error_outline You can access the new MDPI.com website here. Explore and share your feedback with us.
 
 
Sign in to use this feature.

Years

Between: -

Subjects

remove_circle_outline
remove_circle_outline
remove_circle_outline
remove_circle_outline
remove_circle_outline
remove_circle_outline

Journals

Article Types

Countries / Regions

Search Results (43)

Search Parameters:
Keywords = local mean decomposition (LMD)

Order results
Result details
Results per page
Select all
Export citation of selected articles as:
31 pages, 11484 KB  
Article
Towards Heart Rate Estimation in Complex Multi-Target Scenarios: A High-Precision FMCW Radar Scheme Integrating HDBS and VLW
by Xuefei Dong, Yunxue Liu, Jinwei Wang, Shie Wu, Chengyou Wang and Shiqing Tang
Sensors 2025, 25(24), 7629; https://doi.org/10.3390/s25247629 - 16 Dec 2025
Viewed by 355
Abstract
Non-contact heart rate estimation technology based on frequency-modulated continuous wave (FMCW) radar has garnered extensive attention in single-target scenarios, yet it remains underexplored in multi-target environments. Accurate discrimination of multiple targets and precise estimation of their heart rates constitute key challenges in the [...] Read more.
Non-contact heart rate estimation technology based on frequency-modulated continuous wave (FMCW) radar has garnered extensive attention in single-target scenarios, yet it remains underexplored in multi-target environments. Accurate discrimination of multiple targets and precise estimation of their heart rates constitute key challenges in the multi-target domain. To address these issues, we propose a novel scheme for multi-target heart rate estimation. First, a high-precision distance-bin selection (HDBS) method is proposed for target localization in the range domain. Next, multiple-input multiple-output (MIMO) array processing is combined with the Root-multiple signal classification (Root-MUSIC) algorithm for angular domain estimation, enabling accurate discrimination of multiple targets. Subsequently, we propose an efficient method for interference suppression and vital sign extraction that cascades variational mode decomposition (VMD), local mean decomposition (LMD), and wavelet thresholding (WT) termed as VLW, which enables high-quality heartbeat signal extraction. Finally, to achieve high-precision and super-resolution heart rate estimation with low computational burden, an improved fast iterative interpolated beamforming (FIIB) algorithm is proposed. Specifically, by leveraging the conjugate symmetry of real-valued signals, the improved FIIB algorithm reduces the execution time by approximately 60% compared to the standard version. In addition, the proposed scheme provides sufficient signal-to-noise ratio (SNR) gain through low-complexity accumulation in both distance and angle estimation. Six experimental scenarios are designed, incorporating densely arranged targets and front-back occlusion, and extensive experiments are conducted. Results show this scheme effectively discriminates multiple targets in all tested scenarios with a mean absolute error (MAE) below 2.6 beats per minute (bpm), demonstrating its viability as a robust multi-target heart rate estimation scheme in various engineering fields. Full article
Show Figures

Figure 1

21 pages, 2012 KB  
Article
Optimizing LSSVM for Bearing Fault Diagnosis Using Adaptive t-Distribution Slime Mold Algorithm
by Jingyang Qiao, Kai Zhu, Lei Hua, Yueyuan Fan and Peng Li
Electronics 2025, 14(23), 4568; https://doi.org/10.3390/electronics14234568 - 22 Nov 2025
Viewed by 315
Abstract
Accurate and robust bearing fault diagnosis is crucial for the reliability of rotating machinery. To improve the precision of bearing fault classification, this study introduces a novel methodology that integrates the Adaptive t-distribution Slime Mold Algorithm (AtSMA) with the Least Squares Support Vector [...] Read more.
Accurate and robust bearing fault diagnosis is crucial for the reliability of rotating machinery. To improve the precision of bearing fault classification, this study introduces a novel methodology that integrates the Adaptive t-distribution Slime Mold Algorithm (AtSMA) with the Least Squares Support Vector Machine (LSSVM). During the signal processing phase, Local Mean Decomposition (LMD) is employed to extract intrinsic mode functions from bearing vibration signals, which are subsequently reconstructed using the Pearson correlation coefficient method. Key features, such as sample entropy, permutation entropy, and energy entropy, are calculated to create a comprehensive feature vector for fault diagnosis. To enhance the convergence stability and global exploration capabilities of the Slime Mold Algorithm (SMA), an adaptive t-distribution mutation mechanism is incorporated to increase population diversity. Additionally, an improved step size strategy is implemented to prevent premature convergence and to expedite optimization speed. AtSMA is utilized to optimize the kernel parameters and penalty factor of LSSVM, thereby enhancing fault classification accuracy. Experimental evaluations conducted on two benchmark bearing datasets reveal that the proposed method achieves an average diagnostic accuracy of 96% on the Case Western Reserve University (CWRU) dataset and 93.25% on the Xi’an Jiaotong University dataset, surpassing conventional optimization algorithms and diagnostic techniques. These findings substantiate the superior diagnostic precision and robustness of the proposed approach under various fault scenarios and dynamic operating conditions. Full article
(This article belongs to the Section Artificial Intelligence)
Show Figures

Figure 1

18 pages, 3717 KB  
Article
A Hybrid LMD–ARIMA–Machine Learning Framework for Enhanced Forecasting of Financial Time Series: Evidence from the NASDAQ Composite Index
by Jawaria Nasir, Hasnain Iftikhar, Muhammad Aamir, Hasnain Iftikhar, Paulo Canas Rodrigues and Mohd Ziaur Rehman
Mathematics 2025, 13(15), 2389; https://doi.org/10.3390/math13152389 - 25 Jul 2025
Cited by 4 | Viewed by 2136
Abstract
This study proposes a novel hybrid forecasting approach designed explicitly for long-horizon financial time series. It incorporates LMD (Local Mean Decomposition), SD (Signal Decomposition), and sophisticated machine learning methods. The framework for the NASDAQ Composite Index begins by decomposing the original time series [...] Read more.
This study proposes a novel hybrid forecasting approach designed explicitly for long-horizon financial time series. It incorporates LMD (Local Mean Decomposition), SD (Signal Decomposition), and sophisticated machine learning methods. The framework for the NASDAQ Composite Index begins by decomposing the original time series into stochastic and deterministic components using the LMD approach. This method effectively separates linear and nonlinear signal structures. The stochastic components are modeled using ARIMA to represent linear temporal dynamics, while the deterministic components are projected using cutting-edge machine learning methods, including XGBoost, Random Forest (RF), Artificial Neural Networks (ANNs), and Support Vector Machines (SVMs). This study employs various statistical metrics to evaluate the predictive ability across both short-term noise and long-term trends, including Root Mean Squared Error (RMSE), Mean Absolute Error (MAE), Mean Absolute Percentage Error (MAPE), and Directional Statistic (DS). Furthermore, the Diebold–Mariano test is used to determine the statistical significance of any forecast improvements. Empirical results demonstrate that the hybrid LMD–ARIMA–SD–XGBoost model consistently outperforms alternative configurations in terms of prediction accuracy and directional consistency. These findings demonstrate the advantages of integrating decomposition-based signal filtering with ensemble machine learning to improve the robustness and generalizability of long-term forecasting. This study presents a scalable and adaptive approach for modeling complex, nonlinear, and high-dimensional time series, thereby contributing to the enhancement of intelligent forecasting systems in the economic and financial sectors. As far as the authors are aware, this is the first study to combine XGBoost and LMD in a hybrid decomposition framework for forecasting long-horizon stock indexes. Full article
Show Figures

Figure 1

14 pages, 4107 KB  
Article
Spatiotemporal Evolution and Multi-Driver Dynamics of Sea-Level Changes in the Yellow–Bohai Seas (1993–2023)
by Lujie Xiong, Fengwei Wang, Yanping Jiao and Yunqi Zhou
J. Mar. Sci. Eng. 2025, 13(6), 1081; https://doi.org/10.3390/jmse13061081 - 29 May 2025
Viewed by 914
Abstract
This study analyzes sea-level changes in the Yellow and Bohai Seas from 1993 to 2023 based on satellite altimetry data. After reconstructing the gridded sea-level data using local mean decomposition (LMD), the annual mean sea level was estimated at 28.86 mm, with an [...] Read more.
This study analyzes sea-level changes in the Yellow and Bohai Seas from 1993 to 2023 based on satellite altimetry data. After reconstructing the gridded sea-level data using local mean decomposition (LMD), the annual mean sea level was estimated at 28.86 mm, with an average rise rate of 2.21 mm per year (mm/a). Temporal and spatial variations were examined through nonlinear least squares fitting to capture interannual variability and decadal amplitude distributions. Empirical orthogonal function (EOF) analysis identified the first three modes, explaining 90.40%, 2.78%, and 1.47% of the total variance, respectively, and their spatial patterns and temporal coefficients were derived. The first mode was strongly correlated with sea surface temperature (SST) and precipitation, showing distinct spatial structures. Temperature and salinity profiles revealed a decadal-scale trend of increasing temperature and decreasing salinity with depth. Seasonal variations of sea-level anomaly (SLA) were evident, with mean values and trends of −11.47 mm (2.19 mm/a) in spring, 57.12 mm (2.29 mm/a) in summer, 75.68 mm (2.24 mm/a) in autumn, and −13.90 mm (2.11 mm/a) in winter. Seasonal correlations among SLA, SST, salinity, and precipitation were assessed, highlighting interannual amplitude variations. This integrated analysis provides a comprehensive understanding of the dynamics and drivers of sea-level fluctuations, offering insights for future research. Full article
Show Figures

Figure 1

19 pages, 2072 KB  
Article
Research on Rolling Bearing Fault Diagnosis Method Based on MPE and Multi-Strategy Improved Sparrow Search Algorithm Under Local Mean Decomposition
by Haodong Chi and Huiyuan Chen
Machines 2025, 13(4), 336; https://doi.org/10.3390/machines13040336 - 18 Apr 2025
Cited by 3 | Viewed by 682
Abstract
To address the issues of non-stationarity, noise interference, and insufficient discriminative power of traditional fault feature extraction methods in rolling bearing vibration signals, this paper proposes a fault diagnosis method based on multi-scale permutation entropy (MPE) and a multi-strategy improved sparrow search algorithm [...] Read more.
To address the issues of non-stationarity, noise interference, and insufficient discriminative power of traditional fault feature extraction methods in rolling bearing vibration signals, this paper proposes a fault diagnosis method based on multi-scale permutation entropy (MPE) and a multi-strategy improved sparrow search algorithm (MSSA) under local mean decomposition (LMD). First, LMD is employed to adaptively decompose the original signal. Effective product functions (PFs) are then selected using the Pearson correlation coefficient, enabling signal reconstruction that suppresses noise interference while preserving fault impact components. Second, to overcome the limited capability of traditional time-frequency features in representing complex fault patterns, MPE is introduced to construct a multi-scale complexity feature vector, effectively capturing the scale-dependent differences in the dynamic behavior of signals. Furthermore, considering the instability of classification caused by the empirical setting of hidden layer nodes in the extreme learning machine (ELM), a multi-strategy improved sparrow search algorithm is proposed to optimize ELM parameters. This algorithm integrates an adaptive Levy flight mechanism and dynamic reverse learning. The long-tail jump characteristics of Levy flight enhance the global search capability, while dynamic reverse learning increases population diversity, preventing premature convergence. The experimental results demonstrate that the proposed method achieves an average diagnostic accuracy of over 96% across multiple datasets, verifying its robustness in handling non-stationary signals and fault classification. Full article
(This article belongs to the Section Machines Testing and Maintenance)
Show Figures

Figure 1

18 pages, 905 KB  
Article
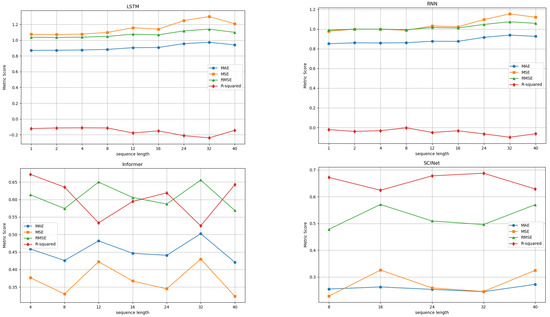
A Novel Hybrid Model Combining LMD, MSCA, and SCINet for Electricity Forecasting
by Jinyu Zheng, Wei Shen and Bohao Zheng
Electronics 2025, 14(8), 1567; https://doi.org/10.3390/electronics14081567 - 12 Apr 2025
Viewed by 850
Abstract
To address the challenges of modeling complex nonlinear features and multi-scale temporal patterns in electricity forecasting, this paper proposes a SCINet model optimized with Local Mean Decomposition (LMD) and Multi-Scale Channel Attention (MSCA). The model first applies LMD to decompose the original electricity [...] Read more.
To address the challenges of modeling complex nonlinear features and multi-scale temporal patterns in electricity forecasting, this paper proposes a SCINet model optimized with Local Mean Decomposition (LMD) and Multi-Scale Channel Attention (MSCA). The model first applies LMD to decompose the original electricity consumption sequence into multiple intrinsic mode functions, effectively capturing trends and fluctuations at different frequencies. Building on the SCINet framework, the MSCA module is introduced to enhance the model’s ability to focus on critical features through multi-scale feature extraction and inter-channel correlation modeling, enabling it to better capture variations and dependencies across different time scales. Experimental results show that in single-step, short-term prediction, the proposed LMD-MSCA-SCINet model achieves prediction results of MAE = 0.1539, MSE = 0.0901 and R2 = 0.9003, which are 63.4% and 72.1% lower than the Informer model (MAE = 0.4207, MSE = 0.3235), respectively, and further reduce MAE and MSE by 37.3% and 63.4%,respectively, compared with the basic SCINet model (MAE = 0.245, MSE = 0.246). These results verify the superiority and practical value of the proposed method in handling complex power forecasting tasks. Full article
Show Figures

Figure 1

16 pages, 1001 KB  
Article
Efficient Identification Method for Power Quality Disturbance: A Hybrid Data-Driven Strategy
by Qunwei Xu, Feibai Zhu, Wendong Jiang, Xing Pan, Pei Li, Xiang Zhou and Yang Wang
Processes 2024, 12(7), 1395; https://doi.org/10.3390/pr12071395 - 4 Jul 2024
Cited by 7 | Viewed by 1638
Abstract
The massive integration of distributed renewable energy sources and nonlinear power electronic equipment has given rise to power quality issues such as waveform distortion, voltage instability, and increased harmonic components. Nowadays, the pollution of power quality is becoming increasingly severe, posing a potential [...] Read more.
The massive integration of distributed renewable energy sources and nonlinear power electronic equipment has given rise to power quality issues such as waveform distortion, voltage instability, and increased harmonic components. Nowadays, the pollution of power quality is becoming increasingly severe, posing a potential threat to the security of the power grid and the stable operation of electrical equipment. Due to the presence of significant noise interference in the collected signals, existing methods still face issues such as low accuracy in disturbance identification and high computational complexity. To address these problems, this paper proposes a hybrid data-driven strategy that can significantly improve the accuracy and speed of identification. Firstly, the wavelet packet transform (WPT) method is employed to denoise the power disturbance signals. Subsequently, the local mean decomposition (LMD) algorithm is used to adaptively decompose the nonlinear and complex time series into multiple product function components. Feature extraction of the disturbance signals is then achieved by calculating entropy values after local mean decomposition, and a feature matrix is constructed from the entropy values of each component for analysis in disturbance identification. Finally, an extreme learning machine (ELM) is employed for the identification and classification of transient power disturbance signals. The verification of numerical examples demonstrates the feasibility and effectiveness of the proposed method in this paper. Full article
(This article belongs to the Section Energy Systems)
Show Figures

Figure 1

14 pages, 4080 KB  
Article
Performance Enhancement in a Few-Mode Rayleigh-Brillouin Optical Time Domain Analysis System Using Pulse Coding and LMD Algorithm
by Lixin Zhang, Xuan Li, Jianjian Wang, Lei Zhang and Yongqian Li
Photonics 2024, 11(4), 308; https://doi.org/10.3390/photonics11040308 - 27 Mar 2024
Cited by 1 | Viewed by 1719
Abstract
Rayleigh Brillouin optical time domain analysis (BOTDA) uses the backscattered Rayleigh light generated in the fiber as the probe light, which has a lower detection light intensity compared to the BOTDA technique. As a result, its temperature-sensing technology suffers from a low signal-to-noise [...] Read more.
Rayleigh Brillouin optical time domain analysis (BOTDA) uses the backscattered Rayleigh light generated in the fiber as the probe light, which has a lower detection light intensity compared to the BOTDA technique. As a result, its temperature-sensing technology suffers from a low signal-to-noise ratio (SNR) and severe sensing unreliability due to the influence of the low probe signal and high noise level. The pulse coding and LMD denoising method are applied to enhance the performance of the Brillouin frequency shift detection and temperature measurement. In this study, the mechanism of Rayleigh BOTDA based on a few-mode fiber (FMF) is investigated, the principles of the Golay code and local mean decomposition (LMD) algorithm are analyzed, and the experimental setup of the Rayleigh BOTDA system using an FMF is constructed to analyze the performance of the sensing system. Compared with a single pulse of 50 ns, the 32-bit Golay coding with a pulse width of 10 ns improves the spatial resolution to 1 m. Further enhanced by the LMD algorithm, the SNR and temperature measurement accuracy are increased by 5.5 dB and 1.05 °C, respectively. Finally, a spatial resolution of 1.12 m and a temperature measurement accuracy of 2.85 °C are achieved using a two-mode fiber with a length of 1 km. Full article
(This article belongs to the Special Issue Advanced Photonic Sensing and Measurement II)
Show Figures

Figure 1

14 pages, 2395 KB  
Article
Fault Diagnosis of Mine Truck Hub Drive System Based on LMD Multi-Component Sample Entropy Fusion and LS-SVM
by Le Xu, Wei Li, Bo Zhang, Yubin Zhu and Chaonan Lang
Actuators 2023, 12(12), 468; https://doi.org/10.3390/act12120468 - 16 Dec 2023
Cited by 10 | Viewed by 2430
Abstract
As the main transportation equipment in ore mining, the wheel drive system of mining trucks plays a crucial role in the transportation capacity of mining trucks. The internal components of the hub drive system are mainly composed of bearings, gears, etc. The vibration [...] Read more.
As the main transportation equipment in ore mining, the wheel drive system of mining trucks plays a crucial role in the transportation capacity of mining trucks. The internal components of the hub drive system are mainly composed of bearings, gears, etc. The vibration signals caused during operation are nonlinear and nonstationary complex signals, and there may be more than one factor that causes faults, which causes certain difficulties for the fault diagnosis of the hub drive system. A fault diagnosis method based on local mean decomposition (LMD) multi-component sample entropy fusion and LS-SVM is proposed to address this issue. Firstly, the LMD method is used to decompose the vibration signals in different states to obtain a finite number of PF components. Then, based on the typical correlation analysis method, the distribution characteristics and correlation coefficients of vibration signals in the frequency domain under different states are calculated, and effective PF multi-component sample entropy features are constructed. Finally, the LS-SVM multi-fault classifier is used to train and test the extracted multi-component sample entropy features to verify the effectiveness of the method. The experimental results show that, even in small-sample data, the LMD multi-component sample entropy fusion and LS-SVM method can accurately extract fault features of vibration signals and complete classification, achieving fault diagnosis of wheel drive systems. Full article
Show Figures

Figure 1

21 pages, 7330 KB  
Article
Spatial–Temporal Variations in Regional Sea Level Change in the South China Sea over the Altimeter Era
by Lujie Xiong, Yanping Jiao, Fengwei Wang and Shijian Zhou
J. Mar. Sci. Eng. 2023, 11(12), 2360; https://doi.org/10.3390/jmse11122360 - 14 Dec 2023
Cited by 5 | Viewed by 2393
Abstract
This study utilizes 27 years of sea level anomaly (SLA) data obtained from satellite altimetry to investigate spatial–temporal variations in the South China Sea (SCS). The local mean decomposition (LMD) method is applied to decompose the sea level data into three components: high-frequency, [...] Read more.
This study utilizes 27 years of sea level anomaly (SLA) data obtained from satellite altimetry to investigate spatial–temporal variations in the South China Sea (SCS). The local mean decomposition (LMD) method is applied to decompose the sea level data into three components: high-frequency, low-frequency, and trend components. By removing the influence of high-frequency components, multiple time series of regular sea level changes with significant physical significance are obtained. The results indicate that the average multi-year SLA is 50.16 mm, with a linear trend of 3.91 ± 0.12 mm/a. The wavelet analysis method was employed to examine the significant annual and 1.5-year periodic signals in the SCS SLA series. At the seasonal scale, the sea level rise in coastal areas during autumn and winter surpasses that of spring and summer. Moreover, there are generally opposing spatial distributions between spring and autumn, as well as between summer and winter. The linear trends in multi-year SLA for the four seasons are 3.70 ± 0.13 mm/a, 3.66 ± 0.16 mm/a, 3.49 ± 0.16 mm/a, and 3.74 ± 0.33 mm/a, respectively. The causes of SCS sea level change are examined in relation to phenomena such as monsoons, the Kuroshio Current, and El Niño–Southern Oscillation (ENSO). Based on the empirical orthogonal function (EOF) analysis of SCS SLA, the contributions of the first three modes of variance are determined to be 34.09%, 28.84%, and 8.40%, respectively. The temporal coefficients and spatial distribution characteristics of these modes confirm their associations with ENSO, monsoons, and the double-gyre structure of SCS sea surface temperature. For instance, ENSO impacts SCS sea level change through atmospheric circulation, predominantly affecting the region between 116° E and 120° E longitude, and 14° N and 20° N latitude. Full article
(This article belongs to the Special Issue Remote Sensing Techniques in Marine Environment)
Show Figures

Figure 1

20 pages, 9086 KB  
Article
Sea-Level Estimation from GNSS-IR under Loose Constraints Based on Local Mean Decomposition
by Zhenkui Wei, Chao Ren, Xingyong Liang, Yueji Liang, Anchao Yin, Jieyu Liang and Weiting Yue
Sensors 2023, 23(14), 6540; https://doi.org/10.3390/s23146540 - 20 Jul 2023
Cited by 3 | Viewed by 2430
Abstract
The global navigation satellite system–interferometric reflectometry (GNSS-IR) technique has emerged as an effective coastal sea-level monitoring solution. However, the accuracy and stability of GNSS-IR sea-level estimation based on quadratic fitting are limited by the retrieval range of reflector height (RH range) and satellite-elevation [...] Read more.
The global navigation satellite system–interferometric reflectometry (GNSS-IR) technique has emerged as an effective coastal sea-level monitoring solution. However, the accuracy and stability of GNSS-IR sea-level estimation based on quadratic fitting are limited by the retrieval range of reflector height (RH range) and satellite-elevation range, reducing the flexibility of this technology. This study introduces a new GNSS-IR sea-level estimation model that combines local mean decomposition (LMD) and Lomb–Scargle periodogram (LSP). LMD can decompose the signal-to-noise ratio (SNR) arc into a series of signal components with different frequencies. The signal components containing information from the sea surface are selected to construct the oscillation term, and its frequency is extracted by LSP. To this end, observational data from SC02 sites in the United States are used to evaluate the accuracy level of the model. Then, the performance of LMD and the influence of noise on retrieval results are analyzed from two aspects: RH ranges and satellite-elevation ranges. Finally, the sea-level variation for one consecutive year is estimated to verify the stability of the model in long-term monitoring. The results show that the oscillation term obtained by LMD has a lower noise level than other signal separation methods, effectively improving the accuracy of retrieval results and avoiding abnormal values. Moreover, it still performs well under loose constraints (a wide RH range and a high-elevation range). In one consecutive year of retrieval results, the new model based on LMD has a significant improvement effect over quadratic fitting, and the root mean square error and mean absolute error of retrieval results obtained in each month on average are improved by 8.34% and 8.87%, respectively. Full article
(This article belongs to the Special Issue GNSS Sensing and Imaging Based on Monitoring Applications)
Show Figures

Figure 1

20 pages, 16920 KB  
Article
An Internal Defect Detection Algorithm for Concrete Blocks Based on Local Mean Decomposition-Singular Value Decomposition and Weighted Spatial-Spectral Entropy
by Xu Tian, Jun Ao, Zizhu Ma, Chunbo Ma and Junjie Shi
Entropy 2023, 25(7), 1034; https://doi.org/10.3390/e25071034 - 9 Jul 2023
Cited by 4 | Viewed by 2013
Abstract
Within the scope of concrete internal defect detection via laser Doppler vibrometry (LDV), the acquired signals frequently suffer from low signal-to-noise ratios (SNR) due to the heterogeneity of the concrete’s material properties and its rough surface structure. Consequently, these factors make the defect [...] Read more.
Within the scope of concrete internal defect detection via laser Doppler vibrometry (LDV), the acquired signals frequently suffer from low signal-to-noise ratios (SNR) due to the heterogeneity of the concrete’s material properties and its rough surface structure. Consequently, these factors make the defect signal characteristics challenging to discern precisely. In response to this challenge, we propose an internal defect detection algorithm that incorporates local mean decomposition-singular value decomposition (LMD-SVD) and weighted spatial-spectral entropy (WSSE). Initially, the LDV vibration signal undergoes denoising via LMD and the SVD algorithms to reduce noise interference. Subsequently, the distribution of each frequency in the scan plane is analyzed utilizing the WSSE algorithm. Since the vibrational energy of the frequencies caused by the defect resonance is concentrated in the defect region, its energy distribution in the scan plane is non-uniform, resulting in a significant difference between the defect resonance frequencies’ SSE values and the other frequencies’ SSE values. This feature is used to estimate the resonant frequencies of internal defects. Ultimately, the defects are characterized based on the modal vibration patterns of the defect resonant frequencies. Tests were performed on two concrete blocks with simulated cavity defects, using an ultrasonic transducer as the excitation device to generate ultrasonic vibrations directly from the back of the blocks and applying an LDV as the acquisition device to collect vibration signals from their front sides. The results demonstrate the algorithm’s capacity to effectively pinpoint the information on the location and shape of shallow defects within the concrete, underscoring its practical significance for concrete internal defect detection in practical engineering scenarios. Full article
(This article belongs to the Section Signal and Data Analysis)
Show Figures

Figure 1

22 pages, 10816 KB  
Article
A Double Interpolation and Mutation Interval Reconstruction LMD and Its Application in Fault Diagnosis of Reciprocating Compressor
by Haiyang Zhao, Xue Li, Zujian Liu, Haodong Wen and Jinyi He
Appl. Sci. 2023, 13(13), 7543; https://doi.org/10.3390/app13137543 - 26 Jun 2023
Cited by 7 | Viewed by 1705
Abstract
The accuracy and stability of the envelope estimation function are enduring issues throughout the research process of LMD. This paper presents double interpolation and mutation interval reconstruction local mean decomposition (DIMIRLMD) to improve the stability of the demodulation process and the accuracy of [...] Read more.
The accuracy and stability of the envelope estimation function are enduring issues throughout the research process of LMD. This paper presents double interpolation and mutation interval reconstruction local mean decomposition (DIMIRLMD) to improve the stability of the demodulation process and the accuracy of PF components. DIMIRLMD first proposes a mutation interval reconstruction envelope algorithm using extreme symmetry points to suppress the demodulation mutation phenomenon, which disturbs the stability of the demodulation process, and then selects the optimal PF component from a double interpolation PF component library based on the index of orthogonality (IO) for a better hierarchical property. DIMIRLMD was employed to analyze the simulation signal and vibration signal of a reciprocating compressor in an oversized bearing clearance state, and the results illustrate its performances are more excellent than those of three other LMD methods. Furthermore, the envelope frequency spectrum obtained from the proposed LMD presents a clear double rotation fault frequency and lower noise disturbance. Full article
Show Figures

Figure 1

14 pages, 7130 KB  
Article
Signal Processing Methods of Enhanced Magnetic Memory Testing
by Xu Luo, Lihong Wang, Shufeng Cao, Qiuhan Xiao, Hongjuan Yang and Jianguo Zhao
Processes 2023, 11(2), 302; https://doi.org/10.3390/pr11020302 - 17 Jan 2023
Cited by 6 | Viewed by 2677
Abstract
As a particular kind of detection technology under weak magnetization, metal magnetic memory testing is very likely to be affected by external factors in the detecting process, which may lead to incorrect results. In order to minimize the negative influence of interrupting signals [...] Read more.
As a particular kind of detection technology under weak magnetization, metal magnetic memory testing is very likely to be affected by external factors in the detecting process, which may lead to incorrect results. In order to minimize the negative influence of interrupting signals and improve the detection accuracy, this paper adopted the enhanced metal magnetic memory testing method to preliminarily increase the signal-to-noise ratio (SNR) of the detection signal and then compares the denoising effects of wavelet threshold denoising method, empirical mode decomposition (EMD) denoising method, EMD-wavelet threshold denoising method, ensemble EMD (EEMD), complementary EEMD (CEEMD), variational mode decomposition (VMD), local mean decomposition (LMD) and empirical wavelet transform (EWT) on the detection signal and the gradient signal respectively. The results show that the enhanced metal magnetic memory testing method can significantly increase the SNR of the obtained signal and cannot improve the SNR of a gradient signal which is generated from the obtained signal. The different denoising methods can further boost the SNR and improve the detection accuracy of the obtained signal and the gradient signal. Among the eight signal processing methods, wavelet threshold, EMD and its improved methods are more applicable in the denoising of enhanced metal magnetic memory testing signals. The Wavelet threshold denoising, EMD-wavelet threshold denoising and EEMD denoising all have good denoising effects, and the denoising results to the same signal are analogous. Full article
(This article belongs to the Special Issue New Research on Oil and Gas Equipment and Technology)
Show Figures

Figure 1

21 pages, 4461 KB  
Article
A Novel Hybrid LMD–ETS–TCN Approach for Predicting Landslide Displacement Based on GPS Time Series Analysis
by Wanqi Luo, Jie Dou, Yonghu Fu, Xiekang Wang, Yujian He, Hao Ma, Rui Wang and Ke Xing
Remote Sens. 2023, 15(1), 229; https://doi.org/10.3390/rs15010229 - 31 Dec 2022
Cited by 34 | Viewed by 4802
Abstract
Landslide disasters cause serious property losses and casualties every year. Landslide displacement prediction is fundamental for mitigating landslide disasters. Several approaches have been used to predict landslide displacement, yet a more accurate and reliable displacement prediction still has a poor understanding of landslide [...] Read more.
Landslide disasters cause serious property losses and casualties every year. Landslide displacement prediction is fundamental for mitigating landslide disasters. Several approaches have been used to predict landslide displacement, yet a more accurate and reliable displacement prediction still has a poor understanding of landslide early warning systems for landslide mitigation, due to limited data and mutational displacements. To boost the robustness and accuracy of landslide displacement prediction, this paper assembled a new hybrid model containing the local mean decomposition (LMD), innovations state space models for exponential smoothing (ETS), and the temporal convolutional network (TCN). The proposed model, which is based on over 10 years of long-term time series monitoring GPS data, was tested on the selected case—stepwise Baijiabao landslide in the Three Gorges Reservoir area of China (TGRA) was tested by the proposed model. The results presented that the LMD–ETS–TCN model has the best performance in comparison with other benchmark models. Compared with autoregressive integrated moving average (ARIMA), support vector regression (SVR), and long short-term memory neural network (LSTM), the accuracy was noticeably improved by an average of 40.9%, 46.2%, and 22.1%, respectively. The robustness and effectiveness of the presented approach are attested, and it has discernible improvements for landslide displacement prediction. Full article
Show Figures

Figure 1

Back to TopTop