Sign in to use this feature.

Years

Between: -

Subjects

remove_circle_outline
remove_circle_outline
remove_circle_outline
remove_circle_outline
remove_circle_outline
remove_circle_outline
remove_circle_outline
remove_circle_outline
remove_circle_outline

Journals

remove_circle_outline
remove_circle_outline
remove_circle_outline
remove_circle_outline
remove_circle_outline
remove_circle_outline
remove_circle_outline
remove_circle_outline
remove_circle_outline

Article Types

Countries / Regions

remove_circle_outline
remove_circle_outline
remove_circle_outline
remove_circle_outline
remove_circle_outline

Search Results (1,020)

Search Parameters:
Keywords = load–strain curve

Order results
Result details
Results per page
Select all
Export citation of selected articles as:
25 pages, 4181 KB  
Article
Mechanical Properties Quantification of Steel Fiber-Reinforced Geopolymer Concrete with Slag and Fly Ash
by Reem Adam, Haya Zuaiter, Doha ElMaoued, Adil Tamimi and Mohammad AlHamaydeh
Buildings 2025, 15(19), 3533; https://doi.org/10.3390/buildings15193533 - 1 Oct 2025
Abstract
This study examines the influence of steel fiber reinforcement on the mechanical properties of geopolymer concrete incorporating different slag to fly ash binder ratios (75:25, 50:50, and 25:75). Three fiber contents (0%, 1%, and 2%) by volume were used to assess their impact [...] Read more.
This study examines the influence of steel fiber reinforcement on the mechanical properties of geopolymer concrete incorporating different slag to fly ash binder ratios (75:25, 50:50, and 25:75). Three fiber contents (0%, 1%, and 2%) by volume were used to assess their impact on compressive strength, flexural strength, initial stiffness, and toughness. Compressive tests were conducted at 1, 7, and 28 days, while flexural behavior was evaluated through a four-point bending test at 28 days. The results showed that geopolymer concrete with 75% slag and 25% fly ash experienced the highest compressive strength and modulus of elasticity, regardless of the steel fiber content. The addition of 1% and 2% steel fiber content enhanced the compressive strength by 17.49% and 28.8%, respectively, compared to the control sample. The binder composition of geopolymer concrete plays a crucial role in determining its compressive strength. Reducing the slag content from 75% to 50% and then to 25% resulted in a 15.1% and 33% decrease in compressive strength, respectively. The load–displacement curves of the 2% fiber-reinforced beams display strain-hardening behavior. On the other hand, after the initial crack, a constant increase in load causes the specimen to experience progressive strain until it reaches its maximum load capacity. When the peak load is attained, the curve gradually drops due to a loss in load-carrying capacity known as post-peak softening. This behavior is attributed to steel’s ductility and is evident in specimens 75S25FA2 and 50S50FA2. Concrete with 75% slag and 25% fly ash demonstrated the highest peak load but the lowest ultimate displacement, indicating high strength but brittle behavior. In contrast, concrete with 75% fly ash and 25% slag showed the lowest peak load but the highest displacement. Across all binder ratios, the addition of steel fibers enhanced the flexural strength, initial stiffness, and toughness. This is attributed to the bridging action of steel fibers in concrete. Additionally, steel fiber-reinforced beams exhibited a ductile failure mode, characterized by multiple fine cracks throughout the midspan, whereas the control beams displayed a single vertical crack in the midspan, indicating a brittle failure mode. Full article
(This article belongs to the Section Building Materials, and Repair & Renovation)
Show Figures

Figure 1

21 pages, 2858 KB  
Article
Study on the Mechanical Properties and Fracture Mechanisms of Anchor Cable Specimen Materials
by Chenfei Wang, Guangming Fan, Kai Zhang, Yajun Zhang, Junyin Lian, Wenkai Huang, Shuqin Shi and Mincheng Zhang
J. Compos. Sci. 2025, 9(9), 508; https://doi.org/10.3390/jcs9090508 - 19 Sep 2025
Viewed by 250
Abstract
This study investigated the tensile behaviors of 12.70 mm and 15.20 mm diameter anchor cable specimens with ultimate tensile strengths of 1860 MPa and their material specimens through experiments and finite element (FE) simulations. Material specimens and anchor cable specimen tensile samples were [...] Read more.
This study investigated the tensile behaviors of 12.70 mm and 15.20 mm diameter anchor cable specimens with ultimate tensile strengths of 1860 MPa and their material specimens through experiments and finite element (FE) simulations. Material specimens and anchor cable specimen tensile samples were prepared, and the complete engineering stress–strain curves were obtained via uniaxial tensile tests. FE analysis was used to simulate the uniaxial tensile tests, and the applicability of different constitutive models for describing the true stress–strain relationships was evaluated by comparing the simulated and experimental engineering stress–strain curves. The results showed that the Ludwik, Hollomon, and Swift models, fitted using the pre-necking hardening stage, overestimated the post-necking true stress, while the Voce model underestimated it. In contrast, the Ling and Swift + Voce models provided accurate post-necking true stress predictions. Based on the Ling model and the Rice and Tracey fracture criterion, the load–displacement relationship and fracture behavior of the 12.7 mm anchor cable specimen were best described with W = −0.1 and a = 2, whereas W = −0.1 and a = 3 yielded optimal predictions for the 15.2 mm anchor cable specimen. Full article
Show Figures

Figure 1

31 pages, 8942 KB  
Article
Formulation Studies on Microemulsion-Based Polymer Gels Loaded with Voriconazole for the Treatment of Skin Mycoses
by Michał Gackowski, Anna Froelich, Oliwia Kordyl, Jolanta Długaszewska, Dorota Kamińska, Raphaël Schneider and Tomasz Osmałek
Pharmaceutics 2025, 17(9), 1218; https://doi.org/10.3390/pharmaceutics17091218 - 18 Sep 2025
Viewed by 282
Abstract
Background: Skin mycoses affect approximately 10% of the global population, and the range of effective topical antifungal agents remains limited. Voriconazole (VRC) is a broad-spectrum triazole with proven efficacy against drug-resistant fungal infections. This study aimed to develop and optimize VRC-loaded microemulsion (ME) [...] Read more.
Background: Skin mycoses affect approximately 10% of the global population, and the range of effective topical antifungal agents remains limited. Voriconazole (VRC) is a broad-spectrum triazole with proven efficacy against drug-resistant fungal infections. This study aimed to develop and optimize VRC-loaded microemulsion (ME) polymer gels (Carbopol®-based) for cutaneous delivery. Selected formulations also contained menthol (2%) as a penetration enhancer and potential synergistic antifungal agent. Methods: A comprehensive screening was performed using pseudoternary phase diagrams to identify stable oil/surfactant/co-surfactant/water systems. Selected MEs were prepared with triacetin, Etocas™ 35, and Transcutol®, then gelled with Carbopol®. Formulations were characterized for pH, droplet size, polydispersity index (PDI), and viscosity. In vitro VRC release was assessed using diffusion cells, while ex vivo permeation and skin deposition studies were conducted on full-thickness human skin. Rheological behavior (flow curves, yield stress) and texture (spreadability) were evaluated. Antifungal activity was tested against standard strain of Candida albicans and clinical isolates including a fluconazole-resistant strain. Results: The optimized ME (pH ≈ 5.2; droplet size ≈ 2.8 nm) was clear and stable with both VRC and menthol. Gelation produced non-Newtonian, shear-thinning hydrogels with low thixotropy, favorable for topical application. In ex vivo studies, performed with human skin, both VRC-loaded gels deposited the drug in the epidermis and dermis, with no detectable amounts in the receptor phase after 24 h, indicating retention within the skin. Menthol increased VRC deposition. Antifungal testing showed that VRC-containing gels produced large inhibition zones against C. albicans, including the resistant isolate. The VRC–menthol gel exhibited significantly greater inhibition zones than the VRC-only gel, confirming synergistic activity. Conclusions: ME-based hydrogels effectively delivered VRC into the skin. Menthol enhanced drug deposition and demonstrated synergistic antifungal activity with voriconazole. Full article
(This article belongs to the Special Issue Dermal and Transdermal Drug Delivery Systems)
Show Figures

Graphical abstract

17 pages, 5592 KB  
Article
Experimental and Numerical Analysis of the Collapse Behaviour of a Cracked Box Girder Under Bidirectional Cyclic Bending Moments
by Lei Ao, Fuyou Li, Bin Liu, Nan Zhao and Junlin Deng
J. Mar. Sci. Eng. 2025, 13(9), 1802; https://doi.org/10.3390/jmse13091802 - 17 Sep 2025
Viewed by 229
Abstract
This study presents an integrated experimental and numerical investigation into the collapse characteristics of a cracked box girder subjected to bidirectional cyclic bending moments. An experimental test involving a box girder specimen with a prefabricated transverse crack on the deck panel is conducted [...] Read more.
This study presents an integrated experimental and numerical investigation into the collapse characteristics of a cracked box girder subjected to bidirectional cyclic bending moments. An experimental test involving a box girder specimen with a prefabricated transverse crack on the deck panel is conducted under four-point bending to evaluate the influence of cracking on ultimate strength under cyclic loading. The findings are reported through load–displacement curves, strain measurements, and observations of both global and localised structural failure modes, demonstrating strong consistency with finite element simulations conducted using ABAQUS software (version 2022). The results reveal that cyclic loading prior to ultimate capacity induces negligible stiffness reduction in the box girder structure, consistent with the structural behaviour under monotonic loading. The initial failure mechanism is attributed to local buckling of the deck plate, subsequently followed by significant plastic deformation around the crack tips, ultimately leading to global collapse. Parametric studies are carried out to evaluate the influence of key variables on the girder’s residual strength, such as crack length, cyclic load amplitude and pattern. Full article
Show Figures

Figure 1

22 pages, 3010 KB  
Article
A Study of Mechanical Behavior of Folding and Welding Connections of Kapton Films While Manufacturing a Solar Sail
by Yu Hu, Hao Liu, Enze Qiao and Wujun Chen
Aerospace 2025, 12(9), 836; https://doi.org/10.3390/aerospace12090836 - 17 Sep 2025
Viewed by 217
Abstract
Large-area membrane spacecraft, such as solar sails, must be tightly stowed before launch. However, excessive folding readily induces plastic creases that impede full on-orbit deployment and degrade membrane surface accuracy. To overcome this challenge, this study aims to quantify the mechanical response of [...] Read more.
Large-area membrane spacecraft, such as solar sails, must be tightly stowed before launch. However, excessive folding readily induces plastic creases that impede full on-orbit deployment and degrade membrane surface accuracy. To overcome this challenge, this study aims to quantify the mechanical response of Kapton films during folding and to establish a reliable welding process for post-fold sail membranes. Based on the theory of linear elastic engineering, an S-shaped folding model was theoretically simplified to obtain the relationship between the rebound force P of adjacent contact thin films and the thin-film spacing h. Then, the Kapton film folding process was numerically simulated based on the implicit static method by using ABAQUS. The stress–strain curves and mechanical parameters of the thin films measured through uniaxial tensile tests are applied to theoretical and numerical results. It is found that the P-h curves obtained by the theoretical, numerical, and experimental method have good consistency. Step-loaded creep tests show that, after 6 h, the mean spacing reductions Δh are 0.43 mm for 50 µm thin films and 1.05 mm for 125 µm thin films, matching simulation results within 3%. Finally, uniaxial tensile tests are conducted on the welded thin films to measure the strength of the thin-film welds under different welding temperatures and pressures. The tensile force and elongation required to eliminate weld wrinkles are also measured to explore the welding connection of Kapton film. Further, for 50 µm thin films with a 10 mm weld width, eliminating welding-induced wrinkles requires a tensile force of 9.61 N and an elongation of 0.43%. Full article
(This article belongs to the Section Astronautics & Space Science)
Show Figures

Figure 1

36 pages, 23581 KB  
Article
Load Inversion Method for Jacket Platform Structures Based on Strain Measurement Data
by Jincheng Sha, Jiancheng Leng, Huiyu Feng, Jinyuan Pei, Yin Wang and Yang Song
J. Mar. Sci. Eng. 2025, 13(9), 1785; https://doi.org/10.3390/jmse13091785 - 16 Sep 2025
Viewed by 194
Abstract
Due to the difficulty of directly measuring external loads on jacket platform structures and the challenges in accurately expressing them through analytical formulas, this study proposes a load inversion method based on local strain measurement data to obtain the time–history curves of structural [...] Read more.
Due to the difficulty of directly measuring external loads on jacket platform structures and the challenges in accurately expressing them through analytical formulas, this study proposes a load inversion method based on local strain measurement data to obtain the time–history curves of structural loads. The method establishes a mapping relationship between unknown loads and measured strains based on the quasi-static superposition principle. An Improved Sine Cosine Algorithm, combined with an Opposition-Based Learning, is introduced to optimize the placement of strain sensors. The unknown loads are solved using a least squares approach integrated with Tikhonov regularization. The method was validated through indoor loading experiments under eight conditions, where the inverted load time–history curves accurately reflected the periodic characteristics of the applied loads, achieving a maximum Mean Absolute Relative Error (MARE) of 6.91%, demonstrating high stability and accuracy. The further application of the method to an in-service jacket platform in a marine environment yielded inverted wind and wave loads with a maximum MARE of 11.63% compared to loads calculated from measured wind and wave data, validating the method’s practical applicability and robustness. This approach offers a more accurate load basis for the safety assessment and residual life prediction of jacket platform structures. Full article
(This article belongs to the Section Ocean Engineering)
Show Figures

Figure 1

23 pages, 5519 KB  
Article
A Study on the Early-Stage Mechanical Properties and Uniaxial Compression Constitutive Model of Coral Concrete with Polyoxymethylene Fiber
by Jing Wang, Wenchong Shan and Lipeng Tan
Buildings 2025, 15(18), 3344; https://doi.org/10.3390/buildings15183344 - 15 Sep 2025
Viewed by 249
Abstract
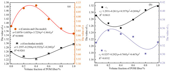
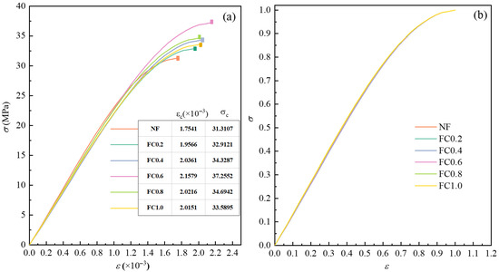
To investigate the regulatory mechanism of polyoxymethylene (POM) fiber on the workability and mechanical properties of C30-grade coral aggregate concrete (CAC), this study designed six groups of CAC specimens with varying POM fiber volume fractions (0%, 0.2%, 0.4%, 0.6%, 0.8%, and 1.0%). Cube [...] Read more.
To investigate the regulatory mechanism of polyoxymethylene (POM) fiber on the workability and mechanical properties of C30-grade coral aggregate concrete (CAC), this study designed six groups of CAC specimens with varying POM fiber volume fractions (0%, 0.2%, 0.4%, 0.6%, 0.8%, and 1.0%). Cube compressive test, axial compressive test, split tensile test, and flexural tests of CAC specimens after 28 days of curing were conducted, while observing their failure modes under ultimate load and stress–strain curves. The experimental results indicate that POM fiber incorporation significantly reduced the slump and slump flow of the CAC mixtures. The cube compressive strength, axial compressive strength, split tensile strength, and flexural strength of CAC initially increased and then decreased with increasing POM fiber volume fraction, peaking at 0.6% fiber content. Compared to the fiber-free group, these properties improved by 14.78%, 15.50%, 17.01%, 46.13%, and 3.69%, respectively. Analysis of failure modes under ultimate load revealed that POM fibers effectively reduced crack quantity and main crack width, producing a favorable bridging effect that promoted a transition from brittle fracture to ductile failure. However, when fiber volume fraction exceeded 0.8%, fiber agglomeration led to diminished mechanical performance. Based on experimental data, the constitutive relationship established using the Carreira and Chu model achieved a goodness-of-fit exceeding 0.99 for CAC stress–strain curves, effectively predicting mechanical behavior and providing theoretical support for marine engineering applications of coral aggregate concrete. This study provides a theoretical basis for exploiting coral aggregates as low-carbon resources, promoting CAC application in marine engineering, and leveraging POM fibers’ reinforcement of CAC to reduce reliance on high-carbon cement. Combined with coral aggregates’ local availability (cutting transportation emissions), it offers a technical pathway for marine engineering material preparation. Full article
(This article belongs to the Special Issue Research on the Crack Control of Concrete)
Show Figures

Figure 1

26 pages, 9106 KB  
Article
Axial Performance of GFRP-Confined High-Fly-Ash Coal-Gangue Self-Compacting Concrete: Strength Enhancement and Damage Evolution
by Baiyun Yu, Abudusaimaiti Kali, Hushitaer Niyazi and Hongchao Zhao
Buildings 2025, 15(18), 3327; https://doi.org/10.3390/buildings15183327 - 15 Sep 2025
Viewed by 328
Abstract
As infrastructure construction expands, the massive consumption of traditional concrete materials has led to resource shortages and environmental pollution. Utilizing industrial wastes such as coal gangue and fly ash to produce high-performance concrete is an important pathway toward a greener construction industry. However, [...] Read more.
As infrastructure construction expands, the massive consumption of traditional concrete materials has led to resource shortages and environmental pollution. Utilizing industrial wastes such as coal gangue and fly ash to produce high-performance concrete is an important pathway toward a greener construction industry. However, concrete incorporating high volumes of fly ash and coal gangue (i.e., high-volume fly-ash coal-gangue self-compacting concrete, CGSC) suffers from low strength and high brittleness due to the inherent deficiencies of its constituents. This study proposes using glass fiber-reinforced polymer (GFRP) tubes for external confinement to improve the axial compressive capacity and deformability of CGSC. A total of 27 concrete cylinders were prepared and tested under axial compression, with real-time acoustic emission (AE) monitoring. The variables examined include the coarse aggregate type (coal-gangue and natural gravel), GFRP tube thickness (5 mm and 8 mm), and fly-ash content (80%, 85%, 90%). The stress–strain response of each specimen and the failure evolution of internal cracks were recorded throughout the loading process. The results show that GFRP tube confinement markedly increases the axial strength and ductility of CGSC. AE features exhibited staged behavior that closely mirrored the stress–strain curves. This correspondence reveals the progression of internal cracks under confinement and indicates that AE is an effective tool for damage monitoring in such composites. The findings provide a new technical approach for the efficient reuse of solid waste in concrete and offer a theoretical and practical basis for applying FRP composite structures in underground support engineering. Full article
(This article belongs to the Section Building Materials, and Repair & Renovation)
Show Figures

Figure 1

12 pages, 4988 KB  
Article
Experimental Simulation of In Situ Axial Loading on Deep High-Pressure Frozen Ice
by Yu Zhang, Zhijiang Yang, Tao Han, Ying Ding, Weihao Yang and Peixin Sun
Appl. Sci. 2025, 15(18), 10042; https://doi.org/10.3390/app151810042 - 14 Sep 2025
Viewed by 287
Abstract
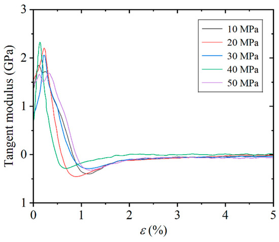
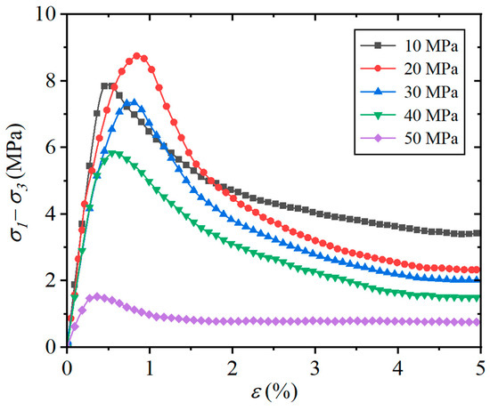
The mechanical properties of high-pressure frozen ice are critical design parameters for deep artificial ground freezing and ice sheet drilling operations, making their investigation fundamentally significant. In this study, ice specimens were prepared at −10 °C under freezing pressures of 10, 20, 30, [...] Read more.
The mechanical properties of high-pressure frozen ice are critical design parameters for deep artificial ground freezing and ice sheet drilling operations, making their investigation fundamentally significant. In this study, ice specimens were prepared at −10 °C under freezing pressures of 10, 20, 30, 40, and 50 MPa. In situ axial loading simulation experiments were conducted to investigate their mechanical behavior and macroscopic deformation characteristics during failure. The experimental results indicate that the deviatoric stress–axial strain curves of the ice specimens exhibited a rapid yet smooth transition before and after reaching the peak deviatoric stress, with all samples exhibiting ductile failure. The peak deviatoric stress initially increased and then decreased with increasing freezing pressure, reaching a maximum value of 8.61 MPa at a critical transition pressure of 20 MPa, eventually declining to a minimum of 1.66 MPa at 50 MPa. The residual deviatoric stress decreased significantly with increasing freezing pressure, declining from approximately 3.5 MPa at 10 MPa to 0.85 MPa at 50 MPa. The peak tangent modulus demonstrated a fluctuating trend with increasing freezing pressure, ranging from 1.76 to 2.37 GPa. As the freezing pressure increased, the failed ice specimens transitioned from a densely cross-cracked state to a highly transparent phase, and finally to a sparsely cross-cracked morphology. Full article
Show Figures

Figure 1

32 pages, 6938 KB  
Article
Modeling the Fire Response of Reactive Powder Concrete Columns with Due Consideration of Transient Thermal Strain
by Qin Rong, Zeyu Chang, Zhihao Lyu and Xiaomeng Hou
Buildings 2025, 15(18), 3287; https://doi.org/10.3390/buildings15183287 - 11 Sep 2025
Viewed by 217
Abstract
Transient thermal strain (TS) is a unique compressive strain that reactive powder concrete (RPC) experiences during temperature rise. RPC has a more rapid TS development than normal concrete (NC) during temperatures of 300 °C~800 °C, and under the same load level, the TS [...] Read more.
Transient thermal strain (TS) is a unique compressive strain that reactive powder concrete (RPC) experiences during temperature rise. RPC has a more rapid TS development than normal concrete (NC) during temperatures of 300 °C~800 °C, and under the same load level, the TS of RPC is 40% to 60% higher than that of NC. However, while TS is known to be significant in RPC, its quantitative influence on the structural fire response and ultimate fire resistance of RPC columns remains insufficiently understood and inadequately modeled, posing a potential risk to fire safety design. In this study, a method for modelling the fire response of RPC columns with due consideration to TS was developed using ABAQUS. The Drucker–Prager model was applied to assess the impact of TS on the fire resistance of RPC columns. The results indicate that ignoring the effect of TS could lead to unsafe fire resistance predictions for RPC columns. The influence of TS on the fire resistance performance of RPC columns increases with the increase in cross-sectional dimensions. When the cross-sectional dimension of RPC columns increases from 305 mm to 500 mm, the influence of TS on the fire resistance of RPC columns increases from 22% to 43%. Under the same load, the influence of TS on the fire resistance of RPC columns is 31.3%, which is greater than that on NC columns. When the hydrocarbon heating curve is used, if the influence of TS is not considered, the fire resistance will be overestimated by 18.2% and 37.7%. Under fire, the existence of TS will lead to a further increase in the compressive stress of the RPC element in the relatively low temperature region, resulting in a greater stress redistribution, and accelerating the RPC column to reach the fire resistance. Therefore, it is crucial to clearly consider TS for the accurate fire resistance prediction and safe fire protection design of RPC columns. Crucially, these findings have direct significance for the fire protection design of actual projects, such as liquefied petroleum stations. Full article
(This article belongs to the Special Issue Fire Science and Safety of Building Structure)
Show Figures

Figure 1

25 pages, 9252 KB  
Article
Mechanical Performance and Parameter Sensitivity Analysis of Small-Diameter Lead-Rubber Bearings
by Guorong Cao, Zhaoqun Chang, Guizhi Deng, Wenbo Ma and Boquan Liu
Buildings 2025, 15(18), 3284; https://doi.org/10.3390/buildings15183284 - 11 Sep 2025
Viewed by 306
Abstract
Small-diameter lead-rubber bearings (LRBs) are widely employed in shaking table tests of isolated structures, particularly reinforced concrete base-isolated structures. Accurately determining their mechanical properties and identifying their restoring force model parameters are essential for seismic response analysis and numerical simulation of scaled models. [...] Read more.
Small-diameter lead-rubber bearings (LRBs) are widely employed in shaking table tests of isolated structures, particularly reinforced concrete base-isolated structures. Accurately determining their mechanical properties and identifying their restoring force model parameters are essential for seismic response analysis and numerical simulation of scaled models. In this study, quasi-static tests and shaking table tests were conducted to obtain the compression–shear hysteresis curves of LRBs under various loading amplitudes and frequencies, as well as the hysteresis curves under seismic wave excitation. The variation patterns of mechanical performance indicators were systematically analyzed. A parameter identification method was developed to determine the restoring force model of small-diameter LRBs using a genetic algorithm, and the effects of pre-yield stiffness and yield force of the isolation layer on structural response were investigated based on an equivalent two-degree-of-freedom model. By incorporating appropriately identified restoring force model parameters, a damping modeling method for the reinforced concrete high-rise over-track structures with an inter-story isolation system was proposed. The results indicate that, when the maximum bearing deformation reached 150% shear strain, the post-yield stiffness and horizontal equivalent stiffness under seismic excitation increased by 11.97% and 19.40%, respectively, compared with the compression–shear test results, while the equivalent damping ratio increased by 18.18%. Directly adopting mechanical parameters obtained from quasi-static tests would lead to an overestimation of the isolation layer displacement response. The discrepancies in the mechanical indicators of the small-diameter LRB between the theoretical hysteresis curve, obtained using the identified Bouc–Wen model parameters, and the compression–shear test results are less than 10%. In OpenSees, the seismic response of the scaled model can be accurately simulated by combining a segmented damping model with an isolation-layer hysteresis model in which the pre-yield stiffness is amplified by a factor of 1.15. Full article
(This article belongs to the Special Issue Low Carbon and Green Materials in Construction—3rd Edition)
Show Figures

Figure 1

15 pages, 3909 KB  
Article
Finite Element Simulation of Crystal Plasticity in the Tensile Fracture Behavior of PBF-LB/M CoCrFeNiMn High Entropy Alloy
by Liangliang Wu, Wei Duan, Shuaifeng Zhang, Xiao Yang, Wen Li, Xu Shen, Yan Zhang and Jianxin Zhou
Metals 2025, 15(9), 990; https://doi.org/10.3390/met15090990 - 7 Sep 2025
Viewed by 388
Abstract
CoCrFeNiMn high entropy alloy (HEA) fabricated via laser-based powder bed fusion (PBF-LB/M) exhibits exceptional mechanical properties, including high strength, better ductility than titanium alloy, and superior corrosion resistance. This study simulates the intergranular fracture behavior of PBF-LB/M CoCrFeNiMn HEA under tensile loading by [...] Read more.
CoCrFeNiMn high entropy alloy (HEA) fabricated via laser-based powder bed fusion (PBF-LB/M) exhibits exceptional mechanical properties, including high strength, better ductility than titanium alloy, and superior corrosion resistance. This study simulates the intergranular fracture behavior of PBF-LB/M CoCrFeNiMn HEA under tensile loading by embedding cohesive elements with damage mechanisms into polycrystalline representative volume elements based on the crystal plasticity finite element method. The simulation results show good agreement with reported experimental stress–strain curves, demonstrating that the crystal plastic constitutive model combined with the cohesive constitutive model can accurately describe both the macroscopic response behavior and fracture failure behavior of the CoCrFeNiMn HEA. Furthermore, this work investigates the mechanical properties of the HEA in different tensile directions, the improvement of anisotropy through columnar-to-equiaxed grain transition, and the effect of texture strength on crack initiation and propagation. The results show that the polycrystalline CoCrFeNiMn HEA exhibits anisotropic mechanical properties: simulated yield strengths (YSs) are 436.9 MPa (in the scanning direction) and 484.7 MPa (in the building direction), tensile strengths (TSs) reach 639 MPa and 702.5 MPa, and elongations (ELs) are 10.6% and 21.8%, respectively. After equiaxed grain formation, the EL in the scanning direction increased from 10.6% to 17.2%, while the EL in the building direction decreased from 21.8% to 20.3%. Concurrently, the anisotropy coefficients of YS, TS, and EL decreased by 1.8%, 2.2%, and 36.1%, respectively. The cracks initiate at stress concentrations and subsequently propagate along grain boundaries until final fracture. Variations in texture strength significantly influence the crack initiation location and propagation path in the CoCrFeNiMn HEA. Full article
Show Figures

Figure 1

18 pages, 6373 KB  
Article
Experimental Study on the Cyclic Loading Behavior of Hybrid Fiber-Reinforced Rubber Concrete in Sulfate Environment
by Yushan Liu and Jianyong Pang
J. Compos. Sci. 2025, 9(9), 484; https://doi.org/10.3390/jcs9090484 - 5 Sep 2025
Viewed by 336
Abstract
In the saline soil area of western China, the concrete is simultaneously subjected to cyclic loading and sulfate attack. To reveal the effect of sulfate attack on fatigue performance of normal concrete (NC) and hybrid fiber-reinforced rubber concrete (HFRRC), the uniaxial compression test [...] Read more.
In the saline soil area of western China, the concrete is simultaneously subjected to cyclic loading and sulfate attack. To reveal the effect of sulfate attack on fatigue performance of normal concrete (NC) and hybrid fiber-reinforced rubber concrete (HFRRC), the uniaxial compression test and cyclic loading test were carried out on the specimens after sulfate erosion. The loading strain, plastic strain, and elastic strain of the concrete were compared and analyzed. The compressive strength, fatigue resistance, and strain energy of the concrete were compared and analyzed. Ultrasonic Pulse Velocity (UPV) measurements were also used to quantify the damage in sulfate attack tests. The results indicate that the fatigue failure stress of concrete is lower than its uniaxial compressive strength. The fatigue resistance coefficient of HFRRC is always higher than that of NC. Under the cyclic loading with the same level, the stress–strain curve of HFRRC is denser than that of NC, exhibiting good elasticity. The energy evolution is independent of whether or not sulfate attacks, but its growth rate is affected by sulfate erosion time. It can provide an experimental and theoretical foundation for the application of HFRRC in engineering structures subjected to repeated loads in sulfate environments. Full article
Show Figures

Figure 1

16 pages, 4056 KB  
Article
Experimental Study on Compressive Behavior of CFRP-Confined Pre-Damaged Pinus sylvestris var. mongolia Composited Wooden Column
by Sheng Peng, Wei Lou, Yifan Qiao, Lanyu Liu, Huacheng Liu and Dongping Wu
Buildings 2025, 15(17), 3173; https://doi.org/10.3390/buildings15173173 - 3 Sep 2025
Viewed by 395
Abstract
In China, most of the ancient wooden structure mortise and tenon buildings, under the long-term upper load, have columns with surface surfaces that have varying degrees of damage, which need to be repaired and strengthened urgently, but the theory related to CFRP, mortise [...] Read more.
In China, most of the ancient wooden structure mortise and tenon buildings, under the long-term upper load, have columns with surface surfaces that have varying degrees of damage, which need to be repaired and strengthened urgently, but the theory related to CFRP, mortise size, and pre-damage simulation still needs to be deeply studied. To investigate the effects of CFRP reinforcement layers, cross-sectional area of concealed tenons as the projected area after installation, and tenon engagement length as the axial length after installation on the axial compressive mechanical properties of pre-damaged quad-segment spliced Pinus sylvestris var. mongolia composited wooden columns, axial compression failure tests were conducted on 10 specimens following pre-damage simulation and CFRP strengthening. The experimental program yielded comprehensive data, including observations, mechanical analyses, load-displacement curves, load-strain curves, ultimate load-bearing capacities, ductility coefficients, and stiffness values. The results demonstrate that with consistent tenon cross-sectional area and engagement length, increasing CFRP layers from 1 to 3 raises the ultimate bearing capacity from 472.3 kN to 620.3 kN and improves the ductility coefficient from 4.67 to 7.95, clearly indicating that CFRP reinforcement significantly enhances axial compressive performance while effectively mitigating brittle failure. When maintaining constant CFRP layers and tenon cross-sectional area, extending the tenon engagement length from 30 mm to 90 mm elevates the bearing capacity from 494.95 kN to 546.3 kN and boosts the ductility coefficient from 5.58 to 7.95. In contrast, with fixed CFRP layers and engagement length, expanding the tenon cross-sectional area from 360 mm2 to 810 mm2 produces only marginal bearing capacity improvement from 548.2 kN to 556.2 kN with ductility coefficients ranging between 4.67 and 5.56, conclusively revealing that tenon engagement length has substantially greater influence on mechanical properties than cross-sectional area. The optimal axial compressive performance configuration combines 3 CFRP layers, an 810 mm2 tenon cross-section, and a 90 mm engagement length. Full article
(This article belongs to the Section Building Structures)
Show Figures

Figure 1

13 pages, 923 KB  
Article
Myocardial Work’s Impact in the Evaluation of Advanced Heart Failure
by Luca Martini, Antonio Pagliaro, Hatem Soliman Aboumarie, Massimo Maccherini, Serafina Valente, Giulia Elena Mandoli, Michael Y. Henein and Matteo Cameli
Hearts 2025, 6(3), 24; https://doi.org/10.3390/hearts6030024 - 3 Sep 2025
Viewed by 1818
Abstract
Background: Left ventricular myocardial work (MW) derived from non-invasive pressure–strain loops has emerged as a load-adjusted index of contractile performance. Its value for risk stratification in advanced heart failure (HF) remains uncertain. Methods: We retrospectively studied 151 consecutive patients with advanced HF undergoing [...] Read more.
Background: Left ventricular myocardial work (MW) derived from non-invasive pressure–strain loops has emerged as a load-adjusted index of contractile performance. Its value for risk stratification in advanced heart failure (HF) remains uncertain. Methods: We retrospectively studied 151 consecutive patients with advanced HF undergoing comprehensive evaluation at our tertiary centre between January 2016 and December 2022. MW parameters—left ventricular global work index (LVGWI), global constructive work (LVGCW), global wasted work (LVGWW) and global work efficiency (LVGWE)—were derived from speckle-tracking echocardiography integrated with brachial blood pressure. Cardiopulmonary exercise testing (CPET), right heart catheterisation (RHC) and biochemical markers were obtained. Patients were stratified according to an LVGWI threshold of 600 mmHg%, identified by receiver operating characteristic (ROC) analysis for predicting the combined end point of cardiovascular mortality or HF hospitalisation. Correlations between MW and traditional indices were assessed, and event-free survival was analysed by Kaplan–Meier curves. Results: LVGWI correlated modestly with pVO2 (r = 0.35, p = 0.01) and left ventricular ejection fraction (r = 0.42, p < 0.001) and inversely with NT-proBNP (r = −0.30, p = 0.03). LVGWI displayed the largest area under the curve (AUC 0.76 [95% confidence interval 0.65–0.85]) for predicting the combined end point compared with pVO2 (AUC 0.73) and LVEF (AUC 0.67). Dichotomisation by LVGWI ≤ 600 mmHg% identified a high-risk group (Group A) with worse NYHA class, lower systolic blood pressure and reduced exercise capacity. After a median follow-up of 24 months, Group A exhibited significantly lower event-free survival (log-rank p = 0.02). Multivariable analysis was not performed owing to the limited sample size; therefore, findings should be interpreted with caution. Conclusions: In patients with advanced HF, left ventricular myocardial work, particularly LVGWI, provides incremental prognostic information beyond conventional markers. An LVGWI cut-off of 600 mmHg% derived from ROC analysis identified patients at increased risk of cardiovascular events and may inform timely referral for mechanical circulatory support or transplantation. Larger prospective studies are warranted to confirm these observations and to establish standardised thresholds across vendors. Full article
(This article belongs to the Collection Feature Papers from Hearts Editorial Board Members)
Show Figures

Graphical abstract

Back to TopTop