Sign in to use this feature.

Years

Between: -

Subjects

remove_circle_outline
remove_circle_outline
remove_circle_outline
remove_circle_outline
remove_circle_outline
remove_circle_outline
remove_circle_outline
remove_circle_outline
remove_circle_outline

Journals

remove_circle_outline
remove_circle_outline
remove_circle_outline
remove_circle_outline
remove_circle_outline
remove_circle_outline
remove_circle_outline
remove_circle_outline
remove_circle_outline
remove_circle_outline
remove_circle_outline
remove_circle_outline
remove_circle_outline
remove_circle_outline
remove_circle_outline
remove_circle_outline
remove_circle_outline
remove_circle_outline
remove_circle_outline

Article Types

Countries / Regions

remove_circle_outline
remove_circle_outline
remove_circle_outline
remove_circle_outline
remove_circle_outline
remove_circle_outline
remove_circle_outline

Search Results (1,813)

Search Parameters:
Keywords = low-temperature drying

Order results
Result details
Results per page
Select all
Export citation of selected articles as:
26 pages, 5832 KB  
Article
Effects of Low Temperature Stress During Jointing Stage on the Source–Flow–Sink System in Winter Wheat
by Fengyin Zhang, Jiayi Wang, Jianying Yang, Cheng Lin, Na Wang, Wei Zheng and Zhiguo Huo
Agriculture 2026, 16(7), 738; https://doi.org/10.3390/agriculture16070738 - 27 Mar 2026
Viewed by 198
Abstract
Low-temperature stress during the jointing stage severely disrupts the coordination of the source–flow–sink system in winter wheat. To elucidate the underlying mechanism, three wheat cultivars with different winter habits (Zhenmai 12, Jimai 22, and Shannong 38) were selected and subjected to six temperature [...] Read more.
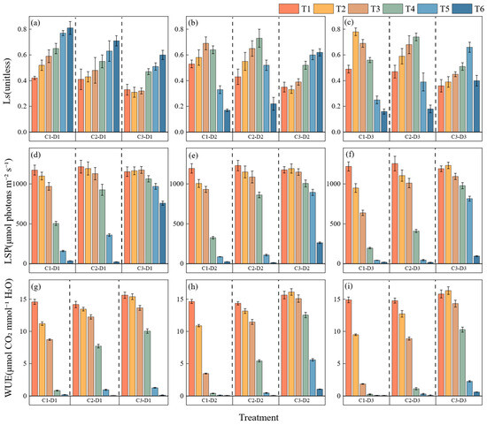
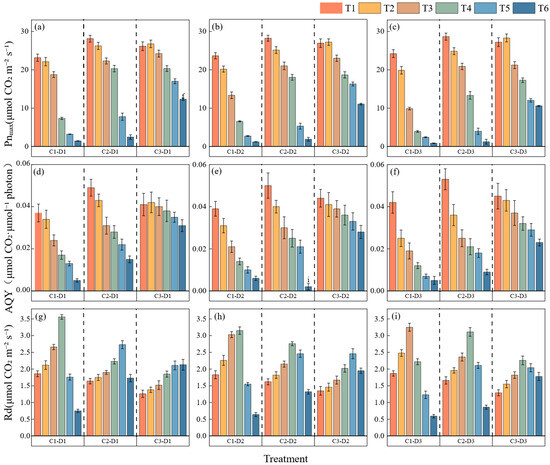
Low-temperature stress during the jointing stage severely disrupts the coordination of the source–flow–sink system in winter wheat. To elucidate the underlying mechanism, three wheat cultivars with different winter habits (Zhenmai 12, Jimai 22, and Shannong 38) were selected and subjected to six temperature levels (−6 °C to 8 °C) and three stress durations (2–6 days). The effects of vascular bundle traits on the transport of photosynthetic products, dry matter distribution, and yield formation were analyzed. The results showed that Zhenmai 12 and Jimai 22 completely ceased photosynthesis under 0 °C and −3 °C, respectively. The leaf vascular bundle area continuously decreased with increasing low-temperature stress, while the proportion of xylem and phloem initially increased by approximately 15% and 10%, respectively, before rapidly decreasing to 65% of the control value. In the stem, the three vascular bundle parameters initially increased by 20%, 25%, and 20%, respectively, before quickly decreasing to 50%. Changes in the vascular bundle structure weakened the transport capacity of assimilates, with dry matter in leaves and stems decreasing by 15–20% and 10%, respectively, while the root dry matter increased by 20–30%. Correlation analysis revealed highly significant relationships (p < 0.001) between vascular bundle parameters and yield components. Principal component and cluster analyses indicate that the area of leaf and stem vascular bundles, maximum net photosynthetic rate, and water use efficiency may be key indicators in explaining the variation in yield. Radar plots further validated this finding, showing that Zhenmai 12 and Jimai 22 are more sensitive to changes in the maximum net photosynthetic rate, while Shannong 38 exhibits a greater sensitivity to changes in water use efficiency. Based on existing research on photosynthetic pathways and dry matter distribution, this study innovatively investigates the potential relationship between material transport and yield formation under low-temperature stress during the jointing stage from the perspective of anatomical structure and functional coupling. The findings provide new insights into understanding the structural impact of low-temperature stress on crop yield formation and offer theoretical support for identifying the structural basis of limited material transport under stress and for developing disaster diagnostic models driven by structural parameters. Full article
(This article belongs to the Section Crop Production)
Show Figures

Figure 1

26 pages, 3021 KB  
Article
Agro-Industrial Waste Valorization for Sustainable PHBV Production from Sugarcane Bagasse Using Bacillus sp. HLI02
by Komal Singh, Preeti Tomer, Debarati Paul, Narayan Chandra Mishra, Tanushri Mukherjee, Debashish Ghosh, Monica Trif, Sourish Bhattacharya, Alexandru Vasile Rusu and Saugata Hazra
Polymers 2026, 18(7), 802; https://doi.org/10.3390/polym18070802 - 26 Mar 2026
Viewed by 245
Abstract
The large-scale production of microbial bioplastics remains limited by high production costs, reliance on refined substrates, and inefficient utilization of agro-industrial residues. Although sugarcane bagasse has been explored as a carbon source for polyhydroxyalkanoate production, studies have predominantly focused on poly (3-hydroxybutyrate) (PHB), [...] Read more.
The large-scale production of microbial bioplastics remains limited by high production costs, reliance on refined substrates, and inefficient utilization of agro-industrial residues. Although sugarcane bagasse has been explored as a carbon source for polyhydroxyalkanoate production, studies have predominantly focused on poly (3-hydroxybutyrate) (PHB), with limited reports on copolymer synthesis from pentose-rich lignocellulosic streams. In this study, a newly isolated Bacillus sp. HLI02 was employed for the biosynthesis of poly(3-hydroxybutyrate-co-3-hydroxyvalerate) (PHBV), using pentosan-rich sugarcane bagasse hydrolysate as an inexpensive and sustainable carbon source. Fermentation parameters were systematically optimized at different pH and temperature, and the strain demonstrated efficient conversion of xylose-rich hydrolysate into PHBV without the requirement for external nutrient supplementation. Under optimized conditions (pH 7.0, 37 °C, and C/N ratio of 40), a maximum PHBV yield of 2 g/L, corresponding to 59.5% of cell dry weight, was achieved. Structural and compositional analyses using Fourier transform infrared spectroscopy (FTIR), gel permeation chromatography (GPC), and 1H and 13C nuclear magnetic resonance (NMR) spectroscopy confirmed successful PHBV copolymer formation with well-defined structural characteristics. Thermal analysis revealed a decomposition temperature of 166 °C, indicating good thermal stability. The produced PHBV further exhibited favourable biocompatibility and biodegradability, supporting its potential applicability in sustainable packaging and related sectors. This work demonstrates the effective conversion of hemicellulosic sugarcane bagasse hydrolysate into PHBV using a newly isolated Bacillus strain, highlighting an underexplored route for copolymer production from agro-waste–derived C5 sugars. By integrating low-cost feedstock utilization with process optimization and comprehensive polymer characterization, this study contributes to the development of economically viable and sustainable bio-based polymer production strategies. Full article
(This article belongs to the Special Issue Advances in Bio-Based Polymers for Sustainable Packaging)
Show Figures

Figure 1

20 pages, 2737 KB  
Article
Ammonium Bisulfite and Urea–Metabisulfite as Formaldehyde Scavengers in Low-Molar-Ratio Urea–Formaldehyde Resin for Medium-Density Fiberboard: Curing Behavior and Panel Performance
by Viktoria Dudeva, Georgi Ivanov, Viktor Savov, Petar Antov, Konstantinos Ninikas, Stoyko Petrin and Alexandrina Kostadinova-Slaveva
Polymers 2026, 18(7), 786; https://doi.org/10.3390/polym18070786 - 25 Mar 2026
Viewed by 241
Abstract
Ultra-low-formaldehyde medium-density fiberboard (MDF) is commonly produced using low-molar-ratio urea-formaldehyde (UF) resins; however, the reduced formaldehyde-to-urea ratio also lowers resin reactivity and can complicate curing. The aim of this research work was to investigate and evaluate the performance of ammonium bisulfite and urea–metabisulfite [...] Read more.
Ultra-low-formaldehyde medium-density fiberboard (MDF) is commonly produced using low-molar-ratio urea-formaldehyde (UF) resins; however, the reduced formaldehyde-to-urea ratio also lowers resin reactivity and can complicate curing. The aim of this research work was to investigate and evaluate the performance of ammonium bisulfite and urea–metabisulfite as formaldehyde scavengers for a low-molar-ratio UF resin (F/U = 1.06) at 1, 3, and 5 wt% (based on dry UF resin solids) used for MDF panel manufacturing. The modified adhesive systems were first screened by simultaneous thermal analysis in air to determine changes in the curing profile, and laboratory panels were then produced and evaluated for formaldehyde content by the perforator method (EN ISO 12460-5:2015) and for the main physical and mechanical properties. Ammonium bisulfite shifted the main curing peak to higher temperatures, indicating stronger retardation of the principal polycondensation stage, whereas urea–metabisulfite generated a broader, multi-peak curing profile. Despite these differences, both additives reduced the perforator values substantially. The control MDF already met the E0 level (3.84 mg/100 g oven-dry board), while 3 wt% ammonium bisulfite and 5 wt% urea–metabisulfite reached the super E0 levels (<1.5 mg/100 g; 1.36 and 1.26 mg/100 g, respectively). To note, scavenger addition up to 5 wt% (based on dry UF resin solids) did not significantly affect density, water absorption/thickness swelling, or bending and internal bond properties. The results demonstrate that sulfite-based scavengers can be incorporated into low-molar-ratio UF adhesives to obtain ultra-low-formaldehyde MDF while maintaining the main panel properties. Full article
(This article belongs to the Special Issue Advances in Wood and Wood Polymer Composites)
Show Figures

Figure 1

19 pages, 547 KB  
Article
Effect of Storage Temperature on Sliced Vacuum-Packed Dry-Cured Portuguese Sausage (Painho de Porco Preto)
by Sofia Trindade, Ana Cristina Agulheiro-Santos, Alberto Ortiz, Lucía León, Maria Freire, David Tejerina and Miguel Elias
Foods 2026, 15(7), 1119; https://doi.org/10.3390/foods15071119 - 24 Mar 2026
Viewed by 120
Abstract
Painho de Porco Preto is a traditional product of the Alentejo region, made with cuts of Alentejano autochthonous breed pigs. The objective of this study was to evaluate how different storage temperatures (4 °C and room temperature (20 ± 2 °C)) could influence [...] Read more.
Painho de Porco Preto is a traditional product of the Alentejo region, made with cuts of Alentejano autochthonous breed pigs. The objective of this study was to evaluate how different storage temperatures (4 °C and room temperature (20 ± 2 °C)) could influence the quality and safety of the sliced vacuum-packed Painho de Porco Preto, throughout 6 months of storage. Analyses included physicochemical parameters, microbiological, and sensory analysis. Throughout storage, the product showed low TBARS values (<3 MDA/kg) and stable tocopherol levels under both storage conditions, although the samples at room temperature performed slightly better. aw and pH values were higher for samples stored at 4 °C, which influenced the results of some parameters. Color coordinate b* had an increase in values by the end of storage for the fat portion of the slices, but the rest of the parameters stayed stable. Nitrate/nitrite contents remained within expected ranges for dry-cured sausages. Microbiological analyses confirmed the absence of major pathogens during the study period, while variations in growth were observed depending on storage temperature. In sum, the results indicate that sliced vacuum-packaged Painho de Porco Preto can maintain acceptable quality and safety for 6 months at room temperature. These findings provide useful information for the meat industry by supporting the optimization of storage strategies and shelf-life management for sliced traditional dry-cured sausages. Full article
15 pages, 3475 KB  
Article
Effect of Phase Composition on the Tribological Behavior and Corrosion Resistance of 30Cr13 Martensitic Stainless Steel After Low-Temperature Ion Plasma Nitriding
by Kuanysh Ormanbekov, Zarina Satbayeva, Duman Orynbekov, Ainur Zhassulan, Bauyrzhan Rakhadilov, Aibek Shynarbek and Nurlat Kadyrbolat
Metals 2026, 16(3), 356; https://doi.org/10.3390/met16030356 - 23 Mar 2026
Viewed by 163
Abstract
The present study investigates the effect of low-temperature ion plasma nitriding on the phase composition, microstructure, tribological behavior, and corrosion resistance of 30Cr13 martensitic stainless steel. Plasma nitriding was carried out at temperatures of 400, 450, and 480 °C in a dissociated ammonia [...] Read more.
The present study investigates the effect of low-temperature ion plasma nitriding on the phase composition, microstructure, tribological behavior, and corrosion resistance of 30Cr13 martensitic stainless steel. Plasma nitriding was carried out at temperatures of 400, 450, and 480 °C in a dissociated ammonia atmosphere using a pulsed DC glow discharge. The phase composition and structural evolution of the surface layer were analyzed by X-ray diffraction, while the morphology and thickness of the modified zone were examined using scanning electron microscopy. The tribological properties were evaluated under dry sliding conditions using a ball-on-disk configuration, and corrosion resistance was assessed by potentiodynamic polarization in a 3.5 wt.% NaCl solution. It was established that low-temperature ion plasma nitriding leads to the formation of nitrogen supersaturated martensite (α′N) and the nitride phase ε-(Fe2–3)N, with their relative fraction governed by the treatment temperature. An increase in the nitriding temperature resulted in a rise in the surface’s microhardness up to 1100–1150 HV and a change in the thickness of the modified layer, reflecting nitrogen redistribution between the solid solution and nitride constituents. The predominance of the α′N phase at 400–450 °C ensured the most stable tribological behavior and reduced corrosion rate, whereas an increased fraction of ε-(Fe2–3)N at 480 °C led to a higher microhardness and a greater abrasive wear component while maintaining satisfactory corrosion resistance. The obtained results confirm the decisive role of phase composition in the nitrided layer in determining the tribological and corrosion performance of 30Cr13 steel, and may be used for optimizing the surface hardening parameters of components operating under combined friction and corrosive environments. Full article
Show Figures

Figure 1

16 pages, 1437 KB  
Review
Environmental Regulation of 2-Acetyl-1-pyrroline Biosynthesis in Fragrant Rice: From Metabolic Pathways to Sustainable Quality Management
by Junjun Guo, Junyi Miao, Jin Chen, Deqian Huang, Chuyi Wang and Jiancheng Wen
Genes 2026, 17(3), 349; https://doi.org/10.3390/genes17030349 - 22 Mar 2026
Viewed by 248
Abstract
The market value of fragrant rice is largely defined by the presence and intensity of its aroma, which is primarily attributed to volatile compound 2-acetyl-1-pyrroline (2-AP). The biosynthesis of 2-AP is chiefly governed by recessive alleles of the badh2 gene. Nevertheless, 2-AP accumulation [...] Read more.
The market value of fragrant rice is largely defined by the presence and intensity of its aroma, which is primarily attributed to volatile compound 2-acetyl-1-pyrroline (2-AP). The biosynthesis of 2-AP is chiefly governed by recessive alleles of the badh2 gene. Nevertheless, 2-AP accumulation is also profoundly shaped by environmental factors and agronomic management. Field practices—such as balanced nitrogen and potassium fertilization, supplementation with trace elements, and application of plant growth regulators like methyl jasmonate—promote 2-AP synthesis by increasing precursor availability and enhancing the activity of key enzymes. Additionally, tillage systems, alternate wetting and drying irrigation, optimal planting density, and harvest timing significantly affect aroma quality. Abiotic stresses, including moderate drought, salinity, optimal temperatures around 25 °C, and low light during grain filling, can also stimulate 2-AP accumulation, often through shifts in proline metabolism and activation of stress-responsive pathways involving GABA and methylglyoxal. Despite the promise of these strategies, several challenges persist, such as the common trade-off between yield and aroma intensity, complex genotype-by-environment interactions, and incomplete elucidation of the molecular mechanisms involved. Moving forward, integrating multi-omics analyses with smart agriculture technologies will be essential to unravel the regulatory networks underlying aroma formation and to advance the breeding of high-yielding fragrant rice varieties with stable aroma traits under changing climate scenarios. Full article
(This article belongs to the Section Genes & Environments)
Show Figures

Figure 1

18 pages, 2273 KB  
Article
Physicochemical Characterization of Biochar Sorbents Produced at Different Temperatures from Malt Spent Rootlets
by Andreas Tzachristas, Panagiota D. Natsi, Panagiota E. Politi, Nikolaos Mourgkogiannis, Ioannis D. Manariotis and Hrissi K. Karapanagioti
Processes 2026, 14(6), 1012; https://doi.org/10.3390/pr14061012 - 21 Mar 2026
Viewed by 283
Abstract
Biochars are currently proposed as soil amendments or sorbent materials. There is an extensive scientific literature that deals with biochars originating from different raw materials. However, a holistic physicochemical characterization with simple analytical techniques is needed to provide insights on the characteristics of [...] Read more.
Biochars are currently proposed as soil amendments or sorbent materials. There is an extensive scientific literature that deals with biochars originating from different raw materials. However, a holistic physicochemical characterization with simple analytical techniques is needed to provide insights on the characteristics of the biochars produced from malt spent rootlets (MSRs) and how they vary using different pyrolysis temperatures. This way, their properties can be fully understood, and they can be used for commercial purposes more effectively. Initially, the texture of the biochars were visualized by SEM and was quantified by the adsorption/desorption of nitrogen and the Brunauer, Emmett, and Teller (BET) equation. Additionally, the moisture content, the ash content and the pH of each sample were measured. Furthermore, the electrical conductivity of each sample was measured. Different techniques were used to determine the properties of carbon and of the surface functional groups (Total Carbon, XRD, ATR-FTIR) and leachable organic matter. Also, sorption of the methylene blue dye solution has been studied, which is an indication of mesopores for each biochar. Molasses number was also determined, as this is an indicator of macropores. Finally, the chlorine removal rate was determined for each type of biochar. The experiments marked that the change in mass of biochars has stopped after three hours at 50 °C in the drying oven. The measured moisture content ranged from 6 to 11%. The specific surface area of our materials, calculated through the BET equation, for low temperature biochars (e.g., 28 m2/g, at 350 °C), is much lower than that of high temperature pyrolyzed biochar (e.g., 286 m2/g, at 850 °C). The pH value ranged from 7 to 10. The electrical conductivity values of samples ranged from 800 μS/cm to 2.55 mS/cm, and these decreased during the measurement after the second wash with deionized water. Crystallinity increased with increasing pyrolysis temperature whereas the number of functional groups decreased. MSR biochars produced at temperatures equal or higher than 750 °C demonstrate different characteristics to the ones produced at lower temperatures. Full article
(This article belongs to the Special Issue Biomass Pyrolysis Characterization and Energy Utilization)
Show Figures

Figure 1

23 pages, 2814 KB  
Article
Assessing Viticultural Parameters and Wine Quality in Relation to Climate Conditions
by Andrei Scutarașu, Lucia Cintia Colibaba, Elena Cristina Scutarașu, Camelia Elena Luchian, Liliana Rotaru, Răzvan Vasile Filimon, Roxana Mihaela Filimon and Valeriu V. Cotea
Horticulturae 2026, 12(3), 377; https://doi.org/10.3390/horticulturae12030377 - 19 Mar 2026
Viewed by 259
Abstract
This study evaluates viticultural parameters of the Golia grape variety in relation to variable climatic conditions over the 2020–2024 period and analyzes their impact on wine quality. The data show significant climatic variability, with warming trends causing earlier flowering and ripening by 11–13 [...] Read more.
This study evaluates viticultural parameters of the Golia grape variety in relation to variable climatic conditions over the 2020–2024 period and analyzes their impact on wine quality. The data show significant climatic variability, with warming trends causing earlier flowering and ripening by 11–13 days. Grape production varied depending on climatic conditions, with 2021 and 2024 recording the highest number of shoots per trunk and increased fertility in 2024. Low winter temperature led to reduced bud viability and affected the overall health of the vines and harvest yields. Average annual precipitation, especially from the growing season, significantly influenced actual yield (AY), while higher annual temperatures and sunshine duration (Sun) resulted in lower grape weight. Greater sugar concentrations accumulated in years with higher temperatures, while higher acidity levels registered at lower temperatures. Higher precipitation (Pp) coupled with thermal accumulation promoted higher dry extract and alcoholic strength (AS), significantly enhancing the perception of honey notes (R2 > 0.7, p-value < 0.05). Furthermore, higher thermal regimes negatively impacted the expression of delicate aromatic compounds, diminishing specific notes such as rose and exotic fruits. Full article
Show Figures

Figure 1

25 pages, 3935 KB  
Article
Assessment of the Exploitation Potential of High-Temperature Geothermal Resources in the First Deep Heat Storage of Yangbajing
by Tengyu Tian, Zijun Feng, Hong Gou and Qi Gao
Appl. Sci. 2026, 16(6), 2927; https://doi.org/10.3390/app16062927 - 18 Mar 2026
Viewed by 104
Abstract
Well spacing and reinjection rate are two critical parameters controlling the efficiency and sustainability of hot dry rock geothermal development. Taking the Yangbajing geothermal field in Tibet as the geological setting, permeability experiments were conducted on fractured rock masses under multiple operating conditions, [...] Read more.
Well spacing and reinjection rate are two critical parameters controlling the efficiency and sustainability of hot dry rock geothermal development. Taking the Yangbajing geothermal field in Tibet as the geological setting, permeability experiments were conducted on fractured rock masses under multiple operating conditions, and a three-dimensional fully coupled thermo-hydro-mechanical numerical model was established to systematically evaluate the effects of different well spacing–reinjection rate combinations on heat extraction performance. The experimental results show that axial stress is the dominant factor governing specimen deformation and seepage characteristics. Permeability decreases with increasing axial stress, exhibiting an initial sharp decline followed by a gradual reduction. The effect of temperature varies with axial stress level. Under low to moderate axial stress, permeability decreases monotonically with increasing temperature, whereas under high axial stress, it first decreases and then increases. The simulation results indicate that the production temperature remains relatively stable during the early stage of exploitation and subsequently declines, with the rate of decline increasing significantly as the reinjection rate increases or the well spacing decreases. In addition, an exponential positive relationship is identified between well spacing and the optimal reinjection rate. When a 10% decline in production temperature is adopted as the shutdown criterion, the optimal reinjection rate increases from 60 m3/h to 150 m3/h as the well spacing increases from 500 m to 800 m. Based on the simulation results, the theoretical installed capacity of the first deep reservoir in the Yangbajing geothermal field is preliminarily estimated to reach 31.8 MW. Full article
Show Figures

Figure 1

20 pages, 2734 KB  
Article
Soil Transport by Water Erosion Affects the Distribution of Ground-Dwelling Invertebrates in Chernozem Agricultural Landscapes
by Bořivoj Šarapatka, Lukáš Puch, Vojtěch Chmelík, Ondřej Machač, Karel Tajovský, Marek Bednář, Patrik Netopil and Ivan Hadrián Tuf
Agriculture 2026, 16(6), 676; https://doi.org/10.3390/agriculture16060676 - 17 Mar 2026
Viewed by 254
Abstract
Erosion in intensively farmed landscapes threatens above- and below-ground biodiversity. While impacts on soil physical and chemical properties (which affect soil inhabiting biota) are well documented, effects on ground-associated fauna (distribution, diversity, abundance) remain less understood. A likely very strong factor is the [...] Read more.
Erosion in intensively farmed landscapes threatens above- and below-ground biodiversity. While impacts on soil physical and chemical properties (which affect soil inhabiting biota) are well documented, effects on ground-associated fauna (distribution, diversity, abundance) remain less understood. A likely very strong factor is the direct transport of epigeon together with the eroded soil. We assessed how water-erosion processes shape communities of epigeic invertebrates along agricultural slopes in the Chernozem region of South Moravia (Czech Republic). Ground-dwelling invertebrates were sampled over five years (May–September) in conventionally managed maize fields using pitfall traps across 18 sloping fields. Three slope positions were compared per field (control, erosional, depositional; 54 positions in total). Community patterns were evaluated using Canonical Correspondence Analysis with covariates (month, year, slope position, site), and species responses to key drivers were analysed using Generalised Additive Models. Across the full dataset, Shannon diversity and species richness did not differ significantly among slope positions; however, total invertebrate abundance was significantly lower in erosional parts. Interannual variation was pronounced and linked to precipitation: wet conditions increased diversity and richness at depositional positions, whereas dry conditions reduced diversity downslope. Ordination and GAM results identified erosion intensity and relative precipitation/temperature anomalies as important predictors, with most dominant species showing higher abundances under low to moderate erosion. These findings indicate that epigeic invertebrate communities along slopes can serve as indicators of erosion force. Full article
Show Figures

Figure 1

23 pages, 1022 KB  
Article
Effects of Preharvest Application of Oxalic Acid, γ-Aminobutyric Acid, and Melatonin on the Microbiological and Physicochemical Quality of Dried Figs at Commercial Harvest and During Storage
by Cristina Hidalgo, Santiago Ruiz-Moyano, Alicia Rodríguez, María G. Cordoba, Margarita López-Corrales and Manuel J. Serradilla
Toxins 2026, 18(3), 140; https://doi.org/10.3390/toxins18030140 - 13 Mar 2026
Viewed by 331
Abstract
The objective of this study was to evaluate the preharvest application of γ-aminobutyric acid (GABA), melatonin (MT), and oxalic acid (OA), at different concentrations and application frequencies, on the physicochemical and microbiological quality of dried figs (cv. Calabacita) at commercial harvest and after [...] Read more.
The objective of this study was to evaluate the preharvest application of γ-aminobutyric acid (GABA), melatonin (MT), and oxalic acid (OA), at different concentrations and application frequencies, on the physicochemical and microbiological quality of dried figs (cv. Calabacita) at commercial harvest and after 3 and 6 months of refrigerated storage. A further aim was to determine their impact on fungal populations and mycotoxin production. The results showed that untreated dried figs had a higher frequency of Aspergillus welwitschiae, A. tubingensis, and Aspergillus section Flavi, whereas elicitor-treated figs exhibited a lower incidence of toxigenic fungi. A. welwitschiae was the main ochratoxin A (OTA)-associated species detected, although the proportion of OTA-positive figs was lower in elicitor-treated samples than in the control. Aflatoxins (AFs) were detected only sporadically in 2 mM OA treatments, consistent with the limited activity of A. flavus at low storage temperatures. Conversely, Penicillium spp. were widespread but were associated with citrinin (CIT) production only under 2 mM OA treatments. Among the Alternaria toxins, alternariol (AOH) was detected solely in dried figs treated with 1 mM OA. Notably, all investigated mycotoxins were below the limit of detection (<LOD) in dried figs treated with 0.5 mM MT. Moderate elicitor concentrations (e.g., 0.5 mM MT and 50 mM GABA) and multiple preharvest applications generally provided the best balance between fungal suppression and fruit quality, significantly reducing Aspergillus spp. occurrence without promoting the growth of undesirable species. Overall, elicitor treatments decreased the incidence of toxigenic fungi, most likely through direct antifungal effects in senescent dried fruit rather than by inducing host defences. The combined use of preharvest elicitors with appropriate drying and storage conditions is a promising strategy to control fungal contamination and mycotoxin accumulation in dried figs while maintaining quality from preharvest storage. Further research is needed to optimise elicitor concentrations and application timing. Full article
(This article belongs to the Section Mycotoxins)
Show Figures

Figure 1

22 pages, 7173 KB  
Article
High Structural Stability, High Compressive Strength, Excellent Thermal Insulation and Mechanism of Needled Quartz Fiber Felt/Phenolic Aerogel Composites
by Dongmei Zhao, Kaizhen Wan, Xiaobo Wan, Yiming Liu, Jian Li and Minxian Shi
Polymers 2026, 18(6), 705; https://doi.org/10.3390/polym18060705 - 13 Mar 2026
Viewed by 327
Abstract
A lightweight composite that simultaneously exhibits high strength and excellent thermal insulation is of great interest for thermal protection applications. In this study, dimensionally stable needled quartz fiber felt-reinforced phenolic aerogel composites were prepared using vacuum impregnation, sol–gel, and ambient pressure drying. The [...] Read more.
A lightweight composite that simultaneously exhibits high strength and excellent thermal insulation is of great interest for thermal protection applications. In this study, dimensionally stable needled quartz fiber felt-reinforced phenolic aerogel composites were prepared using vacuum impregnation, sol–gel, and ambient pressure drying. The composites exhibit a multiscale porous structure formed by interconnected nanometer polymer skeletons and micronscale fibers. By regulating the thermoplastic phenolic resin concentration in the precursor solution, the pore structure of the material was refined; the average particle diameter reduced from 99.76 nm to 38.91 nm, and the average pore diameter decreased from 216.79 nm to 49.53 nm. At a phenolic resin concentration of 25%, the composite exhibits outstanding thermal insulation and mechanical properties: a low thermal conductivity of 0.0646 W·m−1·K−1 at room temperature, with a mere 19.5 °C temperature rise on the sample backside after 1800 s heating at 200 °C, and compressive strengths of 7.70 MPa in the XY-direction and 3.87 MPa in the Z-direction (at 10% strain). X-ray micro-CT characterized the internal structural evolution during loading, revealing a failure mechanism dominated by fiber buckling. Theoretical models and experimental data were used to analyze and quantify the contribution rates of gas and solid heat conduction in NQF/PR aerogel composites, with solid conduction accounting for over 80%. Combined with microstructural evolution, the mechanism for the high thermal insulation efficiency of NQF/PR aerogel composites was elucidated. This study prepared NQF/PR aerogel composites with promising application potential. By systematically evaluating their compressive behavior and quantifying the respective contributions of gas and solid conduction, this work provides a methodological framework to guide the rational design of similar aerogel composites. Full article
(This article belongs to the Section Polymer Composites and Nanocomposites)
Show Figures

Figure 1

30 pages, 6586 KB  
Review
Prospects and Challenges of Waterless/Low-Water Fracturing Technologies in Hot Dry Rock Geothermal Development
by Jiaye Han, Xiangyu Meng, Yujie Li, Liang Zhang, Junchao Chen, Xiaosheng Huang and Yingchun Zhao
Processes 2026, 14(6), 920; https://doi.org/10.3390/pr14060920 - 13 Mar 2026
Viewed by 420
Abstract
Geothermal energy is a clean, renewable, and baseload-stable resource of strategic importance for carbon neutrality. Hot dry rock (HDR) reservoirs are characterized by high temperatures, great depths, and abundant reserves. However, their extremely low natural permeability requires artificial fracturing to establish effective heat [...] Read more.
Geothermal energy is a clean, renewable, and baseload-stable resource of strategic importance for carbon neutrality. Hot dry rock (HDR) reservoirs are characterized by high temperatures, great depths, and abundant reserves. However, their extremely low natural permeability requires artificial fracturing to establish effective heat exchange networks. Conventional hydraulic fracturing in enhanced geothermal systems (EGS) faces major challenges under HDR conditions, including excessive water consumption, strong water–rock interactions, and elevated induced seismicity risks, limiting its engineering applicability. Waterless or low-water fracturing technologies offer alternative stimulation pathways due to their distinctive physicochemical properties. Existing reviews have mainly addressed individual aspects, such as specific fracturing media or proppant transport, without systematically integrating recent advances in supercritical CO2 fracturing, foam fracturing, liquid nitrogen fracturing, and hybrid-fluid fracturing technologies, or comprehensively evaluating their engineering implications. This review systematically analyzed the fracturing mechanisms, heat exchange performance, environmental risks, and HDR-specific engineering challenges of these technologies. Results indicate that waterless/low-water fracturing technologies enhance heat extraction efficiency by generating complex fracture networks while mitigating seismic and reservoir damage risks. However, large-scale application requires further advances in the high-temperature stability of fracturing media, material durability, multiphase flow control, and field validation. Full article
Show Figures

Figure 1

29 pages, 8488 KB  
Article
Significant Increases in Extreme Heat and Precipitation over the Past 62 Years in the Tarim River Basin and Their Large-Scale Climatic Drivers
by Yunyun Xi, Yongwei Su, Haohong Yang, Zhenyu Luo, Guangrui Pan, Liping Xu and Zhijun Li
Sustainability 2026, 18(6), 2787; https://doi.org/10.3390/su18062787 - 12 Mar 2026
Viewed by 202
Abstract
Situated at the core of the Asian arid zone, the Tarim River Basin (TRB) serves as a critical indicator of regional hydroclimatic responses to global warming. Utilizing 27 extreme climate indices recommended by the Expert Team on Climate Change Detection and Indices, this [...] Read more.
Situated at the core of the Asian arid zone, the Tarim River Basin (TRB) serves as a critical indicator of regional hydroclimatic responses to global warming. Utilizing 27 extreme climate indices recommended by the Expert Team on Climate Change Detection and Indices, this study analyzes the spatiotemporal evolution of climate extremes in the TRB from 1960 to 2022 and explores their correlations with primary large-scale atmospheric circulation factors. The results indicate that, at the temporal scale, extreme warm indices (TX90P, TN90P, SU25, TR20) and most extreme precipitation indices (except for CDD) exhibited increasing trends, accompanied by pronounced abrupt changes and periodic characteristics. The changes were characterized by stronger warming at low temperatures than at high temperatures, greater nighttime warming than daytime warming, and larger increases in warm days than cold days. Extreme temperature and precipitation indices underwent abrupt changes in the mid-to-late 1990s and 1980s, respectively. The former exhibits pronounced “cold-warm” oscillations at 10–15-year and 25–35-year scales, while the latter displays distinct “wet-dry” cyclic alternations at 8–9-year and 30–32-year scales. Spatially, extreme temperature indices showed consistent warming across most stations. In contrast, the change trends of extreme precipitation indices displayed obvious spatial heterogeneity, with growth rates generally decreasing from west to east. Further analyses demonstrate that most extreme climate indices exhibit significant linear correlations with the AMO, PDO, NAO, and NOI. Notably, the AMO emerges as the dominant driver of variations in both extreme temperature and precipitation. In the context of accelerated global warming, these insights are pivotal for enhancing regional climate risk management and water resource adaptability. Full article
Show Figures

Figure 1

21 pages, 4977 KB  
Article
Evolution of High-Voltage Frequency-Domain Dielectric Spectroscopy Characteristics of Oil-Pressboard Insulating Bushings Under Aging and Moisture
by Huan Li, Mingcheng Hua, Yueyang Ma, Chunjia Gao, Zheng Niu, Deliang Cheng, Guangwei Liu and Bo Qi
Processes 2026, 14(5), 864; https://doi.org/10.3390/pr14050864 - 8 Mar 2026
Viewed by 315
Abstract
The insulation condition of oil-pressboard insulating bushings is commonly evaluated by measuring the dielectric loss factor and capacitance at power frequency. However, systematic investigations into the influence of aging and moisture defects on frequency-domain dielectric spectroscopy (FDS) characteristics are still insufficient. To address [...] Read more.
The insulation condition of oil-pressboard insulating bushings is commonly evaluated by measuring the dielectric loss factor and capacitance at power frequency. However, systematic investigations into the influence of aging and moisture defects on frequency-domain dielectric spectroscopy (FDS) characteristics are still insufficient. To address this issue, a 10 kV high-voltage FDS measurement system was independently developed. The system has an output voltage range of 0~10 kV and a test frequency band of 1 mHz~10 Hz, with excellent measurement stability and high test accuracy. The standard deviation of dielectric loss of the system is on the order of 10−4 and the relative error is less than 5%. It also features reliable weak current detection capability and thermal stability. Based on this system, the dielectric spectral characteristics of oil-pressboard insulation models with different moisture contents and aging levels were investigated under various temperatures and applied voltages. The results indicate that the dielectric spectrum shifts toward higher frequencies with increasing temperature. Moreover, the low-frequency dielectric loss of degraded insulation increases linearly with the applied voltage, and the rate of increase shows a positive correlation with both moisture content and aging duration. As insulation degradation becomes more severe, the voltage-dependent characteristic frequency moves toward higher frequencies. This frequency refers to the characteristic frequency where the dielectric loss of insulation presents an obvious linear variation with the change of applied voltage. Unaged and dry bushings exhibit only weak voltage dependence at 0.01 Hz, whereas bushings aged for 28 days with a moisture content of 4.121% demonstrate pronounced voltage dependence at 10 Hz. These results provide a valuable technical basis for diagnosing coupled aging and moisture defects in oil-pressboard insulated bushings. Full article
(This article belongs to the Section Petroleum and Low-Carbon Energy Process Engineering)
Show Figures

Figure 1

Back to TopTop