Due to scheduled maintenance work on our servers, there may be short service disruptions on this website between 11:00 and 12:00 CEST on March 28th.
Sign in to use this feature.

Years

Between: -

Subjects

remove_circle_outline
remove_circle_outline
remove_circle_outline
remove_circle_outline
remove_circle_outline
remove_circle_outline
remove_circle_outline
remove_circle_outline
remove_circle_outline

Journals

remove_circle_outline
remove_circle_outline
remove_circle_outline
remove_circle_outline
remove_circle_outline
remove_circle_outline
remove_circle_outline

Article Types

Countries / Regions

remove_circle_outline
remove_circle_outline
remove_circle_outline
remove_circle_outline
remove_circle_outline

Search Results (619)

Search Parameters:
Keywords = low density datasets

Order results
Result details
Results per page
Select all
Export citation of selected articles as:
26 pages, 7095 KB  
Article
CB-DETR: Symmetry-Guided Density-Adaptive Attention and Posterior Dynamic Query Decoding for Remote Sensing Target Detection
by Xiaodong Zhang, Jiahui Xue and Shengye Zhao
Symmetry 2026, 18(4), 561; https://doi.org/10.3390/sym18040561 - 25 Mar 2026
Abstract
Remote sensing object detection is severely hindered by background clutter and uneven object spatial distribution, limiting the performance of traditional algorithms and the original RT-DETR. To address these issues, this paper proposes an improved RT-DETR-based algorithm, CB-DETR. First, a symmetry-guided Density-Adaptive Attention (DAA) [...] Read more.
Remote sensing object detection is severely hindered by background clutter and uneven object spatial distribution, limiting the performance of traditional algorithms and the original RT-DETR. To address these issues, this paper proposes an improved RT-DETR-based algorithm, CB-DETR. First, a symmetry-guided Density-Adaptive Attention (DAA) module is designed to tackle insufficient intra-scale feature interaction and poor adaptability to uneven density regions in RT-DETR. Centered on a density estimation network, it predicts target density, generates normalized weights via temperature scaling and softmax, and dynamically adjusts receptive fields through a multi-branch structure to symmetrically adapt to high- and low-density regions, outperforming RT-DETR’s fixed receptive field design. Second, a cross-attention-fused Posterior Dynamic Query Decoder (PDQD) is constructed to overcome fixed query interaction and weak small/occluded object detection in the original decoder. A dynamic query update mechanism optimizes vectors via multi-round iterations, breaking fixed-layer limitations and mining detailed features in complex scenarios, thus improving small/occluded target detection accuracy. Comparative experiments on RSOD, DIOR, and DOTA datasets show that CB-DETR outperforms the original RT-DETR comprehensively: mAP50/mAP50:95 improve by 2.8%/2.1% and Precision (P)/Recall (R) by 4%/2.4% on RSOD; mAP50 improves by 1.3% on DIOR and 3% on DOTA. All core metrics surpass the original model and mainstream improved algorithms, verifying the effectiveness and innovation of the proposed improvements. Full article
(This article belongs to the Special Issue Symmetry-Aware Methods in Image Processing and Computer Vision)
Show Figures

Figure 1

17 pages, 2684 KB  
Article
Semantic-Enhanced Bidirectional Multimodal Fusion for 3D Object Detection Under Adverse Weather
by Tianzhe Jiao, Yuming Chen, Xiaoyue Feng, Chaopeng Guo and Jie Song
Appl. Sci. 2026, 16(6), 2943; https://doi.org/10.3390/app16062943 - 18 Mar 2026
Viewed by 152
Abstract
Multimodal fusion methods leveraging various sensors provide strong support for 3D object detection. However, under adverse weather conditions such as rain, fog, snow, and intense glare, complex environmental factors can degrade sensor data quality, leading to increased false positives and missed detections. In [...] Read more.
Multimodal fusion methods leveraging various sensors provide strong support for 3D object detection. However, under adverse weather conditions such as rain, fog, snow, and intense glare, complex environmental factors can degrade sensor data quality, leading to increased false positives and missed detections. In addition, sensor modalities (e.g., LiDAR and cameras) inherently vary in information density, and directly fusing them can cause critical details in high-density data to be diluted by low-density data, thereby increasing errors. To address these issues, we propose a Semantic-Enhanced Bidirectional Multimodal Fusion (SeBFusion) framework. By introducing a semantic enhancement mechanism and a bidirectional fusion strategy, SeBFusion mitigates the impact of noise under adverse weather and alleviates information dilution in multimodal fusion. Specifically, SeBFusion first employs a virtual point generation and camera semantic injection module to selectively map image semantic features into 3D space, producing semantically enhanced LiDAR features to compensate for the sparsity of the raw LiDAR point cloud. Then, during cross-modal interaction, we design a bidirectional cross-attention fusion module. This module estimates the confidence of each modality and adaptively reweights the bidirectional information flow, thereby reducing the risk of noise propagation across modalities and improving the robustness and accuracy of 3D object detection in complex environments. Experiments on adverse-weather versions of datasets such as KITTI-C and nuScenes-C validate the effectiveness and superiority of the proposed method. On the nuScenes-C dataset, it achieves 66.2% mAP and 66.6% mAP under fog and snow conditions, respectively. Full article
(This article belongs to the Special Issue Deep Learning-Based Computer Vision Technology and Its Applications)
Show Figures

Figure 1

15 pages, 2725 KB  
Article
Spatial Distribution Patterns of Forest Ecosystem Services in the Chinese Altai Mountains (2000–2020)
by Shuyi Xu, Shuixing Dong, Bomou Sun, Jihong Huang, Liping Wang, Wendong Wang, Zhongjun Guo, Yue Xu, Jie Yao, Yi Ding and Runguo Zang
Forests 2026, 17(3), 378; https://doi.org/10.3390/f17030378 - 18 Mar 2026
Viewed by 106
Abstract
Mountain forests within arid zones function as critical regional “water towers” and biodiversity hotspots, providing essential ecosystem services (ESs) such as carbon sequestration, water retention, soil conservation, and habitat maintenance. Despite their ecological significance, the spatiotemporal characteristics of these services remain insufficiently characterized. [...] Read more.
Mountain forests within arid zones function as critical regional “water towers” and biodiversity hotspots, providing essential ecosystem services (ESs) such as carbon sequestration, water retention, soil conservation, and habitat maintenance. Despite their ecological significance, the spatiotemporal characteristics of these services remain insufficiently characterized. For this study, focusing on the Altai Mountains in northwestern China, we employed the InVEST model using climate, land cover, and soil survey datasets (2000–2020) to quantify ES dynamics, then applied Spearman rank correlation to analyze their spatial interactions. Results indicated the following distinct spatiotemporal patterns: (1) Temporally, water retention capacity increased by 23.5% from 2000 to 2020, with the most rapid growth occurring between 2000 and 2010, whereas carbon storage experienced a slight decline of 1.9%. (2) Spatially, water retention followed a “high-North, low-South” distribution, while carbon storage and habitat quality were highly concentrated in the central mid-elevation zones (1400–2400 m). (3) Trade-off intensification: a significant negative correlation between water retention and carbon storage deepened over the study period, highlighting an escalating “water–carbon” conflict. The aforementioned findings suggest that future management should be focused on avoiding high-density afforestation in mid-elevation water-sensitive zones to prevent excessive evapotranspiration. Instead, spatially differentiated strategies—prioritizing water yield protection in high-altitude regions and stand structure optimization in mid-altitude forests—are essential for reconciling regional ecosystem service trade-offs. Full article
(This article belongs to the Special Issue Forest Ecosystem Services and Sustainable Management)
Show Figures

Figure 1

13 pages, 2003 KB  
Article
External Validation of an Open-Source Model for Automated Muscle Segmentation in CT Imaging of Cancer Patients
by Hendrik Erenstein, Jona Van den Broeck, Annemieke van der Heij-Meijer, Wim P. Krijnen, Aldo Scafoglieri, Harriët Jager-Wittenaar, Martine Sealy and Peter van Ooijen
J. Imaging 2026, 12(3), 135; https://doi.org/10.3390/jimaging12030135 - 18 Mar 2026
Viewed by 172
Abstract
Computed tomography (CT) at the third lumbar vertebra (L3) is widely used for muscle quantification, but manual segmentation is labor intensive. This study externally validates an AI model, trained on a public dataset, for automated L3 muscle segmentation using an independent cohort, including [...] Read more.
Computed tomography (CT) at the third lumbar vertebra (L3) is widely used for muscle quantification, but manual segmentation is labor intensive. This study externally validates an AI model, trained on a public dataset, for automated L3 muscle segmentation using an independent cohort, including a subgroup analysis of subject characteristics (e.g., age and a history of cancer). The AI model was trained on 900 CT scans with expert annotations from a publicly available repository. Validation was performed on 232 PET CT scans from the University Hospital Brussels, each manually segmented by an expert. Segmentation post-processing employed a density-based clustering algorithm to discard arm muscles and Hounsfield unit (HU) thresholding to refine the muscle segmentation. Performance was assessed using the Dice Similarity Coefficient (DSC) and Segmentation Surface Error (SSE). The model achieved a median DSC of 0.978 and a median SSE of 3.863 cm2 across the validation set. At lower BMI values, the model was more prone to overestimation of muscle surface area. Most segmentation errors occurred in the abdominal wall muscles. Analysis showed no significant difference between arm positioning above the head and alongside the body, indicating robustness to minor artifacts from arm positioning. The AI model delivers accurate, automated L3 muscle segmentation, supporting larger-scale body composition studies. However, diminished accuracy at low BMI values and limited demographic diversity of the data highlight the need for broader validation. Full article
(This article belongs to the Topic Machine Learning and Deep Learning in Medical Imaging)
Show Figures

Figure 1

20 pages, 14840 KB  
Article
Integrated Multi-Hazard Risk Assessment for Delhi with Quantile-Regressed LightGBM and SHAP Interpretation
by Saurabh Singh, Sudip Pandey, Ankush Kumar Jain, Ashraf Mousa, Fahdah Falah Ben Hasher and Mohamed Zhran
Land 2026, 15(3), 488; https://doi.org/10.3390/land15030488 - 18 Mar 2026
Viewed by 185
Abstract
Rapid urbanization, environmental degradation and climate variability are intensifying the exposure of urban populations to multiple, interacting hazards in megacities. In India’s capital, Delhi, extreme heat, worsening air quality and flood-related stress overlap in impacted areas, exacerbated by high population density in low-lying [...] Read more.
Rapid urbanization, environmental degradation and climate variability are intensifying the exposure of urban populations to multiple, interacting hazards in megacities. In India’s capital, Delhi, extreme heat, worsening air quality and flood-related stress overlap in impacted areas, exacerbated by high population density in low-lying zones and extensive built-up cover. This study develops an integrated spatial framework for assessing relative multi-hazard risk potential in Delhi by combining remote sensing, climate reanalysis, land use and demographic datasets into a predictive modeling system to support urban resilience planning. A comprehensive suite of twenty-two predictors representing thermal stress, air quality, surface indices, topography, hydrology, land use land cover (LULC), and demographic data was derived from diverse Earth observation sources. A cloud-native workflow leveraging Google Earth Engine (GEE) and Python 3 harmonized these predictors to train a Light Gradient Boosting Machine (LightGBM) model with five-fold spatial cross-validation. Quantile regression was used to estimate lower (P10) and upper (P90) predictive bounds, which are interpreted here as empirical predictive intervals around the modeled risk surface rather than as a strict separation of different uncertainty types, while SHapley Additive exPlanations (SHAP) decomposed the non-linear contributions of individual features. The model achieved predictive accuracy (R2 = 0.98, MAE = 0.01), with residuals centered near zero and consistent performance across spatial folds, demonstrating strong generalizability. Road density (63.4%) and population density (25.9%) emerged as the primary predictors of the modeled risk surface, followed by building density and NO2 concentration. Conversely, vegetation cover (NDVI) functioned as a critical mitigating buffer. Spatial risk maps identified persistent high-risk clusters in eastern and northeastern Delhi, coinciding with dense transport networks and industrial zones. The integrated P90 mapping framework provides spatially explicit and uncertainty-aware information on relative multi-hazard risk potential to guide targeted interventions, such as transport corridor mitigation and urban greening in Delhi and other rapidly urbanizing cities. Full article
Show Figures

Figure 1

23 pages, 1656 KB  
Article
Urban Sprawl Inside and Outside Natura 2000 Sites (SPAs) in Mediterranean EU States: The Case of Cyprus
by Panicos Panayides, Panicos Panayi, Maria Tziraki, Petroula Mavrikiou and Byron Ioannou
Land 2026, 15(3), 481; https://doi.org/10.3390/land15030481 - 17 Mar 2026
Viewed by 189
Abstract
Land-use change associated with scattered (isolated) housing in the countryside remains largely underestimated in conventional European land-use datasets due to spatial resolution and minimum mapping unit constraints. This study quantifies low-density urban sprawl at the building level in Cyprus for the period 1993–2022, [...] Read more.
Land-use change associated with scattered (isolated) housing in the countryside remains largely underestimated in conventional European land-use datasets due to spatial resolution and minimum mapping unit constraints. This study quantifies low-density urban sprawl at the building level in Cyprus for the period 1993–2022, both within and outside Special Protection Areas (SPAs) of the Natura 2000 network. Situating the analysis within a broader Mediterranean EU planning context, the paper examines how local spatial patterns reflect wider development trajectories, including tourism-driven growth and second-home demand. Results reveal a fivefold increase in isolated housing outside development planning zones, from 2440 units in 1993 to 12,640 in 2022 (+418%). Significant increases occurred within agricultural zones (Γ: +568%) and even in protection zones (Z1: +438%). Within SPAs, isolated houses rose from 341 to 1556 (+356%), while total building premises within these areas increased from 955 to 3649 (+282%), indicating statistically significant encroachment. Although Natura 2000 designation appears to have moderated development rates compared to the broader countryside, it has not prevented sprawl. The findings demonstrate substantial cumulative impacts on landscapes, ecosystems, and land-use planning objectives, highlighting the urgent need for stricter regulation of dispersed houses and auxiliary buildings both within protected and non-protected rural areas. Full article
(This article belongs to the Special Issue Urban Land Use Planning in Europe: A Comparative Perspective)
Show Figures

Figure 1

21 pages, 7166 KB  
Article
Geometric Reliability of AI-Enhanced Super-Resolution in Video-Based 3D Spatial Modeling
by Marwa Mohammed Bori, Zahraa Ezzulddin Hussein, Zainab N. Jasim and Bashar Alsadik
ISPRS Int. J. Geo-Inf. 2026, 15(3), 125; https://doi.org/10.3390/ijgi15030125 - 13 Mar 2026
Viewed by 269
Abstract
Video-based photogrammetric reconstruction is increasingly used when high-resolution still images are unavailable. However, limited spatial resolution, compression artifacts, and motion blur often reduce geometric accuracy. Recent advances in learning-based image super-resolution (SR) offer a promising preprocessing method, but their geometric reliability within photogrammetric [...] Read more.
Video-based photogrammetric reconstruction is increasingly used when high-resolution still images are unavailable. However, limited spatial resolution, compression artifacts, and motion blur often reduce geometric accuracy. Recent advances in learning-based image super-resolution (SR) offer a promising preprocessing method, but their geometric reliability within photogrammetric workflows remains not well understood. This study provides a controlled quantitative evaluation of learning-based super-resolution for video-based 3D reconstruction. Low-resolution video frames are enhanced using two representative methods: an open-source real-world SR model (Real-ESRGAN ×4) and a commercial solution (Topaz Video AI ×4). All datasets are processed with the same Structure-from-Motion and Multi-View Stereo pipelines and tested against terrestrial laser scanning (TLS) reference data. Results show that super-resolution significantly increases reconstruction density and improves the recovery of fine-scale surface details, while also leading to greater local surface variability compared with reconstructions from the original video; photogrammetric stability remains consistent despite these changes. The findings highlight a fundamental trade-off between reconstruction completeness and local geometric accuracy and clarify when enhanced video imagery via super-resolution can be a reliable source for 3D reconstruction. These results are especially important for spatial data science workflows and AI-powered 3D modeling and digital twin applications. Full article
(This article belongs to the Special Issue Urban Digital Twins Empowered by AI and Dataspaces)
Show Figures

Figure 1

42 pages, 1374 KB  
Article
Sensitivity Analysis and Design of Dynamic Inductive Power Transfer Coil Geometries for Two-Wheeled Electric Vehicles Under Misalignments
by Mário Loureiro, R. M. Monteiro Pereira and Adelino J. C. Pereira
Energies 2026, 19(6), 1456; https://doi.org/10.3390/en19061456 - 13 Mar 2026
Viewed by 323
Abstract
This work investigates the geometric design and optimisation of a dynamic inductive power transfer coupler for two-wheeled electric vehicles under misalignment and magnetic-field exposure constraints. A computational three-dimensional finite-element model of a shielded rectangular coupler is developed to characterise coupling coefficients and magnetic [...] Read more.
This work investigates the geometric design and optimisation of a dynamic inductive power transfer coupler for two-wheeled electric vehicles under misalignment and magnetic-field exposure constraints. A computational three-dimensional finite-element model of a shielded rectangular coupler is developed to characterise coupling coefficients and magnetic flux density levels on control planes along the longitudinal travel range and under lateral and angular misalignments. Two simulation datasets are generated: one varying only geometric parameters at a nominal position for surrogate construction and global sensitivity analysis, and a second jointly sampling geometry, the travel range and misalignments for optimisation. Sparse Polynomial Chaos Expansions and Canonical Low-Rank Approximation surrogates are built to quantify Sobol’ indices, revealing that a small subset of primary-side geometric variables dominates both coupling efficiency and magnetic field levels. Random forest regressors are then trained on the extended dataset and embedded in the Non-dominated Sorting Genetic Algorithm II to solve a multi-objective optimisation problem that maximises worst-case coupling, improves robustness to misalignment, and enforces magnetic-field leakage limits. Optimal designs were obtained, and a subset was selected for re-evaluation using the finite-element method. The results confirm that the proposed surrogate-assisted framework yields coupler geometries with enhanced coupling and reduced magnetic field leakage while respecting the mechanical constraints for the electric motorcycle system. Full article
Show Figures

Figure 1

15 pages, 1663 KB  
Communication
A Simulation-Based Computational Study on the Dielectric Response of Human Hand Tissues to Radiofrequency Radiation from Mobile Devices
by Agaku Raymond Msughter, Jonathan Terseer Ikyumbur, Matthew Inalegwu Amanyi, Eghwubare Akpoguma, Ember Favour Waghbo and Patience Uneojo Amaje
NDT 2026, 4(1), 11; https://doi.org/10.3390/ndt4010011 - 13 Mar 2026
Viewed by 191
Abstract
This study presents a computational, simulation-based investigation of the dielectric response of human hand tissues, skin, fat, muscle, and bone to radiofrequency (RF) electromagnetic fields emitted by mobile devices. The widespread adoption of handheld devices and the deployment of fifth-generation (5G) networks, including [...] Read more.
This study presents a computational, simulation-based investigation of the dielectric response of human hand tissues, skin, fat, muscle, and bone to radiofrequency (RF) electromagnetic fields emitted by mobile devices. The widespread adoption of handheld devices and the deployment of fifth-generation (5G) networks, including millimetre-wave (mmWave) bands, have intensified concerns regarding localized human exposure to RF radiation, particularly in the hand, which serves as the primary interface during device operation. Using validated dielectric property datasets, numerical simulations were performed across the frequency range of 0.5–40 GHz, employing the Finite-Difference Time-Domain (FDTD) method to solve Maxwell’s equations, with analytical evaluations conducted in Maple-18. A heterogeneous multilayer hand phantom was developed, and simulations were conducted under controlled exposure conditions, including a transmitted power of 1 W, antenna gain of 2 dBi, and incident power density of 5 W/m2, consistent with ICNIRP and NCC safety guidelines. Tissue responses were assessed over a temperature range of 10–40 °C to account for thermal variability. The results demonstrate strong frequency- and temperature-dependent behaviour of dielectric properties, intrinsic impedance, reflection coefficient, attenuation, and specific absorption rate (SAR). At lower frequencies (<1 GHz), RF energy penetrated more deeply with distributed absorption and relatively low SAR values, whereas higher frequencies (3–40 GHz) produced highly localized absorption in superficial tissues, particularly skin and muscle. Increasing temperature led to significant increases in permittivity, conductivity, and SAR, with up to a twofold enhancement observed between 10 °C and 40 °C. These findings confirm that 5G and mmWave exposures result in predominantly surface-confined energy deposition in hand tissues. The study provides a robust computational framework for evaluating hand device electromagnetic interactions and offers quantitative insights relevant to antenna design, exposure compliance assessment, and the development of evidence-based safety guidelines. Full article
Show Figures

Figure 1

26 pages, 13465 KB  
Article
Impacts of Land Use/Land Cover Change on the Spatial Heterogeneity of Carbon Storage Under Alternative Scenarios in Coastal Zhejiang–Fujian–Guangdong, China (2000–2035)
by Jie Wang, Haiyang Zhang, Runbin Hu and Yixuan Zhou
Sustainability 2026, 18(6), 2670; https://doi.org/10.3390/su18062670 - 10 Mar 2026
Viewed by 216
Abstract
Coastal provinces in eastern China are experiencing rapid urbanization that challenges ecosystem services and low-carbon development. In this study, Zhejiang, Fujian, and Guangdong Provinces were selected, and the influence of land use/land cover change (LUCC) on carbon storage and its spatial heterogeneity was [...] Read more.
Coastal provinces in eastern China are experiencing rapid urbanization that challenges ecosystem services and low-carbon development. In this study, Zhejiang, Fujian, and Guangdong Provinces were selected, and the influence of land use/land cover change (LUCC) on carbon storage and its spatial heterogeneity was quantified. LUCC datasets for 2000, 2005, 2010, 2015, and 2020 were compiled to describe land-use dynamics over 2000–2020. Carbon storage was estimated with the InVEST model. Land-use patterns for 2035 were simulated using the PLUS model under three scenarios: natural development, ecological protection, and development priority. Spatial autocorrelation analysis and multiscale geographically weighted regression (MGWR) were then used to determine the key drivers of spatial variability in carbon storage. Between 2000 and 2020, farmland, forest, grassland, and unused land showed an overall decline, while water bodies and tt-up land expanded; together, these changes corresponded to a carbon-storage loss of 121.19 Tg. Carbon density exhibited pronounced spatial clustering, with higher values concentrated in mountainous and less urbanized areas; built-up expansion and forest degradation were the primary contributors to carbon loss. By 2035, total carbon storage is projected to decrease by 74.67 Tg under natural development and by 108.54 Tg under development priority, whereas ecological protection is projected to yield the smallest decline (35.71 Tg). These results underscore the importance of sustainable coastal land-use planning and integrated coastal zone management, which balance development and ecosystem services by prioritizing ecological protection, curbing built-up expansion, and promoting forest restoration. Such nature-based solutions can enhance carbon sequestration, strengthen climate resilience, and support China’s low-carbon transition toward its dual-carbon targets. Full article
Show Figures

Figure 1

30 pages, 3169 KB  
Article
Mineralogical Effects on Cement-Stabilized Rammed Earth Strength: A Multivariate and Non-Parametric Analysis
by Piotr Narloch, Łukasz Rosicki, Hubert Anysz and Ireneusz Gawriuczenkow
Sustainability 2026, 18(5), 2491; https://doi.org/10.3390/su18052491 - 4 Mar 2026
Viewed by 219
Abstract
This study demonstrates that compressive strength in cement-stabilized rammed earth is governed by conditional, threshold-controlled interactions rather than by intrinsic mineralogical effects. A B + K (beidellite + kaolinite) content exceeding 15% defines a low-strength regime (median ≈ 44.6 kN), whereas B + [...] Read more.
This study demonstrates that compressive strength in cement-stabilized rammed earth is governed by conditional, threshold-controlled interactions rather than by intrinsic mineralogical effects. A B + K (beidellite + kaolinite) content exceeding 15% defines a low-strength regime (median ≈ 44.6 kN), whereas B + K ≤ 5% allows medians above 90 kN under 7% forming moisture. Quartz-rich fractions show a global correlation of r = 0.71. The Kruskal–Wallis test confirms strong clay grouping influence (H = 72.78, p < 0.001). Analysis of the experimental dataset shows that most strength distributions deviate from normality, invalidating pooled parametric inference and justifying the use of distribution-free methods. At the global level, bulk density and quartz-rich fractions are the dominant positive contributors to strength. Meanwhile, forming moisture and high combined beidellite–kaolinite content (>15%) exerts a negative influence under elevated forming moisture (8%), whereas the effect of 1:1 and 2:1 clay minerals differs depending on their hydro-affinity and moisture regime. However, subgroup analyses reveal frequent reversals in both magnitude and sign of correlations, proving that mineral effects depend critically on cement dosage and moisture regime, revealing discrete strength regimes defined by hierarchical interactions between moisture, cement content, and mineralogical thresholds. The combined beidellite–kaolinite content was classified into ≤5%, 5–15%, and >15% groups. Specimens with B + K > 15% consistently formed a low-strength regime, with a median destructive load of approximately 44.6 kN (≈1.1–1.3 MPa depending on cross-sectional area). In contrast, mixtures with B + K ≤ 5% achieved median loads above 90 kN (≈2.5–3.0 MPa). Quartz-rich fractions showed a strong global positive correlation with strength (r = 0.71), while the grouped clay fraction exhibited a highly significant effect (Kruskal–Wallis H = 72.78, p < 0.001). A regime shift was observed between 7% and 8% forming moisture, where quartz correlation changed from strongly positive (r ≈ 0.70) to negative (r ≈ −0.69). Increasing cement content from 6% to 9% significantly improved strength (H = 12.30, p = 0.0005), although this effect diminished when B + K exceeded 15% or forming moisture reached 8%. Association rules further confirm that high or low strength emerges only from specific multivariate combinations. The results show that mineralogy influences CSRE strength primarily through interaction with technological parameters, providing a robust basis for regime-based interpretation and rational mixture design. Full article
Show Figures

Figure 1

28 pages, 72422 KB  
Article
An Open-Access Remote Sensing and AHP–GIS Framework for Flood Susceptibility Assessment of Cultural Heritage
by Kyriakos Michaelides and Athos Agapiou
Geomatics 2026, 6(2), 23; https://doi.org/10.3390/geomatics6020023 - 28 Feb 2026
Viewed by 364
Abstract
Floods represent one of the most frequent and damaging natural hazards in Mediterranean mountain regions, where intense rainfall and complex topography amplify runoff and inundation risk. This study aims to delineate flood-susceptible zones in the Monti Lucretili area of central Italy, an environmentally [...] Read more.
Floods represent one of the most frequent and damaging natural hazards in Mediterranean mountain regions, where intense rainfall and complex topography amplify runoff and inundation risk. This study aims to delineate flood-susceptible zones in the Monti Lucretili area of central Italy, an environmentally sensitive and culturally significant landscape that hosts archeological remains and UNESCO listed dry-stone heritage using an integrated Analytical Hierarchy Process (AHP) and Geographic Information System (GIS) approach. Fifteen (15) conditioning factors, including elevation, slope, rainfall, soil, lithology, land use/land cover, drainage density, and proximity to rivers and roads, were derived from open-access satellite remote sensing and spatial datasets. The AHP model produced a flood susceptibility index ranging from 1.806 to 4.465, reclassified into five categories from very low to very high zones. The resulting map indicates that low- and moderate-susceptibility zones dominate the study area, while high and very high classes are primarily concentrated along valleys and drainage corridors. Model validation indicates strong regional-scale predictive performance, with 85.36% of modeled flood-prone areas located within high- to very-high-susceptibility zones and an AUC value of 0.82. Overall, the study highlights the potential of open-access AHP–GIS modeling as a practical screening tool for flood susceptibility assessment and heritage-aware spatial planning in Mediterranean environments. Full article
Show Figures

Figure 1

54 pages, 11294 KB  
Article
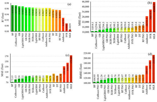
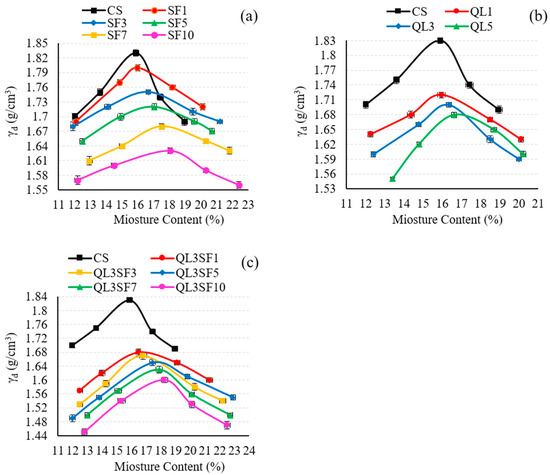
Hybrid ML–XAI Framework for Predicting and Interpreting the Strength of Lime–Silica Fume Stabilized Clay for Sustainable Construction Applications
by Arash Aminaee, Alireza Ardakani, Abolfazl Baghbani, Hossam Abuel-Naga and Firas Daghistani
Buildings 2026, 16(5), 953; https://doi.org/10.3390/buildings16050953 - 28 Feb 2026
Viewed by 219
Abstract
This study presents an advanced experimental–computational framework for the characterization and performance evaluation of low-plasticity kaolin clay soil (CL) stabilized with quicklime (QL) and silica fume (SF), aiming to support sustainable construction and ground improvement applications. A comprehensive laboratory program was conducted, comprising [...] Read more.
This study presents an advanced experimental–computational framework for the characterization and performance evaluation of low-plasticity kaolin clay soil (CL) stabilized with quicklime (QL) and silica fume (SF), aiming to support sustainable construction and ground improvement applications. A comprehensive laboratory program was conducted, comprising 210 unconfined compressive strength (UCS) tests across 14 mix designs and three curing periods (3, 7, and 28 days), alongside index and compaction property measurements. The results show that stabilization decreases plasticity index (PI) and maximum dry density. The QL–SF system showed a synergistic effect, with QL3–SF7 mixture achieving the highest UCS (2783.8 kPa at 28 days), a 6.8-fold increase over untreated clay within the tested range. To enable predictive evaluation and mix optimization, multiple machine learning (ML) models were developed using eight input variables, including Atterberg limits and compaction parameters for each stabilized mixture, along with stabilizer contents and curing time, with hyperparameters tuned via particle swarm optimization (PSO). Among the evaluated models, CatBoost-PSO and back-propagation neural networks delivered the highest generalization performance on the independent testing dataset (R2 ≈ 0.97; RMSE ≈ 105 kPa over a UCS range of 408.88–2783.8 kPa). To enhance interpretability and engineering reliability, explainable artificial intelligence (XAI) using SHAP was employed to quantify feature influence and verify physical consistency. SHAP analysis identified QL content, PI, and curing duration as dominant predictors, and showed that SF contribution depends on its balance with available calcium from QL. Overall, the proposed ML–XAI framework provides a transparent decision-support approach for performance-driven design of chemically stabilized clay materials while reducing reliance on extensive trial-and-error laboratory testing. Full article
(This article belongs to the Special Issue Advanced Characterization and Evaluation of Construction Materials)
Show Figures

Figure 1

37 pages, 34025 KB  
Article
Individual Tree Segmentation from LiDAR Point Clouds: A Mamba-Enhanced Sparse CNN Approach for Accurate Forest Inventory
by Xiangji Peng, Jizheng Yi, Rong Liu, Xiangyu Shen and Xiaoyao Li
Remote Sens. 2026, 18(4), 664; https://doi.org/10.3390/rs18040664 - 22 Feb 2026
Viewed by 430
Abstract
Individual tree segmentation is critical for automated forest inventory systems, enabling detailed individual tree records that support precision forest management. While current airborne LiDAR systems can acquire high-density, high-accuracy point clouds of dense forests, significant challenges remain in analyzing the diversity of forest [...] Read more.
Individual tree segmentation is critical for automated forest inventory systems, enabling detailed individual tree records that support precision forest management. While current airborne LiDAR systems can acquire high-density, high-accuracy point clouds of dense forests, significant challenges remain in analyzing the diversity of forest samples across different regions. An improved method of instance segmentation using a Mamba-Enhanced Sparse Convolutional Neural Network is proposed to address the problem of misallocation caused by ambiguous boundaries and overlapping canopies of individual trees. An innovative offset prediction method further reduces the high error rate in low-canopy datasets. On the basis of a variety of features, the designed network customizes the HDBSCAN clustering algorithm and the W-KNN neighborhood search algorithm for fine-grained instance segmentation to achieve optimal performance. To address the lack of block coherence in the FOR-instance dataset and to reduce redundant noisy trees in some regions, this work develops a novel pipeline to simulate real woodland scenes and evaluates the robustness of the network in composite forests. Extensive validation on real and benchmark data demonstrates the method’s superior generalization capability, yielding robust segmentation results across varied forest structures. The most marked gains are achieved in low-canopy settings, confirming the method’s enhanced ability to handle complex structural overlaps. Our method provides a more comprehensive solution for the inventory management of structurally heterogeneous or regionally diverse woodlands, thereby enhancing both the automation and precision of forest resource assessment. Full article
(This article belongs to the Section Forest Remote Sensing)
Show Figures

Figure 1

21 pages, 29204 KB  
Article
Loss Characterization of Soft Magnetic Core Materials from Room to Cryogenic Temperatures: A Comparative Study for Cryogenic Power Electronic Applications
by Stefanie Büttner and Martin März
Electronics 2026, 15(4), 872; https://doi.org/10.3390/electronics15040872 - 19 Feb 2026
Viewed by 380
Abstract
This paper presents a comprehensive experimental study addressing the lack of consistent low-temperature data on magnetic materials for high-efficiency cryogenic power electronics. A unified dataset is provided for the first time, covering temperatures from room temperature down to −194 °C, excitation frequencies between [...] Read more.
This paper presents a comprehensive experimental study addressing the lack of consistent low-temperature data on magnetic materials for high-efficiency cryogenic power electronics. A unified dataset is provided for the first time, covering temperatures from room temperature down to −194 °C, excitation frequencies between 25 kHz and 400 kHz, and technologically relevant flux densities. The investigated materials include MnZn- and NiZn-ferrites, nanocrystalline alloys (Vitroperm, Finemet), and various classes of alloyed powder cores. The characterization comprises magnetic hysteresis behavior, saturation flux density, temperature- and frequency-dependent core losses, permeability, and DC bias performance under cryogenic conditions. The results demonstrate that nanocrystalline materials and selected powder cores (MPP, Edge) exhibit superior cryogenic performance, while ferrites and low-cost powder cores suffer from significant loss increases or magnetic instability at low temperatures. These findings provide a solid basis for the selection and design of magnetic components in next-generation cryogenic power-electronic systems. Full article
(This article belongs to the Section Power Electronics)
Show Figures

Figure 1

Back to TopTop