Sign in to use this feature.

Years

Between: -

Subjects

remove_circle_outline
remove_circle_outline
remove_circle_outline
remove_circle_outline
remove_circle_outline
remove_circle_outline
remove_circle_outline
remove_circle_outline
remove_circle_outline

Journals

remove_circle_outline
remove_circle_outline
remove_circle_outline
remove_circle_outline
remove_circle_outline
remove_circle_outline
remove_circle_outline
remove_circle_outline
remove_circle_outline

Article Types

Countries / Regions

Search Results (129)

Search Parameters:
Keywords = longitudinal data introduction

Order results
Result details
Results per page
Select all
Export citation of selected articles as:
14 pages, 267 KB  
Article
Association Between Cellular Hydration Patterns and Hydroelectrolytic Regulation with Muscle Strength in Older Adults
by Isabel Lorenzo, Mateu Serra-Prat, Esther Mur-Gimeno, Lluis Guirao and Juan Carlos Yébenes
Nutrients 2026, 18(5), 850; https://doi.org/10.3390/nu18050850 - 5 Mar 2026
Viewed by 319
Abstract
Introduction: Muscle function is influenced by hydroelectrolytic mechanisms that regulate cellular volume beyond isolated plasma electrolyte concentrations. However, the role of integrated hydration and electrolyte regulation profiles in muscle function among older adults remains insufficiently understood. Objective: To identify which physiological [...] Read more.
Introduction: Muscle function is influenced by hydroelectrolytic mechanisms that regulate cellular volume beyond isolated plasma electrolyte concentrations. However, the role of integrated hydration and electrolyte regulation profiles in muscle function among older adults remains insufficiently understood. Objective: To identify which physiological domains of hydroelectrolytic regulation are most strongly associated with muscle strength and functional performance in community-dwelling older adults. Methods: A cross-sectional study was conducted in 96 community-dwelling individuals aged ≥ 70 years. Markers of cellular hydration and membrane integrity were assessed using bioelectrical impedance analysis, together with first-morning fasting plasma and urinary sodium and chloride concentrations. Principal component analysis (PCA) was applied as a data-driven approach to identify latent domains of coordinated hydroelectrolytic regulation. Associations between component scores and handgrip strength and Timed Up and Go (TUG) were examined using two sequential multivariable regression models: Model 1 adjusted for sex and fat-free mass index (FFMI); Model 2 additionally adjusted for age, hypertension, and diuretic use. Results: Three principal components were retained, explaining 77.5% of total variance: PC1 (renal–cellular domain), PC2 (plasma electrolyte domain), and PC3 (cellular volume domain). For handgrip strength, Model 1 showed significant associations for PC3 (β = 0.152; p = 0.025) and PC1 (β = 0.180; p = 0.050). In Model 2, only PC3 remained independently associated (β = 0.146; p = 0.036). For TUG, Model 1 showed associations for PC1 (β = −0.262; p = 0.049) and PC3 (β = −0.238; p = 0.015). In Model 2, PC1 (β = −0.308; p = 0.019) and PC2 (β = −0.190; p = 0.046) remained independently associated, whereas PC3 was not. Conclusions: Maximal force production appears primarily associated with cellular volume regulation, whereas functional performance reflects broader multi-compartmental hydroelectrolytic integration involving renal and plasma domains. These findings suggest that multidimensional hydration profiling may complement isolated biochemical markers in the functional assessment of older adults, warranting validation in longitudinal studies. Full article
(This article belongs to the Section Nutrition and Metabolism)
16 pages, 739 KB  
Article
Psychosocial and Body Image Variations in Professional Dancers: A Prospective Longitudinal Observational Study
by Marina Creazzo Maruschi, Gabriel de Souza Zanini, Pedro Luiz Santorsula de Paula Oliveira, Deivide Telles de Lima, Evandro Antônio Correa, Carlos Eduardo Lopes Verardi, Cátia Caldeira Ferreira, Víctor Hernández-Beltrán, José M. Gamonales, Mário Cunha Espada and Dalton Muller Pessoa Filho
Sports 2026, 14(3), 99; https://doi.org/10.3390/sports14030099 - 3 Mar 2026
Viewed by 328
Abstract
Introduction: Psychosocial functioning and body image are key dimensions of mental well-being and performance. Among professional dancers, competitive environments, aesthetic demands, and physical–emotional overload contribute to increased anxiety, stress, and mood disturbances, potentially impairing performance and heightening injury risk. Objective: To investigate longitudinal [...] Read more.
Introduction: Psychosocial functioning and body image are key dimensions of mental well-being and performance. Among professional dancers, competitive environments, aesthetic demands, and physical–emotional overload contribute to increased anxiety, stress, and mood disturbances, potentially impairing performance and heightening injury risk. Objective: To investigate longitudinal variations in psychosocial and emotional indicators among professional dancers throughout a season of rehearsals and performances. Methods: Thirteen dancers (9 women and 4 men) from a professional company were assessed across eight time points using the Brunel Mood Scale (BRUMS), State–Trait Anxiety Inventory (STAI-State), Recovery–Stress Questionnaire for Athletes (REST-Q 76 Sport), and Body Shape Questionnaire (BSQ). Data was analyzed using repeated-measures ANOVA with Bonferroni post hoc tests (p < 0.05). Results: Negative mood dimensions progressively increased (p < 0.01; η2p = 0.46, large), while vigor decreased (p = 0.03; η2p = 0.29, medium), indicating an inversion of the typical “iceberg” profile. Overall stress levels increased (p = 0.02; g = 0.53, power = 0.81) and perceived recovery declined (p = 0.04; g = 0.41, power = 0.78). State anxiety rose consistently (p < 0.01; η2p = 0.42), and body dissatisfaction, assessed via the BSQ, increased from “no concern” to “high concern” classifications (p = 0.03; g = 0.59, power = 0.84). Conclusions: Overall, the findings indicating a longitudinal pattern of increased psychometric strain indicators, inferred exclusively from psychometric trends, and conceptually consistent with a possible imbalance between perceived demands and perceived recovery, rather than reflecting objectively measured workload or recovery processes. Full article
Show Figures

Figure 1

17 pages, 354 KB  
Review
Early Prognostic Factors in Multiple Sclerosis: Clinical and Therapeutic Implications
by Katarzyna Maciejowska-Szydło and Przemysław Puz
Medicina 2026, 62(3), 475; https://doi.org/10.3390/medicina62030475 - 2 Mar 2026
Viewed by 347
Abstract
Introduction: Multiple sclerosis (MS) is a chronic, inflammatory, demyelinating disease of the central nervous system with a highly heterogeneous clinical course. Early identification of patients at risk of aggressive disease progression is crucial for optimizing therapeutic strategies, including eligibility for highly effective [...] Read more.
Introduction: Multiple sclerosis (MS) is a chronic, inflammatory, demyelinating disease of the central nervous system with a highly heterogeneous clinical course. Early identification of patients at risk of aggressive disease progression is crucial for optimizing therapeutic strategies, including eligibility for highly effective treatments. Objective: The aim of this review was to synthesize current data on prognostic factors in multiple sclerosis, with particular emphasis on their significance in the early stages of the disease and potential clinical implications. Methods: A narrative systematic review of the literature was conducted, including observational studies, cohort studies, meta-analyses, and systematic reviews on the natural course of MS, prognostic factors, and clinical, neuroimaging, and laboratory biomarkers. We comprehensively reviewed PubMed and Scopus databases, focusing on English-language publications. Study selection prioritized longitudinal studies and meta-analyses with clear outcome definitions and sufficient follow-up. Formal quality scoring was not applied due to the narrative design of the review. Results: Key adverse prognostic factors include older age at onset, polysymptomatic onset, high relapse activity in the first years, incomplete remission after relapses, and the primary progressive form. Magnetic resonance imaging features, including the number and location of T2 lesions, contrast activity, the presence of spinal cord lesions, PRLs and SELs, and severe brain atrophy, also have significant predictive value. Increasing importance is being attached to laboratory biomarkers, such as oligoclonal bands, light neurofilaments, free kappa light chains, and GFAP. Conclusions: An integrated assessment of clinical, neuroimaging, and laboratory factors enables more effective risk stratification in patients with newly diagnosed MS. Early identification of an unfavorable prognostic profile may provide a basis for individualizing treatment and considering the use of highly effective therapies early in the course of the disease. Full article
(This article belongs to the Section Neurology)
10 pages, 309 KB  
Article
Long-Term Efficacy of Limosilactobacillus reuteri DSM17938 in the Prevention of Functional Abdominal Pain Disorders
by Flavia Indrio, Antonio Di Mauro, Giacomo Perrone, Annamaria Greco, Simona Filoni, Enea Vincenzo Napolitano and Luca Pecoraro
Nutrients 2026, 18(4), 687; https://doi.org/10.3390/nu18040687 - 20 Feb 2026
Viewed by 452
Abstract
Introduction: Pediatric Functional Gastrointestinal Disorders (FGIDs), including infantile colic and constipation, may persist into later childhood and adulthood, sometimes manifesting as functional abdominal pain (FAP). Early exposure to probiotics during critical developmental windows may influence long-term susceptibility to disease. Background/Objectives: Building on our [...] Read more.
Introduction: Pediatric Functional Gastrointestinal Disorders (FGIDs), including infantile colic and constipation, may persist into later childhood and adulthood, sometimes manifesting as functional abdominal pain (FAP). Early exposure to probiotics during critical developmental windows may influence long-term susceptibility to disease. Background/Objectives: Building on our original randomized controlled trial, which demonstrated that Lactobacillus reuteri DSM 17938 reduced acute infantile FGID symptoms, a 10-year follow-up study was performed to evaluate whether this early intervention provided lasting protection against FAP in childhood. Methods: Two hundred participants from the original RCT cohort completed follow-up assessments at age ten. The primary outcome was the presence of FAP, analyzed according to the original randomization group (probiotic vs placebo). FAP was diagnosed at age 10 using the Rome IV criteria, based on a standardized clinical assessment by a pediatric gastroenterologist who was blinded to the original allocation. Results: FAP was diagnosed in 13/99 (13.1%) children in the probiotic group and 81/101 (80.2%) in the placebo group, corresponding to an absolute risk reduction of 67.1% (95% CI 56.8–77.3) and a relative risk of 0.16 (95% CI 0.10–0.27) (p < 0.001). Conclusions: Early supplementation with L. reuteri DSM 17938 was associated with a markedly lower prevalence of FAP at age 10. However, the long-term follow-up was observational and characterized by a 57.2% attrition rate. In addition, longitudinal data on potential confounders were unavailable; therefore, the findings should be interpreted as an association rather than proof of causality. Full article
(This article belongs to the Section Prebiotics, Probiotics and Postbiotics)
Show Figures

Figure 1

30 pages, 5000 KB  
Article
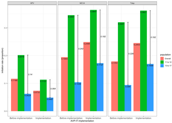
Online Decision Support for Implementing Evidence-Based HPV Vaccination Strategies in Texas Safety-Net Pediatric Clinics: Impact on HPV, MCV, and Tdap Initiation
by Ross Shegog, Hanxiao Sun, Erica L. Frost, Laura C. Thormaehlen, Travis A. Teague, Catherine Mary Healy, Hina Azam, Aadeel Khawaja, Laura Aubree Shay, Dale S. Mantey, Sally W. Vernon and Lara S. Savas
Healthcare 2026, 14(4), 519; https://doi.org/10.3390/healthcare14040519 - 18 Feb 2026
Viewed by 370
Abstract
Introduction: HPV vaccination rates for adolescents in the United States are below recommended levels. The Adolescent Vaccination Program (AVP) guides pediatric clinics on how to implement evidence-based strategies to increase HPV vaccination rates. These strategies comprise the adoption of (1) immunization champions, [...] Read more.
Introduction: HPV vaccination rates for adolescents in the United States are below recommended levels. The Adolescent Vaccination Program (AVP) guides pediatric clinics on how to implement evidence-based strategies to increase HPV vaccination rates. These strategies comprise the adoption of (1) immunization champions, (2) provider assessment and feedback, (3) continuing education, and (4) prompts, (5) parent reminders, and (6) parent education. The AVP systems-based intervention has demonstrated increased HPV vaccination rates in large urban pediatric clinic networks. The purpose of this study was to assess the feasibility of using an online decision support tool, the AVP Implementation Tool (AVP-IT), to implement AVP strategies in safety-net clinics to improve healthcare for the medically underserved in Texas. Methods: AVP immunization clinic staff champions in four urban safety-net clinics completed tailored Action Plans within the AVP-IT to guide strategy implementation, received webinar training from the research team commensurate to each AVP strategy, and participated in monthly monitoring calls with AVP-IT project staff over a 33-month period from 2022 to 2024. Results: All clinics made progress toward full implementation of AVP strategies. Interrupted time series (ITS) trend analysis demonstrated that AVP-IT implementation was associated with an immediate boost in HPV vaccine initiation rates (p < 0.001) and that long-term trends (ITS slopes) were significant for HPV, MCV4, and Tdap vaccines despite low post-COVID-19 pandemic rates (p < 0.001). Vaccination rates using raw data (mean differences) were not longitudinally significant except for older youth aged 13–17 years. Conclusions: The AVP-IT promises accessible and practical decision support to implement strategies to increase HPV vaccination rates in safety-net clinics. Scale-up in these clinics will require leadership support, technical assistance, and EHR optimization. Full article
(This article belongs to the Special Issue Research on Health Disparities in the Global Population)
Show Figures

Figure 1

13 pages, 1968 KB  
Article
Revisiting the OGIPRO Trial: Dynamic Electronic Patient-Reported Outcomes Compared with EQ-5D-5L in HER2-Positive Breast Cancer
by Anatol Aicher, Marcus Vetter, David Blum and Andreas Trojan
Cancers 2026, 18(4), 614; https://doi.org/10.3390/cancers18040614 - 13 Feb 2026
Viewed by 343
Abstract
Introduction: Patient-reported outcomes (PROs) are increasingly valued in oncology for capturing treatment tolerability and quality of life, and they are emerging as important data sources for precision-medicine and AI-driven clinical workflows. While the EQ-5D-5L questionnaire remains a widely used standardized instrument, dynamic electronic [...] Read more.
Introduction: Patient-reported outcomes (PROs) are increasingly valued in oncology for capturing treatment tolerability and quality of life, and they are emerging as important data sources for precision-medicine and AI-driven clinical workflows. While the EQ-5D-5L questionnaire remains a widely used standardized instrument, dynamic electronic PROs (ePROs) collected via mobile applications generate richer, higher-frequency longitudinal data. Their alignment with established PRO measures, however, is not well-understood, limiting their integration into routine care and downstream analytic applications. In the prospective OGIPRO trial (KEK-ZH 2021-D0051), patients with HER2-positive breast cancer reported well-being and symptoms via the Medidux ePRO platform alongside weekly EQ-5D-5L assessments. In this retrospective analysis, we used linear mixed-effects modeling to examine associations between: (i) dynamic ePRO well-being and the EQ-5D-5L visual analogue scale (VAS); (ii) dynamic ePRO symptom grades and EQ-5D-5L domain sums; (iii) ePRO symptom grades and EQ-5D-5L disutility using the EQ-5D-5L value set for Germany. Materials and Methods: The analytic dataset comprised 13,699 dynamic ePRO data points (3376 well-being ratings and 10,323 symptom grades across 91 symptom types) from 53 patients, forming high-frequency longitudinal patient trajectories. Of these, 252 and 226 time-aligned observations, respectively, were used for direct comparison with EQ-5D-5L VAS and domain scores. Results: Dynamic ePRO well-being showed strong agreement with EQ-5D-5L VAS (β = 1.061, 95% CI: 1.015–1.107), with low between-patient variability. In contrast, the agreement between aggregated ePRO symptom grades and EQ-5D-5L domain sums was weaker (β = 0.404, 95% CI: 0.307–0.501) and more heterogeneous across patients. The same applied to the agreement between ePRO symptom grades and EQ-5D-5L disutility (β = 0.213; 95% CI: 0.151–0.275). Discussion: Dynamic ePRO well-being aligns closely with EQ-5D-5L VAS scores, supporting its use as a pragmatic substitute in clinical and research settings. Aggregated symptom grades, however, showed limited concordance with EQ-5D-5L domains, indicating the need for more granular analyses on larger datasets. Conclusions: Overall, dynamic ePRO systems provide validated, high-resolution longitudinal patient data and represent a scalable foundation for patient monitoring and data-driven decision support in oncology, including future AI-based precision-medicine applications. Full article
(This article belongs to the Special Issue Artificial Intelligence for Cancer Precision Medicine)
Show Figures

Figure 1

13 pages, 499 KB  
Article
Global Longitudinal Strain Alteration of the Left Ventricle in Children with Organic Aciduria: Cardiac Disease in Organic Aciduria
by Bastien Moysset, Célia Hoebeke, Brigitte Chabrol, Guillaume Carles, Beatrice Desnous, Julie Delphine Blanc, Caroline Ovaert and Fedoua El Louali
J. Clin. Med. 2026, 15(4), 1393; https://doi.org/10.3390/jcm15041393 - 10 Feb 2026
Viewed by 269
Abstract
Introduction: Cardiac complications are well-documented in propionic acidemia (PA), and there are a few reported cases of cardiomyopathies in methylmalonic acidemia (MMA). Left-ventricular global longitudinal strain (LV GLS) measurement is known to be able to detect early ventricular dysfunction, leading potentially to cardiomyopathy. [...] Read more.
Introduction: Cardiac complications are well-documented in propionic acidemia (PA), and there are a few reported cases of cardiomyopathies in methylmalonic acidemia (MMA). Left-ventricular global longitudinal strain (LV GLS) measurement is known to be able to detect early ventricular dysfunction, leading potentially to cardiomyopathy. The aim of our study was to evaluate left-ventricular global longitudinal strain (LV GLS) in MMA and PA patients and compare it with the pediatric general population. Methods: In this monocentric retrospective study, 26 patients with organic aciduria (OA) were included. Demographic, clinical, electrocardiographic and echocardiographic data were collected. The mean LV GLS in MMA and PA patients was compared with the GLS in the pediatric general population. Results: The left-ventricular ejection fraction (LVEF) was similar between MMA and PA patients and in the normal range (66.27 ± 6.24% vs. 61.41 ± 11.02%; p = 0.182). LV GLS was significantly lower in PA patients than in MMA patients (−15.8 ± 5.67% vs. −20.6 ± 3.19%; p = 0.011). LV GLS was significantly lower in PA patients when compared with the general pediatric population (p = 0.029). Conclusions: Patients with propionic acidemia may have impaired global longitudinal strain even in the presence of normal LVEF. LV GLS might be a useful tool for cardiac follow-up in pediatric patients with OA. Full article
Show Figures

Figure 1

22 pages, 1454 KB  
Review
Sustainability in Heritage Tourism: Evidence from Emerging Travel Destinations
by Sara Sampieri and Silvia Mazzetto
Heritage 2026, 9(2), 45; https://doi.org/10.3390/heritage9020045 - 27 Jan 2026
Viewed by 1150
Abstract
This study examines the conceptualization of sustainability in heritage tourism in Saudi Arabia following the introduction of the Saudi Vision 2030 program and the country’s opening to tourism in 2019, both of which aim to diversify the economy and promote cultural heritage. A [...] Read more.
This study examines the conceptualization of sustainability in heritage tourism in Saudi Arabia following the introduction of the Saudi Vision 2030 program and the country’s opening to tourism in 2019, both of which aim to diversify the economy and promote cultural heritage. A scoping review methodology based on the Arksey & O’Malley framework has been adopted; data were charted according to the Joanna Briggs Institute (JBI) charting method based on the PRISMA-ScR reporting protocol. Publications from 2019 to 2025 were systematically collected from the database and manual research, resulting in 25 fully accessible studies that met the inclusion criteria. Data were analyzed thematically, revealing six main areas of investigation, encompassing both sustainability outcomes and cross-cutting implementation enablers: heritage conservation and tourism development, architecture and urban planning, policy and governance, community engagement, marketing and technology, and geoheritage and environmental sustainability. The findings indicate that Saudi research in this field is primarily qualitative, focusing on ecological aspects. The studies reveal limited integration of social and technological dimensions, with significant gaps identified in standardized sustainability indicators, longitudinal monitoring, policy implementation, and digital heritage tools. The originality of this study lies in its comprehensive mapping of Saudi heritage tourism sustainability research, highlighting emerging gaps and future agendas. The results also provide a roadmap for policymakers, managers, and scholars to enhance governance policies, community participation, and technological integration, which can contribute to sustainable tourism development in line with Saudi Vision 2030 goals, thereby fostering international competitiveness while preserving cultural and natural heritage. Full article
Show Figures

Figure 1

18 pages, 711 KB  
Protocol
A Hybrid Type II Hub-and-Spoke Model Evaluation Framework in the Commonwealth Partnerships for Antimicrobial Stewardship Programme—A Study Protocol
by Ayesha Iqbal, Gizem Gülpinar, Claire Brandish, Maxencia Nabiryo, Frances Garraghan and Victoria Rutter
Antibiotics 2025, 14(12), 1218; https://doi.org/10.3390/antibiotics14121218 - 3 Dec 2025
Viewed by 616
Abstract
Introduction: The hub-and-spoke model (HSM) offers a methodological and hierarchical project management framework for efficient healthcare service delivery. The Commonwealth Partnerships for Antimicrobial Stewardship (CwPAMS) programme supports the development and implementation of antimicrobial stewardship (AMS) interventions to optimise the use of antimicrobials across [...] Read more.
Introduction: The hub-and-spoke model (HSM) offers a methodological and hierarchical project management framework for efficient healthcare service delivery. The Commonwealth Partnerships for Antimicrobial Stewardship (CwPAMS) programme supports the development and implementation of antimicrobial stewardship (AMS) interventions to optimise the use of antimicrobials across eight African countries: Ghana, Kenya, Malawi, Nigeria, Sierra Leone, Tanzania, Uganda, and Zambia. Currently the second phase of the programme (CwPAMS 2.0) is being implemented, between March 2023 and March 2025, in which six countries are adopting the HSM to deliver AMS interventions. The aim of this study was to design a hybrid II monitoring, evaluation and learning (MEL) framework to assess the implementation and effectiveness of the HSM in delivering and adapting AMS interventions. Methods: A mixed-methods Hybrid II Implementation trial design was used to develop the MEL framework, guided by the Theory of Change, Socio-Ecological Theory, and Normalisation Process Theory and in alignment with the Reach, Effectiveness, Adoption, Implementation, and Maintenance (RE-AIM) framework. Data collection will be continuous and longitudinal (pre-, mid- and post-implementation). The evaluation framework has been designed to study implementation evaluation at three ecological levels: programme, partnership, and individual site level. Data collection will encompass mixed methodologies and include non-participant observations, formal and informal feedback (from individual key stakeholders and groups), knowledge tools and surveys, scored evaluations, pre-and post-assessments, semi-structured interviews, focus groups, and data collected during formal and informal meetings. This approach will facilitate continuous data collection for evaluation and help study the utilisation and adaptation of AMS interventions. Discussion: This study provides a protocol for developing and utilising an MEL framework to study the application of the HSM in delivering AMS interventions. Developing an evaluation framework requires meticulous planning and a robust implementation and evaluation protocol to ensure methodological rigour, transparency, and effective resource management throughout the project lifecycle. Despite comprehensive consideration of developing progress and programmatic indicators and measures across all domains, the study acknowledges limitations in definitively attributing causality to individual AMS interventions due to their complexity and varied implementation contexts. Full article
Show Figures

Figure 1

16 pages, 1372 KB  
Article
Lipid-Derived Cardiometabolic Indices in Normouricemic and Hyperuricemic Adults: A Retrospective Cross-Sectional Association Study
by Yazeed Alshuweishi, Salihah H. Khobrani, Muath Alsaidan, Tahani M. Alharthi, Mohannad G. Abdelgader and Abdulaziz M. Almuqrin
Healthcare 2025, 13(23), 3151; https://doi.org/10.3390/healthcare13233151 - 3 Dec 2025
Viewed by 864
Abstract
Introduction: Hyperuricemia is increasingly recognized as a metabolic disorder linked to dyslipidemia, insulin resistance, and vascular complications. In Saudi Arabia, the prevalence of hyperuricemia is rising with obesity and diabetes, yet its relationship with lipid-derived cardiometabolic indices remained understudied. This study aimed to [...] Read more.
Introduction: Hyperuricemia is increasingly recognized as a metabolic disorder linked to dyslipidemia, insulin resistance, and vascular complications. In Saudi Arabia, the prevalence of hyperuricemia is rising with obesity and diabetes, yet its relationship with lipid-derived cardiometabolic indices remained understudied. This study aimed to examine the associations between uricemia status and lipid-derived cardiometabolic indices in a large adult cohort. Methods: This retrospective cross-sectional study analyzed data from 7652 adults, including 5385 normouricemic (NU) and 2267 hyperuricemic (HU). Key cardiometabolic indices, including the triglyceride-glucose index (TyG), non-high-density lipoprotein cholesterol (non-HDL-C), remnant cholesterol (RC), atherogenic index of plasma (AIP), and Castelli risk indices I and II (CRI-I, CRI-II), were calculated. Associations were evaluated treating HU as the exposure and the lipid-derived cardiometabolic indices as the outcomes. Multivariable regression analyses, receiver operating characteristic (ROC) curves, and prevalence-based association estimates were used to assess these relationships. Results: HU individuals exhibited significantly higher TG along with lowered HDL-C. Median TyG (4.61), AIP (0.38), non-HDL-C (147 mg/dL), RC (18 mg/dL), CRI-I (4.30), and CRI-II (2.85) were higher in the HU group compared to NU group, with non-HDL-C and CRI-I falling within the abnormal range, AIP in the high-risk range, and TyG and CRI-II at borderline levels. Across the separately adjusted models, hyperuricemia showed consistent positive associations with RC, AIP, CRI-I, and CRI-II, whereas associations with TyG and non-HDL-C diminished after adjustment for renal or liver markers. ROC analysis demonstrated modest discriminatory ability of uric acid for elevated indices, with AIP (AUC = 0.641) and CRI-I (AUC = 0.640) exhibiting the highest performance. The prevalence of elevated indices was substantially higher in HU, particularly for CRI-II (44.0% vs. 25.9%) and CRI-I (28.2% vs. 13.7%). Conclusions: These findings highlight associations between HU and lipid-derived cardiometabolic indices, but further longitudinal research is required to determine whether HU has a clinical predictive value in cardiovascular risk assessment. Full article
Show Figures

Figure 1

17 pages, 723 KB  
Protocol
Patient-Centered Chronic Spinal Pain Management Using Exercise and Neuromodulation: Study Protocol for a Randomized Controlled Trial
by Borja Huertas-Ramirez, Eloy Jaenada-Carrilero, Mariola Belda-Antoli, Jesica Leal-Garcia, Monica Alonso-Martin, Alex Mahiques-Sanchis, Agustin Benlloch-Garcia, Francisco Falaguera-Vera and Juan Vicente-Mampel
Healthcare 2025, 13(23), 3032; https://doi.org/10.3390/healthcare13233032 - 24 Nov 2025
Viewed by 754
Abstract
Introduction: Persistent Spinal Pain Syndrome Type 2 (PSPS-T2) is associated with changes in the brain’s pain processing. This is often due to problems with the body’s natural way of handling the pain management system. Exercise therapy, such as motor control and spinal stabilization, [...] Read more.
Introduction: Persistent Spinal Pain Syndrome Type 2 (PSPS-T2) is associated with changes in the brain’s pain processing. This is often due to problems with the body’s natural way of handling the pain management system. Exercise therapy, such as motor control and spinal stabilization, can help reduce pain and disability. However, exercise alone may not be sufficient. Approaches that consider both body mechanics and brain function are gaining popularity. Since brain changes play a role in muscle and bone problems, noninvasive brain stimulation (NIBS) is considered a helpful adjunctive treatment. Studies have shown that NIBS may help people with spinal pain and mood disorders. The aim of this study is to assess the impact of combining tDCS targeting the dorsolateral prefrontal cortex with spinal motor control exercises in patients diagnosed with PSPS-T2. This investigation is based on the hypothesis that such a combined intervention could result in a more significant reduction in disability. Methods/Materials: This randomized controlled trial (RCT) is structured as a double-blind, comparative, longitudinal design in accordance with the CONSORT guidelines. This RCT has been registered at ClinicalTrials.gov (NCT06969456). Forty-two participants diagnosed with PSPS-T2 will be randomized in a 1:1 ratio into two groups: tDCS + rehabilitation (EtDCS) or sham tDCS + rehabilitation (ESHAM). The intervention will use tDCS to deliver low-intensity direct current to modulate cortical excitability. The intervention will consist of 24 supervised sessions (2 per week, 60 min each) over 12 weeks. Neuromodulation and exercise protocols will be adapted to the intervention phases based on previous research. The sample size has been calculated using GPower®, assuming an effect size of 0.81, α = 0.05, power = 0.95, and a 40% dropout rate. Data will be collected from October 2025 to January 2027. Impact Statement: This study integrates neurophysiological modulation via tDCS with targeted exercise therapy, presenting an innovative approach to enhance pain modulation, functional recovery, and cortical reorganization in patients with PSPT-2. This approach has the potential to inform future evidence-based strategies for neurorehabilitation and pain management. Full article
Show Figures

Figure 1

21 pages, 1130 KB  
Study Protocol
The VIGILANCE Study Protocol: An Innovative Study to Identify Prognostic and Response Biomarkers in Patients with Stage III Non-Small-Cell Lung Cancer Treated with Curative-Intent Radiotherapy
by Ashley Horne, Amelia Payne, Harry Crawford, Clare Dempsey, Hitesh Mistry, Gareth Price and Corinne Faivre-Finn
BioMed 2025, 5(4), 27; https://doi.org/10.3390/biomed5040027 - 13 Nov 2025
Viewed by 1280
Abstract
Introduction: Current treatments for patients with stage III non-small-cell lung cancer (NSCLC) are not sufficiently personalized, resulting in suboptimal outcomes and high mortality rates. The Developing Circulating and Imaging Biomarkers Towards Personalized Radiotherapy in Lung Cancer (VIGILANCE) study employs innovative health technologies to [...] Read more.
Introduction: Current treatments for patients with stage III non-small-cell lung cancer (NSCLC) are not sufficiently personalized, resulting in suboptimal outcomes and high mortality rates. The Developing Circulating and Imaging Biomarkers Towards Personalized Radiotherapy in Lung Cancer (VIGILANCE) study employs innovative health technologies to collect a range of clinical data and features. This includes longitudinal analyses of cell-free and circulating tumor DNA from blood samples and radiomic features extracted from standard-of-care imaging. Additionally, patient-reported outcome measures will be collected to capture patients’ symptoms and quality of life. This will provide invaluable insight into the patient experience during and after radiotherapy. We aim to evaluate whether the data, including patient-reported outcomes, can serve as biomarkers to refine treatment strategies, improve post-treatment follow-up and provide patients with realistic outcome predictions. Key endpoints include the following: (1) assessing whether baseline ctDNA status and its early on-treatment dynamics can identify patients with radioresistant disease who could benefit from treatment intensification; (2) determining whether post-radiotherapy ctDNA clearance can predict benefit from consolidation durvalumab, potentially sparing ctDNA-negative patients from unnecessary immunotherapy; and (3) developing integrated models combining novel ctDNA and radiomic biomarkers to distinguish between radiation fibrosis and tumor recurrence and to predict survival. We adopt a pragmatic approach by recruiting patients receiving standard-of-care treatments in a real-world setting. In addition, most of the clinical data is already routinely collected in our center, except for the blood tests for cell-free and circulating tumor DNA analysis. Methods and analysis: This is a single-center, prospective, exploratory, longitudinal, follow-up study, recruiting patients with stage III NSCLC undergoing standard-of-care curative-intent radiotherapy (with or without systemic therapy). Data collection spans from baseline to during radiotherapy and is extended up to 1 year following radiotherapy. The longitudinal analysis aims to describe and characterize dynamic changes in the collected features and assess their utility as prognostic and response biomarkers. Trial registration number: NCT06086574. Full article
Show Figures

Figure 1

20 pages, 802 KB  
Review
Social Isolation Among Individuals with Incontinence: A Scoping Review
by Valentina Stroppa, Paolo Iovino, Ilaria Marcomini, Roberto D’Errico, Andrea Poliani, Debora Rosa, Duilio Fiorenzo Manara and Giulia Villa
Nurs. Rep. 2025, 15(11), 375; https://doi.org/10.3390/nursrep15110375 - 24 Oct 2025
Viewed by 1409
Abstract
Introduction: Urinary and fecal incontinence, as well as the presence of an ostomy, are globally prevalent conditions with substantial implications for individuals’ daily lives. Among the psychological consequences, social isolation is a frequently reported experience but remains poorly explored in the existing literature. [...] Read more.
Introduction: Urinary and fecal incontinence, as well as the presence of an ostomy, are globally prevalent conditions with substantial implications for individuals’ daily lives. Among the psychological consequences, social isolation is a frequently reported experience but remains poorly explored in the existing literature. The aim of this scoping review is to explore how social isolation has been conceptualized and operationalized in research on individuals with incontinence and to synthesize evidence on its antecedents and outcomes. Methods: This review was conducted in accordance with the Joanna Briggs Institute guidelines and reported following the PRISMA-ScR checklist. Data were thematically synthesized and interpreted according to the Middle Range Theory of Social Isolation in Chronic Illness. Results: Twenty-three studies met the inclusion criteria. Findings indicate that social isolation among individuals with incontinence is a complex, multifactorial phenomenon. Predisposing factors included individual needs for social interaction and desire for approval, psychological resilience, toilet accessibility, education, income, gender, and age. Precipitating factors were related to illness trajectory and adaptation processes, including ostomy acceptance, time since ostomy creation or oncological treatment, sense of belonging, perceived social support, stigma, self-esteem, clinical severity, illness-related conditions, and loss of autonomy. Reported outcomes were consistently adverse, encompassing depression, anxiety, and reduced quality of life. Conclusions: Social isolation represents a core dimension of the lived experience of incontinence and should be recognized as a key clinical outcome. Systematic screening and targeted interventions should be integrated into continence care pathways. Future research should adopt longitudinal and interventional designs to clarify causal mechanisms and evaluate strategies to prevent and mitigate isolation. Full article
Show Figures

Figure 1

21 pages, 399 KB  
Article
Preliminary Study Using Sensor Measurements in Selected Homes in Cornwall, England, over a One-Year Period Confirms Increased Indoor Exposure from Second-Hand Smoking but Not from Second-Hand Vaping
by Gareth David Walsh, Tamaryn Menneer and Richard Alan Sharpe
Pollutants 2025, 5(4), 34; https://doi.org/10.3390/pollutants5040034 - 6 Oct 2025
Viewed by 1679
Abstract
Introduction: Increased exposure to air pollution poses a burden to society and healthcare systems worldwide, with increased risk of morbidity and mortality. Indoor concentrations of air pollutants, such as particulate matter, are a public health concern because they can be present in higher [...] Read more.
Introduction: Increased exposure to air pollution poses a burden to society and healthcare systems worldwide, with increased risk of morbidity and mortality. Indoor concentrations of air pollutants, such as particulate matter, are a public health concern because they can be present in higher concentrations than outside. Unlike the effects of indoor environmental tobacco smoke (ETS), there is a dearth of research that includes the impact of e-cigarettes on particulate matter concentrations in the home, which is the focus of this study. Method: Participant, household, and sensor information were obtained from 164 lower-income households located in Cornwall, South West of England. Daily sensor readings were obtained for PM2.5 for one year. Descriptive statistics were used to describe study participant characteristics and health status. Mean indoor averages, median PM2.5 measurements, and two-tailed tests were used to assess differences in concentrations of PM2.5. Results: The 164 surveyed households included 315 residents (67% female) with a mean adult age of 57 (22–92). Half of all homes were in the 10% most deprived neighbourhoods in England. Thirty-four per cent of participants were current smokers, and of these 36% have asthma and had seen a doctor in the last year (cf. never smokers 14%, ex-smokers 25%). Mean annual PM2.5 was highest in smoking households (14.07 µg/m3) and smoking and vaping households (9.18 µg/m3), and lower in exclusive vaping households (2.00 µg/m3) and smoke and vape-free households (1.28 µg/m3). Monthly levels of PM2.5 fluctuated seasonally for all groups, with the highest recordings in winter and the lowest in summer. Discussion and Conclusion: In this preliminary study, we conducted secondary data analyses using monitoring data from a large health and housing study to assess factors leading to elevated indoor concentrations of particulate matter. Indoor concentrations appeared to be highest in homes where residents smoked indoors. The use of e-cigarettes in the home also appeared to modify concentrations of particulate matter, but levels were lower than in homes with tobacco smoke. We were not able to determine the relationship between smoking and/or vaping indoors and particulate matter, which supports the need for studies of larger sample sizes and more complex longitudinal monitoring. This will help assess the timing and extent of exposures resulting from smoking and vaping indoors, along with a range of other chemical and biological exposures and their corresponding health effects. Full article
Show Figures

Figure 1

11 pages, 345 KB  
Article
Associations Between Obesity and the Severity of Occupational Allergic Rhinitis: A Cross-Sectional Study
by Imène Kacem, Amen Moussa, Chaima Sridi, Amene Fki, Mohamed Ajmi, Maissa Thabet, Olfa El Maalel, Maher Maoua, Mohamed Kahloul and Najib Mrizek
Int. J. Environ. Res. Public Health 2025, 22(10), 1531; https://doi.org/10.3390/ijerph22101531 - 6 Oct 2025
Cited by 1 | Viewed by 1376
Abstract
Introduction: Occupational allergic rhinitis (OAR) is a common respiratory condition that can lead to varying degrees of symptom severity, significantly impacting workers’ quality of life and productivity. While occupational risk factors are well established, the influence of nonoccupational factors, such as obesity, that [...] Read more.
Introduction: Occupational allergic rhinitis (OAR) is a common respiratory condition that can lead to varying degrees of symptom severity, significantly impacting workers’ quality of life and productivity. While occupational risk factors are well established, the influence of nonoccupational factors, such as obesity, that contribute to OAR severity remains largely unexplored. Aims: This study aims to study the association between obesity and the severity of OAR. Methods: A cross-sectional analytical study was conducted among patients diagnosed with OAR at the Occupational Medicine Department of Farhat Hached University Hospital of Sousse. It combines a retrospective review of medical records (2013–2021) with prospective structured telephone interviews (January–March 2023). Data were collected from medical records and supplemented with telephone interviews. The severity of OAR was assessed via the PAREO score and rhinomanometry results. Results: A total of 196 patients were included. The mean age was 39.69 ± 7.92 years, with a sex ratio of 0.53. The most frequently reported symptoms were nasal obstruction (78.6%) and sneezing (88.8%). The mean PAREO score was 5.78 ± 1.61, with severe OAR reported in 59.2% of the patients. Obesity was significantly associated with increased severity of OAR symptoms (p < 0.001; OR = 5.4; 95% CI [2.6–11.1]), a finding confirmed after adjustment for variables such as age, sex, and occupational seniority. Conclusion: Obesity appears to be a modifiable risk factor influencing OAR severity. Integrating weight management strategies into the treatment of OAR patients may contribute to significant symptom relief and improved quality of life. Further longitudinal studies are needed to confirm these findings and explore the underlying mechanisms involved. Full article
Show Figures

Figure 1

Back to TopTop