Experimental Simulation of In Situ Axial Loading on Deep High-Pressure Frozen Ice
Abstract
1. Introduction
2. Materials and Methods
2.1. Experimental Instruments
2.2. Manufacturing Method for Cylindrical Pressure-Frozen Rce
2.3. Experimental Scheme
3. Results and Discussion
3.1. Deviatoric Stress–Axial Strain Curves
3.2. Peak Deviatoric Stress
3.3. Residual Deviatoric Stress
3.4. Tangent Modulus
3.5. Macroscopic Deformation and Failure Characteristics
4. Conclusions
- (1)
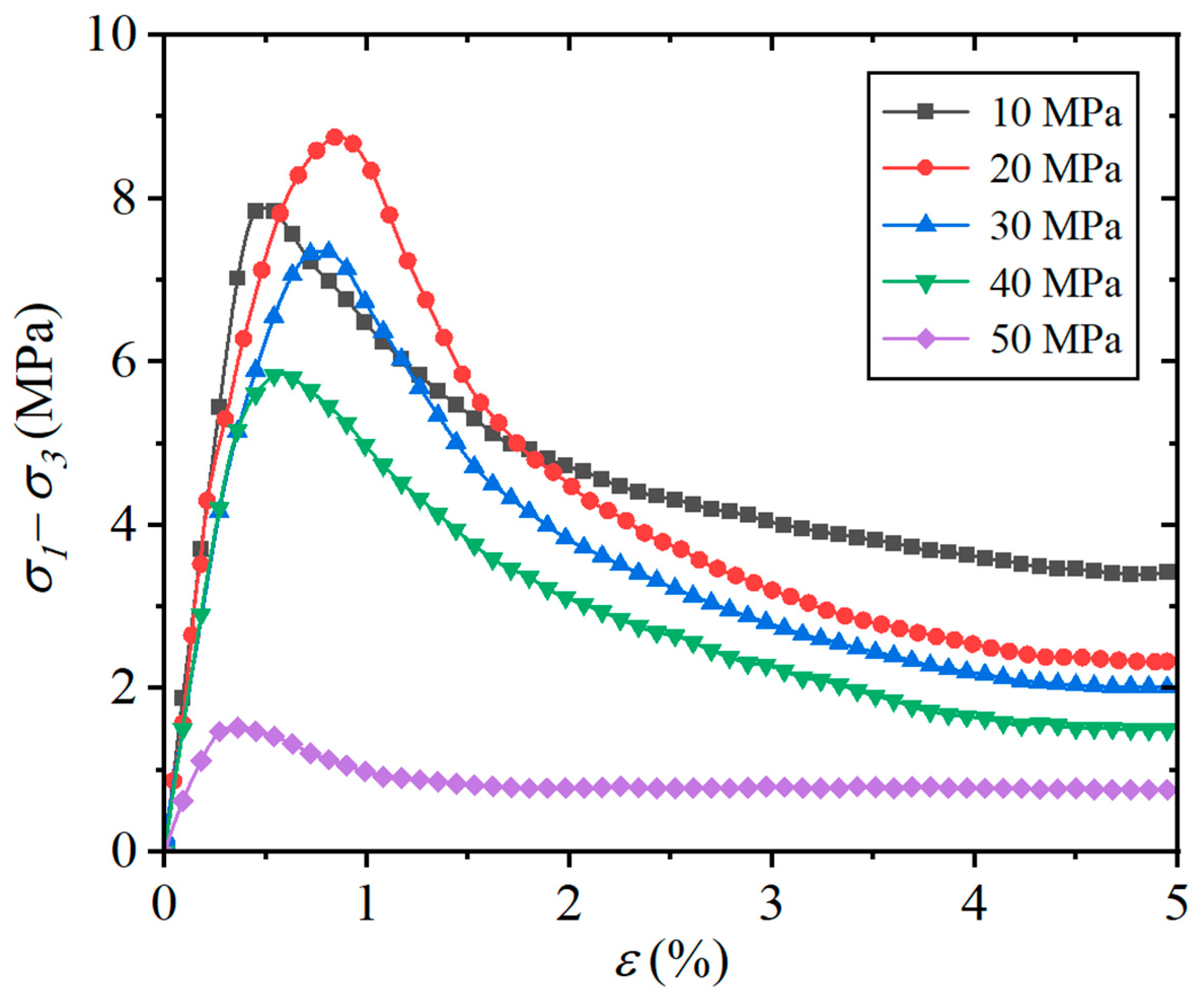
- Under all freezing pressures, the deviatoric stress–axial strain curves followed a consistent pattern, and each curve exhibited a rapid yet smooth transition around the peak deviatoric stress point, manifests as ductile failure characteristics. The peak deviatoric stress initially increased with rising freezing pressure, reaching a maximum value of 8.61 MPa at a critical transition pressure of 20 MPa, beyond which it progressively decreased, eventually declining to a minimum of 1.66 MPa at 50 MPa. Notably, the axial strain corresponding to the peak deviatoric stress are all below 1%.
- (2)
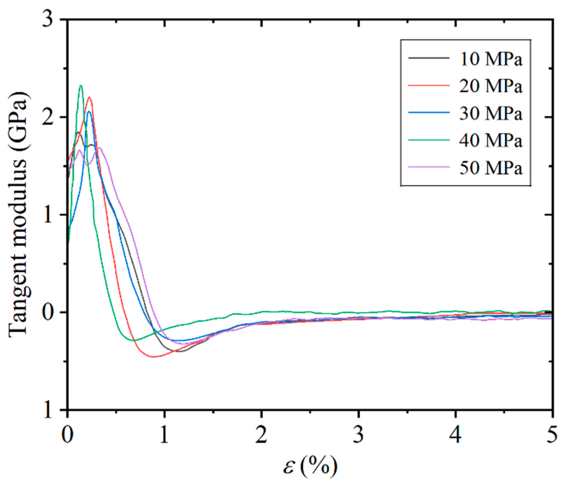
- At 5% axial strain, all specimens formed under varying freezing pressures entered the residual stage, characterized by relatively stable stress levels. The residual deviatoric stress decreased significantly with increasing freezing pressure, declining from approximately 3.5 MPa at 10 MPa to 0.85 MPa at 50 MPa, corresponding to a total reduction of 75.7%. An axial strain of 2% marks the transition point at which the tangent modulus shifts from a fluctuating stage to a stable stage. The peak tangent modulus demonstrated a fluctuating trend with increasing freezing pressure, ranging from 1.76 to 2.37 GPa.
- (3)
- In these triaxial shear experiments, the deformed ice specimens did not exhibit the typical oblique fractures commonly observed in conventional geomaterials. Under freezing pressures of 10 and 20 MPa, the ice specimens developed interconnected crack networks upon failure. As the freezing pressure increased to 30 MPa, the failed ice specimens exhibited high transparency. When the pressure was further elevated to 40 and 50 MPa, the damaged specimens showed reduced transparency with limited microcracking, demonstrating significantly fewer cracks compared to the specimens frozen at 10 and 20 MPa.
Author Contributions
Funding
Institutional Review Board Statement
Informed Consent Statement
Data Availability Statement
Conflicts of Interest
References
- Chen, C.; Zhou, J.; Zhou, T.; Yong, W. Evaluation of vertical shaft stability in underground mines: Comparison of three weight methods with uncertainty theory. Nat. Hazards 2021, 109, 1457–1479. [Google Scholar] [CrossRef]
- Fabian, S.G.; Gallagher, S.J.; De Vleeschouwer, D. British–Irish Ice Sheet and polar front history of the Goban Spur, offshore southwest Ireland over the last 250 000 years. Boreas 2023, 52, 476–497. [Google Scholar] [CrossRef]
- Yu, Q.; Miao, H.; He, X.; Lin, M.; Guo, R.; Zhang, K. Experimental study on influence of additional stress induced by hydrophobic drainage on vertical shaft-lining. Min. Metall. Explor. 2023, 40, 667–689. [Google Scholar] [CrossRef]
- Liu, H.; Zhang, C.; Wang, D. Study and Application of Freezing Method Construction in Macheng Iron Ore Mine. Min. Eng. 2018, 16, 15–19. (In Chinese) [Google Scholar]
- Levin, L.; Golovatyi, I.; Zaitsev, A.; Pugin, A.; Semin, M. Thermal monitoring of frozen wall thawing after artificial ground freezing: Case study of Petrikov Potash Mine. Tunn. Undergr. Space Technol. 2021, 107, 103685. [Google Scholar] [CrossRef]
- Wu, T.; Zhou, X.; Zhang, L.; Zhang, X.; He, X.; Xu, Y. Theory and technology of real-time temperature field monitoring of vertical shaft frozen wall under high-velocity groundwater conditions. Cold Reg. Sci. Technol. 2021, 189, 103337. [Google Scholar] [CrossRef]
- Wang, Y.S.; Yang, R. Monitoring and analysis of the stress and deformation of shaft lining and the influence of freezing tube fracture in deep topsoil. Cold Reg. Sci. Technol. 2022, 193, 103420. [Google Scholar] [CrossRef]
- Schindler, U.; Chrisopoulos, S.; Cudmani, R. Artificial ground freezing applications using an advanced elastic-viscoplastic model for frozen granular soils. Cold Reg. Sci. Technol. 2023, 215, 103964. [Google Scholar] [CrossRef]
- Cui, G. Mechanics of frozen soil for deep alluvium: A new field of frozen soil mechanics. J. Glaciol. Geocryol. 1998, 20, 97–100. (In Chinese) [Google Scholar]
- Livingstone, S.J.; Li, Y.; Rutishauser, A.; Sanderson, R.J.; Winter, K.; Mikucki, J.A.; Bjornsson, H.; Bowling, J.S.; Chu, W.; Dow, C.F.; et al. Subglacial lakes and their changing role in a warming climate. Nat. Rev. Earth Environ. 2022, 3, 106–124. [Google Scholar] [CrossRef]
- Talalay, P.G. Deep drilling in Antarctic ice: Methods and perspectives. Earth-Sci. Rev. 2023, 243, 104471. [Google Scholar] [CrossRef]
- Ma, B.; Teng, J.; Li, H.; Zhang, S.; Cai, G.; Sheng, D. A new strength criterion for frozen soil considering pore ice content. Int. J. Geomech. 2022, 22, 04022107. [Google Scholar] [CrossRef]
- Zheng, H.; Yang, N.; Si, J.; Ma, C.; Kanie, S. Influence of ice skeleton on the mechanical behavior of frozen soil under uniaxial compression. Cold Reg. Sci. Technol. 2024, 228, 104327. [Google Scholar] [CrossRef]
- Chang, X.; Liu, W.; Zuo, G.; Dou, Y.; Li, Y. Research on ultrasonic-based investigation of mechanical properties of ice. Acta Oceanol. Sin. 2021, 40, 97–105. [Google Scholar] [CrossRef]
- Xue, W.; Yao, Z.; Jing, W.; Song, H. Mechanical damage and failure behavior of shaft-lining concrete after exposure to high pore-water pressure. J. Mater. Civ. Eng. 2020, 32, 04019339. [Google Scholar] [CrossRef]
- Hu, J.; Yao, Z.; Xu, Y.; Wang, R.; Hu, K. The preparation and performance research and application of high performance steel fiber reinforced concrete in deep and large freezing shaft. Mater. Res. Express 2025, 12, 055501. [Google Scholar] [CrossRef]
- Bo, D. Hydraulic Load of Underground Structure inPore Water Bearing Rock. Ph.D. Thesis, China University of Mining & Technology, Xuzhou, China, 2015. (In Chinese). [Google Scholar]
- Silber, E.A.; Johnson, B.C.; Bjonnes, E.; MacGregor, J.A.; Larsen, N.K.; Wiggins, S.E. Effect of ice sheet thickness on formation of the Hiawatha impact crater. Earth Planet. Sci. Lett. 2021, 566, 116972. [Google Scholar] [CrossRef]
- Reading, A.M.; Stal, T.; Halpin, J.A.; Losing, M.; Ebbing, J.; Shen, W.; McCormack, F.S.; Siddoway, C.S.; Hasterok, D. Antarctic geothermal heat flow and its implications for tectonics and ice sheets. Nat. Rev. Earth Environ. 2022, 3, 814–831. [Google Scholar] [CrossRef]
- Gow, A.J. Relaxation of ice in deep drill cores from Antarctica. J. Geophys. Res. 1971, 76, 2533–2541. [Google Scholar] [CrossRef]
- Siegert, M.J.; Kwok, R.; Mayer, C.; Hubbard, B. Water exchange between the subglacial Lake Vostok and the overlying ice sheet. Nature 2000, 403, 643–646. [Google Scholar] [CrossRef]
- Neff, P.D. A review of the brittle ice zone in polar ice cores. Ann. Glaciol. 2014, 55, 72–82. [Google Scholar] [CrossRef]
- Carr, M.H.; Belton, M.J.; Chapman, C.R.; Davies, M.E.; Geissler, P.; Greenberg, R.; McEwen, A.S.; Tufts, B.R.; Greeley, R.; Sullivan, R.; et al. Evidence for a subsurface ocean on Europa. Nature 1998, 391, 363–365. [Google Scholar] [CrossRef] [PubMed]
- Han, S.; Yang, B.; Yang, B.; Zhang, G. Numerical simulation of heterogeneous ice sheet-structure interaction based on cohesive element method. Appl. Ocean Res. 2024, 145, 103942. [Google Scholar] [CrossRef]
- Liang, G.; Xiao, E.; Dong, X.; Tang, X.; Hu, B.; Zhang, Z.; Sun, B. Mechanical properties of antarctic blue ice: Effects of strain rate and temperature on strength parameters. Constr. Build. Mater. 2025, 489, 142178. [Google Scholar] [CrossRef]
- Dong, G.; Lai, R.; Dai, Y.; Guo, Z.; Wu, M. Experimental Study of the Mechanical Properties of River Ice in the Harbin Section of the Songhua River. J. Cold Reg. Eng. 2025, 39, 06025001. [Google Scholar] [CrossRef]
- Dutta, P.K.; Cole, D.M.; Schulson, E.M.; Sodhi, D.S. Fracture study of ice under high strain rate loading. In Proceedings of the ISOPE International Ocean and Polar Engineering Conference, Honolulu, HI, USA, 25–30 May 2003. [Google Scholar]
- Gharamti, I.E.; Dempsey, J.P.; Polojarvi, A.; Tuhkuri, J. Creep and fracture of warm columnar freshwater ice. Cryosphere 2021, 15, 2401–2413. [Google Scholar] [CrossRef]
- Farid, H.; Saeidi, A.; Farzaneh, M. Prediction of failure in atmospheric ice under triaxial compressive stress. Cold Reg. Sci. Technol. 2017, 138, 46–56. [Google Scholar] [CrossRef]
- Wang, B.; Sun, P.; Luo, T.; Zhang, T.; Yang, W. Freezing Pressurized Water into a Standard Cylindrical Ice Sample in a Triaxial Cell. Geofluids 2021, 2021, 6678966. [Google Scholar] [CrossRef]
- Wang, B.; Yang, W.; Sun, P.; Huang, X.; Zhang, Y.; Cheng, F. Experimental study on the influence of freezing pressure on the uniaxial mechanical properties of ice. Adv. Civ. Eng. 2021, 2021, 8651467. [Google Scholar] [CrossRef]
- Sun, P.; Yang, W.; Tuhkuri, J. Mechanical properties of pressure-frozen ice under triaxial compressive stress. J. Glaciol. 2024, 70, e3. [Google Scholar] [CrossRef]
- Sun, P. Triaxial Compression Mechanical Properties and Strength Formation Mechanism of In-Situ High-pressure Frozen Columnar Ice Samples. Ph.D. Thesis, China University of Mining & Technology, Xuzhou, China, 2024. (In Chinese). [Google Scholar]
- Boutrid, A.; Mamen, B.; Djouama, M.C.; Chettibi, M. Depth effect on sandstone strength properties. REM-Int. Eng. J. 2019, 72, 353–361. [Google Scholar] [CrossRef]
- Qin, S.; Zhao, X.; Yu, W.; Song, J.; Wu, T. Experimental Study on the Mechanical Properties of Deep Granite under Gradient-Confining Pressure. Appl. Sci. 2024, 14, 4598. [Google Scholar] [CrossRef]









| Case | Freezing Pressure (MPa) | Test Temperature (°C) | Strain Loading Rate (s−1) |
|---|---|---|---|
| 1 | 10 | −10 | 1.5 × 10−5 |
| 2 | 20 | ||
| 3 | 30 | ||
| 4 | 40 | ||
| 5 | 50 |
Disclaimer/Publisher’s Note: The statements, opinions and data contained in all publications are solely those of the individual author(s) and contributor(s) and not of MDPI and/or the editor(s). MDPI and/or the editor(s) disclaim responsibility for any injury to people or property resulting from any ideas, methods, instructions or products referred to in the content. |
© 2025 by the authors. Licensee MDPI, Basel, Switzerland. This article is an open access article distributed under the terms and conditions of the Creative Commons Attribution (CC BY) license (https://creativecommons.org/licenses/by/4.0/).
Share and Cite
Zhang, Y.; Yang, Z.; Han, T.; Ding, Y.; Yang, W.; Sun, P. Experimental Simulation of In Situ Axial Loading on Deep High-Pressure Frozen Ice. Appl. Sci. 2025, 15, 10042. https://doi.org/10.3390/app151810042
Zhang Y, Yang Z, Han T, Ding Y, Yang W, Sun P. Experimental Simulation of In Situ Axial Loading on Deep High-Pressure Frozen Ice. Applied Sciences. 2025; 15(18):10042. https://doi.org/10.3390/app151810042
Chicago/Turabian StyleZhang, Yu, Zhijiang Yang, Tao Han, Ying Ding, Weihao Yang, and Peixin Sun. 2025. "Experimental Simulation of In Situ Axial Loading on Deep High-Pressure Frozen Ice" Applied Sciences 15, no. 18: 10042. https://doi.org/10.3390/app151810042
APA StyleZhang, Y., Yang, Z., Han, T., Ding, Y., Yang, W., & Sun, P. (2025). Experimental Simulation of In Situ Axial Loading on Deep High-Pressure Frozen Ice. Applied Sciences, 15(18), 10042. https://doi.org/10.3390/app151810042

