude operators (RAOs) [23] were gradually used to establish a wave force model. Wang et al. [19] constructed maneuvering equations containing first-order and second-order wave force RAOs in Simulink and performed motion simulation. Feng et al. [24] investigated the effects of regular and irregular waves on restoring the spring stiffness of the WG’s hydrofoil, finding that irregular waves require the hydrofoil to have a higher restoring spring stiffness compared to conditions under regular waves. Feng et al. [25] simplified the umbilical cable as a rigid body and analyzed the inner relationships between environmental parameters, motion characteristics, and dynamic response. The environmental parameters included regular wave height, wave period, and current velocity. Li et al. [26] studied the effects of inflow velocity and wave heave amplitude on vortex street formation between tandem hydrofoils and their propulsive force, proposing a variable-pitch tandem hydrofoil structure. Sang et al. [27] investigated the vortex-induced vibration of the umbilical cable under uniform incoming flow and designed an NACA cable. Furthermore, the impact of environmental modeling on path tracking [28] and station keeping [29] has also been studied.
The WG operates in complex marine environments, making it essential to account for oceanic influences. Due to the umbilical connection, they constitute a unique coupled two-body structure. In real ocean environments, waves are irregular and unpredictable. Although detailed studies exist on the dynamic modeling and motion performance of WG, most rely on simplified assumptions of regular waves and rigid umbilical cables. However, these studies often fail to fully capture the multi-factor coupling effects of irregular waves and complex currents in real marine environments, particularly the combined mechanisms influencing the system’s longitudinal and turning motion performance under such coupled conditions, which need further elucidation.
This paper aims to systematically investigate the coupled effects of complex marine environments on the motion performance of WGs, providing a theoretical basis for high-precision motion control. Using a separated modeling approach, we establish a nonlinear dynamic model of the coupled two-body system that accounts for the characteristics of the umbilical cable. The reliability of the developed model is confirmed through numerical simulations validated against literature data. Through dynamic simulations that introduce irregular waves and multi-directional currents, the influence of wave and current parameters on motion speed, heading angle, and navigation trajectory is analyzed to evaluate the motion performance of the WG under various operating conditions.
As the WG mainly relies on the waves for forward propulsion, this study focuses on its heave, surge, sway, and yaw motion. We assume that the mass of both the SF and the SG is uniformly distributed. As a model simplification, the fluid-induced damping and drag on the umbilical cable are neglected. The remainder of this paper is structured as follows: Section 2 establishes independent four-DOF models for the SF, the SG, and the umbilical cable. Section 3 presents the model simulations and numerical validation. Section 4 provides a comprehensive simulation analysis, investigating the effects of wave–current interactions on the turning maneuverability and heading control performance. Finally, Section 5 concludes the paper.

2. Theoretical Modeling and Analysis of the Wave Glider

2.1. Coordinate Systems

To simplify the modeling process, the following reasonable assumptions are adopted from previous works.
Assumption 1.
The pitch and roll motions of both the SF and SG are neglected [22].
Assumption 2.
The masses of the SF and the SG are uniformly distributed and symmetric about the x z plane [19,30].
Assumption 3.
The origin O of the body-fixed frame is located at the center of mass of each body [21].
The motion of the WG is described using three coordinate systems, as shown in Figure 4. There are two body-fixed coordinates { b } (including the SF coordinate { F } and the SG coordinate { G } ) and the global coordinate { n } .
Specifically:
(1) The SF coordinate { F } = ( x F , y F , z F ) with origin O F fixed to the center of the SF, x F points to the yaw, y F points to the starboard, and z F points vertically downward.
(2) The SG coordinate { G } = ( x G , y G , z G ) with origin O G fixed to the center of the SG, x G points to the yaw, y G points to the starboard, and z G points vertically downward.
(3) The global coordinate { n } = ( ξ , η , ζ ) is the North-East-Down coordinate system.
For WGs, the six different motions are defined as surge, sway, heave, roll, pitch, and yaw, which are described in Table 1.
Given the Euler angles ϕ , θ and ψ . The Euler angle rotation matrix R b n ( Θ n b ) is written
R b n ( Θ n b ) = cos ψ sin ψ 0 sin ψ cos ψ 0 0 0 1 cos θ 0 sin θ 0 1 0 sin θ 0 cos θ 1 0 0 0 cos ϕ sin ϕ 0 sin ϕ cos ϕ
The transformation matrix for the Euler angle rates T Θ ( Θ n b ) is written
T Θ ( Θ n b ) = 1 sin ϕ tan θ cos ϕ tan θ 0 cos ϕ sin ϕ 0 sin ϕ cos θ cos ϕ cos θ
The 6 DOF kinematic equations can be expressed in vector form as
η ˙ = J Θ ( η ) υ
where, η is the position of the rigid body in { n } ,
η = [ ξ , η , ζ , ϕ , θ , ψ ] T
and υ is the velocity of the rigid body in { b } ,
υ = [ u , v , w , p , q , r ] T
The Kinematic Transformation Matrix is
J Θ ( η ) = R b n ( Θ n b ) 0 3 × 3 0 3 × 3 T Θ ( Θ n b )
The relationship between the global coordinate system and the wave glider’s body-fixed coordinate system is defined by Euler angles.
For the SF,
ξ F η F ζ F = R F n ( Θ n F ) x F y F z F
with
R F n ( Θ n F ) = c ψ F c θ F s ψ F c ϕ F + c ψ F s θ F s ϕ F s ψ F s ϕ F + c ψ F c ϕ F s θ F s ψ F c θ F c ψ F c ϕ F + s ϕ F s θ F s ψ F c ψ F s ϕ F + s θ F s ψ F c ϕ F s θ F c θ F s ϕ F c θ F c ϕ F
where s · = sin ( · ) and c · = cos ( · ) .
Similarly, for the SG,
ξ G η G ζ G = R G n ( Θ n G ) x G y G z G
with
R G n ( Θ n G ) = c ψ G c θ G s ψ G c ϕ G + c ψ G s θ G s ϕ G s ψ G s ϕ G + c ψ G c ϕ G s θ G s ψ G c θ G c ψ G c ϕ G + s ϕ G s θ G s ψ G c ψ G s ϕ G + s θ G s ψ G c ϕ G s θ G c θ G s ϕ G c θ F c ϕ G

2.2. Dynamic Modelling of the SF

The SF operates on the water’s surface and is connected to the SG via an umbilical cable. It is subjected to nonlinear umbilical forces and environmental forces from waves and currents. The three-dimensional motion control of the SF can be decoupled into control in the vertical plane (heave motion) and horizontal plane (surge, sway and yaw motions). Based on this principle, this paper establishes four-DOF dynamic models of the SF.
The dynamic model of the SF is expressed as
M R B F υ ˙ F + C R B F ( υ F ) υ F + M A F υ ˙ r F + C A F ( υ r F ) υ r F + D F ( υ r F ) υ r F + g ( η F ) = τ w a v e + τ 1 u m
where M R B F and M A F are the rigid-body and added mass matrices of the SF, respectively; C R B F ( υ F ) and C A F ( υ r F ) are the corresponding rigid-body and added-mass Coriolis-centripetal matrices.
M R B F = m F 0 0 0 0 m F 0 0 0 0 m F 0 0 0 0 I z z F
M A F = X u ˙ F 0 0 0 0 Y v ˙ F 0 0 0 0 Z w ˙ F 0 0 0 0 N r ˙ F
C R B F ( υ F ) = M R B F L u r F
C A F ( υ r F ) = M A F L u r F
υ r F = υ F υ c F = u r F , v r F , w r F , r F T
Assumption 4.
The SF is located at the sea surface, where the ocean current velocity is υ c F .
υ c F = [ u c F , v c F , w c F , 0 ] T
L = 0 0 0 0 0 0 0 1 0 0 0 0 0 0 0 0
where m F is the mass of the SF, and I z z F is its moment inertia about vertical direction. Based on the work of Tian [31] and Wen [22], the added mass coefficients of the SF are given as X u ˙ F = 0.05 m F , Y v ˙ F = 2 m F , Z w ˙ F = 2.1 m F , N r ˙ F = 2.97 I z z F . Furthermore, υ F is the velocity vector of SF expressed in the frame { F } , υ r F is the velocity vector relative to the surrounding current, u r F denotes the relative forward speed, and L is a selection matrix.
The damping force vector of the SF can be approximated as
D F ( υ r F ) = X u u F 0 0 0 0 Y v v F 0 0 0 0 Z w w F 0 0 0 0 N r r F u r F v r F w r F r F
where X u u F , Y u u F , Z w w F , N r r F are Hydrodynamic damping coefficients. For instance, X u u F = 1 2 ρ A x C x represents the axial drag, with ρ being the water density, A x the frontal project area, and C x the current coefficient. It is noted that Z w w F = 0 , because the SF’s vertical motion through the water column is negligible. These hydrodynamic coefficients are primarily derived from the analysis and experimental data presented in Kraus’s work [12].
The restoring force vector g ( η F ) , which accounts for gravity and buoyancy, is considered to act only in the vertical direction.
g ( η F ) = 0 0 ρ g A w p ( 0 ) z 0 T
A w p denotes the water plane area of the SF. As noted in Fossen’s handbook [21], A w p ( ζ ) A w p ( 0 ) for conventional vessels under small heave perturbations, implying that the water plane area can be considered constant. The dynamic variation of the wet area, while a subtle physical effect worthy of further investigation, is neglected in this model.
To simulate the wave-induced motion and predict the WG’s response, the JONSWAP spectrum is employed to characterize not fully developed seas.
The JONSWAP spectrum is defined as:
S ( ω ) = 155 H s 2 T 1 4 ω 5 e x p ( 944 T 1 4 ω 4 ) γ Y
where H s is the significant wave height, T 1 is the average wave period, ω is the wave angular frequency, and the peak enhancement factor is set to γ = 3.3 [32].
τ w a v e is the wave forces and moments, can be categorized into first-order wave forces τ w a v e 1 and second-order wave forces τ w a v e 2 . Specifically, the first-order wave forces are periodic forces with the same frequency as the waves, serving as the primary excitation forces on the SF. These forces induce periodic heave motion responses in the WG. On the other hand, the second-order wave forces are nonlinear forces associated with the sum or difference frequencies of the wave components. They typically manifest as low-frequency drift forces or high-frequency oscillatory forces.
The wave forces and moments can be computed:
τ w a v e = τ w a v e 1 + τ w a v e 2 = ρ g k = 1 n | F w a v e 1 d o f ( ω k , β ) | 2 S ( ω k ) Δ ω cos ( ω e ( U , ω k , β ) t + F w a v e 1 d o f ( ω k , β ) + ϵ k ) + 2 ρ g k = 1 n | F w a v e 2 d o f ( ω k , β ) | S ( ω k ) Δ ω cos ( ω e ( U , ω k , β ) t + ϵ k )
where β is the wave encounter angle, g is the acceleration due to gravity, U is forward speed. The terms F w a v e 1 d o f ( ω k , β ) and F w a v e 2 d o f ( ω k , β ) represent the normalized forced RAOs or the first- and second-order wave forces, respectively, which can be estimated based on wave mechanics [21]. In this paper, RAOs are defined as the transfer function from wave excitation to SF’s motions and are calculated using the software AQWA.
The encounter frequency is given by:
ω e ( U , ω k , β ) = ω k ω k 2 g U cos ( β )
τ 1 u m represents the umbilical cable forces acting on the SF, and will be expressed in Section 2.4.

2.3. Dynamic Modelling of the SG

The SG is connected to the umbilical cable and is equipped with hydrofoils and a tail rudder. It is subjected to forces from the umbilical cable, wet gravity, thrust generated by the hydrofoils, and control forces from the rudder.
The four-DOF dynamic model of the SG is expressed as:
M R B G υ ˙ G + C R B G ( υ G ) υ G + M A G υ ˙ r G + C A G ( υ r G ) υ r G + D G ( υ r G ) υ r G = g 0 + τ h y d r o f o i l + τ r u d d e r + τ 2 u m
where
M R B G = m G 0 0 0 0 m G 0 0 0 0 m G 0 0 0 0 I z z G
M A G = X u ˙ G 0 0 0 0 Y v ˙ G 0 0 0 0 Z w ˙ G 0 0 0 0 N r ˙ G
where M R B G and M A G are the rigid-body and added mass matrices of the SG, respectively; C R B G ( υ G ) and C A G ( υ r G ) are the rigid-body and added-mass Coriolis-centripetal matrices. There are X u ˙ G = 0.1 m G , Y v ˙ G = 1.2 m G , Z w ˙ G = 2.1 m G , N r ˙ G = 0.1 I z z G .
C R B G ( υ G ) = M R B G L u r G
C A G ( υ r G ) = M A G L u r G
υ r G = υ G υ c G = u r G , v r G , w r G , r F T
Assumption 5.
The SG is located at a depth z above the seabed, where the ocean current velocity is υ c G .
υ c G = υ c F ( z h w ) 1 7
where h w denotes the water depth, there is 100 m.
The damping matrix can be done with the current coefficients
D G ( υ r G ) = X u | u | G | u r G | Y v | v | G | v r G | Z w | w | G | w r G | N r | r | G | r G |
where X u u G , Y u u G , Z w w G , N r r G are hydrodynamic coefficients of the SG.
The wet gravity of SG is
g 0 = 0 0 W ¯ 0 T
where W ¯ is the wet gravity of SG.
During the heave motion of the SG, its NACA0012 hydrofoils keep turning over, generating a lift force F L perpendicular to the the relative flow velocity V r G and a drag force F D parallel to V r G . The force diagram is illustrated in Figure 3.
The horizontal and vertical components of the resultant hydrofoil force are given by:
τ h y d r o f o i l = F D cos α f + F L sin α f 0 F D sin α f F L cos α f 0
where
F L = 1 2 ρ ( V r G ) 2 A h y C L ( α k )
F D = 1 2 ρ ( V r G ) 2 A h y C D ( α k )
and the relative velocity is
V r G = u r G 2 + w r G 2
where α f is the angle between the hydrofoil’s relative velocity vector and the horizontal direction in the global frame { n } , calculated as α f = arctan w G u G . The term α k denotes the hydrofoil’s angle of attack. C L ( α k ) , C D ( α k ) are related to the hydrofoil’s shape and the angle of attack. Their values are evaluated following the methodology in Wang [19].
τ r u d d e r is the control force vector, and the Figure 5 illustrates the hydrodynamic forces( F L r u d d e r and F D r u d d e r ) are generated by controlling the rudder angle. The lift component creates a steering moment for heading control.
This force vector is given by:
τ r u d d e r = F D r u d d e r F L r u d d e r 0 F L r u d d e r l g
where F L r u d d e r , F D r u d d e r are the lift and drag forces produced by the rudder. These forces are functions of the rudder area A r u d d e r , the forward velocity u r G , and the lift and drag coefficient C L ( δ ) and C D ( δ ) , respectively.
These forces are given by:
F L r u d d e r = 1 2 ρ ( u r G ) 2 A r u d d e r C L ( δ )
F D r u d d e r = 1 2 ρ ( u r G ) 2 A r u d d e r C D ( δ )

2.4. Nonlinear Model of the Umbilical

The umbilical cable is connected to the SF and SG, and can be regarded as a spring with strong stiffness. The tension is defined as
F t = k × ( ( ξ F ξ G ) 2 + ( η F η G ) 2 + ( ζ F ζ G ) 2 l u m ) F t > 0 0 F t 0
where k = 5 × 10 5 N/m represents the stiffness of the umbilical cable, l u m is the length of the umbilical cable.
The forces acting on the SF are
τ 1 u m = F t sin β cos α 1 F t sin β sin α 1 F t cos β 0 0 F t l F sin ( ψ G ψ F )
the forces acting on the SG are
τ 2 u m = F t sin β cos α 2 F t sin β sin α 2 F t cos β + W ¯ · d l 0 0 F t l G sin ( ψ G ψ F )
where α 1 and α 2 represent the angles between the projection of the umbilical cable on the x F y F and x G y G planes and their respective x F , x G axes. These angles are given by α 1 = α ψ F and α 2 = α ψ G . The parameter d l denotes the length of a micro-segment of the cable. W ¯ · d l is the vertical force due to the wet weight distribution over umbilical element d l . The distances between the cable connection point and the center of mass of the SF and SG are denoted by l F and l G , respectively. Finally, β is the angle between the umbilical cable and the ζ axis in the global frame { n } , as shown in Figure 6.

3. Numerical Verification

To validate the established dynamic model, this section develops a WG simulation within MATLAB R2024a/Simulink, utilizing the Marine Systems Simulator (MSS) library and the derived equations. The fourth-order Runge-Kutta solver is employed with a fixed step size of 0.01 s . Different rudder angles are configured to analyze the performance variations of the wave glider during both longitudinal, turning motions and heading control.

3.1. Geometric Parameters and Simulation Conditions

The geometric parameters and hydrodynamic coefficients used in this study are adopted from the works of Kraus [12] and Wen [22]. These geometric parameters and necessary coefficients are summarized in Table 2.
The motion performance of the WG is significantly influenced by the marine environment. Accurately predicting this performance is crucial for optimizing hull form, rudder design, and propulsion system, and provides a foundation for heading control and path tracking. To conduct a comparative verification of this model’s reliability, the marine environment parameters in this section are configured with reference to Wen’s work: a significant wave height of 0.5 m and a wave spectrum peak frequency of 1 rad / s , and current effects are temporarily neglected.

3.2. Simulation and Comparison

Due to the complexity of the double-body structure and the ocean environment, it is challenging to validate the numerical model using pool and sea tests. Therefore, this study validates the established mathematical model by comparing its predictions of maneuverability and heading control response with results from existing literature.

3.2.1. Longitudinal Motion

When a zero rudder angle is set in the simulation model, the wave glider undergoes longitudinal motion. The heave motion of the SF under wave action propels the WG forward. Analyzing the relationships of the vertical position and longitudinal velocity with respect to time is a key aspect of studying its motion performance.
Figure 7 depicts the vertical-plane trajectory of the WG during the initial 100 s of operation, with five points marked at specific time instants. Under wave excitation, the SF and SG maintain a stable relative configuration, and the umbilical cable remains in tension throughout the maneuver.
Figure 8 presents the forward speeds of the SF and SG over the same period. Although both components exhibit similar speed trends, the SG shows more pronounced fluctuations due to its different structure characteristics. The average longitudinal velocity is calculated as 0.161 m / s , which aligns closely with the value of 0.17 m / s reported in Wen’s work. This consistency validates our numerical model. The results confirm that the WG, as a low-speed vehicle, the sailing speed has wave-frequency oscillation characteristics.

3.2.2. Turning Motion

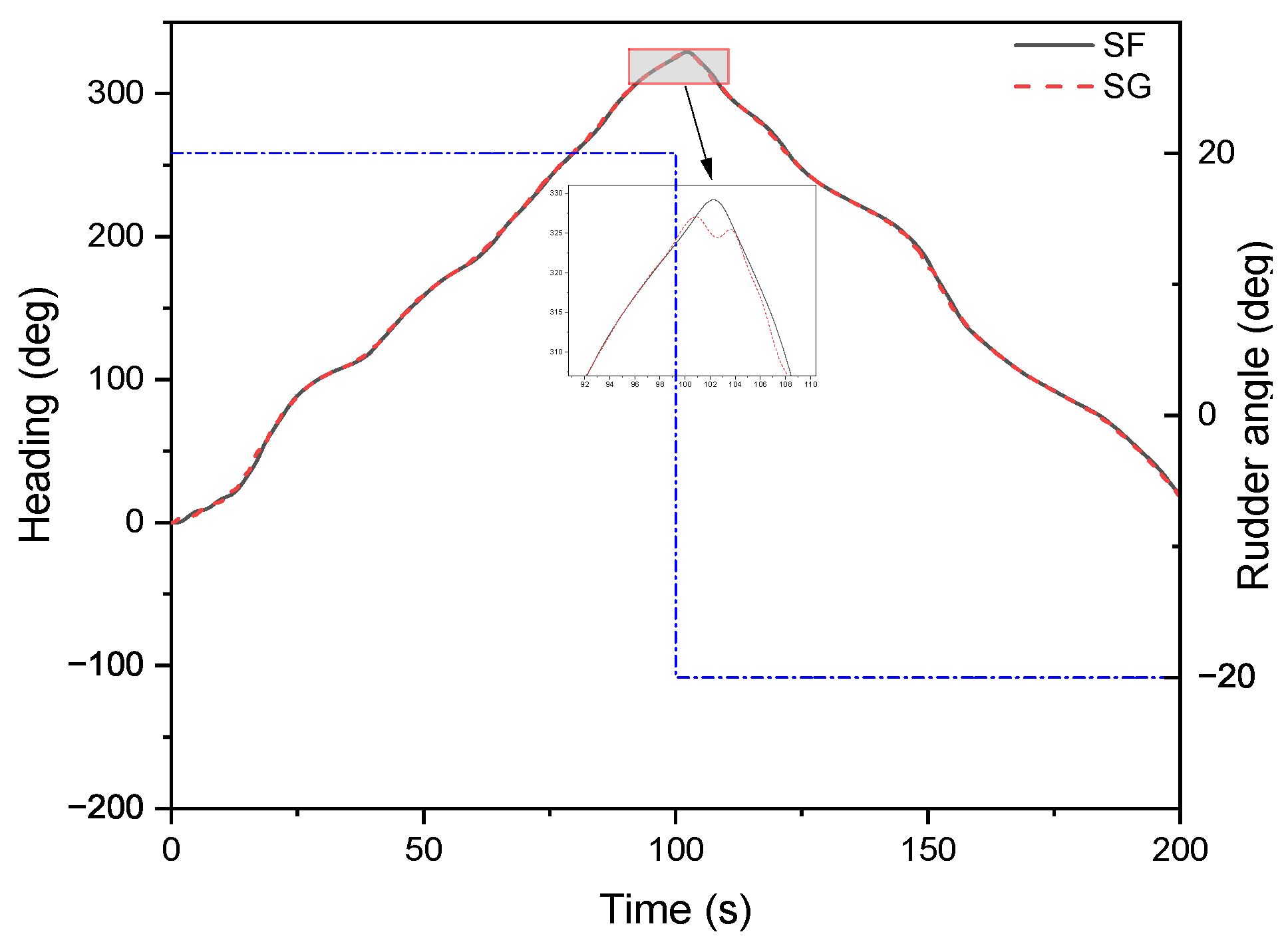
When a non-zero rudder angle is set in the simulation model, the wave glider performs a turning motion.
The rudder angle set as δ ( t ) , which is
δ t = 20 0 t < 100 s 20 100 s t 200 s
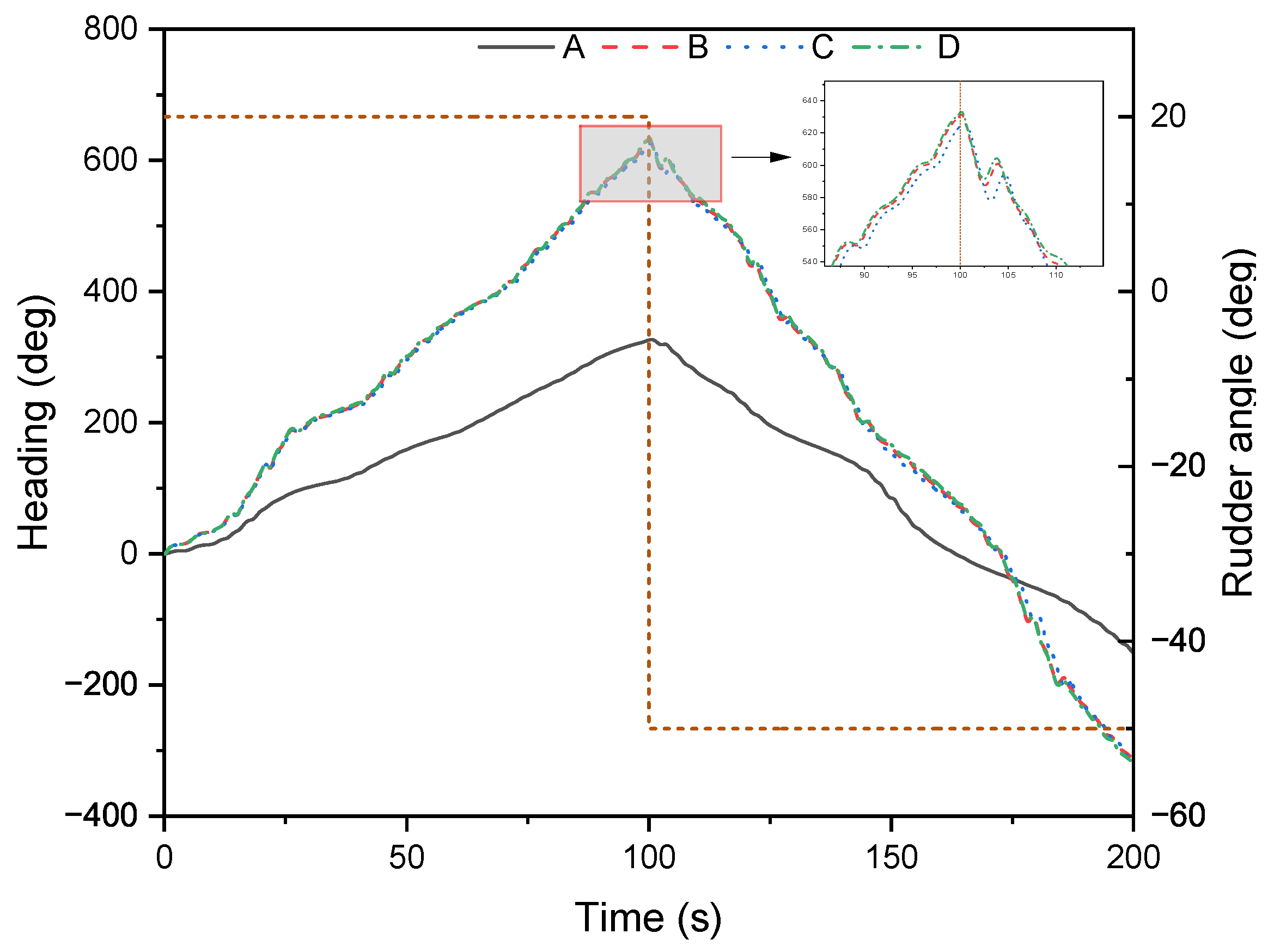
The simulation analyzes the global position, slewing speed, and heading angle changes of the WG.
Figure 9 shows the horizontal-plane trajectories of the SF and SG over the first 200 s . Figure 10 shows the heading angle variation curves for the simulated rudder angle input, and Figure 11 presents the lateral velocity dynamic response of SF and SG. When the rudder angle is not 0, the wave glider makes a turning motion. When the rudder is positive, the heading angle tends to increase linearly, the yaw produces a transverse component opposite to the rudder angle, and the wave glider has a negative transverse velocity and makes a clockwise turn along the due east datum direction. Due to the irregular characteristics of the waves, the wave glider heading angle could not return to the initial value at the 200 s . Furthermore, the trajectories demonstrate that the SF and SG maintain coordinated motion under the constraint of the umbilical cable.

3.2.3. Heading Control

A PID controller is used to simulate and analyze the heading response of the WG.
Figure 12 shows the yaw angles of the SF and SG during heading-keeping maneuvers. The rudder angle is adjusted by a PID controller, causing the SG to yaw. This motion generates a torsional moment in the umbilical cable, which in turn drives the SF’s yaw response. Due to the influence of the second-order wave forces, the heading angle exhibits fluctuations about the setpoint of 20 , though the yaw error remains within 2.5 % . These results are consistent with the numerical findings of Wen and the sea trial data reported by Li [33].
Through the above comparative analysis, it is believed that the established mathematical model can well represent the longitudinal motion, turning motion, and heading control characteristics of the WG, which provides an effective and reliable basis for analyzing the effects of wind and wave currents on the motion performance.

4. WG Motion Performance Under Wave and Current

The time-domain simulation program developed in Section 3 was employed to simulate the motion performance of the WG using measured statistical sea state data, to analyze its sensitivity to ocean conditions and its heading control capability.
According to international wave classification standards, the Yangjiang sea area in Guangdong was predominantly characterized by Sea State 3 (significant wave height 0.5–1.25 m) during 2021–2022, with this condition accounting for 74.15 % of occurrences (Table 3). Furthermore, the joint distribution of significant wave height and wave period (Table 4) indicates that waves with periods of 4–6 s and 6–8 s were prevalent in Sea State grades 1–3, with respective occurrence frequencies of 57.03 % and 26.68 % .
To accurately represent typical marine conditions, the simulation was configured using JONSWAP spectra with significant wave heights of 0.5 m (peak period approximately 6.28 s , peak frequency of 1 rad / s ) and 1.25 m (peak period approximately 7.48 s , peak frequency of 0.84 rad / s ), corresponding to the dominant sea states identified. To investigate current effects, operational conditions with 0.1 m / s cross-flow and orthogonal flow were established for the SF. Through this series of combinations (see Table 5), the coupled influences of waves and currents on the motion characteristics were analyzed via numerical simulation.

4.1. Effects of Wave and Currents on Turning Motion

Based on the analysis results in Section 3, the turning direction of the wave glider is governed by the deflection of its left and right rudders. In this section, the rudder angle is set to Equation (44) to evaluate the influence of the rudder deflection on turning performance. Concurrently, the effects of waves and currents are examined under various marine conditions. Since the previous analysis confirmed strong motion coherence between the SF and SG, the following discussion focuses solely on the motion performance of the SG.
δ t = 20 0 t < 100 s 50 100 s t 200 s
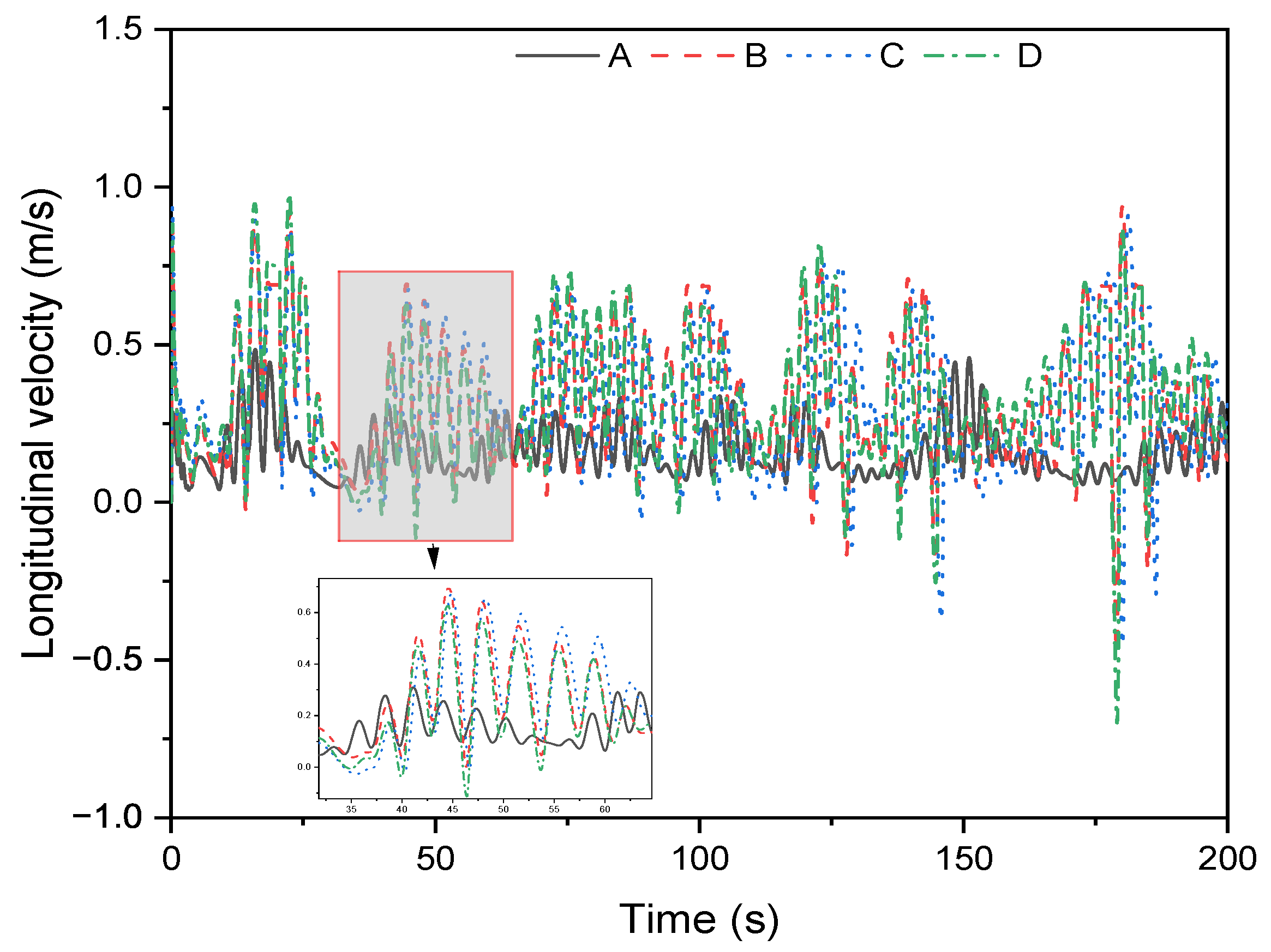
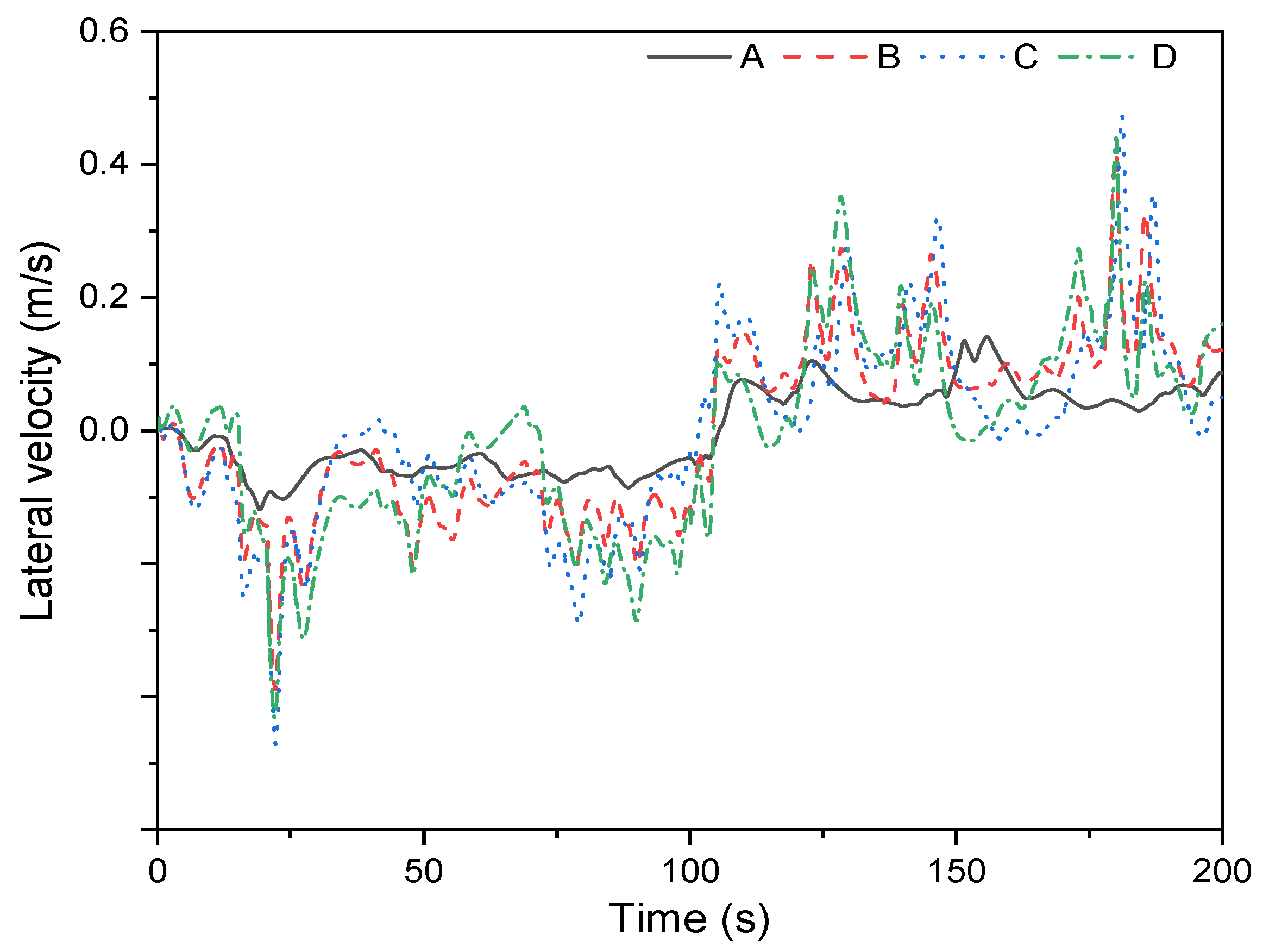
Figure 13, Figure 14, Figure 15, Figure 16 and Figure 17 show the change of heading angle, turning trajectory, yaw rate, longitudinal speed, and lateral velocity of the SG under different working conditions, respectively.
Table 6 summarizes the corresponding turning performance metrics, including the mean and standard deviation of the sailing speed and yaw rate.
The rudder deflection times for the wave glider were both set to 100 s . Figure 13 and Figure 15 illustrate the variations of the heading angle and yaw rate under different working conditions, respectively. The responses for Conditions B, C, and D exhibit similar trends, whereas Condition A exhibits significant differences from them. It is clearly observable that under the 1.25 m wave height condition, the yaw rate is higher, and the heading angle changes more rapidly. Comparison of the same curve over the first and second 100 s intervals revealed that when the rudder angle was set to 50 , the variations in heading angle and yaw rate increased to some extent, but the magnitude of this increase was smaller than the effect of wave height variation. The results in Table 6 further confirm that wave height plays a dominant role in controlling the yaw rate. During the initial 100 s phase, the average yaw rate increased by 93.0 % , from 0.057 deg / s (at 0.5 m wave height) to 0.11 deg / s (at 1.25 m wave height).
As shown in Figure 14, under Condition A, the WG’s trajectory in the ξ η plane comprises two approximate circles paths of different sizes. Starting from the origin ( 0 , 0 ) , it first follows a counterclockwise loop before transitioning to a clockwise one. Analysis of the rudder angle settings reveals that wave-induced forces propel the WG forward, while rudder control guides it into an approximately circular turning trajectory. As shown in Figure 17, the lateral velocity gradually shifts from negative to positive. The direction of the turn is determined by the polarity of the rudder angle: a positive rudder angle generates a lateral force to port, which simultaneously induces a negative lateral velocity and creates a counterclockwise moment about the center of mass, steering the bow to port. A negative rudder angle produces a symmetrically opposite effect. Comparison of A and B indicates that the turning radius depends solely on the absolute rudder angle magnitude and is independent of wave height. In contrast, wave height exerts a much stronger influence on turning frequency than the rudder angle. Under a wave height of 1.25 m , the number of completed turns increases significantly. Further comparison among B, C, and D demonstrates that the presence of ocean currents disrupts the near-circular motion. Acting as a disturbance force, the current causes the turning trajectory to stretch and deform. Specifically, under a 0.1 m / s following surface current (aligned with the wave direction), the trajectory elongates progressively along the ξ -axis, compromising the circular motion. When the current direction is perpendicular to the wave direction ( 90 cross-flow), the trajectory stretches along the η -axis instead.
As demonstrated in Figure 16 and Figure 17, the surge velocity under combined wave–current disturbances is characterized by wave-frequency oscillations. A pronounced enhancement in both longitudinal and lateral velocities is observed with increasing wave height, whereas current effects remain minimal. Data presented in Table 6 quantify this trend: The measured average longitudinal and lateral velocities demonstrated a two-fold increase from 0.15 m / s and 0.05 m / s to 0.3 m / s and 0.1 m / s as the wave height increased from 0.5 m to 1.25 m . In contrast, the presence of ocean currents had a negligible impact on the vehicle’s longitudinal velocity, lateral velocity, and yaw rate.
The analysis confirms that wave is the primary source of propulsion for the WG, with ocean currents acting principally as a source of trajectory drift that prevents a return to the initial turning point. These results offer crucial theoretical underpinnings for optimizing the WG’s structure and designing its motion controller, ultimately contributing to improved navigational stability in the ocean.

4.2. Effects of Wave and Currents on Heading Control

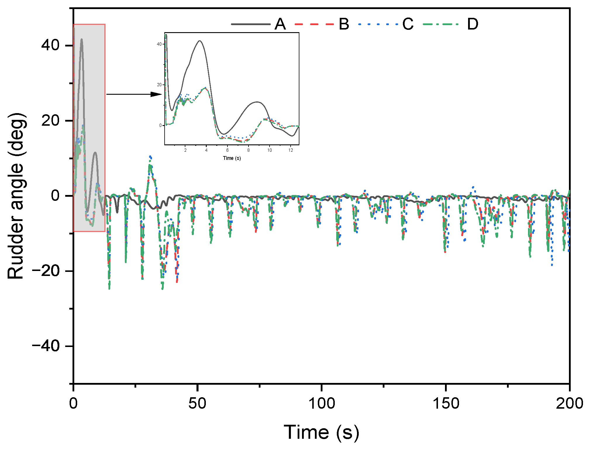
According to the analysis in Section 3.2, the heading angle cannot be maintained perfectly constant but oscillates continuously around the desired value under traditional PID control due to second-order wave forces. Under conditions of a 0.5 m wave height and no current influence, the heading deviation was within an acceptable 2.5 % , meeting basic navigation requirements. However, the actual marine environment is complex and dynamic, where high sea states and current effects are non-negligible. Therefore, investigating the heading maintenance performance under coupled wave–current conditions (see Table 5 for specific cases) is essential for providing valuable insights for the subsequent optimization of heading controllers. In this section, the desired heading was set to 20 , with a simulation duration of 200 s , to analyze the heading maintenance performance under a traditional PID controller across different operational conditions.
Figure 18 illustrates the heading tracking curves in coupled wave–current environments, and Figure 19 presents the corresponding rudder angle variations.
A comparison of the SF and SG curves under the same conditions in Figure 18 reveals the coupled dynamic characteristics of the WG’s heading control. The heading control command is executed via the rudder angle of the SG, while the SF’s heading passively follows through the dynamic coupling of the umbilical. Consequently, the SF exhibits larger overshoot and oscillation amplitude during the response process. Comparing A and B shows that under the 1.25 m wave height condition, significantly enhanced second-order wave forces lead to more pronounced yaw motion and degraded heading maintenance performance. In contrast, the comparison among B, C, and D indicates that the current has minimal impact on heading performance, as the trends of these curves remain largely consistent.
Figure 19 displays the response process as the wave glider turns from its initial heading to the desired one. Under the 0.5 m wave height condition, the reduced longitudinal velocity diminishes rudder effectiveness. To achieve a swift response, the system requires a larger rudder angle to generate sufficient yaw moment. Thus, during the initial response phase in low sea states, the rudder exhibits a larger deflection amplitude. Conversely, in the heading maintenance phase, due to weaker yaw disturbance, only minor rudder adjustments are sufficient to stabilize the heading. Furthermore, the influence of currents on rudder angle changes is not significant.
To quantitatively assess the impact of wave and current disturbances on heading control performance, the Mean Absolute Error (MAE) of the heading deviation and the Mean Variation (MV) of the rudder angle were adopted as evaluation metrics. A smaller MAE indicates higher heading control accuracy, while a smaller MV suggests smaller rudder deflection amplitude and shorter actuator travel. The statistical results of the heading control performance under different operational conditions are listed in Table 7.
The data in Table 7 show that when the wave height increases from 0.5 m to 1.25 m , the MAE of the SF increases from 1 . 11 to 1 . 60 , the MAE of the SG increases from 1 . 06 to 1 . 30 , and the MV increases from 0 . 011 to 0 . 044 . This consistent increase in both MAE and MV demonstrates that wave height is the dominant factor degrading control performance, implying reduced accuracy and higher actuator effort under higher sea states. In comparison, the influence of currents on control performance remains relatively minor.

5. Conclusions

(1) A nonlinear coupled dynamics model of a WG is developed based on a separation model, taking into account the torsional properties of the umbilical cable, and it accounts for coupled environmental forces, including waves and ocean currents.
(2) Model simulations validate that the proposed model behaves similarly to the previous work by Wen and Kraus. The analysis confirmed that second-order wave forces induce persistent oscillatory behavior in heading control, corroborating findings reported by Li.
(3) Motion performance simulations under different conditions revealed that turning direction can be controlled by rudder angle polarity, with turning radius inversely proportional to the absolute rudder angle value. Wave-induced motion produces class-circular turning trajectories, where wave height directly affects turning rate and forward speed. Current disturbances cause trajectory distortion, with stretching direction dependent on the wave–current angle.
(4) Heading control evaluation showed that MAE and MV under coupled wave and current conditions remain comparable to wave-only scenarios.
Despite these achievements, this study has several limitations that indicate directions for future research. The current work focuses on the dynamics of the WG and subsequent motion performance analysis. However, due to experimental constraints, the hydrodynamic parameters are derived from literature data, and the damping effect of the umbilical cable in the fluid is neglected. Moreover, while the present study concentrates on motion performance under common low to moderate sea conditions, the performance of the wave glider under extreme weather conditions remains a subject for further investigation.
Future work will focus on (1) conducting tank tests and sea trials to further determine key hydrodynamic parameters of the wave glider and establish a highly reliable dynamic model and (2) investigating the dynamic response of the wave glider under high sea states and developing adaptive control algorithms to enhance its navigation performance in complex environments.

Author Contributions

Conceptualization, P.L. and L.Z.; methodology, P.L.; software, P.L. and L.G.; validation, P.L. and L.G.; formal analysis, P.L.; investigation, L.G.; resources, P.L.; data curation, L.G.; writing—original draft preparation, L.G.; writing—review and editing, P.L.; supervision, P.L. and L.Z.; project administration, P.L.; funding acquisition, L.Z. All authors have read and agreed to the published version of the manuscript.

Funding

This work was supported in part by the Special Fund for Bagui Scholars of the Guangxi Zhuang Autonomous Region [No. 2019A08] and in part by the National Project of Foreign Experts [No. G2022033007L].

Data Availability Statement

The datasets generated during the current study are available from the corresponding author on reasonable request.

Conflicts of Interest

The authors declare no potential conflicts of interest with respect to the research, authorship, and/or publication of this article.

Abbreviations

WGWave Glider
DOFDegrees-of-Freedom
SFSurface Float
SGSubmarine Glide
MAEMean Absolute Error
MVMean Variation
RAOResponse Amplitude Operator

References

  1. Daniel, T.; Manley, J.; Trenaman, N. The Wave Glider: Enabling a New Approach to Persistent Ocean Observation and Research. Ocean Dyn. 2011, 61, 1509–1520. [Google Scholar] [CrossRef]
  2. Manley, J.; Willcox, S. The Wave Glider: A Persistent Platform for Ocean Science. In Proceedings of the OCEANS’10 IEEE SYDNEY, Sydney, Australia, 24–27 May 2010; pp. 1–5. [Google Scholar]
  3. Hodges, B.; Grare, L.; Greenwood, B.; Matsuyoshi, K.; Pizzo, N.; Statom, N.; Farrar, J.; Lenain, L. Evaluation of Ocean Currents Observed from Autonomous Surface Vehicle. J. Atmos. Ocean. Technol. 2023, 40, 1121–1136. [Google Scholar] [CrossRef]
  4. Amador, A.; Merrifield, S.; Terrill, E. Assessment of Atmospheric and Oceanographic Measurements from an Autonomous Surface Vehicle. J. Atmos. Ocean. Technol. 2023, 40, 305–326. [Google Scholar] [CrossRef]
  5. Fitzpatrick, P.; Lau, Y.; Moorhead, R.; Skarke, A.; Merritt, D.; Kreider, K.; Brown, C.; Carlon, R.; Hine, G.; Lampoudi, T. A Review of the 2014 Gulf of Mexico Wave Glider® Field Program. Mar. Technol. Soc. J. 2015, 49, 64–71. [Google Scholar] [CrossRef]
  6. Holbach, H.; Bousquet, O.; Bucci, L.; Chang, P.; Cione, J.; Ditchek, S.; Doyle, J.; Duvel, J.; Elston, J.; Goni, G. Recent Advancements in Aircraft and In Situ Observations of Tropical Cyclones. Trop. Cyclone Res. Rev. 2023, 12, 81–99. [Google Scholar] [CrossRef]
  7. Lammers, M.; Goodwin, B.; Kügler, A.; Zang, E.; Harvey, M.; Margolina, T.; Martinez, J.; Merkens, K.; Hatch, L. The Occurrence of Humpback Whales across the Hawaiian Archipelago Revealed by Fixed and Mobile Acoustic Monitoring. Front. Mar. Sci. 2023, 10, 1083583. [Google Scholar] [CrossRef]
  8. Darling, J.; Goodwin, B.; Goodoni, M.; Taufmann, A.; Taylor, M. Humpback Whale Calls Detected in Tropical Ocean Basin between Known Mexico and Hawaii Breeding Assemblies. J. Acoust. Soc. Am. 2019, 145, EL534–EL540. [Google Scholar] [CrossRef]
  9. Premus, V.; Abbot, P.; Kmelnitsky, V.; Gedney, C.; Abbot, T. A Wave Glider-Based, Towed Hydrophone Array System for Autonomous, Real-Time, Passive Acoustic Marine Mammal Monitoring. J. Acoust. Soc. Am. 2022, 152, 1814–1828. [Google Scholar] [CrossRef]
  10. Darling, J.; Goodwin, B.; Taufmann, A.; Taylor, M. Humpback Whales (Megaptera novaeangliae) Detected by Autonomous Wave Glider in Tropical Deep Seas between Hawaii and Western Pacific Winter Assemblies. Mar. Mammal Sci. 2021, 37, 1120–1130. [Google Scholar] [CrossRef]
  11. Chen, J.; Ge, Y.; Yao, C.; Zheng, B. Dynamics Modeling of a Wave Glider with Optimal Wing Structure. IEEE Access 2018, 6, 71555–71565. [Google Scholar] [CrossRef]
  12. Kraus, N. Wave Glider Dynamic Modeling, Parameter Identification and Simulation. Ph.D. Thesis, University of Hawaii at Manoa, Honolulu, HI, USA, 2012. [Google Scholar]
  13. Wang, L.; Li, Y.; Liao, Y.; Pan, K.; Zhang, W. Adaptive Heading Control of Unmanned Wave Glider with Heading Information Fusion. Control Eng. Pract. 2019, 85, 216–224. [Google Scholar]
  14. Tian, B.; Yu, J.; Zhang, A. Dynamic Modeling of Wave Driven Unmanned Surface Vehicle in Longitudinal Profile Based on DH Approach. J. Cent. South Univ. 2015, 22, 4578–4584. [Google Scholar] [CrossRef]
  15. Sun, X.; Sun, C.; Sang, H.; Li, C. Dynamics Modeling and Hydrodynamic Coefficients Identification of the Wave Glider. J. Mar. Sci. Eng. 2022, 10, 520. [Google Scholar] [CrossRef]
  16. Wang, L.; Li, Y.; Liao, Y.; Pan, K.; Zhang, W. Dynamics Modeling of an Unmanned Wave Glider with Flexible Umbilical. Ocean Eng. 2019, 180, 267–278. [Google Scholar] [CrossRef]
  17. Sang, H.; Zhang, Z.; Sun, X.; Zhang, S.; Li, C.; Liu, F. Maneuverability Prediction of the Wave Glider Considering Ocean Currents. Ocean Eng. 2023, 269, 113548. [Google Scholar] [CrossRef]
  18. Zhang, Y.; Zhou, Y.; Chen, W.; Zhang, W.; Gao, F. Design, Modeling and Numerical Analysis of a WEC-Glider (WEG). Renew. Energy 2022, 188, 911–921. [Google Scholar] [CrossRef]
  19. Wang, P.; Tian, X.; Lu, W.; Hu, Z.; Luo, Y. Dynamic Modeling and Simulations of the Wave Glider. Appl. Math. Model. 2019, 66, 77–96. [Google Scholar] [CrossRef]
  20. Zhang, Y.; Yue, J.; Zhou, S.; Gao, F.; Zhang, W.; Chen, W. Experimental and Numerical Investigation of Tandem-Arranged Semi-Active Hydrofoils Propulsion for Wave Glider. Appl. Ocean Res. 2024, 148, 104010. [Google Scholar] [CrossRef]
  21. Fossen, T. Handbook of Marine Craft Hydrodynamics and Motion Control; John Wiley & Sons: Hoboken, NJ, USA, 2011. [Google Scholar]
  22. Wen, H.; Zhou, H.; Fu, J.; Zhang, X.; Yao, B.; Lian, L. Multi-Body Coupled Dynamic Modelling of the Wave Glider. Ocean Eng. 2022, 257, 111499. [Google Scholar] [CrossRef]
  23. Liu, F.; Chang, Z.; Zhang, S.; Sun, X.; Sang, H.; Wang, X.; Ma, S. The Maneuverability Analysis of the Wave Glider with a Propeller-Rudder System. Ocean Eng. 2024, 294, 116782. [Google Scholar] [CrossRef]
  24. Feng, Z.; Wang, H.; Jiang, L.; Zhang, J.; Deng, C. Dynamic Performance of Wave Glider Based on Restoring Spring Stiffness Design under Irregular Wave Condition. Ocean Eng. 2025, 323, 120551. [Google Scholar] [CrossRef]
  25. Feng, Z.; Wang, H.; Zhang, J.; Deng, C.; Chang, Z. Analysis of Dynamic Characteristics of Wave Glider Based on Lissajous Figure. Ocean Eng. 2025, 326, 120735. [Google Scholar] [CrossRef]
  26. Li, Y.; Zhang, K.; Tang, X.; Xu, C.; Li, X. Study on the Development of the Vortex Street between the Wings of Wave Glider. Ocean Eng. 2024, 314, 119662. [Google Scholar] [CrossRef]
  27. Sang, H.; Wang, X.; Sun, X.; Ma, S.; Huang, F. Numerical Study on the Hydrodynamic Performance of Wave Glider Umbilical Cables with Different Cross-Sectional Shapes. Ocean Eng. 2025, 325, 120800. [Google Scholar] [CrossRef]
  28. Yu, P.; Zhou, Y.; Sun, X.; Sang, H.; Zhang, S. Adaptive Path Following Control for Wave Gliders in Ocean Currents and Waves. Ocean Eng. 2023, 284, 115251. [Google Scholar] [CrossRef]
  29. Yu, P.; Sun, X.; Zhou, Y.; Sang, H.; Zhang, S. Adaptive Station-Keeping Strategy for Wave Gliders Considering Uncertain Environmental Disturbances. Ocean Eng. 2023, 277, 114326. [Google Scholar] [CrossRef]
  30. Liu, R.; Tian, X.; Wang, P.; Liao, N.; Huang, R.; Xu, H.; Wang, F. Experimental-Based Hydrodynamic Simulation of Submarine Glider for Wave Gliders. Appl. Ocean Res. 2024, 153, 104224. [Google Scholar] [CrossRef]
  31. Tian, B.; Yu, J.; Zhang, A.; Zhang, F.; Chen, Z.; Sun, K. Dynamics Analysis of Wave-Driven Unmanned Surface Vehicle in Longitudinal Profile. In Proceedings of the OCEANS 2014-TAIPEI, Taipei, Taiwan, 7–10 April 2014; pp. 1–6. [Google Scholar]
  32. Prendergast, J.; Li, M.; Sheng, W. A Study on the Effects of Wave Spectra on Wave Energy Conversions. IEEE J. Ocean. Eng. 2018, 45, 271–283. [Google Scholar] [CrossRef]
  33. Li, Y.; Pan, K.; Liao, Y.; Zhang, W.; Wang, L. Improved Active Disturbance Rejection Heading Control for Unmanned Wave Glider. Appl. Ocean Res. 2021, 106, 102438. [Google Scholar] [CrossRef]
Figure 1. Structure of a wave glider.
Figure 1. Structure of a wave glider.
Jmse 13 02272 g001
Figure 2. The working principle of the wave glider.
Figure 2. The working principle of the wave glider.
Jmse 13 02272 g002
Figure 3. Forces on the hydrofoil when (a) downstroke of the SG and (b) upstroke of SG.
Figure 3. Forces on the hydrofoil when (a) downstroke of the SG and (b) upstroke of SG.
Jmse 13 02272 g003
Figure 4. The coordinate frame of the system.
Figure 4. The coordinate frame of the system.
Jmse 13 02272 g004
Figure 5. Diagram of the rudder-induced forces.
Figure 5. Diagram of the rudder-induced forces.
Jmse 13 02272 g005
Figure 6. Representation of angles during umbilical work.
Figure 6. Representation of angles during umbilical work.
Jmse 13 02272 g006
Figure 7. Motion of a WG on vertical plane.
Figure 7. Motion of a WG on vertical plane.
Jmse 13 02272 g007
Figure 8. Longitudinal velocities of SG and SF in first 100 s .
Figure 8. Longitudinal velocities of SG and SF in first 100 s .
Jmse 13 02272 g008
Figure 9. Motion of a WG on horizontal plane.
Figure 9. Motion of a WG on horizontal plane.
Jmse 13 02272 g009
Figure 10. Heading of SG and SF during the turning motion.
Figure 10. Heading of SG and SF during the turning motion.
Jmse 13 02272 g010
Figure 11. Lateral velocities of SG and SF in turning motion.
Figure 11. Lateral velocities of SG and SF in turning motion.
Jmse 13 02272 g011
Figure 12. Heading response of SG and SF when using the PID controller.
Figure 12. Heading response of SG and SF when using the PID controller.
Jmse 13 02272 g012
Figure 13. Heading of SG in turning motion under different conditions.
Figure 13. Heading of SG in turning motion under different conditions.
Jmse 13 02272 g013
Figure 14. Horizontal plane trajectory of SG turning motion under different conditions.
Figure 14. Horizontal plane trajectory of SG turning motion under different conditions.
Jmse 13 02272 g014
Figure 15. Yaw rate of SG turning motion under different conditions.
Figure 15. Yaw rate of SG turning motion under different conditions.
Jmse 13 02272 g015
Figure 16. Longitudinal velocities of SG turning motion under different conditions.
Figure 16. Longitudinal velocities of SG turning motion under different conditions.
Jmse 13 02272 g016
Figure 17. Lateral velocities of SG turning motion under different conditions.
Figure 17. Lateral velocities of SG turning motion under different conditions.
Jmse 13 02272 g017
Figure 18. Heading tracking curves of wave gliders under different conditions.
Figure 18. Heading tracking curves of wave gliders under different conditions.
Jmse 13 02272 g018
Figure 19. Rudder angle variation curves under different conditions.
Figure 19. Rudder angle variation curves under different conditions.
Jmse 13 02272 g019
Table 1. The notation of SNAME (1950) for marine vessels.
Table 1. The notation of SNAME (1950) for marine vessels.
DOF Forces and MomentsLinear and Angular VelocitiesPositions and Euler Angles
1motions in the x direction (surge)Xux
2motions in the y direction (sway)Yvy
3motions in the z direction (heave)Zwz
4rotation in the x axis (roll)Kp ϕ
5rotation in the y axis (pitch)Mq θ
6rotation in the z axis (yaw)Nr ψ
Table 2. Hydrodynamic coefficients and characteristic parameters of the wave glider.
Table 2. Hydrodynamic coefficients and characteristic parameters of the wave glider.
SymbolValueUnitSymbolValueUnit
B F 0.6m B G 0.4m
L F 2.1m L G 1.9m
T F 0.16m W ¯ 239kg
m F 60 kg m G 41 kg
I z z F 16.2 kg · m 2 I z z S G 11.75 kg · m 2
X u ˙ F −3 kg X u ˙ G −4.1 kg
Y v ˙ F −120 kg Y v ˙ G −49.1 kg
Z w ˙ F −84 kg Z w ˙ G −86.1 kg
N r ˙ F −48 kg N r ^ G −1.175 kg
A w p 1.166 m 2 A h y 0.113 m 2
A T W 1.166 m 2 A r u d d e r 0.035 m 2
A L W 0.043 m 2 l g 0.9 m
L F 1.01 m l u m 7 m
l F 0.16 m l G 0.27 m
X u | u | F 34.3 kg / m X u | u | G 85.2 kg / m
Y v | v | F 238 kg / m Y v | v | G 370 kg / m
N r | r | F 110 kg · m / rad 2 N r | r | G 180 kg · m / rad 2
Z w | w | G 2550 kg / m
Table 3. Monthly occurrence frequency of significant wave height by grade.
Table 3. Monthly occurrence frequency of significant wave height by grade.
Grade H s /mMonth/(%)Annual/%
SeptemberOctoberNovemberDecemberJanuaryFebruaryMarchAprilMayJuneJulyAugust
10.1–0.52.570.620.660.250.400.182.052.940.940.793.463.2318.09
20.5–1.252.916.268.327.499.077.847.446.048.531.704.843.7174.15
31.25–2.50.031.640.201.740.030.56 0.190.010.500.680.936.71
42.5–4.0 0.35 0.350.080.78
5–9>4.0 0.140.130.27
Table 4. Joint distribution frequency of significant wave height and period.
Table 4. Joint distribution frequency of significant wave height and period.
Grade H s /m T / s
2–44–66–8>8
10.1–0.57.12%9.08%1.59%0.27%
20.5–1.256.17%46.66%20.58%0.77%
31.25–2.50.01%1.29%4.51%0.90%
42.5–4.0 0.04%0.45%0.29%
5–9>4.0 0.01%0.04%0.14%
Where H s denotes the significant wave height and T represents the Wave Period.
Table 5. The simulated sea conditions.
Table 5. The simulated sea conditions.
ConditionSignificant Wave
Height (m)
Peak Frequency
(rad/s)
Current
Speed (m/s)
Current
Direction (deg)
A0.5100
B1.250.8400
C1.250.840.10
D1.250.840.190
Table 6. Simulation results of turning motion under different sea conditions.
Table 6. Simulation results of turning motion under different sea conditions.
ConditionRudder (deg)Longitudinal Speed (m/s)Yaw Rate (deg/s)Lateral Speed (m/s)
MeanStdMeanStdMeanStd
A200.1620.0840.0570.026−0.0550.025
−500.1550.080−0.0830.0430.0590.034
B200.3290.2090.1100.083−0.1090.062
−500.3090.213−0.1650.1320.1160.076
C200.3230.2080.1090.083−0.1090.085
−500.2980.223−0.1640.1340.1040.093
D200.3300.2240.1100.083−0.1110.096
−500.3160.213−0.1660.1290.0980.097
Table 7. Comparison of heading control simulation results under different sea conditions.
Table 7. Comparison of heading control simulation results under different sea conditions.
ConditionBodyMAE/(deg)MV/(deg)
ASF1.110.011
SG1.06
BSF1.610.044
SG1.30
CSF1.650.044
SG1.33
DSF1.670.048
SG1.33
Disclaimer/Publisher’s Note: The statements, opinions and data contained in all publications are solely those of the individual author(s) and contributor(s) and not of MDPI and/or the editor(s). MDPI and/or the editor(s) disclaim responsibility for any injury to people or property resulting from any ideas, methods, instructions or products referred to in the content.

Share and Cite

MDPI and ACS Style

Li, P.; Gu, L.; Zhu, L. Motion Characteristics Analysis of the Wave Glider Under Wave and Current Coupling. J. Mar. Sci. Eng. 2025, 13, 2272. https://doi.org/10.3390/jmse13122272

AMA Style

Li P, Gu L, Zhu L. Motion Characteristics Analysis of the Wave Glider Under Wave and Current Coupling. Journal of Marine Science and Engineering. 2025; 13(12):2272. https://doi.org/10.3390/jmse13122272

Chicago/Turabian Style

Li, Paixia, Liangtian Gu, and Liucun Zhu. 2025. "Motion Characteristics Analysis of the Wave Glider Under Wave and Current Coupling" Journal of Marine Science and Engineering 13, no. 12: 2272. https://doi.org/10.3390/jmse13122272

APA Style

Li, P., Gu, L., & Zhu, L. (2025). Motion Characteristics Analysis of the Wave Glider Under Wave and Current Coupling. Journal of Marine Science and Engineering, 13(12), 2272. https://doi.org/10.3390/jmse13122272

Note that from the first issue of 2016, this journal uses article numbers instead of page numbers. See further details here.

Article Metrics

Back to TopTop