Sign in to use this feature.

Years

Between: -

Subjects

remove_circle_outline
remove_circle_outline
remove_circle_outline
remove_circle_outline
remove_circle_outline
remove_circle_outline
remove_circle_outline
remove_circle_outline
remove_circle_outline

Journals

remove_circle_outline
remove_circle_outline
remove_circle_outline
remove_circle_outline
remove_circle_outline
remove_circle_outline
remove_circle_outline
remove_circle_outline
remove_circle_outline

Article Types

Countries / Regions

remove_circle_outline
remove_circle_outline
remove_circle_outline
remove_circle_outline

Search Results (1,481)

Search Parameters:
Keywords = magnetic field sensors

Order results
Result details
Results per page
Select all
Export citation of selected articles as:
24 pages, 4368 KB  
Article
Research on Defect Detection by Finite Element Simulation Combined with Magnetic Imaging
by Chunmei Xu, Hongliang Gao, Yanxi Zhang, Zhengfeng Wang, Yongbiao Luo, Jian Wang, Md Rakibul Hasan, Tanmoy Mondal and Yanfeng Li
Metals 2026, 16(1), 95; https://doi.org/10.3390/met16010095 - 15 Jan 2026
Viewed by 162
Abstract
This study investigates the magneto-optical imaging (MOI) characteristics of weld defects under alternating magnetic field excitation. A magneto-optical sensor is employed to detect different types of weld defects, and the correlation between MOI features and magnetic field intensity is analyzed based on the [...] Read more.
This study investigates the magneto-optical imaging (MOI) characteristics of weld defects under alternating magnetic field excitation. A magneto-optical sensor is employed to detect different types of weld defects, and the correlation between MOI features and magnetic field intensity is analyzed based on the Faraday magneto-optical effect. A finite element analysis (FEA) model integrated with a magnetic dipole model is established to explore the relationship between lift-off values and leakage magnetic field intensity, while clarifying the connection between magnetic flux leakage (MFL) signals and defect size as well as type. The results demonstrate that defects of varying sizes and types generate distinct MFL intensities. Meanwhile, in the MOI-based nondestructive testing (NDT) experiments, the gray values of MO images corresponding to defects of different sizes and types exhibit significant differences, indicating that the gray values of MO images can reflect the magnitude of leakage magnetic field defects. This research lays a theoretical foundation for industrial MOI nondestructive testing and provides clear engineering guidance for defect detection. Full article
(This article belongs to the Special Issue Advanced Laser Welding Technology of Alloys)
Show Figures

Figure 1

15 pages, 1393 KB  
Communication
Localization of Buried Ferromagnetic Targets Using a Rotating Magnetic Sensor Array with a Joint Optimization Algorithm
by Zifan Yuan, Xingen Liu, Changping Du and Mingyao Xia
Remote Sens. 2026, 18(2), 249; https://doi.org/10.3390/rs18020249 - 13 Jan 2026
Viewed by 97
Abstract
Buried ferromagnetic targets such as unexploded ordnance generate an additional magnetic field to the main geomagnetic field, which manifests as a magnetic anomaly signal for localization. This paper presents an alternative scheme for localization by using a rotating magnetic sensor array and a [...] Read more.
Buried ferromagnetic targets such as unexploded ordnance generate an additional magnetic field to the main geomagnetic field, which manifests as a magnetic anomaly signal for localization. This paper presents an alternative scheme for localization by using a rotating magnetic sensor array and a joint optimization algorithm. Multiple magnetic sensors are integrated into an automated rotating measurement platform to achieve efficient and convenient data acquisition. To solve the target’s position coordinates, we combine quantum particle swarm optimization (QPSO) with the genetic algorithm (GA) to develop a joint optimization algorithm, which we name QPSO-GA. The proposed algorithm incorporates QPSO’s advantages of rapid convergence and local refined search with the advantages of global exploration and diversity preservation from the GA. Field experiments demonstrate that the proposed measurement system and algorithm achieve an average localization error of less than ten centimeters in a scenario with multiple sensors for multiple targets within a survey area of 4 m by 4 m, meeting general application requirements. Full article
Show Figures

Figure 1

17 pages, 3794 KB  
Article
Spectral Performance of Single-Channel Plastic and GAGG Scintillator Bars of the CUbesat Solar Polarimeter (CUSP)
by Nicolas De Angelis, Abhay Kumar, Sergio Fabiani, Ettore Del Monte, Enrico Costa, Giovanni Lombardi, Alda Rubini, Paolo Soffitta, Andrea Alimenti, Riccardo Campana, Mauro Centrone, Giovanni De Cesare, Sergio Di Cosimo, Giuseppe Di Persio, Alessandro Lacerenza, Pasqualino Loffredo, Gabriele Minervini, Fabio Muleri, Paolo Romano, Emanuele Scalise, Enrico Silva, Davide Albanesi, Ilaria Baffo, Daniele Brienza, Valerio Campomaggiore, Giovanni Cucinella, Andrea Curatolo, Giulia de Iulis, Andrea Del Re, Vito Di Bari, Simone Di Filippo, Immacolata Donnarumma, Pierluigi Fanelli, Nicolas Gagliardi, Paolo Leonetti, Matteo Mergè, Dario Modenini, Andrea Negri, Daniele Pecorella, Massimo Perelli, Alice Ponti, Francesca Sbop, Paolo Tortora, Alessandro Turchi, Valerio Vagelli, Emanuele Zaccagnino, Alessandro Zambardi and Costantino Zazzaadd Show full author list remove Hide full author list
Particles 2026, 9(1), 4; https://doi.org/10.3390/particles9010004 - 13 Jan 2026
Viewed by 164
Abstract
Our Sun is the closest X-ray astrophysical source to Earth. As such, it makes for a strong case study to better understand astrophysical processes. Solar flares are particularly interesting as they are linked to coronal mass ejections as well as magnetic field reconnection [...] Read more.
Our Sun is the closest X-ray astrophysical source to Earth. As such, it makes for a strong case study to better understand astrophysical processes. Solar flares are particularly interesting as they are linked to coronal mass ejections as well as magnetic field reconnection sites in the solar atmosphere. Flares can therefore provide insightful information on the physical processes at play on their production sites but also on the emission and acceleration of energetic charged particles towards our planet, making it an excellent forecasting tool for space weather. While solar flares are critical to understanding magnetic reconnection and particle acceleration, their hard X-ray polarization—key to distinguishing between competing theoretical models—remains poorly constrained by existing observations. To address this, we present the CUbesat Solar Polarimeter (CUSP), a mission under development to perform solar flare polarimetry in the 25–100 keV energy range. CUSP consists of a 6U-XL platform hosting a dual-phase Compton polarimeter. The polarimeter is made of a central assembly of four 4 × 4 arrays of plastic scintillators, each coupled to multi-anode photomultiplier tubes, surrounded by four strips of eight elongated GAGG scintillator bars coupled to avalanche photodiodes. Both types of sensors from Hamamatsu are, respectively, read out by the MAROC-3A and SKIROC-2A ASICs from Weeroc. In this manuscript, we present the preliminary spectral performances of single plastic and GAGG channels measured in a laboratory using development boards of the ASICs foreseen for the flight model. Full article
Show Figures

Figure 1

23 pages, 4098 KB  
Review
Contactless Inductive Sensors Using Glass-Coated Microwires
by Larissa V. Panina, Adrian Acuna, Nikolay A. Yudanov, Alena Pashnina, Valeriya Kolesnikova and Valeria Rodionova
Sensors 2026, 26(2), 428; https://doi.org/10.3390/s26020428 - 9 Jan 2026
Viewed by 217
Abstract
This paper explores the potential of amorphous and nanocrystalline glass-coated microwires as highly versatile, miniaturized sensing elements, leveraging their intrinsic nonlinear magnetization dynamics. In magnetic systems, this approach is particularly advantageous because the degree of nonlinearity can be externally tuned using stimuli such [...] Read more.
This paper explores the potential of amorphous and nanocrystalline glass-coated microwires as highly versatile, miniaturized sensing elements, leveraging their intrinsic nonlinear magnetization dynamics. In magnetic systems, this approach is particularly advantageous because the degree of nonlinearity can be externally tuned using stimuli such as applied magnetic fields, mechanical stress, or temperature variations. From this context, we summarize key properties of microwires—including bistability, a specific easy magnetization direction, internal stress distributions, and magnetostriction—that can be tailored through composition and annealing. In this review, we compare for the first time two key contactless readout methodologies: (i) time-domain detection of the switching field and (ii) frequency-domain harmonic analysis of the induced voltage. These principles have been successfully applied to a broad range of practical sensors, including devices for monitoring mechanical stress in structural materials, measuring temperature in biomedical settings, and detecting magnetic particles. Together, these advances highlight the potential of microwires for embedded, wireless sensing in both engineering and medical applications. Full article
(This article belongs to the Special Issue Recent Trends and Advances in Magnetic Sensors)
Show Figures

Figure 1

18 pages, 566 KB  
Review
Spider Silk in Fiber-Optic Sensors: Properties, Applications and Challenges
by Shuo Liu and Dongyan Zhang
Textiles 2026, 6(1), 5; https://doi.org/10.3390/textiles6010005 - 5 Jan 2026
Viewed by 257
Abstract
Spider silk, as a natural polymer fiber, possesses high tensile strength, good toughness, as well as unique thermal, optical, and biocompatibility properties. It has attracted much attention in various fields. The field of optical fiber sensors has a promising future. Given the excellent [...] Read more.
Spider silk, as a natural polymer fiber, possesses high tensile strength, good toughness, as well as unique thermal, optical, and biocompatibility properties. It has attracted much attention in various fields. The field of optical fiber sensors has a promising future. Given the excellent performance of spider silk, introducing spider silk into the field of optical fiber sensors can broaden its application scope. This paper comprehensively reviews the outstanding characteristics of spider silk and spider silk sensors based on these characteristics, such as pH sensors, breath humidity sensors, cell temperature sensors, and blood glucose sensors applied in living organisms, as well as magnetic field sensors and refractive index sensors applied in industrial fields. It also analyzes in detail the problems faced during the collection and synthesis of spider silk, aiming to provide a reference for research on the application of spider silk in the field of optical fiber sensors. Full article
(This article belongs to the Collection Feature Reviews for Advanced Textiles)
Show Figures

Figure 1

22 pages, 6781 KB  
Article
Magnetic Circuit Design and Optimization of Tension–Compression Giant Magnetostrictive Force Sensor
by Long Li, Hailong Sun, Yingling Wei, Boda Li, Hongwei Cui and Ruifeng Liu
Sensors 2026, 26(1), 295; https://doi.org/10.3390/s26010295 - 2 Jan 2026
Viewed by 454
Abstract
The variable-pitch connecting rod of a helicopter bears axial tensile and compressive loads during operation. The traditional load monitoring method using strain gauge is easily affected by external conditions. Therefore, a giant magnetostrictive (GM) tension and compression force sensor with permanent magnet bias [...] Read more.
The variable-pitch connecting rod of a helicopter bears axial tensile and compressive loads during operation. The traditional load monitoring method using strain gauge is easily affected by external conditions. Therefore, a giant magnetostrictive (GM) tension and compression force sensor with permanent magnet bias is proposed and optimized. Because the bias magnetic field plays a decisive role in the performance of the sensor, this paper has carried out in-depth research on this. Firstly, the mathematical model of the magnetic circuit is established, and the various magnetic circuits of the sensor are simulated and analyzed. Secondly, the magnetic flux uniformity of the GMM rod is used as the evaluation index, and the relative permeability of the magnetic material and the structure are systematically studied. The influence of parameters on the magnetic flux of the magnetic circuit, and finally the optimal parameter combination of the magnetic circuit is determined by orthogonal test. The results show that when the magnetic circuit without the magnetic side wall is used, the magnetic material can better guide the magnetic flux through the GMM rod; the magnetic flux uniformity of the optimized GMM force sensor is increased by 7.44%, the magnetic flux density is increased by 13.9 mT and the Hall output voltage increases linearly by 1.125% in the same proportion. This provides an important reference for improving the utilization rate of GMM rods and also improves the safety of flight operation and reduces maintenance costs. Full article
(This article belongs to the Section Physical Sensors)
Show Figures

Figure 1

36 pages, 6311 KB  
Article
Implementation of a QDBC with Hysteresis Current Control for PV-Powered Permanent-Magnet-Assisted Synchronous Reluctance Motors
by Walid Emar, Hani Attar, Ala Jaber, Hasan Kanaker, Fawzi Gharagheer and Musbah Aqel
Energies 2026, 19(1), 215; https://doi.org/10.3390/en19010215 - 31 Dec 2025
Viewed by 145
Abstract
In this paper, a permanent-magnet-assisted synchronous reluctance motor (SYNRM) coupled with a newly built QDBC and a voltage-fed inverter (VFI) for a standalone PV water pumping system is suggested. Because power supply oscillations can result in short-term disruptions that affect drive performance in [...] Read more.
In this paper, a permanent-magnet-assisted synchronous reluctance motor (SYNRM) coupled with a newly built QDBC and a voltage-fed inverter (VFI) for a standalone PV water pumping system is suggested. Because power supply oscillations can result in short-term disruptions that affect drive performance in industrial applications involving these motors, a robust smooth control system is required to guarantee high efficiency and uninterrupted operation. According to the suggested architecture, a newly built quadratic boost regulator with a very high voltage gain, called a quadruple-diode boost converter (QDBC), is used to first elevate PV voltage to high levels. Additionally, to optimize the power output of the solar PV module, the perturbation and observation highest power point tracking approach (P&O) is implemented. To provide smooth synchronous motor starting, field-oriented control (FOC) of a voltage-fed inverter (VFI) is combined with hysteresis current control of the QDBC. The optimization algorithms discussed in this paper aim to enhance the efficiency of the SYNRM, particularly in operating a synchronous motor powered by variable energy sources such as solar PV. These algorithms function within a cybernetic system designed for water pumping, incorporating feedback loops and computational intelligence for improved performance. Afterward, the three-phase permanent-magnet synchronous motor that drives the mechanical load is fed by the resulting voltage via a voltage source inverter. Furthermore, a thorough hysteresis current control method implementation of the QDBC was suggested in order to attain optimal efficiency in both devices, which is crucial when off-grids are present. Even when the DC-link voltage dropped by up to 10% of the rated voltage, the suggested method was shown to maintain the required reference torque and rated speed. To verify the efficacy of the suggested method, a simulation setup according to the MATLAB 2022b/Simulink environment was employed. To gather and analyze the data, multiple scenarios with varying operating conditions and irradiance levels were taken into consideration. Finally, a working prototype was constructed in order to validate the mathematical analysis and simulation findings of the suggested framework, which includes a 1 kW motor, current sensor, voltage sensor, QDBC, and VCS inverter. Full article
(This article belongs to the Section F3: Power Electronics)
Show Figures

Figure 1

13 pages, 3654 KB  
Article
Nonlinear Temperature and Pumped Liquid Dependence in Electromagnetic Diaphragm Pump
by Grazia Lo Sciuto, Rafał Brociek, Szymon Skupień, Paweł Kowol, Salvo Coco and Giacomo Capizzi
Fluids 2026, 11(1), 8; https://doi.org/10.3390/fluids11010008 - 28 Dec 2025
Viewed by 200
Abstract
Electromagnetic pumps are developed for industrial, medical and scientific applications, moving electrically conductive liquids and molten solder in electronics manufacturing using electromagnetism instead of mechanical parts. This study presents a comprehensive thermal analysis of an electromagnetic diaphragm pump, focusing on the influence of [...] Read more.
Electromagnetic pumps are developed for industrial, medical and scientific applications, moving electrically conductive liquids and molten solder in electronics manufacturing using electromagnetism instead of mechanical parts. This study presents a comprehensive thermal analysis of an electromagnetic diaphragm pump, focusing on the influence of operating current, permanent magnet switching speed, and cooling conditions on pumping performance. The pump utilizes a flexible diaphragm embedded with a permanent neodymium magnet, which interacts with time-varying magnetic fields generated by electromagnets to drive fluid motion. Temperature monitoring is conducted using a waterproof DS18B20 sensor and an uncooled FLIR A325sc infrared camera, allowing accurate mapping of thermal distribution across the pump surface. Experimental results demonstrate that higher current and increased magnet switching speed lead to faster temperature rise, impacting the volume of fluid pumped. Incorporation of an automatic cooling fan effectively reduces coil temperature and stabilizes pump performance. Polynomial regression models describe the relationship between temperature, pumped liquid volume, and magnet switching speed, providing information to optimize pump operation and cooling strategies. The novel relationship between temperature and the volume of the pumped liquid is considered as a fourth-degree polynomial. In particular the model describes a quantitative evaluation of the effect of heating on pumping efficiency. An initial increase in temperature correlates with a higher pumped volume, but excessive heating leads to efficiency saturation or even decline. Indeed, mathematical dependencies are crucial in mechanical pump engineering for analyzing physical phenomena; this is achieved by using a mathematical equation to define how different physical variables are related to each other, enabling engineers to calculate performance and optimize the pump design. Full article
Show Figures

Figure 1

20 pages, 4458 KB  
Article
In Situ Calibration Method for an MGT Detection System Based on Helmholtz Coils
by Ziqiang Yuan, Chen Wang, Yanzhang Xie, Yingzi Zhang and Wenyi Liu
Sensors 2026, 26(1), 191; https://doi.org/10.3390/s26010191 - 27 Dec 2025
Viewed by 401
Abstract
Vector magnetometer arrays are essential for ferromagnetic target detection and MGT measurement, but their performance is limited by proportional factor errors, triaxial non-orthogonality, soft/hard iron interference, and inconsistent array orientations. Traditional rotation-based scalar calibration requires magnetic-free turntables or manual multi-orientation operations, introducing mechanical [...] Read more.
Vector magnetometer arrays are essential for ferromagnetic target detection and MGT measurement, but their performance is limited by proportional factor errors, triaxial non-orthogonality, soft/hard iron interference, and inconsistent array orientations. Traditional rotation-based scalar calibration requires magnetic-free turntables or manual multi-orientation operations, introducing mechanical noise, orientation perturbations, and poor repeatability. This paper proposes an in situ rapid calibration method for MGT systems using triaxial Helmholtz coils. By generating three-dimensional magnetic field sequences of constant magnitude and random directions while keeping the sensors stationary, the method replaces conventional rotational excitation. A two-stage rapid calibration algorithm is developed to achieve individual sensor error modeling and array relative calibration. Experimental results show substantial improvements. The tensor invariant CT decreased from 6287.84 nT/m to 7.57 nT/m, with variance reduced from 1.46 × 106 to 13.47 nT2/m2; inter-sensor output differences were suppressed to 1–3 nT; and the magnetic field magnitude error dropped from ~940 nT to 3 × 10−4 nT, achieving a 5–6-order-of-magnitude enhancement. These results verify the method’s effectiveness in eliminating rotational errors, improving array consistency, and enabling high-precision in situ calibration with strong engineering value. Full article
(This article belongs to the Special Issue Advances in Magnetic Field Sensing and Measurement)
Show Figures

Figure 1

18 pages, 3160 KB  
Article
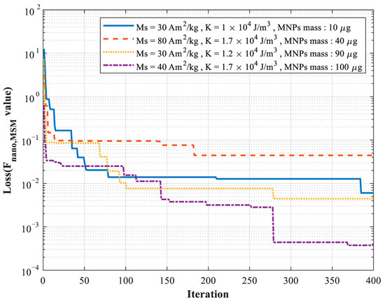
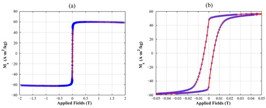
Parameter Estimation and Quantification of Magnetic Nanoparticles Based on Improved Particle Swarm Optimization
by Huangliang Wu, Hang Yu, Xiaoyu Chen, Yang Gao and Xiaolin Ning
Micromachines 2026, 17(1), 22; https://doi.org/10.3390/mi17010022 - 25 Dec 2025
Viewed by 270
Abstract
Magnetic Relaxometry (MRX) is a promising technique for probing the magnetic properties of nanoparticles with considerable potential in biomedical applications. It magnetizes magnetic nanoparticles through a direct current magnetic field to obtain measurable Néel relaxation signals when magnetic nanoparticles are combined with specific [...] Read more.
Magnetic Relaxometry (MRX) is a promising technique for probing the magnetic properties of nanoparticles with considerable potential in biomedical applications. It magnetizes magnetic nanoparticles through a direct current magnetic field to obtain measurable Néel relaxation signals when magnetic nanoparticles are combined with specific cells or antibodies. It employs highly sensitive magnetic sensors to record relaxation signals following nanoparticle magnetization, from which intrinsic parameters and quantitative information can be extracted, and ultimately completes mass detection. The essential step in MRX-based mass detection is to establish the calibration relationship between the relaxation signal amplitude reflecting the magnetic moment and the corresponding mass of magnetic nanoparticles. In this article, we present a parameter estimation and quantification framework that integrates an improved Particle Swarm Optimization (PSO) algorithm with the Moment Superposition Model (MSM) as the objective function. The proposed method effectively combines experimental data with a theoretical model, enabling accurate determination of key intrinsic parameters, including saturation magnetization and magnetic anisotropy. Building on these reliable estimating parameters, the proposed PSO algorithm is further applied to quantify nanoparticle mass. Validation through simulations and experimental data confirms the robustness of the method, with the final mass detection error reaching the microgram level. These results highlight its potential for precise characterization of magnetic nanoparticles in biomedical contexts. Full article
(This article belongs to the Section B3: Nanoparticles in Biomedicine)
Show Figures

Figure 1

14 pages, 1291 KB  
Article
Integrated Microfluidic Giant Magnetoresistance (GMR) Biosensor Platform for Magnetoresistive Immunoassay of Myoglobin
by Yikai Wang, Huaiyu Wang, Yunyun Zhang, Shuhui Cui, Fei Hu and Bo’an Li
Biosensors 2026, 16(1), 8; https://doi.org/10.3390/bios16010008 - 22 Dec 2025
Viewed by 384
Abstract
Acute myocardial infarction (AMI) is a rapidly progressing cardiovascular condition associated with high mortality. Myoglobin is an early biomarker of AMI; however, its detection using conventional methods is limited by complex workflows and low resistance to interference. In this study, we developed an [...] Read more.
Acute myocardial infarction (AMI) is a rapidly progressing cardiovascular condition associated with high mortality. Myoglobin is an early biomarker of AMI; however, its detection using conventional methods is limited by complex workflows and low resistance to interference. In this study, we developed an integrated myoglobin detection platform that combined magneto-immunoassay with microfluidic technology. A giant magnetoresistance (GMR) sensor was fabricated using micro-electro-mechanical systems (MEMS). The designed microfluidic chip integrated sample pretreatment, immunoreaction, and magnetic signal capture functionalities. Its built-in GMR sensor, labeled with magnetic nanoparticles, directly converted the “antigen–antibody” biochemical signal into detectable magnetoresistance changes, thereby enabling the indirect detection of myoglobin. A magneto-immunoassay analysis system consisted of a fluidic drive, magnetic field control, and data acquisition functions. Various key parameters were optimized, including EDC/NHS concentration, antibody concentration, and magnetic bead size. Under the optimal conditions and using 1 μm magnetic beads as labels and an external detection magnetic field of 60 Oe, the platform successfully detected myoglobin at 75 ng/mL with ∆MR ≥ 0.202%. Specificity tests demonstrated that the platform had high specificity for myoglobin and could effectively distinguish myoglobin from bovine serum albumin (BSA) and troponin I. This study presents a rapid, accurate myoglobin detection platform that can be applied for the early diagnosis of AMI. Full article
(This article belongs to the Special Issue Biosensing Technologies in Medical Diagnosis—2nd Edition)
Show Figures

Figure 1

12 pages, 2601 KB  
Article
Comparison of Giant Magnetoimpedance and Anisotropic Magnetoresistance Sensors for Residual Stress Distribution Determination in Magnetic Steels
by Sergey Gudoshnikov, Tatiana Damatopoulou and Evangelos Hristoforou
Sensors 2026, 26(1), 32; https://doi.org/10.3390/s26010032 - 20 Dec 2025
Viewed by 303
Abstract
Our team has initiated work to determine residual stresses by means of monitoring magnetic properties, namely differential permeability, magnetoacoustic emission, and surface field components. Concerning surface field measurements, Hall, AMR, and TMR sensors have been used, with AMR and TMR sensors enabling 3D [...] Read more.
Our team has initiated work to determine residual stresses by means of monitoring magnetic properties, namely differential permeability, magnetoacoustic emission, and surface field components. Concerning surface field measurements, Hall, AMR, and TMR sensors have been used, with AMR and TMR sensors enabling 3D field determination. In this paper, we compare the surface magnetic field components with residual stresses in 2 mm thick AISI 4130 steel coupons. The steel samples were in a dog-bone structure with residual stresses induced by localized RF induction heating to create a temperature gradient, followed by quenching to transform the temperature gradient into a residual stress one. GMI and AMR sensors were used to determine the localized magnetic field component distribution on the surface of the steel coupons and at the same areas where the residual stresses were determined. The GMI sensor was able to monitor the field component perpendicular to the surface of the steel coupon, while the AMR sensor was able to monitor the three field components at the same points. The results illustrated that both sensors were able to monitor residual stresses, with the GMI sensor illustrating better sensitivity at a higher cost, while the AMR sensor had a lower sensitivity with a significantly lower cost as an integrated sensor. Full article
(This article belongs to the Special Issue Recent Trends and Advances in Magnetic Sensors)
Show Figures

Figure 1

13 pages, 3049 KB  
Article
A Hybrid Piezoelectric and Photovoltaic Energy Harvester for Power Line Monitoring
by Giacomo Clementi, Luca Tinti, Luca Castellini, Mario Costanza, Igor Neri, Francesco Cottone and Luca Gammaitoni
Actuators 2026, 15(1), 1; https://doi.org/10.3390/act15010001 - 19 Dec 2025
Viewed by 387
Abstract
Monitoring the health of power lines (PL) is essential for ensuring reliable power delivery, facilitating predictive maintenance, and maintaining a resilient grid infrastructure. Given the extensive length of PL networks, large numbers of wireless sensor nodes must be deployed, often in remote and [...] Read more.
Monitoring the health of power lines (PL) is essential for ensuring reliable power delivery, facilitating predictive maintenance, and maintaining a resilient grid infrastructure. Given the extensive length of PL networks, large numbers of wireless sensor nodes must be deployed, often in remote and harsh environments where battery replacement is costly and impractical. To address these limitations, this work proposes a hybrid energy-harvesting approach that combines piezoelectric and photovoltaic (PV) technologies to enable long-term, battery-free PL monitoring. The primary energy source is a compact, tunable, magnetically coupled piezoelectric vibrational energy harvester (VEH) that exploits local magnetic field distribution, inducing mechanical excitation of a cantilever and enabling the harvesting of vibrational energy near the PL at a frequency of 50 Hz. A complementary PV harvester is integrated to ensure operation during power outages or conditions where the piezoelectric excitation is reduced, thereby enhancing system robustness. Electromechanical characterization and a lumped-parameter model show good agreement with experimental results of the proposed VEH. The system is validated both on a PL test bench (5 A–10 A) and through inertial excitation using an electrodynamic shaker, demonstrating stable performance across a wide range of operating conditions. The combined hybrid architecture highlights a promising pathway toward self-sustaining, maintenance-free sensor nodes for next-generation power line monitoring. Finally, we demonstrate the feasibility of using such system for powering a WSN node by comparing the power produced by the proposed system with the power consumption of a potential application. Full article
Show Figures

Figure 1

25 pages, 7269 KB  
Article
Wearable PPG Multi-Sensor for Skin Humidity, Temperature, and Contact Pressure Measurement in Weak Magnetic Field Environment: First-Step Experiments
by Jiří Přibil, Anna Přibilová and Tomáš Dermek
Bioengineering 2025, 12(12), 1361; https://doi.org/10.3390/bioengineering12121361 - 14 Dec 2025
Viewed by 749
Abstract
This study describes the developed special prototype of a wearable measuring device based on a photoplethysmography (PPG) sensor. It contains also a humidity sensor and a thermometer to measure skin moisture and temperature, and a force-sensitive (FSR) element to sense a contact pressure [...] Read more.
This study describes the developed special prototype of a wearable measuring device based on a photoplethysmography (PPG) sensor. It contains also a humidity sensor and a thermometer to measure skin moisture and temperature, and a force-sensitive (FSR) element to sense a contact pressure between the measuring probe and the skin surface. All parts of the multi-sensor are shielded, to be applicable in a weak magnetic field environment. After the basic sensor’s functionality verification inside the magnetic resonance imaging tomograph, a set of experiments was performed. Comparative measurements by an oximeter confirm good correspondence with heart rate values determined from PPG (HRPPG) and FSR (HRFSR) signals—the mean absolute error lies below 0.5 min−1 for both types. The sensing of PPG signals on wrists was realized for Normal, Dry, and Wet skin. In comparison with normal skin conditions, drying decreases the PPG signal range by 7% and the systolic pulse width by 8%, while moistening increases the signal ripple by 3% and decreases the correlation between HRPPG and HRFSR values by 5%. The detailed analysis per hand and gender types yields differences between male and female subjects, while the results for left and right hands differ less. Full article
(This article belongs to the Special Issue Advanced Biomedical Signal Communication Technology)
Show Figures

Graphical abstract

52 pages, 5061 KB  
Systematic Review
Personal Glucose Meter: Biosensing Platforms for Environmental Toxicants
by Elena Dorozhko, Anna Solomonenko, Alena Koltsova, Elena Korotkova, Ekaterina Mikhnevich, Mrinal Vashisth, Pradip Kar, Amrit Hui and Muhammad Saqib
Biosensors 2025, 15(12), 811; https://doi.org/10.3390/bios15120811 - 13 Dec 2025
Viewed by 524
Abstract
The detection of environmental toxicants is transitioning from centralized laboratory methods to decentralized, point-of-care (POC) monitoring. A highly innovative approach in this field is the repurposing of commercially available, low-cost, and portable personal glucose meters (PGMs) as universal biosensing platforms. This strategy leverages [...] Read more.
The detection of environmental toxicants is transitioning from centralized laboratory methods to decentralized, point-of-care (POC) monitoring. A highly innovative approach in this field is the repurposing of commercially available, low-cost, and portable personal glucose meters (PGMs) as universal biosensing platforms. This strategy leverages the widespread availability and ease of use of PGMs to develop rapid, on-site detection methods for a wide array of non-glucose targets, significantly reducing both cost and development time. This systematic review comprehensively examines the various strategies employed to adapt PGMs for the detection of a wide array of ecotoxicants, including chemical targets (antibiotics, mycotoxins, pesticides, heavy metals, persistent organic pollutants) and biological ones (pathogenic bacteria, and viruses). The systematic review critically evaluates different sensor designs, highlighting that while aptamer-based and non-enzymatic biosensors offer advantages in stability and cost, antibody-based sensors provide high specificity. A significant finding is the persistent trade-off between analytical sensitivity and practical field deployment; many of the most sensitive assays require multi-step procedures, precise temperature control, magnetic separation, centrifugation, and the use of additional equipment, factors that undermine true POC utility. To address this gap, we propose four essential criteria for POC readiness: (i) ambient-temperature operation, (ii) no reliance on magnetic or centrifugal separation, (iii) total assay time, and (iv) robustness in complex environmental matrices. This systematic review confirms the feasibility of this approach across a broad spectrum of targets. However, the key challenge for future research lies in simplifying the assay protocols, eliminating cumbersome sample preparation steps, and enhancing robustness to make these biosensors truly practical for routine, on-site environmental monitoring. Full article
(This article belongs to the Special Issue Electrochemical Biosensors in Healthcare Services)
Show Figures

Graphical abstract

Back to TopTop