Research on Defect Detection by Finite Element Simulation Combined with Magnetic Imaging
Abstract
1. Introduction
2. The Principle of MFL Field Formation from Defects Under Alternating Magnetic Field Excitation
2.1. The Principle of MFL Testing
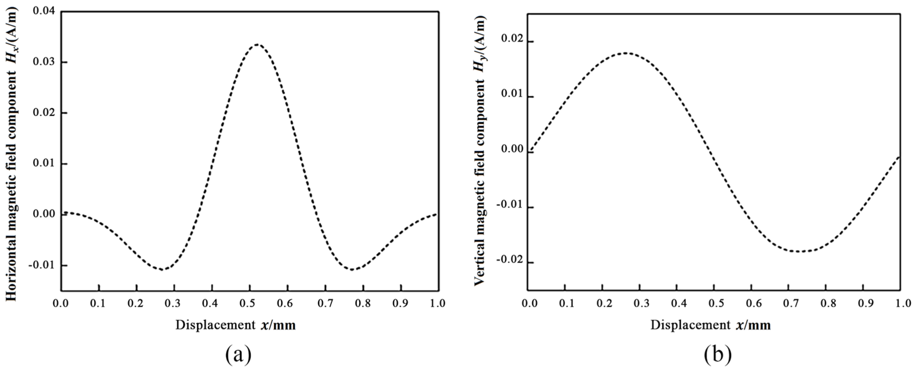
2.2. Analysis of MFL Signal Characteristics
2.3. The Faraday Effect
2.4. Working Principle of the Magneto-Optical Sensor
3. Numerical Modeling for Welding Defect Detection
3.1. Establishment of the Welding Defect Model
3.2. Analysis of the Influence of Instrument Lift-Off Value on the MFL
3.3. Analysis of the Influence of Defect Depth on the MFL
3.4. Analysis of the Influence of Defect Width on the MFL
3.5. Analysis of the Influence of Defect Aspect Ratio on the Magnetic Leakage Field
4. Results and Discussion
4.1. Experimental Results
4.2. Discussion
5. Conclusions
Author Contributions
Funding
Data Availability Statement
Conflicts of Interest
References
- Yang, S.T.; Yang, Q.H.; Zhang, D.; Zhang, Y.J.; Yu, J.Y.; Li, H.; Wang, F.; Zhang, H.W. Magneto-optical imaging technology and application of garnet thin films in non-destructive testing. J. Magn. Mater. Devices 2024, 55, 90–101. [Google Scholar]
- Ji, Y.K.; Wang, C.Y.; Liu, Q.W.; Zhang, Y.X.; Gao, X.D. Three-dimensional contour reconstruction of welding defects using magneto-optical imaging. Opt. Precis. Eng. 2022, 30, 108–116. [Google Scholar] [CrossRef]
- Rautiainen, M.; Remes, H.; Niemela, A.; Romanoff, J. Fatigue strength assessment of complex welded structures with severe force concentrations along a weld seam. Int. J. Fatigue 2023, 167, 107321. [Google Scholar] [CrossRef]
- Pape, F.; Coors, T.; Matthias, T.; Poll, G.; Behrens, B.A. Ultrasonic Evaluation of Tailored Forming Components. In Bearing Steel Technologies: 12th Volume, Progress in Bearing Steel Metallurgical Testing and Quality Assurance; ASTM International: West Conshohocken, PA, USA, 2020. [Google Scholar]
- Yuan, X.; Wang, H.; Li, W.; Yin, X.; Zhao, J.; Zhao, J.; Ding, J.; Li, X.; Wang, W.; Hu, D.; et al. Uniform alternating current field monitoring sensor array for imaging and quantitation of cracks in aluminum alloy structures. IEEE Sens. J. 2024, 24, 679–688. [Google Scholar] [CrossRef]
- Nijssen, T.M.J.; Dijk, M.A.H.; Kuipers, H.A.M.; van der Stel, J.; Adema, A.T.; Buist, K.A. Experiments on floating bed rotating drums using magnetic particle tracking. AIChE J. 2022, 68, e17627. [Google Scholar] [CrossRef]
- Li, Y.; Gao, X.; Zhang, Y.; You, D.; Zhang, N.; Wang, C.; Wang, C. Detection model of invisible weld defects by magneto-optical imaging at rotating magnetic field directions. Opt. Laser Technol. 2020, 121, 105772. [Google Scholar] [CrossRef]
- Deng, Y.; Liu, X.; Udpa, L. Magneto-optic imaging for aircraft skins inspection: A probability of detection study of simulated and experimental image data. IEEE Trans. Reliab. 2012, 61, 901–908. [Google Scholar] [CrossRef]
- Jesenska, E.; Yoshida, T.; Shinozaki, K. Optical and magneto-optical properties of Bi substituted yttrium iron garnets prepared by metal organic decomposition. Opt. Mater. Express 2016, 6, 1986–1997. [Google Scholar] [CrossRef]
- Tian, M.; Gao, X.D.; Xie, Y.X.; Zhang, Y. Study on Noise feature analysis and processing algorithm of magneto-optical image of welding defects. Laser Technol. 2023, 47, 646–652. [Google Scholar]
- Gao, X.; Du, L.; Ma, N.; Zhou, X.; Wang, C.; Gao, P.P. Magneto-optical imaging characteristics of weld defects under alternating and rotating magnetic field excitation. Opt. Laser Technol. 2019, 112, 188–197. [Google Scholar] [CrossRef]
- Gao, X.; Mo, L.; Xiao, Z.; Chen, X.; Katayama, S. Seam tracking based on Kalman filtering of micro-gap weld using magneto-optical image. Int. J. Adv. Manuf. Technol. 2016, 83, 21–32. [Google Scholar]
- Dharmawan, I.D.M.O.; Lee, J.; Sim, S. Defect shape classification using transfer learning in deep convolutional neural network on magneto-optical nondestructive inspection. Appl. Sci. 2022, 12, 7613. [Google Scholar] [CrossRef]
- Cheng, Y.H.; Liu, X.M.; Tian, G.Y.; Bai, L. Visual detection of subsurface defects using enhanced magneto-optic imaging system. In Proceedings of the Eighth International Symposium on Precision Engineering Measurement and Instrumentation, Chengdu, China, 8–11 August 2012; pp. 385–390. [Google Scholar]
- Cheng, Y.; Liu, X.; Deng, Y. An innovative exciting coil design for magneto-optic imaging in nondestructive evaluation. In Proceedings of the 2013 IEEE International Instrumentation and Measurement Technology Conference (I2MTC), Minneapolis, MN, USA, 6–9 May 2013; pp. 1795–1800. [Google Scholar]
- Cheng, Y.; Tian, L.; Yin, C.; Huang, X.; Cao, J.; Bai, L. Research on crack detection applications of improved PCNN algorithm in moi nondestructive test method. Neurocomputing 2018, 277, 249–259. [Google Scholar] [CrossRef]
- Li, S.; Zhang, J.; Liu, G.; Chen, N.; Tian, L.; Bai, L.; Chen, C. Image Registration for Visualizing Magnetic Flux Leakage Testing under Different Orientations of Magnetization. Entropy 2023, 25, 167. [Google Scholar] [CrossRef]
- Li, Y.; Gao, X.; Chen, Y.; Zhou, X.; Zhang, Y.; You, D. Modeling for tracking micro gap weld based on magneto-optical sensing and Kalman filtering. IEEE Sens. J. 2020, 21, 11598–11614. [Google Scholar] [CrossRef]
- Gatzen, H.H.; Wu, K.H.; Traisigkhachol, O. Development of a recording head for magnetic storage of information on machine components. ECS Trans. 2007, 3, 191. [Google Scholar] [CrossRef]
- van Dendriessche, S.; Valev, V.K.; Verbiest, T. Faraday rotation and its dispersion in the visible region for saturated organic liquids. Phys. Chem. Chem. Phys. 2012, 14, 1860–1864. [Google Scholar] [CrossRef] [PubMed]
- Chai, D. Study on Scanning Eddy Current Magneto-Optical Imaging Defect Detection System. Master’s Thesis, Henan University of Technology, Zhengzhou, China, 2025. [Google Scholar]
- Gao, F.; Li, X.Y.; Zhang, S.; Lu, C.H. Orthogonal excitation magneto-optical imaging restoration of damaged characters. Laser Optoelectron. Prog. 2023, 60, 301–308. [Google Scholar]
- Liu, Y.T. Magneto-optical imaging enhancement based on dynamic universe algorithm. Laser Infrared 2022, 52, 368–374. [Google Scholar]
- Dai, X.X.; Gao, X.D.; Zheng, Q.Q.; Ji, Y.K. Fuzzy clustering identification of weld defects using magneto-optical imaging. Trans. China Weld. Inst. 2021, 42, 54–57+101. [Google Scholar]
- Li, Y.F.; Ji, Y.K.; Gao, X.D.; Zhang, Y.; Sun, Y.; Xiao, X.; Pan, C. Analysis of magneto-optical imaging characteristics of weld defects under alternating magnetic fields. China Mech. Eng. 2021, 32, 1547–1554. [Google Scholar]
- He, X.; Li, L.Y.; Wang, T.Q. Surface defects detection and classification of low-carbon steel WAAM formed parts based on magneto-optical imaging. Chin. J. Sci. Instrum. 2020, 41, 255–262. [Google Scholar]
- Wang, C.C. Microstructure and Defect Detection of Welds Using Magneto-Optical Imaging. Master’s Thesis, Guangdong University of Technology, Guangzhou, China, 2020. [Google Scholar]
- Lu, Y.; Wang, D.; Cao, L.; Ma, L.; Zeng, H. Comparative Analysis of Mechanical Properties and Microstructure of 7B52 Aluminum Alloy Laser-MIG Hybrid Welding and MIG Welding Joints. Metals 2024, 14, 1110. [Google Scholar] [CrossRef]
- Li, Y. Magneto-Optical Imaging Feature Analysis and Identification of Welding Defects Under Alternating/Rotating Magnetic Fields. Ph.D. Thesis, Guangdong University of Technology, Guangzhou, China, 2019. [Google Scholar]
- Shin, S.; Jin, C.; Yu, J.; Rhee, S. Real-Time Detection of Weld Defects for Automated Welding Process Base on Deep Neural Network. Metals 2020, 10, 389. [Google Scholar] [CrossRef]
- Zhang, S.; Ducharne, B.; Uchimoto, T.; Kita, A.; Deffo, Y.T. Simulation tool for eddy current magnetic signature (EC-MS) non-destructive method. J. Magn. Magn. Mater. 2020, 513, 167221. [Google Scholar] [CrossRef]
- Qiu, F.S. Stress Characterization Based on Magnetic Domain Dynamic Behavior. Ph.D. Thesis, University of Electronic Science and Technology of China, Chengdu, China, 2019. [Google Scholar]
- Arslan, M.; Tosun, İ. Fracture load and microcrack comparison of crowns manufactured from tooth-shaped and traditional blocks. Microsc. Res. Tech. 2021, 84, 111–118. [Google Scholar] [CrossRef]
- Zhang, J. Magneto-Optical Imaging Defect Detection Based on Low-Frequency Orthogonal Excitation. Ph.D. Thesis, University of Electronic Science and Technology of China, Chengdu, China, 2019. [Google Scholar]
- Rao, B.S. Dynamic histogram equalization for contrast enhancement for digital images. Appl. Soft Comput. 2020, 89, 106114. [Google Scholar] [CrossRef]
- Zheng, Q.Q.; Gao, X.D.; Dai, X.X. Dynamic magneto-optical imaging detection and classification of welding defects. Appl. Laser 2018, 38, 656–661. [Google Scholar]
- Long, Y.; Huang, S.L.; Peng, L.S.; Wang, S.; Zhao, W. Characteristic approximation approach for defect opening profile recognition in magnetic flux leakage detection. IEEE Trans. Instrum. Meas. 2021, 70, 6003912. [Google Scholar] [CrossRef]
- Greebmalai, J.; Sadasue, S.; Marumoto, K.; Warinsiriruk, E.; Yamamoto, M. Weld Formation and Characteristics of Hot-Wire Laser Welding in Aluminum Alloy Narrow-Gap Joints. Metals 2025, 15, 809. [Google Scholar] [CrossRef]
- Xiang, Q.; Wu, G.; Liu, Z.; Zeng, X. Improved of YOLOv8-n Algorithm for Steel Surface Defect Detection. Metals 2025, 15, 843. [Google Scholar] [CrossRef]
- Tian, L.L.; Cheng, Y.H.; Yin, C.; Ding, D.; Song, Y.; Bai, L. Design of MOI method based on artificial neural network for crack detection. Neurocomputing 2017, 226, 80–89. [Google Scholar] [CrossRef]
- Ling, M.O. Study on Magneto-Optical Imaging Recognition Model for Micro-Gap Welds. Ph.D. Thesis, Guangdong University of Technology, Guangzhou, China, 2016. [Google Scholar]























| Property | Value |
|---|---|
| Relative Permeability | 4000 |
| Electrical Conductivity | 1.12 × 107 S/m |
| Relative Permittivity | 1 |
| Coefficient of Thermal Expansion | 12.2 × 10−6 |
| Constant Pressure Heat Capacity | 440 J/(kg∗K) |
| Density | 7870 kg/m3 |
| Thermal Conductivity | 76.2 W/(m∗K) |
| Young’s Modulus | 200 × 109 Pa |
| Poisson’s Ratio | 0.29 |
| Model Name | Material | Relative Permeability μ | Resistivity/(Ω·m) |
|---|---|---|---|
| Magnetic Core | Mn-Zn Ferrite | 5500 | |
| Excitation Coil | Copper | 0.999991 | |
| Test Specimen | Q235 | B-H Curve |
| Depth/mm | 0.5 | 0.5 | 1.0 | 1.5 | 2 |
| Width/mm | 1.5 | 1.0 | 1.5 | 2.0 | 2.5 |
| Aspect Ratio K | 1:3 | 1:2 | 2:3 | 3:4 | 4:5 |
| Depth/mm | 1 | 1.5 | 2.0 | 2.5 |
| Width/mm | 0.5 | 1.0 | 1.5 | 2.0 |
| Aspect Ratio K | 2:1 | 3:2 | 4:3 | 5:4 |
| Defect Types | PIW | Frame 1 | Frame 2 | Frame 3 |
|---|---|---|---|---|
| Surface crack | ![]() | ![]() | ![]() | ![]() |
| Subsurface crack | ![]() | ![]() | ![]() | ![]() |
| Non- penetration | ![]() | ![]() | ![]() | ![]() |
| No defects | ![]() | ![]() | ![]() | ![]() |
Disclaimer/Publisher’s Note: The statements, opinions and data contained in all publications are solely those of the individual author(s) and contributor(s) and not of MDPI and/or the editor(s). MDPI and/or the editor(s) disclaim responsibility for any injury to people or property resulting from any ideas, methods, instructions or products referred to in the content. |
© 2026 by the authors. Licensee MDPI, Basel, Switzerland. This article is an open access article distributed under the terms and conditions of the Creative Commons Attribution (CC BY) license.
Share and Cite
Xu, C.; Gao, H.; Zhang, Y.; Wang, Z.; Luo, Y.; Wang, J.; Hasan, M.R.; Mondal, T.; Li, Y. Research on Defect Detection by Finite Element Simulation Combined with Magnetic Imaging. Metals 2026, 16, 95. https://doi.org/10.3390/met16010095
Xu C, Gao H, Zhang Y, Wang Z, Luo Y, Wang J, Hasan MR, Mondal T, Li Y. Research on Defect Detection by Finite Element Simulation Combined with Magnetic Imaging. Metals. 2026; 16(1):95. https://doi.org/10.3390/met16010095
Chicago/Turabian StyleXu, Chunmei, Hongliang Gao, Yanxi Zhang, Zhengfeng Wang, Yongbiao Luo, Jian Wang, Md Rakibul Hasan, Tanmoy Mondal, and Yanfeng Li. 2026. "Research on Defect Detection by Finite Element Simulation Combined with Magnetic Imaging" Metals 16, no. 1: 95. https://doi.org/10.3390/met16010095
APA StyleXu, C., Gao, H., Zhang, Y., Wang, Z., Luo, Y., Wang, J., Hasan, M. R., Mondal, T., & Li, Y. (2026). Research on Defect Detection by Finite Element Simulation Combined with Magnetic Imaging. Metals, 16(1), 95. https://doi.org/10.3390/met16010095

















