Finite Element Simulation of Crystal Plasticity in the Tensile Fracture Behavior of PBF-LB/M CoCrFeNiMn High Entropy Alloy
Abstract
1. Introduction
2. Modeling
2.1. Crystal Plastic Constitutive Model
2.2. Cohesive Constitutive Model
2.3. HEA Finite Element Model
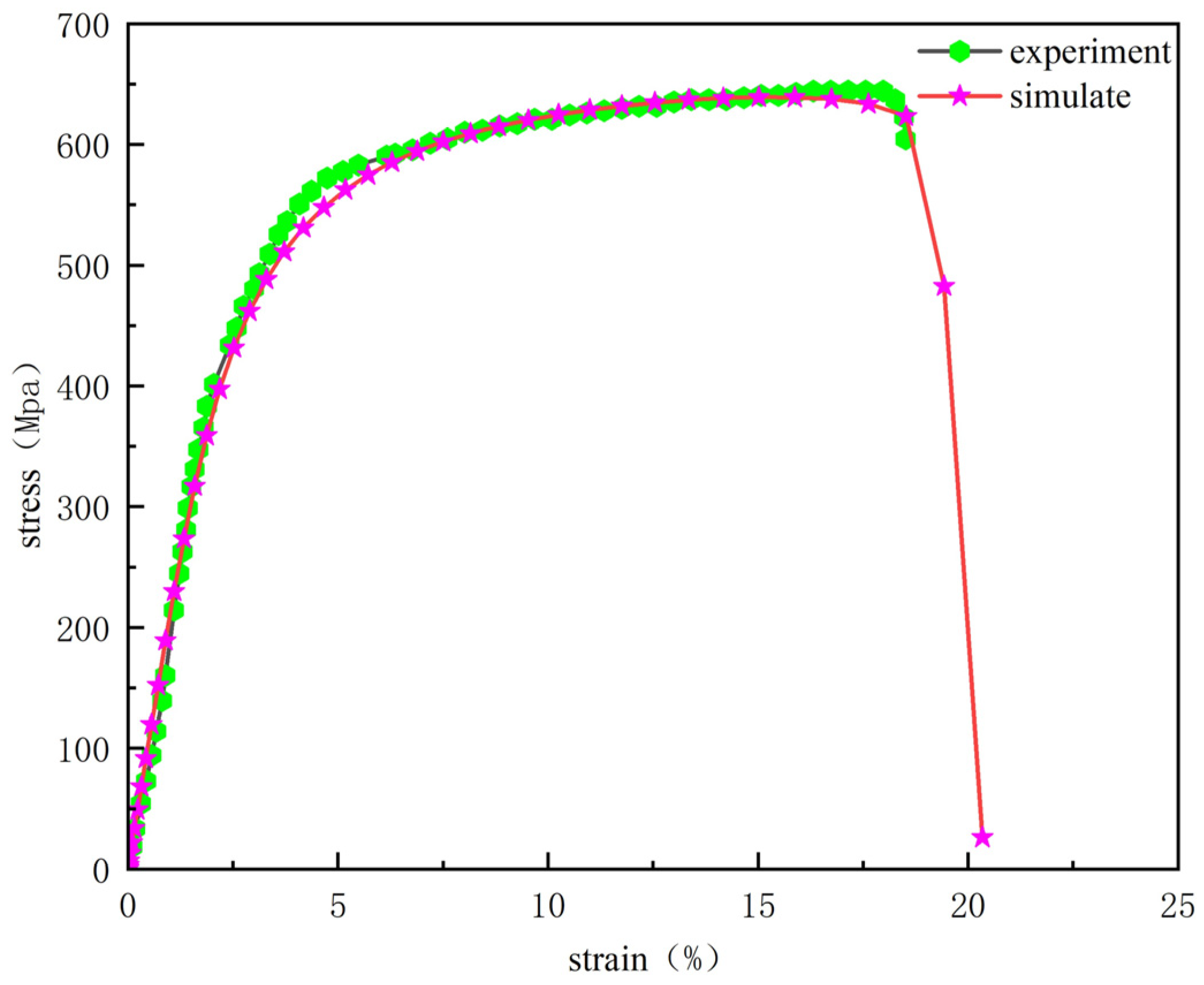
2.4. Determination of Parameters of HEA
2.5. Polycrystalline Modeling of HEA with Different Grain Morphologies
2.6. Polycrystalline Modeling of HEA with Different Texture Strengths
3. Results and Discussion
3.1. Tensile Simulation of Polycrystalline Models of HEA with Different Stretching Directions
3.2. Tensile Simulation of Polycrystalline Models of HEA with Different Grain Morphologies
3.3. Tensile Simulation of Polycrystalline Models of HEA with Different Texture Strengths
4. Conclusions
- (1)
- The stress–strain response of CoCrFeNiMn HEA at tensile fracture was effectively simulated using a combined crystal plastic constitutive model and cohesive constitutive model.
- (2)
- Simulations along different tensile directions show that the grain boundary damage of the material is different in different tensile directions, and there is more grain boundary damage in the scanning direction than in the building direction, which shows the material anisotropy. In addition, the stress concentration occurs at grain boundaries first and builds up at the intersection of multiple grain boundaries, which leads to cracks sprouting and expanding at the intersection of multiple grain boundaries.
- (3)
- With the equiaxialization of the columnar crystals, the elongation of the polycrystalline model increases from 10.6% to 17.2% in the scanning direction, decreases from 21.8% to 20.3% in the building direction, and decreases the anisotropy coefficients of YS, TS, and EL by 1.8%, 2.2%, and 36.1%, respectively. In addition, the effect on anisotropy diminishes after a certain degree of equiaxialization of columnar crystals.
- (4)
- Different texture strengths significantly affect the crack initiation and extension of CoCrFeNiMn HEA, as well as the macroscopic mechanical response of the polycrystalline model.
Author Contributions
Funding
Data Availability Statement
Conflicts of Interest
References
- Yeh, J.W.; Chen, S.K.; Lin, S.J.; Gan, J.Y.; Chin, T.S.; Shun, T.T.; Tsau, C.H.; Chang, S.Y. Nanostructured high-entropy alloys with multiple principal elements: Novel alloy design concepts and outcomes. Adv. Eng. Mater. 2004, 6, 299–303. [Google Scholar] [CrossRef]
- Wang, P.; Huang, P.; Ng, F.L.; Sin, W.J.; Lu, S.; Nai, M.L.S.; Dong, Z.; Wei, J. Additively manufactured CoCrFeNiMn high-entropy alloy via pre-alloyed powder. Mater. Des. 2019, 168, 107576. [Google Scholar]
- Vaidya, M.; Pradeep, K.; Murty, B.; Wilde, G.; Divinski, S. Bulk tracer diffusion in CoCrFeNi and CoCrFeMnNi high entropy alloys. Acta Mater. 2018, 146, 211–224. [Google Scholar] [CrossRef]
- Butler, T.M.; Weaver, M.L. Oxidation behavior of arc melted AlCoCrFeNi multi-component high-entropy alloys. J. Alloys Compd. 2016, 674, 229–244. [Google Scholar] [CrossRef]
- Stepanov, N.; Tikhonovsky, M.; Yurchenko, N.; Zyabkin, D.; Klimova, M.; Zherebtsov, S.; Efimov, A.; Salishchev, G. Effect of cryo-deformation on structure and properties of CoCrFeNiMn high-entropy alloy. Intermetallics 2015, 59, 8–17. [Google Scholar] [CrossRef]
- Laplanche, G.; Kostka, A.; Horst, O.; Eggeler, G.; George, E. Microstructure evolution and critical stress for twinning in the CrMnFeCoNi high-entropy alloy. Acta Mater. 2016, 118, 152–163. [Google Scholar] [CrossRef]
- Zhou, Z.; Ji, C.; Hou, D.; Jiang, S.; Yang, Z.; Dong, F.; Liu, S. Study on Mechanical Properties of Nanopores in CoCrFeMnNi High-Entropy Alloy Used as Drug-Eluting Stent. Materials 2024, 17, 3314. [Google Scholar] [CrossRef]
- Brif, Y.; Thomas, M.; Todd, I. The use of high-entropy alloys in additive manufacturing. Scr. Mater. 2015, 99, 93–96. [Google Scholar] [CrossRef]
- Jumaev, E.; Abbas, M.A.; Mun, S.C.; Song, G.; Hong, S.-J.; Kim, K.B. Nano-scale structural evolution of quaternary AlCrFeNi based high entropy alloys by the addition of specific minor elements and its effect on mechanical characteristics. J. Alloys Compd. 2021, 868, 159217. [Google Scholar] [CrossRef]
- Dilshodbek, Y.; Hong, S.H.; Abbas, M.A.; Kang, G.C.; Park, H.J.; Jumaev, E.; Wang, W.-M.; Kim, K.B. Evolution of microstructure and mechanical characteristics of (CrFeNiCu) 100–x Ti x high-entropy alloys. Rare Met. 2023, 42, 3088–3098. [Google Scholar]
- Gu, X.H.; Lu, T.; Zhang, T.; Guo, W.; Pan, Y.; Dai, T. Anisotropy of microstructures and mechanical properties in FeCoNiCr0.5 high-entropy alloy prepared via selective laser melting. Rare Met. 2022, 41, 2047–2054. [Google Scholar] [CrossRef]
- Kim, Y.K.; Choe, J.; Lee, K.A. Selective laser melted equiatomic CoCrFeMnNi high-entropy alloy: Microstructure, anisotropic mechanical response, and multiple strengthening mechanism. J. Alloys Compd. 2019, 805, 680–691. [Google Scholar] [CrossRef]
- Ng, C.H.; Bermingham, M.J.; Dargusch, M.S. Controlling grain size, morphology and texture in additively manufactured β-titanium alloy with super transus hot isostatic pressing. Addit. Manuf. 2022, 59, 103176. [Google Scholar] [CrossRef]
- Dolzhenko, A.; Tikhonova, M.; Kaibyshev, R.; Belyakov, A. Microstructures and mechanical properties of steels and alloys subjected to large-strain cold-to-warm deformation. Metals 2022, 12, 454. [Google Scholar] [CrossRef]
- Cai, W.; Sun, C.; Wang, C.; Qian, L.; Li, Y.; Fu, M.W. Modelling of the intergranular fracture of TWIP steels working at high temperature by using CZM–CPFE method. Int. J. Plast. 2022, 156, 103366. [Google Scholar] [CrossRef]
- Yin, L.W.; Umezawa, O. Crystal plasticity analysis of temperature-sensitive dwell fatigue in Ti-6Al-4V titanium alloy for an aero-engine fan disc. Int. J. Fatigue 2022, 156, 106688. [Google Scholar] [CrossRef]
- Wang, S.Y.; Song, S.; Lu, X.C. Tensile Fracture Behavior of the CrMnFeCoNi High Entropy Alloy: A Crystal Plasticity Finite Element Simulation. J. Mech. Eng. 2021, 57, 43–51. (In Chinese) [Google Scholar]
- Tong, X.; Wang, Y.; Li, Y.; Fu, M. Grain size effect analysis of progressive meso-scaled forming aided by coupled Eulerian-Lagrangian approach and CPFEM. J. Manuf. Process. 2025, 152, 666–683. [Google Scholar] [CrossRef]
- Long, X.; Chong, K.; Su, Y.; Chang, C.; Zhao, L. Meso-scale low-cycle fatigue damage of polycrystalline nickel-based alloy by crystal plasticity finite element method. Int. J. Fatigue 2023, 175, 107778. [Google Scholar] [CrossRef]
- Zhang, X.; Lu, X.; Zhao, J.; Kan, Q.; Li, Z.; Kang, G. Temperature effect on tensile behavior of an interstitial high entropy alloy: Crystal plasticity modeling. Int. J. Plast. 2022, 150, 103201. [Google Scholar] [CrossRef]
- Lakshmanan, A.; Luo, J.; Javaheri, I.; Sundararaghavan, V. Three-dimensional crystal plasticity simulations using peridynamics theory and experimental comparison. Int. J. Plast. 2021, 142, 102991. [Google Scholar] [CrossRef]
- Liu, L.-Y.; Yang, Q.-S.; Liu, X.; Nian, X.-C. Crystal cracking of grain-gradient aluminum by a combined CPFEM-CZM method. Eng. Fract. Mech. 2021, 242, 107507. [Google Scholar] [CrossRef]
- Liu, L.Y.; Yang, Q.S.; Liu, X.; Shang, J.J. Modeling damage evolution of graphene/aluminum composites considering crystal cracking and interface failure. Compos. Struct. 2021, 267, 113863. [Google Scholar] [CrossRef]
- Wang, F.C. Optimization of Forming Process and Characterization of CoCrFeNiMn High Entropy Alloy Fabricated by Selective Laser Melting. Master’s Thesis, Huazhong University of Science and Technology, Wuhan, China, 2019. (In Chinese). [Google Scholar]
- Peirce, D.; Asaro, R.; Needleman, A. An analysis of nonuniform and localized deformation in ductile single crystals. Acta Metall. Sin. 1982, 30, 1087–1119. [Google Scholar] [CrossRef]
- Lu, X.; Zhao, J.; Yu, C.; Li, Z.; Kan, Q.; Kang, G.; Zhang, X. Cyclic plasticity of an interstitial high-entropy alloy: Experiments, crystal plasticity modeling, and simulations. J. Mech. Phys. Solids 2020, 142, 103971. [Google Scholar] [CrossRef]
- Lim, H.; Battaile, C.C.; Bishop, J.E.; Foulk, J.W., III. Investigating mesh sensitivity and polycrystalline RVEs in crystal plasticity finite element simulations. Int. J. Plast. 2019, 121, 101–115. [Google Scholar] [CrossRef]
- Li, W.; Huang, Y.Y.; Xie, Z.H.; Chen, H.; Li, W.; Liu, B.; Wang, B. Mechanical property and cellular structure of an additive manufactured FeCoNiCrMo0. 2 high-entropy alloy at high-velocity deformation. J. Mater. Sci. Technol. 2023, 139, 156–166. [Google Scholar] [CrossRef]
- Quey, R.; Dawson, P.R.; Barbe, F. Large-scale 3D random polycrystals for the finite element method: Generation, meshing and remeshing. Comput. Methods Appl. Mech. Eng. 2011, 200, 1729–1745. [Google Scholar] [CrossRef]
- Du Plessis, A.; Macdonald, E. Hot isostatic pressing in metal additive manufacturing: X-ray tomography reveals details of pore closure. Addit. Manuf. 2020, 34, 101191. [Google Scholar] [CrossRef]
- Xiong, Y.; Zhang, F.; Dai, T.; Shang, C.; Wan, Q. Crystal growth mechanism and mechanical properties of Ti-6Al-4 V alloy during selective laser melting. Mater. Charact. 2022, 194, 112455. [Google Scholar] [CrossRef]













| Symbol | Meaning | Unit | Value | |
|---|---|---|---|---|
| CPFEM | H0 | Initial hardening modulus | MPa | 70.5 |
| τs | Saturated yield stress | MPa | 260.5 | |
| τ0 | Initial critical shear stress | MPa | 130.5 | |
| n | Strain rate sensitivity coefficient | Dimensionless | 10 | |
| γ0 | Reference shear strain rate | s−1 | 0.002 | |
| q | Hardening factor | Dimensionless | 1 | |
| Cohesive | Normal stiffness | GPa | 200 | |
| / | Shear stiffness | GPa | 77 | |
| Normal peak tractions | MPa | 900 | ||
| / | Shear peak tractions | MPa | 335.8 | |
| Gc | Fracture energy | MPa·mm | 0.54 | |
| δf | Failure node displacement | mm | 0.0012 |
Disclaimer/Publisher’s Note: The statements, opinions and data contained in all publications are solely those of the individual author(s) and contributor(s) and not of MDPI and/or the editor(s). MDPI and/or the editor(s) disclaim responsibility for any injury to people or property resulting from any ideas, methods, instructions or products referred to in the content. |
© 2025 by the authors. Licensee MDPI, Basel, Switzerland. This article is an open access article distributed under the terms and conditions of the Creative Commons Attribution (CC BY) license (https://creativecommons.org/licenses/by/4.0/).
Share and Cite
Wu, L.; Duan, W.; Zhang, S.; Yang, X.; Li, W.; Shen, X.; Zhang, Y.; Zhou, J. Finite Element Simulation of Crystal Plasticity in the Tensile Fracture Behavior of PBF-LB/M CoCrFeNiMn High Entropy Alloy. Metals 2025, 15, 990. https://doi.org/10.3390/met15090990
Wu L, Duan W, Zhang S, Yang X, Li W, Shen X, Zhang Y, Zhou J. Finite Element Simulation of Crystal Plasticity in the Tensile Fracture Behavior of PBF-LB/M CoCrFeNiMn High Entropy Alloy. Metals. 2025; 15(9):990. https://doi.org/10.3390/met15090990
Chicago/Turabian StyleWu, Liangliang, Wei Duan, Shuaifeng Zhang, Xiao Yang, Wen Li, Xu Shen, Yan Zhang, and Jianxin Zhou. 2025. "Finite Element Simulation of Crystal Plasticity in the Tensile Fracture Behavior of PBF-LB/M CoCrFeNiMn High Entropy Alloy" Metals 15, no. 9: 990. https://doi.org/10.3390/met15090990
APA StyleWu, L., Duan, W., Zhang, S., Yang, X., Li, W., Shen, X., Zhang, Y., & Zhou, J. (2025). Finite Element Simulation of Crystal Plasticity in the Tensile Fracture Behavior of PBF-LB/M CoCrFeNiMn High Entropy Alloy. Metals, 15(9), 990. https://doi.org/10.3390/met15090990

