Myocardial Work’s Impact in the Evaluation of Advanced Heart Failure
Abstract
1. Introduction
2. Materials and Methods
2.1. Study Design and Population
2.2. Data Collection
2.3. Statistical Analysis
3. Results
3.1. Baseline Characteristics
3.2. Correlation Analysis
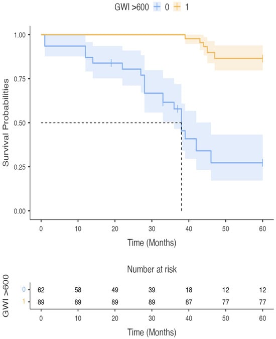
3.3. Prognostic Performance and Outcomes
4. Discussion
5. Conclusions
Author Contributions
Funding
Institutional Review Board Statement
Informed Consent Statement
Data Availability Statement
Conflicts of Interest
References
- McDonagh, T.A.; Metra, M.; Adamo, M.; Gardner, R.S.; Baumbach, A.; Böhm, M.; Burri, H.; Butler, J.; Čelutkienė, J.; Chioncel, O.; et al. 2021 ESC Guidelines for the diagnosis and treatment of acute and chronic heart failure. Eur. Heart J. 2021, 42, 3599–3726, Erratum in Eur. Heart J. 2021, 42, 4901. [Google Scholar] [CrossRef] [PubMed]
- Truby, L.K.; Rogers, J.G. Advanced Heart Failure: Epidemiology, Diagnosis, and Therapeutic Approaches. JACC Heart Fail. 2020, 8, 523–536. [Google Scholar] [CrossRef] [PubMed]
- Ilardi, F.; D’Andrea, A.; D’Ascenzi, F.; Bandera, F.; Benfari, G.; Esposito, R.; Malagoli, A.; Mandoli, G.E.; Santoro, C.; Russo, V.; et al. Myocardial Work by Echocardiography: Principles and Applications in Clinical Practice. J. Clin. Med. 2021, 10, 4521. [Google Scholar] [CrossRef] [PubMed] [PubMed Central]
- Pellikka, P.A. Myocardial Work as a Metric of Cardiac Performance. J. Am. Soc. Echocardiogr. 2023, 36, 1019–1020. [Google Scholar] [CrossRef] [PubMed]
- Lang, R.M.; Badano, L.P.; Mor-Avi, V.; Afilalo, J.; Armstrong, A.; Ernande, L.; Flachskampf, F.A.; Foster, E.; Goldstein, S.A.; Kuznetsova, T.; et al. Recommendations for cardiac chamber quantification by echocardiography in adults: An update from the American Society of Echocardiography and the European Association of Cardiovascular Imaging. Eur. Heart J. Cardiovasc. Imaging 2015, 16, 233–270, Erratum in Eur. Heart J. Cardiovasc. Imaging 2016, 17, 969. [Google Scholar] [CrossRef] [PubMed]
- Mitchell, C.; Rahko, P.S.; Blauwet, L.A.; Canaday, B.; Finstuen, J.A.; Foster, M.C.; Horton, K.; Ogunyankin, K.O.; Palma, R.A.; Velazquez, E.J. Guidelines for Performing a Comprehensive Transthoracic Echocardiographic Examination in Adults: Recommendations from the American Society of Echocardiography. J. Am. Soc. Echocardiogr. 2019, 32, 1–64. [Google Scholar] [CrossRef] [PubMed]
- Mondillo, S.; Galderisi, M.; Mele, D.; Cameli, M.; Lomoriello, V.S.; Zacà, V.; Ballo, P.; D’Andrea, A.; Muraru, D.; Losi, M.; et al. Speckle-tracking echocardiography: A new technique for assessing myocardial function. J. Ultrasound Med. 2011, 30, 71–83. [Google Scholar] [CrossRef] [PubMed]
- Pathan, F.; D’Elia, N.; Nolan, M.T.; Marwick, T.H.; Negishi, K. Normal Ranges of Left Atrial Strain by Speckle-Tracking Echocardiography: A Systematic Review and Meta-Analysis. J. Am. Soc. Echocardiogr. 2017, 30, 59–70.e8. [Google Scholar] [CrossRef] [PubMed]
- Badano, L.P.; Kolias, T.J.; Muraru, D.; Abraham, T.P.; Aurigemma, G.; Edvardsen, T.; D’Hooge, J.; Donal, E.; Fraser, A.G.; Marwick, T.; et al. Standardization of left atrial, right ventricular, and right atrial deformation imaging using two-dimensional speckle tracking echocardiography: A consensus document of the EACVI/ASE/Industry Task Force to standardize deformation imaging. Eur. Heart J. Cardiovasc. Imaging 2018, 19, 591–600, Erratum in Eur. Heart J. Cardiovasc. Imaging 2018, 19, 830–833. [Google Scholar] [CrossRef] [PubMed]
- American Thoracic Society; American College of Chest Physicians. ATS/ACCP Statement on cardiopulmonary exercise testing. Am. J. Respir. Crit. Care Med. 2003, 167, 211–277, Erratum in Am. J. Respir. Crit. Care Med. 2003, 1451–1452. [Google Scholar] [CrossRef] [PubMed]
- Fletcher, G.F.; Ades, P.A.; Kligfield, P.; Arena, R.; Balady, G.J.; Bittner, V.A.; Coke, L.A.; Fleg, J.L.; Forman, D.E.; Gerber, T.C.; et al. Exercise standards for testing and training: A scientific statement from the American Heart Association. Circulation 2013, 128, 873–934. [Google Scholar] [CrossRef] [PubMed]
- Glaab, T.; Taube, C. Practical guide to cardiopulmonary exercise testing in adults. Respir. Res. 2022, 23, 9. [Google Scholar] [CrossRef] [PubMed] [PubMed Central]
- Galiè, N.; Humbert, M.; Vachiery, J.L.; Gibbs, S.; Lang, I.; Torbicki, A.; Simonneau, G.; Peacock, A.; Vonk Noordegraaf, A.; Beghetti, M.; et al. 2015 ESC/ERS Guidelines for the diagnosis and treatment of pulmonary hypertension: The Joint Task Force for the Diagnosis and Treatment of Pulmonary Hypertension of the European Society of Cardiology (ESC) and the European Respiratory Society (ERS): Endorsed by: Association for European Paediatric and Congenital Cardiology (AEPC), International Society for Heart and Lung Transplantation (ISHLT). Eur. Heart J. 2016, 37, 67–119. [Google Scholar] [CrossRef] [PubMed]
- Kovacs, G.; Avian, A.; Pienn, M.; Naeije, R.; Olschewski, H. Reading pulmonary vascular pressure tracings. How to handle the problems of zero leveling and respiratory swings. Am. J. Respir. Crit. Care Med. 2014, 190, 252–257. [Google Scholar] [CrossRef] [PubMed]
- Corrà, U.; Piepoli, M.F.; Adamopoulos, S.; Agostoni, P.; Coats, A.J.; Conraads, V.; Lambrinou, E.; Pieske, B.; Piotrowicz, E.; Schmid, J.P.; et al. Cardiopulmonary exercise testing in systolic heart failure in 2014: The evolving prognostic role: A position paper from the committee on exercise physiology and training of the heart failure association of the ESC. Eur. J. Heart Fail. 2014, 16, 929–941. [Google Scholar] [CrossRef] [PubMed]
- Arena, R.; Myers, J.; Abella, J.; Pinkstaff, S.; Brubaker, P.; Moore, B.; Kitzman, D.; Peberdy, M.A.; Bensimhon, D.; Chase, P.; et al. Determining the preferred percent-predicted equation for peak oxygen consumption in patients with heart failure. Circ. Heart Fail. 2009, 2, 113–120. [Google Scholar] [CrossRef] [PubMed] [PubMed Central]
- Binder, R.K.; Wonisch, M.; Corra, U.; Cohen-Solal, A.; Vanhees, L.; Saner, H.; Schmid, J.P. Methodological approach to the first and second lactate threshold in incremental cardiopulmonary exercise testing. Eur. J. Cardiovasc. Prev. Rehabil. 2008, 15, 726–734. [Google Scholar] [CrossRef] [PubMed]
- Gamarra, A.; Díez-Villanueva, P.; Salamanca, J.; Aguilar, R.; Mahía, P.; Alfonso, F. Development and Clinical Application of Left Ventricular-Arterial Coupling Non-Invasive Assessment Methods. J. Cardiovasc. Dev. Dis. 2024, 11, 141. [Google Scholar] [CrossRef] [PubMed] [PubMed Central]
- Hedwig, F.; Nemchyna, O.; Stein, J.; Knosalla, C.; Merke, N.; Knebel, F.; Hagendorff, A.; Schoenrath, F.; Falk, V.; Knierim, J. Myocardial Work Assessment for the Prediction of Prognosis in Advanced Heart Failure. Front. Cardiovasc. Med. 2021, 8, 691611. [Google Scholar] [CrossRef] [PubMed] [PubMed Central]
- Kadish, A.H.; Rubenstein, J.C. Connecting the dots: The relevance of scar in nonischemic cardiomyopathy. J. Am. Coll. Cardiol. 2009, 53, 1146–1147. [Google Scholar] [CrossRef] [PubMed] [PubMed Central]
- Klem, I.; Klein, M.; Khan, M.; Yang, E.Y.; Nabi, F.; Ivanov, A.; Bhatti, L.; Hayes, B.; Graviss, E.A.; Nguyen, D.T.; et al. Relationship of LVEF and Myocardial Scar to Long-Term Mortality Risk and Mode of Death in Patients with Nonischemic Cardiomyopathy. Circulation 2021, 143, 1343–1358. [Google Scholar] [CrossRef] [PubMed]
- Floras, J.S.; Ponikowski, P. The sympathetic/parasympathetic imbalance in heart failure with reduced ejection fraction. Eur. Heart J. 2015, 36, 1974–1982b. [Google Scholar] [CrossRef] [PubMed] [PubMed Central]
- Paleczny, B.; Olesińska-Mader, M.; Siennicka, A.; Niewiński, P.; Nowak, K.; Buldańczyk, A.; Jankowska, E.A.; Banasiak, W.; von Haehling, S.; Ponikowska, B.; et al. Assessment of baroreflex sensitivity has no prognostic value in contemporary, optimally managed patients with mild-to-moderate heart failure with reduced ejection fraction: A retrospective analysis of 5-year survival. Eur. J. Heart Fail. 2019, 21, 50–58. [Google Scholar] [CrossRef] [PubMed]
- La Rovere, M.T.; Pinna, G.D.; Maestri, R.; Robbi, E.; Caporotondi, A.; Guazzotti, G.; Sleight, P.; Febo, O. Prognostic implications of baroreflex sensitivity in heart failure patients in the beta-blocking era. J. Am. Coll. Cardiol. 2009, 53, 193–199. [Google Scholar] [CrossRef] [PubMed]




| Characteristic | Group A | Group B | p-Value |
|---|---|---|---|
| Age (years old) | 57 ± 8 | 55 ± 8 | p = 0.337 |
| Sex | p = 0.009 | ||
| male, n (%) | 60 (67%) | 47 (76%) | |
| female, n (%) | 29 (33%) | 15 (24%) | |
| BSA (m2) | 2.0 ± 0.2 | 2.0 ± 0.2 | p = 0.326 |
| NYHA class | p < 0.001 | ||
| 0, n (%) | 0 (0%) | 0 (0%) | |
| I, n (%) | 0 (0%) | 0 (0%) | |
| II, n (%) | 0 (0%) | 0 (0%) | |
| III, n (%) | 2 (2%) | 62 (100%) | |
| IV, n (%) | 87 (98%) | 0 (0%) | |
| Systolic (mmHg) | 105 (95–115) | 113 (98–138) | p < 0.001 |
| Diastolic (mmHg) | 69 (62–83) | 72 (61–83) | p = 0.007 |
| Hypertension, n (%) | 15 (17%) | 11 (17%) | p = 0.453 |
| Dyslipidaemia, n (%) | 51 (57%) | 36 (58%) | p = 0.891 |
| Diabetes, n (%) | 19 (21%) | 14 (22%) | p = 0.82 |
| Smoker, n (%) | 0 (0%) | 0 (0%) | p < 0.001 |
| Non-smoker, n (%) | 36 (40%) | 55 (89%) | |
| Former smoker, n (%) | 26 (29%) | 3 (5%) | |
| Atrial fibrillation, n (%) | 2 (2%) | 12 (19%) | p = 0.003 |
| Ischemic cardiomyopathy, n (%) | 44 (49%) | 19 (30%) | p < 0.001 |
| Idiopathic dilated cardiomyopathy, n (%) | 18 (20%) | 55 (89%) | p < 0.001 |
| Acute heart failure, n (%) | 54 (61%) | 21 (34%) | p < 0.001 |
| Acute myocardial infarction, n (%) | 12 (13%) | 8 (13%) | p = 0.91 |
| Ischemic stroke, n (%) | 3 (3%) | 3 (3%) | p = NaN |
| Haemorrhagic stroke, n (%) | 2 (2%) | 0 (0%) | p = 0.080 |
| Haemoglobin (g/dL) | 13.5 ± 8 | 13.3 ± 7 | p = 0.083 |
| eGFR (mg/dL/1.73 m2) | 45 ± 6 | 47 ± 6 | p = 0.079 |
| NT-proBNP (pg/mL) | 2518 ± 211 | 1835 ± 233 | p < 0.001 |
| ARNI, n (%) | 49 (55%) | 62 (100%) | p < 0.001 |
| ACE inhibitor, n (%) | 0 (0%) | 0 (0%) | p = NaN |
| ARB, n (%) | 6 (7%) | 0 (0%) | p = 0.003 |
| Beta-blocker, n (%) | 57 (64%) | 62 (100%) | p < 0.001 |
| SGLT2 inhibitor, n (%) | 75 (84%) | 57 (92%) | p = 0.009 |
| MRA, n (%) | 75 (84%) | 62 (100%) | p = 0.001 |
| Loop diuretic, n (%) | 69 (78%) | 58 (94%) | p < 0.001 |
| CIED | p = 0.009 | ||
| PM, n (%) | 6 (7%) | 0 (0%) | |
| ICD, n (%) | 68 (76%) | 58 (93%) | |
| CRT, n (%) | 15 (17%) | 4 (7%) | |
| LV EDD (mm) | 72 ± 8 | 59 ± 15 | p < 0.001 |
| LV ESD (mm) | 59 ± 9 | 45 ± 16 | p < 0.001 |
| LV EDVi (mL/m2) | 140 ± 18 | 91 ± 30 | p < 0.001 |
| LV ESVi (mL/m2) | 107 ± 20 | 59 ± 36 | p < 0.001 |
| LV EF (%) | 24 ± 7 | 36 ± 12 | p < 0.001 |
| LAVi (mL/m2) | 63 ± 24 | 50 ± 23 | p = 0.002 |
| E/e’ | 12 ± 5 | 10 ± 5 | p = 0.081 |
| RV mid EDD (mm) | 30 ± 4 | 31 ± 3 | p = 0.064 |
| TAPSE (mm) | 18 ± 4 | 19 ± 4 | p = 0.124 |
| TDI s’ (cm/s) | 9.0 ± 0.2 | 10.0 ± 0.2 | p = 0.021 |
| RVFAC (%) | 39 ± 7 | 42 ± 5 | p < 0.001 |
| Mitral regurgitation | p = 0.006 | ||
| mild, n (%) | 18 (20%) | 35 (56%) | |
| moderate, n (%) | 15 (17%) | 13 (21%) | |
| severe, n (%) | 11 (12%) | 5 (8%) | |
| Mitral stenosis | p = NaN | ||
| mild, n (%) | 0 (0%) | 0 (0%) | |
| moderate, n (%) | 0 (0%) | 0 (0%) | |
| severe, n (%) | 0 (0%) | 0 (0%) | |
| Aortic regurgitation | p = 0.010 | ||
| mild, n (%) | 0 (0%) | 6 (10%) | |
| moderate, n (%) | 0 (0%) | 3 (5%) | |
| severe, n (%) | 0 (0%) | 0 (0%) | |
| Aortic stenosis | p = NaN | ||
| mild, n (%) | 0 (0%) | 0 (0%) | |
| moderate, n (%) | 0 (0%) | 0 (0%) | |
| severe, n (%) | 0 (0%) | 0 (0%) | |
| Tricuspid regurgitation | p < 0.001 | ||
| mild, n (%) | 54 (61%) | 58 (96%) | |
| moderate, n (%) | 8 (9%) | 2 (2%) | |
| severe, n (%) | 0 (0%) | 2 (2%) | |
| VAC | 3.9 ± 1.0 | 1.9 ± 0.9 | p < 0.001 |
| Ea (mL/mmHg) | 1.9 ± 1.0 | 1.9 ± 0.5 | p = 0.250 |
| Ees (mL/mmHg) | 0.5 ± 0.2 | 1.2 ± 0.4 | p < 0.001 |
| LVGLS (%) | −5 ± 1 | −11 ± 4 | p < 0.001 |
| LVGWI (mmHg%) | 403 ± 165 | 1026 ± 509 | p < 0.001 |
| LVGCW (mmHg%) | 839 ± 427 | 1418 ± 892 | p < 0.001 |
| LVGWW (mmHg%) | 476 ± 381 | 334 ± 187 | p < 0.001 |
| LVGWE (%) | 68 ± 12 | 80 ± 12 | p < 0.001 |
| PALS (%) | 9 ± 6 | 17 ± 12 | p < 0.001 |
| PACS (%) | 4 ± 4 | 7 ± 9 | p < 0.001 |
| RV fwRVLS (%) | −14 ± 5 | −18 ± 8 | p < 0.001 |
| pVO2 (mL/min) | 12 ± 9 | 16 ± 8 | p < 0.001 |
| %VO2 (%) | 49 ± 11 | 59 ± 13 | p < 0.001 |
| VE/VCO2 slope | 35 ± 10 | 32 ± 10 | p = 0.004 |
| pVO2/Work (mL*W/min) | 8.5 ± 2.1 | 9.2 ± 1.1 | p = 0.019 |
| AT VO2% (%) | 35 ± 8 | 43 ± 11 | p < 0.001 |
| sPAP (mmHg) | 37 ± 12 | 30 ± 12 | p < 0.001 |
| dPAP (mmHg) | 16 ± 6 | 11 ± 4 | p < 0.001 |
| mPAP (mmHg) | 25 ± 7 | 21 ± 8 | p < 0.001 |
| PCWP (mmHg) | 17 ± 7 | 13 ± 6 | p < 0.001 |
| TPG (mmHg) | 8 ± 6 | 8 ± 5 | p = 0.587 |
| PVR (WU) | 2.2 ± 2.0 | 1.9 ± 1.3 | p = 0.074 |
| RVSWI (mmHg*mL/m2) | 530 ± 276 | 517 ± 302 | p = 0.723 |
| CI (mL/s*m2) | 1.9 ± 0.5 | 2.3 ± 0.7 | p < 0.001 |
| SVi (mL/m2) | 29 ± 8 | 34 ± 5 | p = 0.005 |
| PAPi | 3.8 ± 2.0 | 4.0 ± 1.3 | p = 0.631 |
| %VO2 | VE/VCO2 Slope | VO2/Work Slope | AT %VO2 | sPAP | PALS | Ees | |
|---|---|---|---|---|---|---|---|
| LVGWI | R = 0.488, R2 = 0.238, p < 0.001 | R = 0.192, R2 = 0.0370, p = 0.018 | R = 0.48, R2 = 0.23, p < 0.001 | R = 0.268, R2 = 0.0719, p < 0.001 | R = 0.564, R2 = 0.318, p < 0.001 | R = 0.709, R2 = 502, p < 0.001 | |
| LVGCW | R = 0.148, R2 = 0.0218, p = 0.007 | R = 0.479, R2 = 0.230, p < 0.001 | R = 0.288, R2 = 0.0827, p < 0.001 | R = 0.678, R2 = 0.459, p < 0.001 | |||
| LVGWW | R = −0.209, R2 = 0.0438, p = 0.01 | R = −0.271, R2 = 0.0732, p < 0.001 | |||||
| LVGWE | R = 0.337, R2 = 0.114, p < 0.001 | R = 0.254, R2 = 0.0645, p = 0.002 |
Disclaimer/Publisher’s Note: The statements, opinions and data contained in all publications are solely those of the individual author(s) and contributor(s) and not of MDPI and/or the editor(s). MDPI and/or the editor(s) disclaim responsibility for any injury to people or property resulting from any ideas, methods, instructions or products referred to in the content. |
© 2025 by the authors. Licensee MDPI, Basel, Switzerland. This article is an open access article distributed under the terms and conditions of the Creative Commons Attribution (CC BY) license (https://creativecommons.org/licenses/by/4.0/).
Share and Cite
Martini, L.; Pagliaro, A.; Aboumarie, H.S.; Maccherini, M.; Valente, S.; Mandoli, G.E.; Henein, M.Y.; Cameli, M. Myocardial Work’s Impact in the Evaluation of Advanced Heart Failure. Hearts 2025, 6, 24. https://doi.org/10.3390/hearts6030024
Martini L, Pagliaro A, Aboumarie HS, Maccherini M, Valente S, Mandoli GE, Henein MY, Cameli M. Myocardial Work’s Impact in the Evaluation of Advanced Heart Failure. Hearts. 2025; 6(3):24. https://doi.org/10.3390/hearts6030024
Chicago/Turabian StyleMartini, Luca, Antonio Pagliaro, Hatem Soliman Aboumarie, Massimo Maccherini, Serafina Valente, Giulia Elena Mandoli, Michael Y. Henein, and Matteo Cameli. 2025. "Myocardial Work’s Impact in the Evaluation of Advanced Heart Failure" Hearts 6, no. 3: 24. https://doi.org/10.3390/hearts6030024
APA StyleMartini, L., Pagliaro, A., Aboumarie, H. S., Maccherini, M., Valente, S., Mandoli, G. E., Henein, M. Y., & Cameli, M. (2025). Myocardial Work’s Impact in the Evaluation of Advanced Heart Failure. Hearts, 6(3), 24. https://doi.org/10.3390/hearts6030024

