Agro-Industrial Waste Valorization for Sustainable PHBV Production from Sugarcane Bagasse Using Bacillus sp. HLI02
Abstract
1. Introduction
2. Materials and Methods
2.1. Sample Collection and Isolation of PHA-Producing Bacteria
2.2. Biochemical Characterization
2.3. Preparation of Production Media
2.4. Substrate Preparation/Waste Collection and Hydrolysate Preparation
2.5. Optimization of Process Parameters for Polymer Production
2.6. Extraction of Polymer Using Waste Resources
2.7. Nuclear Magnetic Resonance (NMR)
2.8. Fourier Transform Infrared Spectroscopy (FTIR)
2.9. X-Ray Diffraction (XRD)
2.10. Thermogravimetric Analysis (TGA)
2.11. Gas Permeation Chromatography (GPC)
2.12. Surface Characterization of Polymer
2.13. Biocompatibility of Polymer
2.14. Biodegradability of Polymer
2.15. Statistical Analysis
3. Results
3.1. Microorganism and Its Identification
3.2. Optimization Parameters for Polymer Production
4. Discussion
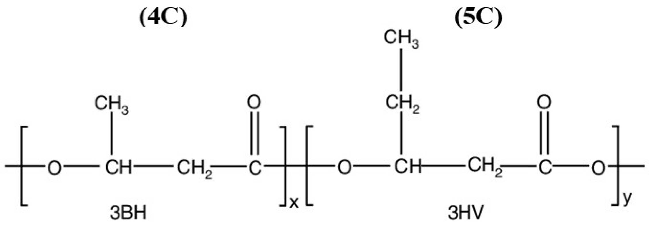
4.1. Structural and Physicochemical Characterization of the Extracted PHBV Polymer
4.2. Nuclear Magnetic Resonance (NMR)
4.3. Fourier Transform Infrared Spectroscopy (FTIR)
4.4. X-Ray Diffraction (XRD) Analysis
4.5. Thermogravimetric Analysis (TGA)
4.6. Gas Permeation Chromatography (GPC)
4.7. Surface Characterization of Polymer
4.8. Biocompatibility of Polymer
4.9. Biodegradability of Polymer
5. Conclusions and Future Prospective
Supplementary Materials
Author Contributions
Funding
Institutional Review Board Statement
Data Availability Statement
Acknowledgments
Conflicts of Interest
References
- Landrigan, P.J.; Raps, H.; Cropper, M.; Bald, C.; Brunner, M.; Canonizado, E.M.; Charles, D.; Chiles, T.C.; Donohue, M.J.; Enck, J.; et al. The Minderoo-Monaco commission on plastics and human health. Ann. Glob. Health 2023, 89, 23. [Google Scholar] [CrossRef] [PubMed]
- MacLeod, M.; Arp, H.P.; Tekman, M.B.; Jahnke, A. The global threat from plastic pollution. Science 2021, 373, 61–65. [Google Scholar] [CrossRef]
- Rzayeva, A.; Coffigniez, F.; Zeynalov, N.; Gontard, N.; Guillard, V. Integrating the latest biological advances in the key steps of a food packaging life cycle. Front. Nutr. 2023, 10, 1223638. [Google Scholar] [CrossRef]
- Rodrigues, A.M.; Franca, R.D.G.; Dionísio, M.; Sevrin, C.; Grandfils, C.; Reis, M.A.M.; Lourenço, N.D. Polyhydroxyalkanoates from a Mixed Microbial Culture: Extraction Optimization and Polymer Characterization. Polymers 2022, 14, 2155. [Google Scholar] [CrossRef]
- Ibrahim, M.I.; Alsafadi, D.; Alamry, K.A.; Hussein, M.A. Properties and applications of poly (3-hydroxybutyrate-co-3-hydroxyvalerate) biocomposites. J. Polym. Environ. 2021, 29, 1010–1030. [Google Scholar] [CrossRef]
- Amabile, C.; Abate, T.; De Crescenzo, C.; Muñoz, R.; Chianese, S.; Musmarra, D. An innovative and sustainable process for producing poly (3-hydroxybutyrate-co-3-hydroxyvalerate): Simulating volatile fatty acid role and biodegradability. Chem. Eng. J. 2023, 473, 145193. [Google Scholar] [CrossRef]
- Rivera-Briso, A.L.; Serrano-Aroca, Á. Poly (3-Hydroxybutyrate-co-3-Hydroxyvalerate): Enhancement strategies for advanced applications. Polymers 2018, 10, 732. [Google Scholar] [CrossRef]
- de Morais, A.C.; da Silva Fortes, A.G.; de Abreu, I.R.; van Noordenne-Bos, C.; Voet, V.S.; Folkersma, R.; Loos, K. Blending PHBV with P (3HB-co-4HB) for superior thermal stability, mechanical strength, and environmental degradation. Faraday Discuss. 2026, 262, 68–93. [Google Scholar] [CrossRef]
- Pakalapati, H.; Chang, C.K.; Show, P.L.; Arumugasamy, S.K.; Lan, J.C.W. Development of polyhydroxyalkanoates production from waste feedstocks and applications. J. Biosci. Bioeng. 2018, 126, 282–292. [Google Scholar] [CrossRef] [PubMed]
- Vijay, R.; Tarika, K. Microbial Production of Polyhydroxy alkanoates (PHAs) using Kitchen Waste as an Inexpensive Carbon Source. Biosci. Biotechnol. Res. Asia 2019, 16, 155–166. [Google Scholar] [CrossRef]
- Du, C.; Sabirova, J.; Soetaert, W.; Lin, S.K.C. Polyhydroxyalkanoates Production From Low-cost Sustainable Raw Materials. Curr. Chem. Biol. 2012, 6, 14–25. [Google Scholar] [CrossRef] [PubMed]
- Sharma, P.; Bajaj, B.K. Production and characterization of poly-3-hydroxybutyrate from Bacillus cereus PS 10. Int. J. Biol. Macromol. 2015, 81, 241–248. [Google Scholar] [CrossRef] [PubMed]
- Dallaev, R.; Papež, N.; Allaham, M.M.; Holcman, V. Biodegradable Polymers: Properties, Applications, and Environmental Impact. Polymers 2025, 17, 1981. [Google Scholar] [CrossRef] [PubMed]
- De Luca, S.; Milanese, D.; Gallichi-Nottiani, D.; Cavazza, A.; Sciancalepore, C. Poly(lactic acid) and Its Blends for Packaging Application: A Review. Clean Technol. 2023, 5, 1304–1343. [Google Scholar] [CrossRef]
- Getino, L.; Martín, J.L.; Chamizo-Ampudia, A. A Review of Polyhydroxyalkanoates: Characterization, Production, and Application from Waste. Microorganisms 2024, 12, 2028. [Google Scholar] [CrossRef]
- Zhou, W.; Colpa, D.I.; Permentier, H.; Offringa, R.A.; Rohrbach, L.; Euverink, G.J.W.; Krooneman, J. Insight into polyhydroxyalkanoate (PHA) production from xylose and extracellular PHA degradation by a thermophilic Schlegelella thermodepolymerans. Resour. Conserv. Recycl. 2023, 194, 107006. [Google Scholar] [CrossRef]
- Costa, M.J.; Pastrana, L.M.; Teixeira, J.A.; Sillankorva, S.M.; Cerqueira, M.A. Characterization of PHBV films loaded with FO1 bacteriophage using polyvinyl alcohol-based nanofibers and coatings: A comparative study. Innov. Food Sci. Emerg. Technol. 2021, 69, 102646. [Google Scholar] [CrossRef]
- Mravec, F.; Obruca, S.; Krzyzanek, V.; Sedlacek, P.; Hrubanova, K.; Samek, O.; Kucera, D.; Benesova, P.; Nebesarova, J. Accumulation of PHA granules in Cupriavidus necator as seen by confocal fluorescence microscopy. FEMS Microbiol. Lett. 2016, 363, fnw094. [Google Scholar] [CrossRef]
- Attenborough, E.; Parast, F.Y.; Nosrati, R.; Holl, M.M.B.; Hag, L.v. Bacterial species–structure–property relationships of polyhydroxyalkanoate biopolymers produced on simple sugars for thin film applications. Microb. Cell Factor. 2025, 24, 204. [Google Scholar] [CrossRef]
- Paswan, M.; Adhikary, S.; Salama, H.H.; Rusu, A.V.; Zuorro, A.; Dholakiya, B.Z.; Trif, M.; Bhattacharya, S. Microbial Synthesis of Lactic Acid from Cotton Stalk for Polylactic Acid Production. Microorganisms 2023, 11, 1931. [Google Scholar] [CrossRef]
- Gundlapalli, M.; Ganesan, S. Polyhydroxyalkanoates (PHAs): Key challenges in production and sustainable strategies for cost reduction within a circular economy framework. Results Eng. 2025, 26, 105345. [Google Scholar] [CrossRef]
- Stublić, K.; Ranilović, J.; Ocelić Bulatović, V.; Kučić Grgić, D. Advancing Sustainability: Utilizing Bacterial Polyhydroxyalkanoate for Food Packaging. Processes 2024, 12, 1886. [Google Scholar] [CrossRef]
- Muhammadi, S.; Afzal, M.; Hameed, S. Bacterial polyhydroxyalkanoates—Eco-friendly next generation plastic: Production, biocompatibility, biodegradation, physical properties and applications. Green Chem. Lett. Rev. 2015, 8, 56–77. [Google Scholar] [CrossRef]
- Singh, P.; Sharma, A.; Rathee, A.; Puri, V.; Chopra, H.; Nagpal, M.; Kaur, M.; Malik, T. Revolutionizing packaging: Bioplastics for superior food and pharmaceutical solutions. Polym. Polym. Compos. 2024, 32, 1–15. [Google Scholar] [CrossRef]
- Li, M.; Wilkins, M.R. Recent advances in polyhydroxyalkanoate production: Feedstocks, strains and process developments. Int. J. Biol. Macromol. 2020, 156, 691–703. [Google Scholar] [CrossRef]
- Riaz, S.; Rhee, K.Y.; Park, S.J. Polyhydroxyalkanoates (PHAs): Biopolymers for Biofuel and Biorefineries. Polymers 2021, 13, 253. [Google Scholar] [CrossRef]
- Feijoo, P.; Mohanty, A.K.; Rodriguez-Uribe, A.; Gámez-Pérez, J.; Cabedo, L.; Misra, M. Biodegradable blends from bacterial biopolyester PHBV and bio-based PBSA: Study of the effect of chain extender on the thermal, mechanical and morphological properties. Int. J. Biol. Macromol. 2023, 225, 1291–1305. [Google Scholar] [CrossRef]
- Schmidt, A.; Bittmann-Hennes, B.; Moncada, D.; Montero, B. Self-Reinforced Biocomposites Made from Poly(3-hydroxybutyrate-co-3-hydroxyvalerate) (PHBV): An Innovative Approach to Sustainable Packaging Production through Melt Processing. ACS Omega 2024, 9, 51073–51088. [Google Scholar] [CrossRef]
- Khamberk, S.; Thammasittirong, S.N.-R.; Thammasittirong, A. Valorization of Sugarcane Bagasse for Co-Production of Poly(3-hydroxybutyrate) and Bacteriocin Using Bacillus cereus Strain S356. Polymers 2024, 16, 2015. [Google Scholar] [CrossRef]
- Andhalkar, V.V.; Ahorsu, R.; Domínguez de María, P.; Winterburn, J.; Medina, F.; Constantí, M. Valorization of Lignocellulose by Producing Polyhydroxyalkanoates under Circular Bioeconomy Premises: Facts and Challenges. ACS Sustain. Chem. Eng. 2022, 10, 16459–16475. [Google Scholar] [CrossRef]
- Mitra, R.; Xu, T.; Xiang, H.; Han, J. Current developments on polyhydroxyalkanoates synthesis by using halophiles as a promising cell factory. Microb. Cell Fact. 2020, 19, 86. [Google Scholar] [CrossRef]
- Li, D.; Yang, Y.; Liu, R.; Wu, Y.; Guo, F. Review of Biopolymer Polyhydroxybutyrate (PHB) and Blends: Modification of Thermal and Mechanical Properties via Additive Manufacturing Processing. Polymers 2025, 17, 3083. [Google Scholar] [CrossRef] [PubMed]
- Hassan, M.A.; Bakhiet, E.K.; Ali, S.G.; Hussien, H.R. Production and Characterization of Polyhydroxybutyrate (PHB) Produced by Bacillus sp. Isolated from Egypt. J. Appl. Pharm. Sci. 2016, 6, 46–51. [Google Scholar] [CrossRef]
- Radadiya, K.; Pandya, T. A Comprehensive Review on Production of Polyhydroxybutyrate (PHB). J. Adv. Microbiol. Res. 2024, 5, 136–142. [Google Scholar]
- Afghan, I.G.; Shrivastav, A. Isolation and Screening of Polyhydroxyalkanoates (PHA) Producing Bacteria Utilizing Agricultural Waste. Int. J. Appl. Sci. Biotechnol. 2020, 8, 336–342. [Google Scholar] [CrossRef]
- Ibrahim, R.; Aranjani, J.M.; Prasanna, N.; Biswas, A.; Gayam, P.K. Production, isolation, optimization, and characterization of microbial PHA from Bacillus australimaris. Sci. Rep. 2025, 15, 8395. [Google Scholar] [CrossRef]
- Yasin, A.R.; Al-Mayaly, I.K. Isolation and identification of polyhydroxyalkanoates producing bacteria from biopolymers waste in soil. IOP Conf. Ser. Mater. Sci. Eng. 2020, 928, 062014. [Google Scholar] [CrossRef]
- Olayiwola, O.S.; Olaniyi, O.O.; Odunmbaku, E.; Fadipe, T.O.; Oyinloye, G.O.; Amoo, R.A.; Odeshi, T.A. Valorization of agricultural residues for bioplastic production by bacteria isolated from plastic dumpsites: Integrating waste streams into the circular bioeconomy. Biotechnol. Rep. 2026, 49, e00941. [Google Scholar] [CrossRef]
- Bhuwal Zhang, X.; Luo, R.; Wang, Z.; Deng, Y.; Chen, G.-Q. Application of (R)-3-Hydroxyalkanoate Methyl Esters Derived from Microbial Polyhydroxyalkanoates as Novel Biofuels. Biomacromolecules 2009, 10, 707–711. [Google Scholar] [CrossRef] [PubMed]
- Mohapatra, S.; Samantaray, D.P.; Samantaray, S.M. Phylogenetic heterogeneity of the rhizospheric soil bacterial isolates producing PHAs revealed by comparative analysis of 16s-rRNA. Int. J. Curr. Microbiol. Appl. Sci. 2014, 3, 680–690. [Google Scholar]
- Ghosh, D.; Dasgupta, D.; Agrawal, D.; Kaul, S.; Adhikari, D.K.; Kurmi, A.K.; Arya, P.K.; Bangwal, D.; Negi, M.S. Fuels and Chemicals from Lignocellulosic Biomass: An Integrated Biorefinery Approach. Energy Fuels 2015, 29, 3149–3157. [Google Scholar] [CrossRef]
- Mohapatra, S.; Sarkar, B.; Samantaray, D.P.; Daware, A.; Maity, S.; Pattnaik, S.; Bhattacharjee, S. Bioconversion of fish solid waste into PHB using Bacillus subtilis based submerged fermentation process. Environ. Technol. 2017, 38, 3201–3208. [Google Scholar] [CrossRef] [PubMed]
- Khamkong, T.; Penkhrue, W.; Lumyong, S. Optimization of Production of Polyhydroxyalkanoates (PHAs) from Newly Isolated Ensifer sp. Strain HD34 by Response Surface Methodology. Processes 2022, 10, 1632. [Google Scholar] [CrossRef]
- Tomer, P.; Shroti, G.K.; Mohapatra, S.; Ghosh, D.; Jaiswal, S.; Garg, D.; Lahiri, D.; Kumar, N.; Khatri, O.P.; Hazra, S. Fabrication of HA Nano-crystal Reinforced PHAs based composites for orthopedic fracture-fixing accessories using sustainable resources. Environ. Dev. Sustain. 2023, 27, 1–19. [Google Scholar] [CrossRef]
- Jendrossek, D.; Pfeiffer, D. New insights in the formation of polyhydroxyalkanoate granules (carbonosomes) and novel functions of poly(3-hydroxybutyrate). Environ. Microbiol. 2014, 16, 2357–2373. [Google Scholar] [CrossRef]
- Santolin, L.; Eichenroth, R.S.J.; Cornehl, P.; Wortmann, H.; Forbrig, C.; Schulze, A.; Ul Haq, I.; Brantl, S.; Rappsilber, J.; Riedel, S.L.; et al. Elucidating regulation of polyhydroxyalkanoate metabolism in Ralstonia eutropha: Identification of transcriptional regulators from phasin and depolymerase genes. J. Biol. Chem. 2024, 300, 107523. [Google Scholar] [CrossRef]
- Maqsood, S.; Benmebarek, I.E.; Khalid, W.; Esatbeyoglu, T.; Kumar, P.; Trif, M.; Moreno, A.; Rasool, I.F.U. Valorization of plant-based agro-industrial waste and by-products for the production of polysaccharides: Towards a more circular economy. Appl. Food Res. 2025, 5, 100954. [Google Scholar] [CrossRef]
- Bai, X.; Xu, L.; Li, K.; Zhang, G.; Zhang, M.; Huang, Y. Unlocking efficient polyhydroxyalkanoate production by Gram-positive Priestia megaterium using waste-derived feedstocks. Microb. Cell Fact. 2025, 24, 210. [Google Scholar] [CrossRef]
- Senila, L.; Gál, E.; Kovacs, E.; Cadar, O.; Dan, M.; Senila, M.; Roman, C. Poly(3-hydroxybutyrate) Production from Lignocellulosic Wastes Using Bacillus megaterium ATCC 14581. Polymers 2023, 15, 4488. [Google Scholar] [CrossRef]
- Adnan, M.; Siddiqui, A.J.; Ashraf, S.A.; Snoussi, M.; Badraoui, R.; Ibrahim, A.M.M.; Alreshidi, M.; Sachidanandan, M.; Patel, M. Characterization and Process Optimization for Enhanced Production of Polyhydroxybutyrate (PHB)-Based Biodegradable Polymer from Bacillus flexus Isolated from Municipal Solid Waste Landfill Site. Polymers 2023, 15, 1407. [Google Scholar] [CrossRef]
- Abdelmalek, F.; Steinbüchel, A.; Rofeal, M. The Hyperproduction of Polyhydroxybutyrate Using Bacillus mycoides ICRI89 through Enzymatic Hydrolysis of Affordable Cardboard. Polymers 2022, 14, 2810. [Google Scholar] [CrossRef]
- Ming, Y.; Li, G.; Shi, Z.; Zhao, X.; Zhao, Y.; Gao, G.; Ma, T.; Wu, M. Co-utilization of glucose and xylose for the production of poly-β-hydroxybutyrate (PHB) by Sphingomonas sanxanigenens NX02. Microb. Cell Fact. 2023, 22, 162. [Google Scholar] [CrossRef]
- Sakthiselvan, P.; Madhumathi, R. Kinetic evaluation on cell growth and biosynthesis of polyhydroxybutyrate (PHB) by Bacillus safensis EBT1 from sugarcane bagasse. Eng. Agric. Environ. Food 2018, 11, 145–152. [Google Scholar] [CrossRef]
- Montiel-Jarillo, G.; Morales-Urrea, D.A.; Contreras, E.M.; López-Córdoba, A.; Gómez-Pachón, E.Y.; Carrera, J.; Suárez-Ojeda, M.E. Improvement of the Polyhydroxyalkanoates Recovery from Mixed Microbial Cultures Using Sodium Hypochlorite Pre-Treatment Coupled with Solvent Extraction. Polymers 2022, 14, 3938. [Google Scholar] [CrossRef]
- Saratale, R.G.; Cho, S.K.; Saratale, G.D.; Ghodake, G.S.; Bharagava, R.N.; Kim, D.S.; Nair, S.; Shin, H.S. Efficient Bioconversion of Sugarcane Bagasse into Polyhydroxybutyrate (PHB) by Lysinibacillus sp. and Its Characterization. Bioresour. Technol. 2021, 324, 124673. [Google Scholar] [CrossRef]
- Zhuikov, V.A.; Zhuikova, Y.V.; Makhina, T.K.; Myshkina, V.L.; Rusakov, A.; Useinov, A.; Voinova, V.V.; Bonartseva, G.A.; Berlin, A.A.; Bonartsev, A.P.; et al. Comparative Structure-Property Characterization of Poly(3-Hydroxybutyrate-Co-3-Hydroxyvalerate)s Films under Hydrolytic and Enzymatic Degradation: Finding a Transition Point in 3-Hydroxyvalerate Content. Polymers 2020, 12, 728. [Google Scholar] [CrossRef]
- Muneer, F.; Rasul, I.; Qasim, M.; Sajid, A.; Nadeem, H. Optimization, Production and Characterization of Polyhydroxyalkanoate (PHA) from Indigenously Isolated Novel Bacteria. J. Polym. Environ. 2022, 30, 3523–3533. [Google Scholar] [CrossRef]
- Izumi, C.M.S.; Temperini, M.L.A. FT-Raman investigation of biodegradable polymers: Poly(3-hydroxybutyrate) and poly(3-hydroxybutyrate-co-3-hydroxyvalerate). Vib. Spectrosc. 2010, 54, 127–132. [Google Scholar] [CrossRef]
- Abbasi, M.; Pokhrel, D.; Coats, E.R.; Guho, N.M.; McDonald, A.G. Effect of 3-Hydroxyvalerate Content on Thermal, Mechanical, and Rheological Properties of Poly(3-hydroxybutyrate-co-3-hydroxyvalerate) Biopolymers Produced from Fermented Dairy Manure. Polymers 2022, 14, 4140. [Google Scholar] [CrossRef] [PubMed]
- Lim, C.S.S.; Chan, E.W.C.; Soon, C.Y.; Wong, C.W. Enhanced hydrophobicity and properties of polyhydroxybutyrate film via incorporation of cellulose nanocrystals palmitate. Next Nanotechnol. 2025, 8, 100315. [Google Scholar]
- Julinová, M.; Šašinková, D.; Minařík, A.; Kaszonyiová, M.; Kalendová, A.; Kadlečková, M.; Fayyazbakhsh, A.; Koutný, M. Comprehensive Biodegradation Analysis of Chemically Modified Poly(3-hydroxybutyrate) Materials with Different Crystal Structures. Biomacromolecules 2023, 24, 4939–4957. [Google Scholar] [CrossRef]
- Donkor, L.; Kontoh, G.; Yaya, A.; Bediako, J.K.; Apalangya, V. Bio-based and sustainable food packaging systems: Relevance, challenges, and prospects. Appl. Food Res. 2023, 3, 100356. [Google Scholar] [CrossRef]
- Sharma, P.K.; Munir, R.I.; de Kievit, T.; Levin, D.B. Synthesis of polyhydroxyalkanoates (PHAs) from vegetable oils and free fatty acids by wild-type and mutant strains of Pseudomonas chlororaphis. Can. J. Microbiol. 2017, 63, 1009–1024. [Google Scholar] [CrossRef]
- Laycock, B.; Halley, P.; Pratt, S.; Werker, A.; Lant, P. The chemomechanical properties of microbial polyhydroxyalkanoates. Prog. Polym. Sci. 2013, 38, 536–583. [Google Scholar] [CrossRef]
- Kennouche, S.; Le Moigne, N.; Kaci, M.; Quantin, J.-C.; Caro-Bretelle, A.-S.; Delaite, C.; Lopez-Cuesta, J.-M. Morphological characterization and thermal properties of compatibilized poly(3-hydroxybutyrate-co-3-hydroxyvalerate) (PHBV)/poly(butylene succinate) (PBS)/halloysite ternary nanocomposites. Eur. Polym. J. 2016, 75, 142–162. [Google Scholar]
- Penkhrue, W.; Jendrossek, D.; Khanongnuch, C.; Pathom-Aree, W.; Aizawa, T.; Behrens, R.L.; Lumyong, S. Response surface method for polyhydroxybutyrate (PHB) bioplastic accumulation in Bacillus drentensis BP17 using pineapple peel. PLoS ONE 2020, 15, e0230443. [Google Scholar] [CrossRef] [PubMed]
- Langford, A.; Matthew Chan, C.; Pratt, S.; Garvey, C.J.; Laycock, B. The morphology of crystallisation of PHBV/PHBV copolymer blends. Eur. Polym. J. 2018, 112, 104–119. [Google Scholar] [CrossRef]
- Râpă, M.; Stefan, L.M.; Seciu-Grama, A.-M.; Gaspar-Pintiliescu, A.; Matei, E.; Zaharia, C.; Stănescu, P.O.; Predescu, C. Poly(3-hydroxybutyrate-co-3-hydroxyvalerate) (P(3HB-co-3HV))/Bacterial Cellulose (BC) Biocomposites for Potential Use in Biomedical Applications. Polymers 2022, 14, 5544. [Google Scholar] [CrossRef]
- Bher, A.; Mayekar, P.C.; Auras, R.A.; Schvezov, C.E. Biodegradation of Biodegradable Polymers in Mesophilic Aerobic Environments. Int. J. Mol. Sci. 2022, 23, 12165. [Google Scholar] [CrossRef]
- Kaniuk, Ł.; Stachewicz, U. Development and Advantages of Biodegradable PHA Polymers Based on Electrospun PHBV Fibers for Tissue Engineering and Other Biomedical Applications. ACS Biomater. Sci. Eng. 2021, 7, 5339–5362. [Google Scholar] [CrossRef]
- EN 13432; Packaging—Requirements for Packaging Recoverable Through Composting and Biodegradation—Test Scheme and Evaluation Criteria for the Final Acceptance of Packaging. European Committee for Standardization (CEN): Brussels, Belgium, 2000.
- ASTM D6400; Standard Specification for Labeling of Plastics Designed to be Aerobically Composted in Municipal or Industrial Facilities. ASTM International: West Conshohocken, PA, USA, 2023.
- Mitrea, L.; Ranga, F.; Fetea, F.; Dulf, F.V.; Rusu, A.; Trif, M.; Vodnar, D.C. Biodiesel-Derived Glycerol Obtained from Renewable Biomass—A Suitable Substrate for the Growth of Candida zeylanoides Yeast Strain ATCC 20367. Microorganisms 2019, 7, 265. [Google Scholar] [CrossRef] [PubMed]












| Ingredients | Concentration |
|---|---|
| NaCl | 10.0 g/L |
| KH2PO4 | 0.5 g/L |
| K2HPO4 | 0.5 g/L |
| Malic acid | 2.7 g/L |
| Glutamic acid | 1.5 g/L |
| Yeast extract | 4 g/L |
| (NH4)2 SO4 | 2.38 g/L |
| Sugar (Xylose) | Varying concentration range of xylose 1–5 g/L |
| Sugar Utilization Test | Bacillus sp. HLI02 |
|---|---|
| Lactose | − |
| Xylose | + |
| Maltose | + |
| Fructose | + |
| Dextrose | + |
| Galactose | + |
| Raffinose | + |
| Trehalose | + |
| Melibiose | + |
| Biochemical Test | Bacillus sp. HLI02 |
|---|---|
| Growth at 10% NaCl | + |
| Hippurate hydrolysis | − |
| Anaerobic growth | − |
| MR test | − |
| VP test | + |
| Citrate Reductase | − |
| Starch Hydrolysis | + |
| Oxidase reductase | + |
| Casein hydrolysis | − |
| Urease hydrolysis | + |
| Nitrate Hydrolysis | + |
| Esculin Hydrolysis | − |
| Growth at 45 °C | + |
| Catalase | + |
| H2S production | − |
| Indole | − |
| Ammonia production | − |
| Citrate utilization | + |
| Mannitol | + |
| Esculin hydrolysis | + |
| Anaerobic growth | − |
| Blood Haemolysis | − |
| Gelatinase | + |
| Casein hydrolysis | + |
| Tributyrin | + |
| Lipase | + |
| Cellulose | + |
| Chitin hydrolysis | − |
| Pectin hydrolysis | − |
| DNase | + |
| Lecithinase | − |
| Microorganism | Carbo Source | Polymer | Yield (g/L) | %CDW | Mw (kDa) | Biodegradation (Days) | Reference |
|---|---|---|---|---|---|---|---|
| Bacillus cereus S356 | Sugarcane bagasse hydrolysate | PHBV | 2.8 | 55–60 | 280 | 90 | [29] |
| Bacillus safensis EBT1 | Bagasse hydrolysate | PHB | 3.2 | 58 | 240 | 75 | [53] |
| Bacillus flexus | Banana peel hydrolysate | PHB | 3.9 | 62 | 310 | 80 | [50] |
| Bacillus megaterium | Glucose | PHB | 4.5 | 60 | 350 | - | [48] |
| Bacillus endophyticus | Mixed sugars | PHBV | 3.1 | 65 | 290 | 54 | [44] |
| Bacillus sp. HLI02 | Sugarcane bagasse hydrolysate | PHBV | 2 | 59.5 | 2.16 | 60 | This study |
Disclaimer/Publisher’s Note: The statements, opinions and data contained in all publications are solely those of the individual author(s) and contributor(s) and not of MDPI and/or the editor(s). MDPI and/or the editor(s) disclaim responsibility for any injury to people or property resulting from any ideas, methods, instructions or products referred to in the content. |
© 2026 by the authors. Licensee MDPI, Basel, Switzerland. This article is an open access article distributed under the terms and conditions of the Creative Commons Attribution (CC BY) license.
Share and Cite
Singh, K.; Tomer, P.; Paul, D.; Mishra, N.C.; Mukherjee, T.; Ghosh, D.; Trif, M.; Bhattacharya, S.; Rusu, A.V.; Hazra, S. Agro-Industrial Waste Valorization for Sustainable PHBV Production from Sugarcane Bagasse Using Bacillus sp. HLI02. Polymers 2026, 18, 802. https://doi.org/10.3390/polym18070802
Singh K, Tomer P, Paul D, Mishra NC, Mukherjee T, Ghosh D, Trif M, Bhattacharya S, Rusu AV, Hazra S. Agro-Industrial Waste Valorization for Sustainable PHBV Production from Sugarcane Bagasse Using Bacillus sp. HLI02. Polymers. 2026; 18(7):802. https://doi.org/10.3390/polym18070802
Chicago/Turabian StyleSingh, Komal, Preeti Tomer, Debarati Paul, Narayan Chandra Mishra, Tanushri Mukherjee, Debashish Ghosh, Monica Trif, Sourish Bhattacharya, Alexandru Vasile Rusu, and Saugata Hazra. 2026. "Agro-Industrial Waste Valorization for Sustainable PHBV Production from Sugarcane Bagasse Using Bacillus sp. HLI02" Polymers 18, no. 7: 802. https://doi.org/10.3390/polym18070802
APA StyleSingh, K., Tomer, P., Paul, D., Mishra, N. C., Mukherjee, T., Ghosh, D., Trif, M., Bhattacharya, S., Rusu, A. V., & Hazra, S. (2026). Agro-Industrial Waste Valorization for Sustainable PHBV Production from Sugarcane Bagasse Using Bacillus sp. HLI02. Polymers, 18(7), 802. https://doi.org/10.3390/polym18070802

