Sign in to use this feature.

Years

Between: -

Subjects

remove_circle_outline
remove_circle_outline
remove_circle_outline
remove_circle_outline
remove_circle_outline

Journals

Article Types

Countries / Regions

Search Results (41)

Search Parameters:
Keywords = lipid phosphate phosphatase

Order results
Result details
Results per page
Select all
Export citation of selected articles as:
20 pages, 2368 KB  
Article
Unlocking the Antidiabetic Potential of CBD: In Vivo Preclinical Studies
by Elena Rafailovska, Elona Xhemaili, Zorica Naumovska, Olga Gigopulu, Biljana Miova, Ljubica Suturkova and Gjoshe Stefkov
Pharmaceuticals 2025, 18(4), 446; https://doi.org/10.3390/ph18040446 - 21 Mar 2025
Cited by 2 | Viewed by 1894
Abstract
Background/Objectives: Diabetes mellitus is a growing global health concern, driving the exploration of new therapies like cannabidiol (CBD), which shows potential in improving insulin sensitivity and glycemic control, though its effects on glucose metabolism remain unclear. This study evaluates CBD’s dose-dependent effects [...] Read more.
Background/Objectives: Diabetes mellitus is a growing global health concern, driving the exploration of new therapies like cannabidiol (CBD), which shows potential in improving insulin sensitivity and glycemic control, though its effects on glucose metabolism remain unclear. This study evaluates CBD’s dose-dependent effects on glycemia, insulin, and hepatic carbohydrate metabolism in diabetic rats. Methods: The Oral Glucose Tolerance Test (OGTT) was performed in healthy rats to compare intragastric vs. intraperitoneal CBD (0.5, 5, 50 mg/kg). Diabetic rats were treated with intragastric CBD (25, 50, 100 mg/kg) or metformin (70 mg/kg) for 8 days. Blood glucose, insulin, lipid profiles, and key carbohydrate-metabolizing enzymes were analyzed. Results: In the OGTT, intragastric CBD reduced glycemic AUC, with 50 mg/kg showing the strongest effect, while intraperitoneal CBD had no impact. In diabetic rats, metformin and 25 mg/kg CBD lowered blood glucose, but only CBD increased insulin. The 50 mg/kg dose caused the greatest glucose reduction and moderate insulin rise, while 100 mg/kg had no effect. At 25 mg/kg, CBD inhibited glucose-6-phosphatase and increased glucose-6-phosphate. The 50 mg/kg dose further suppressed gluconeogenic enzymes, reduced glycogen phosphorylase and liver glucose, and enhanced glucose-6-phosphate, showing the strongest metabolic effects. The 100 mg/kg dose increased hexokinase but had weaker metabolic effects. Metformin improved glucose utilization and glycogen storage. CBD at 25 and 50 mg/kg reduced triacylglycerols and increased HDL, while 100 mg/kg had no effect. Conclusions: This study provides strong evidence of CBD’s antidiabetic potential, especially at 50 mg/kg, particularly through its modulation of glucose metabolism and tendency to regulate insulin levels. Full article
(This article belongs to the Special Issue Natural Products in Diabetes Mellitus: 2nd Edition)
Show Figures

Graphical abstract

11 pages, 2379 KB  
Article
Intradomain Allosteric Regulation of Soluble Epoxide Hydrolase by Its Substrates
by Shin Matsumura, Ayano Shida, Moeno Tsuchii, Mika Wada, Jimmy Charneau, Motonori Tsuji, Keiji Hasumi and Eriko Suzuki
Int. J. Mol. Sci. 2024, 25(24), 13496; https://doi.org/10.3390/ijms252413496 - 17 Dec 2024
Viewed by 1554
Abstract
Soluble epoxide hydrolase (sEH) is a bifunctional enzyme with epoxide hydrolase activity in the C-terminal domain (C-EH) and lipid phosphate phosphatase activity in the N-terminal domain (N-phos). The C-EH hydrolyzes bioactive epoxy fatty acids such as epoxyeicosatrienoic acid (EET). The N-phos hydrolyzes lipid [...] Read more.
Soluble epoxide hydrolase (sEH) is a bifunctional enzyme with epoxide hydrolase activity in the C-terminal domain (C-EH) and lipid phosphate phosphatase activity in the N-terminal domain (N-phos). The C-EH hydrolyzes bioactive epoxy fatty acids such as epoxyeicosatrienoic acid (EET). The N-phos hydrolyzes lipid phosphomonesters, including the signaling molecules of lysophosphatidic acid (LPA). Here, we report that the C-EH and N-phos are reciprocally regulated by their respective substrates. Full-length sEH (sEH-FL) showed positive cooperativity toward the substrate for each domain. Similar cooperativity was found when truncated enzymes having only C- and N-terminal domains, sEH-C and sEH-N, respectively, were used, suggesting an intra-domain nature of the cooperativity. In addition, the N-phos substrate LPA inhibited C-EH activity in sEH-FL and sEH-C equally. Similarly, the C-EH substrate EET inhibited N-phos activity. Structural and kinetic data suggest the presence of allosteric sites in each domain of the sEH enzyme, which share the binding of LPA and EET. Thus, each of the two sEH activities is regulated by a substrate of its own and by that of the other domain. This mechanism may explain why sEH has evolved to have two different enzyme activities, which possibly allows sEH to balance the metabolism of bioactive lipids. Full article
(This article belongs to the Special Issue The Role of Enzymes in Metabolic Processes)
Show Figures

Figure 1

11 pages, 860 KB  
Article
Influence of Alkaline Reduced Water Supplementation on Glucose and Lipid Metabolism in Non-Diabetic and Diabetic Rats
by Chung-Hsiung Huang, Ying-Chiun Chao and Meng-Tsan Chiang
Nutrients 2024, 16(23), 4082; https://doi.org/10.3390/nu16234082 - 27 Nov 2024
Cited by 2 | Viewed by 1918
Abstract
Background: With the global increase in metabolic disorders, identifying effective dietary strategies is crucial for enhancing health outcomes. While various health advantages of alkaline reduced water (ARW) have been documented, its specific impacts on glucose and lipid metabolism in both healthy and diabetic [...] Read more.
Background: With the global increase in metabolic disorders, identifying effective dietary strategies is crucial for enhancing health outcomes. While various health advantages of alkaline reduced water (ARW) have been documented, its specific impacts on glucose and lipid metabolism in both healthy and diabetic conditions are still not well understood. Methods: This study investigates how ARW affects carbohydrate and lipid metabolism in male Wistar rats, which were induced to develop glucose metabolism disorders through subcutaneous injections of nicotinamide and streptozotocin (STZ). The rats were allocated into four groups: one group received distilled water, another ARW, with similar arrangements for both non-diabetic and diabetic rats. Throughout the six-week experiment, the rats had unrestricted access to food and water. At the end of the study, blood and tissue samples were collected post-euthanasia for further analysis. Results: Non-diabetic rats consuming ARW experienced significant decreases in plasma glucose, triglycerides, cholesterol, insulin, leptin, and TBARS levels, along with reduced activities of hepatic hexokinase and intestinal sucrase. Meanwhile, there were increases in hepatic antioxidant enzyme activities, such as glutathione peroxidase and glucose-6-phosphate dehydrogenase, although glutathione levels decreased. In diabetic rats, ARW supplementation notably reduced plasma glucose and the glucose area under the curve, lowered hepatic glucose-6-phosphatase and intestinal disaccharidase activities, and raised hepatic GSH levels. Conclusions: These findings suggest that ARW supplementation significantly enhances glucose and lipid metabolism and boosts antioxidant activity in both non-diabetic and diabetic rats, indicating its potential as a therapeutic aid for managing metabolic disorders. Full article
(This article belongs to the Special Issue Dietary Manipulations: Advances in Metabolism Disease)
Show Figures

Figure 1

12 pages, 1979 KB  
Article
Exogenous Methyl Jasmonate Alleviates Mechanical Damage in Banana Fruit by Regulating Membrane Lipid Metabolism
by Chunxia Huang, Ping Yi, Jing Li, Lihong Xie, Fang Huang, Min Huang, Ting Gan, Jian Sun and Li Li
Foods 2024, 13(19), 3132; https://doi.org/10.3390/foods13193132 - 30 Sep 2024
Cited by 4 | Viewed by 1463
Abstract
Bananas are economically important fruits, but they are vulnerable to mechanical damage during harvesting and transport. This study examined the effects of methyl jasmonate (MeJA) on the cell membrane integrity and membrane lipid metabolism of wounded banana fruits after harvest. The results showed [...] Read more.
Bananas are economically important fruits, but they are vulnerable to mechanical damage during harvesting and transport. This study examined the effects of methyl jasmonate (MeJA) on the cell membrane integrity and membrane lipid metabolism of wounded banana fruits after harvest. The results showed that 10 and 50 μM MeJA treatments on mechanically wounded bananas significantly delayed ripening and senescence in comparison with the control. At the end of storage, MeJA-treated groups showed a significant reduction in electrolyte leakage and malondialdehyde content, indicating that MeJA protected cell membrane integrity. MeJA also led to a significant decrease in the activity of antioxidant enzymes, including lipoxygenase, diacylglycerol kinase, and lipid phosphate phosphatase. Furthermore, MeJA reduced phospholipase (C and D), phosphatidic acid, and diacylglycerol levels, as well as slowed down the decrease in phosphatidylcholine and phosphatidylinositol contents. Compared to the control, MeJA significantly downregulated the expression of MaPLDγ, MaPLDα, and MaPLDζ. Therefore, MeJA treatment could be a reliable method to delay the senescence of harvested banana fruits subjected to mechanical wounding. Full article
Show Figures

Graphical abstract

59 pages, 2461 KB  
Review
From Classical to Alternative Pathways of 2-Arachidonoylglycerol Synthesis: AlterAGs at the Crossroad of Endocannabinoid and Lysophospholipid Signaling
by Fabienne Briand-Mésange, Isabelle Gennero, Juliette Salles, Stéphanie Trudel, Lionel Dahan, Jérôme Ausseil, Bernard Payrastre, Jean-Pierre Salles and Hugues Chap
Molecules 2024, 29(15), 3694; https://doi.org/10.3390/molecules29153694 - 4 Aug 2024
Cited by 2 | Viewed by 4887
Abstract
2-arachidonoylglycerol (2-AG) is the most abundant endocannabinoid (EC), acting as a full agonist at both CB1 and CB2 cannabinoid receptors. It is synthesized on demand in postsynaptic membranes through the sequential action of phosphoinositide-specific phospholipase Cβ1 (PLCβ1) and diacylglycerol lipase α (DAGLα), contributing [...] Read more.
2-arachidonoylglycerol (2-AG) is the most abundant endocannabinoid (EC), acting as a full agonist at both CB1 and CB2 cannabinoid receptors. It is synthesized on demand in postsynaptic membranes through the sequential action of phosphoinositide-specific phospholipase Cβ1 (PLCβ1) and diacylglycerol lipase α (DAGLα), contributing to retrograde signaling upon interaction with presynaptic CB1. However, 2-AG production might also involve various combinations of PLC and DAGL isoforms, as well as additional intracellular pathways implying other enzymes and substrates. Three other alternative pathways of 2-AG synthesis rest on the extracellular cleavage of 2-arachidonoyl-lysophospholipids by three different hydrolases: glycerophosphodiesterase 3 (GDE3), lipid phosphate phosphatases (LPPs), and two members of ecto-nucleotide pyrophosphatase/phosphodiesterases (ENPP6–7). We propose the names of AlterAG-1, -2, and -3 for three pathways sharing an ectocellular localization, allowing them to convert extracellular lysophospholipid mediators into 2-AG, thus inducing typical signaling switches between various G-protein-coupled receptors (GPCRs). This implies the critical importance of the regioisomerism of both lysophospholipid (LPLs) and 2-AG, which is the object of deep analysis within this review. The precise functional roles of AlterAGs are still poorly understood and will require gene invalidation approaches, knowing that both 2-AG and its related lysophospholipids are involved in numerous aspects of physiology and pathology, including cancer, inflammation, immune defenses, obesity, bone development, neurodegeneration, or psychiatric disorders. Full article
(This article belongs to the Special Issue Bioactive Lipids in Inflammatory Diseases)
Show Figures

Figure 1

36 pages, 3799 KB  
Review
Sphingolipid-Induced Bone Regulation and Its Emerging Role in Dysfunction Due to Disease and Infection
by Anouska Seal, Megan Hughes, Fei Wei, Abinaya S. Pugazhendhi, Christopher Ngo, Jonathan Ruiz, Jonathan D. Schwartzman and Melanie J. Coathup
Int. J. Mol. Sci. 2024, 25(5), 3024; https://doi.org/10.3390/ijms25053024 - 5 Mar 2024
Cited by 15 | Viewed by 4073
Abstract
The human skeleton is a metabolically active system that is constantly regenerating via the tightly regulated and highly coordinated processes of bone resorption and formation. Emerging evidence reveals fascinating new insights into the role of sphingolipids, including sphingomyelin, sphingosine, ceramide, and sphingosine-1-phosphate, in [...] Read more.
The human skeleton is a metabolically active system that is constantly regenerating via the tightly regulated and highly coordinated processes of bone resorption and formation. Emerging evidence reveals fascinating new insights into the role of sphingolipids, including sphingomyelin, sphingosine, ceramide, and sphingosine-1-phosphate, in bone homeostasis. Sphingolipids are a major class of highly bioactive lipids able to activate distinct protein targets including, lipases, phosphatases, and kinases, thereby conferring distinct cellular functions beyond energy metabolism. Lipids are known to contribute to the progression of chronic inflammation, and notably, an increase in bone marrow adiposity parallel to elevated bone loss is observed in most pathological bone conditions, including aging, rheumatoid arthritis, osteoarthritis, and osteomyelitis. Of the numerous classes of lipids that form, sphingolipids are considered among the most deleterious. This review highlights the important primary role of sphingolipids in bone homeostasis and how dysregulation of these bioactive metabolites appears central to many chronic bone-related diseases. Further, their contribution to the invasion, virulence, and colonization of both viral and bacterial host cell infections is also discussed. Many unmet clinical needs remain, and data to date suggest the future use of sphingolipid-targeted therapy to regulate bone dysfunction due to a variety of diseases or infection are highly promising. However, deciphering the biochemical and molecular mechanisms of this diverse and extremely complex sphingolipidome, both in terms of bone health and disease, is considered the next frontier in the field. Full article
Show Figures

Figure 1

12 pages, 2273 KB  
Article
HPLC-MS/MS Analysis for Sphingosine 1-Phosphate after the Dephosphorylation by Hydrogen Fluoride
by Hee-Jung Kim, Seo-Hyeon Jung, Shokhid Gulyamov, Hyun-Gy Lee, Oybek Boyjigitov and Yong-Moon Lee
Separations 2024, 11(1), 34; https://doi.org/10.3390/separations11010034 - 18 Jan 2024
Cited by 1 | Viewed by 3069
Abstract
Sphingosine 1-phosphate (S1P) is a signaling lipid molecule involved in various cellular processes. It is important to develop a quantitative method for S1P to determine endogenous levels and to investigate its functions. As S1P is a tiny lipid component of most biological samples, [...] Read more.
Sphingosine 1-phosphate (S1P) is a signaling lipid molecule involved in various cellular processes. It is important to develop a quantitative method for S1P to determine endogenous levels and to investigate its functions. As S1P is a tiny lipid component of most biological samples, highly sensitive analysis by LC-MS/MS is required. The main challenge in S1P analysis by chromatography is peak-broadening due to the presence of a polar phosphate and the fact that S1P is indeed a zwitterion itself. In this study, we used hydrogen fluoride (HF) to efficiently remove a phosphate and then analyzed the surrogate, sphingosine, as a sharp peak by LC-ESI-MS/MS. We optimized the dephosphorylation reaction in terms of temperature and reaction time. Multiple reaction monitoring (MRM) for a dephosphorylated form of S1P and C17-S1P as an internal standard at m/z transition 300.4 > 282.4 (quantification ion), 300.4 > 262.4 (qualification ion), 286.3 > 268.2 (internal standard) was conducted. This method was validated by essential parameters such as specificity, linearity, range, LOQ, LOD, accuracy, precision, and repeatability. To confirm this new method, we quantified S1P levels in various serum products (100.0~284.4 nM). In the sample pretreatment conditions for extracting S1P, the concern about potential sphingosine contamination in serum was negligible. The dephosphorylation efficiency by this method was about two-fold higher than that of alkaline phosphatase (APase). To apply the method in vivo, we analyzed S1P in plasma and kidney tissues obtained from a chronic kidney disease (CKD) mouse model. S1P levels were increased only in CKD kidney tissue but not in plasma. In conclusion, by applying the dephosphorylation step with HF, we established a new, sensitive LC-MS/MS quantitative method for S1P that can be applied to biological samples. Full article
Show Figures

Figure 1

18 pages, 3333 KB  
Article
Assessment of Liver Toxicity in Wistar Rats after Chronic Exposure to Phosphate-Processing Wastewaters from Gafsa-Metlaoui Laundry in Tunisia
by Bouthaina Brahmi, Emna Nasri, Amel Moula, Anouar Feriani, Nizar Tlili, Demetrio Raldua, Eduardo Alberto López-Maldonado and Mohamed Ali Borgi
Water 2024, 16(2), 214; https://doi.org/10.3390/w16020214 - 7 Jan 2024
Cited by 2 | Viewed by 3961
Abstract
In the mining basin of the Gafsa region in southwestern Tunisia, environmental exposure to randomly discharged phosphate-processing wastewaters (PPWW) presents a serious threat to health and the surrounding ecosystems. Thus, the contaminated areas are in continuous deterioration over time. There is a paucity [...] Read more.
In the mining basin of the Gafsa region in southwestern Tunisia, environmental exposure to randomly discharged phosphate-processing wastewaters (PPWW) presents a serious threat to health and the surrounding ecosystems. Thus, the contaminated areas are in continuous deterioration over time. There is a paucity of information on the deleterious effects of this kind of effluent. In the current work, the PPWW characterization showed the presence of high contents of Pb (0.90 ± 0.02 mg/L), Cd (0.35 ± 0.27 mg/L), Cr (0.43 ± 0.1 mg/L) and Fe (215.1 ± 2.41 mg/L), exceeding the permissible limits. To assess the chronic toxicity of the effluent in mammalians, two doses of PPWW (50% and 100%) were administered by gavage to Wistar rats for 28 consecutive days. The results revealed that the two PPWW concentrations significantly increased the plasma biochemical markers (bilirubin, alanine aminotransferase (ALT), aspartate aminotransferase (AST), alkaline phosphatase (ALP), and lactate dehydrogenase (LDH)), compared to untreated animals. Moreover, PPWW treatment severely altered the lipid profile by increasing the contents of triglycerides, total cholesterol (TC), and low-density lipoprotein cholesterol (LDL-cholesterol) by 143%, 114%, and 91%, respectively, and significantly reduced the high-density lipoprotein cholesterol (HDL-cholesterol) level by 46%, compared to the control animals. In addition to the significant decrease in activities of superoxide dismutase (SOD), catalase (CAT), and glutathione peroxidase (GPx) in the liver of intoxicated rats, the malondialdehyde (MDA) level was remarkably altered. All of these were associated with deep histopathological damages, materialized by dilatation of sinusoids, congestion of the centrilobular vein, and inflammatory cell infiltration. These disturbances were accompanied by metal detection in the liver and blood. Additionally, DNA fragmentation detected in hepatic tissues highlighted the genotoxic effects of PPWW. All of the aforementioned effects occurred in a PPWW dose-dependent manner. These findings evidenced, for the first time, the in vivo-deleterious impacts of this type of effluent on mammalians inhabiting the mining basin area and therefore showed the real threats to which humans, as consumers, could be exposed. Accordingly, there is a dire need to pay special attention to PPWW before being discharged into environmental ecosystems without any prior treatments. Full article
Show Figures

Figure 1

24 pages, 3394 KB  
Article
Biosynthesis of the Inner Core of Bordetella pertussis Lipopolysaccharides: Effect of Mutations on LPS Structure, Cell Division, and Toll-like Receptor 4 Activation
by Jesús Pérez-Ortega, Ria van Boxtel, Michel Plisnier, Dominique Ingels, Nathalie Devos, Steven Sijmons and Jan Tommassen
Int. J. Mol. Sci. 2023, 24(24), 17313; https://doi.org/10.3390/ijms242417313 - 9 Dec 2023
Cited by 5 | Viewed by 3341
Abstract
Previously developed whole-cell vaccines against Bordetella pertussis, the causative agent of whooping cough, appeared to be too reactogenic due to their endotoxin content. Reduction in endotoxicity can generally be achieved through structural modifications in the lipid A moiety of lipopolysaccharides (LPS). In [...] Read more.
Previously developed whole-cell vaccines against Bordetella pertussis, the causative agent of whooping cough, appeared to be too reactogenic due to their endotoxin content. Reduction in endotoxicity can generally be achieved through structural modifications in the lipid A moiety of lipopolysaccharides (LPS). In this study, we found that dephosphorylation of lipid A in B. pertussis through the heterologous production of the phosphatase LpxE from Francisella novicida did, unexpectedly, not affect Toll-like receptor 4 (TLR4)-stimulating activity. We then focused on the inner core of LPS, whose synthesis has so far not been studied in B. pertussis. The kdtA and kdkA genes, responsible for the incorporation of a single 3-deoxy-D-manno-oct-2-ulosonic acid (Kdo) residue in the inner core and its phosphorylation, respectively, appeared to be essential. However, the Kdo-bound phosphate could be replaced by a second Kdo after the heterologous production of Escherichia coli kdtA. This structural change in the inner core affected outer-core and lipid A structures and also bacterial physiology, as reflected in cell filamentation and a switch in virulence phase. Furthermore, the eptB gene responsible for the non-stoichiometric substitution of Kdo-bound phosphate with phosphoethanolamine was identified and inactivated. Interestingly, the constructed inner-core modifications affected TLR4-stimulating activity. Whereas endotoxicity studies generally focus on the lipid A moiety, our data demonstrate that structural changes in the inner core can also affect TLR4-stimulating activity. Full article
(This article belongs to the Special Issue Lipopolysaccharides 2.0)
Show Figures

Figure 1

31 pages, 3113 KB  
Article
Literature-Based Discovery to Elucidate the Biological Links between Resistant Hypertension and COVID-19
by David Kartchner, Kevin McCoy, Janhvi Dubey, Dongyu Zhang, Kevin Zheng, Rushda Umrani, James J. Kim and Cassie S. Mitchell
Biology 2023, 12(9), 1269; https://doi.org/10.3390/biology12091269 - 21 Sep 2023
Cited by 4 | Viewed by 4043
Abstract
Multiple studies have reported new or exacerbated persistent or resistant hypertension in patients previously infected with COVID-19. We used literature-based discovery to identify and prioritize multi-scalar explanatory biology that relates resistant hypertension to COVID-19. Cross-domain text mining of 33+ million PubMed articles within [...] Read more.
Multiple studies have reported new or exacerbated persistent or resistant hypertension in patients previously infected with COVID-19. We used literature-based discovery to identify and prioritize multi-scalar explanatory biology that relates resistant hypertension to COVID-19. Cross-domain text mining of 33+ million PubMed articles within a comprehensive knowledge graph was performed using SemNet 2.0. Unsupervised rank aggregation determined which concepts were most relevant utilizing the normalized HeteSim score. A series of simulations identified concepts directly related to COVID-19 and resistant hypertension or connected via one of three renin–angiotensin–aldosterone system hub nodes (mineralocorticoid receptor, epithelial sodium channel, angiotensin I receptor). The top-ranking concepts relating COVID-19 to resistant hypertension included: cGMP-dependent protein kinase II, MAP3K1, haspin, ral guanine nucleotide exchange factor, N-(3-Oxododecanoyl)-L-homoserine lactone, aspartic endopeptidases, metabotropic glutamate receptors, choline-phosphate cytidylyltransferase, protein tyrosine phosphatase, tat genes, MAP3K10, uridine kinase, dicer enzyme, CMD1B, USP17L2, FLNA, exportin 5, somatotropin releasing hormone, beta-melanocyte stimulating hormone, pegylated leptin, beta-lipoprotein, corticotropin, growth hormone-releasing peptide 2, pro-opiomelanocortin, alpha-melanocyte stimulating hormone, prolactin, thyroid hormone, poly-beta-hydroxybutyrate depolymerase, CR 1392, BCR-ABL fusion gene, high density lipoprotein sphingomyelin, pregnancy-associated murine protein 1, recQ4 helicase, immunoglobulin heavy chain variable domain, aglycotransferrin, host cell factor C1, ATP6V0D1, imipramine demethylase, TRIM40, H3C2 gene, COL1A1+COL1A2 gene, QARS gene, VPS54, TPM2, MPST, EXOSC2, ribosomal protein S10, TAP-144, gonadotropins, human gonadotropin releasing hormone 1, beta-lipotropin, octreotide, salmon calcitonin, des-n-octanoyl ghrelin, liraglutide, gastrins. Concepts were mapped to six physiological themes: altered endocrine function, 23.1%; inflammation or cytokine storm, 21.3%; lipid metabolism and atherosclerosis, 17.6%; sympathetic input to blood pressure regulation, 16.7%; altered entry of COVID-19 virus, 14.8%; and unknown, 6.5%. Full article
(This article belongs to the Special Issue Machine Learning Applications in Biology)
Show Figures

Figure 1

14 pages, 2183 KB  
Article
Impacts of a DUF2207 Family Protein on Streptococcus mutans Stress Tolerance Responses and Biofilm Formation
by Xiaochang Huang, Camile G. Laird, Paul P. Riley and Zezhang Tom Wen
Microorganisms 2023, 11(8), 1982; https://doi.org/10.3390/microorganisms11081982 - 1 Aug 2023
Cited by 1 | Viewed by 1925
Abstract
Locus SMU.243 in Streptococcus mutans was annotated as a member of the DUF2207 family proteins highly conserved in all bacteria but with unknown function. To investigate its role in S. mutans physiology, a SMU.243-deficient mutant was constructed using allelic exchange mutagenesis, and the [...] Read more.
Locus SMU.243 in Streptococcus mutans was annotated as a member of the DUF2207 family proteins highly conserved in all bacteria but with unknown function. To investigate its role in S. mutans physiology, a SMU.243-deficient mutant was constructed using allelic exchange mutagenesis, and the impacts of SMU.243 deletion on bacterial growth, stress tolerance response, and biofilm formation were analyzed. Compared to the wild-type UA159, S. mutans lacking SMU.243 displayed a reduced growth rate and a reduced overnight culture density (p < 0.01) when grown at low pH and in the presence of methyl viologen. Relative to the parent strain, the deficient mutant also had a reduced survival rate following incubation in a buffer of pH 2.8 (p < 0.01) and in a buffer containing hydrogen peroxide at 58 mM after 60 min (p < 0.001) and had a reduced capacity in biofilm formation especially in the presence of sucrose (p < 0.01). To study any ensuing functional/phenotypical links between SMU.243 and uppP, which is located immediately downstream of SMU.243 and encodes an undecaprenyl pyrophosphate phosphatase involved in recycling of carrier lipid undecaprenyl phosphate, a uppP deficient mutant was generated using allelic exchange mutagenesis. Unlike the SMU.243 mutant, deletion of uppP affected cell envelope biogenesis and caused major increases in susceptibility to bacitracin. In addition, two variant morphological mutants, one forming rough colonies and the other forming mucoid, smooth colonies, also emerged following the deletion of uppP. The results suggest that the SMU.243-encoded protein of the DUF2207 family in S. mutans plays an important role in stress tolerance response and biofilm formation, but unlike the downstream uppP, does not seem to be involved in cell envelope biogenesis, although the exact roles in S. mutans’ physiology awaits further investigation. Full article
(This article belongs to the Special Issue Bacterial Biofilm Microenvironments: Their Interactions and Functions)
Show Figures

Figure 1

16 pages, 31639 KB  
Article
The Lipid Phosphate Phosphatase Wunen Promotes Eggshell Formation and Is Essential for Fertility in Drosophila
by Amrita Mukherjee, Michaela Schuppe and Andrew D. Renault
Biology 2023, 12(7), 1003; https://doi.org/10.3390/biology12071003 - 14 Jul 2023
Viewed by 2178
Abstract
The eggshell that surrounds insect eggs acts as a barrier, protecting against biotic factors and desiccation. The eggshell is a multi-layered structure which is synthesised by the somatic follicle cells that surround the developing oocyte. Although the temporal order of expression of the [...] Read more.
The eggshell that surrounds insect eggs acts as a barrier, protecting against biotic factors and desiccation. The eggshell is a multi-layered structure which is synthesised by the somatic follicle cells that surround the developing oocyte. Although the temporal order of expression of the protein eggshell components goes someway to explaining how the different layers are built up, but how the precise three-dimensional structure is achieved and how lipid components responsible for desiccation resistance are incorporated are poorly understood. In this paper, we demonstrate that wunen, which encodes a lipid phosphate phosphatase, is necessary for fertility in Drosophila females. Compared to sibling controls, females null for wunen lay fewer eggs which subsequently collapse such that no larvae emerge. We show that this is due to a requirement for wunen in the ovarian follicle cells which is needed to produce an ordered and functional eggshell. Knockdown of a septate junction component also results in collapsed eggs, supporting the idea that similar to its role in embryonic tracheal development, Wunen in follicle cells also promotes septate junction function. Full article
(This article belongs to the Section Cell Biology)
Show Figures

Figure 1

9 pages, 668 KB  
Communication
Multiple Inositol Polyphosphate Phosphatase Compartmentalization Separates Inositol Phosphate Metabolism from Inositol Lipid Signaling
by Jia Yu, Barbara Leibiger, Shao-Nian Yang, Stephen B. Shears, Ingo B. Leibiger, Per-Olof Berggren and Christopher J. Barker
Biomolecules 2023, 13(6), 885; https://doi.org/10.3390/biom13060885 - 24 May 2023
Cited by 5 | Viewed by 3061
Abstract
Multiple inositol polyphosphate phosphatase (MINPP1) is an enigmatic enzyme that is responsible for the metabolism of inositol hexakisphosphate (InsP6) and inositol 1,3,4,5,6 pentakisphosphate (Ins(1,3,4,5,6)P5 in mammalian cells, despite being restricted to the confines of the ER. The reason [...] Read more.
Multiple inositol polyphosphate phosphatase (MINPP1) is an enigmatic enzyme that is responsible for the metabolism of inositol hexakisphosphate (InsP6) and inositol 1,3,4,5,6 pentakisphosphate (Ins(1,3,4,5,6)P5 in mammalian cells, despite being restricted to the confines of the ER. The reason for this compartmentalization is unclear. In our previous studies in the insulin-secreting HIT cell line, we expressed MINPP1 in the cytosol to artificially reduce the concentration of these higher inositol phosphates. Undocumented at the time, we noted cytosolic MINPP1 expression reduced cell growth. We were struck by the similarities in substrate preference between a number of different enzymes that are able to metabolize both inositol phosphates and lipids, notably IPMK and PTEN. MINPP1 was first characterized as a phosphatase that could remove the 3-phosphate from inositol 1,3,4,5-tetrakisphosphate (Ins(1,3,4,5)P4). This molecule shares strong structural homology with the major product of the growth-promoting Phosphatidyl 3-kinase (PI3K), phosphatidylinositol 3,4,5-trisphosphate (PtdIns(3,4,5)P3) and PTEN can degrade both this lipid and Ins(1,3,4,5)P4. Because of this similar substrate preference, we postulated that the cytosolic version of MINPP1 (cyt-MINPP1) may not only attack inositol polyphosphates but also PtdIns(3,4,5)P3, a key signal in mitogenesis. Our experiments show that expression of cyt-MINPP1 in HIT cells lowers the concentration of PtdIns(3,4,5)P3. We conclude this reflects a direct effect of MINPP1 upon the lipid because cyt-MINPP1 actively dephosphorylates synthetic, di(C4:0)PtdIns(3,4,5)P3 in vitro. These data illustrate the importance of MINPP1′s confinement to the ER whereby important aspects of inositol phosphate metabolism and inositol lipid signaling can be separately regulated and give one important clarification for MINPP1′s ER seclusion. Full article
Show Figures

Figure 1

16 pages, 2631 KB  
Article
Arabidopsis thaliana Sucrose Phosphate Synthase A2 Affects Carbon Partitioning and Drought Response
by Laura Bagnato, Edoardo Tosato, Libero Gurrieri, Paolo Trost, Giuseppe Forlani and Francesca Sparla
Biology 2023, 12(5), 685; https://doi.org/10.3390/biology12050685 - 6 May 2023
Cited by 13 | Viewed by 3412
Abstract
Sucrose is essential for plants for several reasons: It is a source of energy, a signaling molecule, and a source of carbon skeletons. Sucrose phosphate synthase (SPS) catalyzes the conversion of uridine diphosphate glucose and fructose-6-phosphate to sucrose-6-phosphate, which is rapidly dephosphorylated by [...] Read more.
Sucrose is essential for plants for several reasons: It is a source of energy, a signaling molecule, and a source of carbon skeletons. Sucrose phosphate synthase (SPS) catalyzes the conversion of uridine diphosphate glucose and fructose-6-phosphate to sucrose-6-phosphate, which is rapidly dephosphorylated by sucrose phosphatase. SPS is critical in the accumulation of sucrose because it catalyzes an irreversible reaction. In Arabidopsis thaliana, SPSs form a gene family of four members, whose specific functions are not clear yet. In the present work, the role of SPSA2 was investigated in Arabidopsis under both control and drought stress conditions. In seeds and seedlings, major phenotypic traits were not different in wild-type compared with spsa2 knockout plants. By contrast, 35-day-old plants showed some differences in metabolites and enzyme activities even under control conditions. In response to drought, SPSA2 was transcriptionally activated, and the divergences between the two genotypes were higher, with spsa2 showing reduced proline accumulation and increased lipid peroxidation. Total soluble sugars and fructose concentrations were about halved compared with wild-type plants, and the plastid component of the oxidative pentose phosphate pathway was activated. Unlike previous reports, our results support the involvement of SPSA2 in both carbon partitioning and drought response. Full article
(This article belongs to the Section Plant Science)
Show Figures

Figure 1

17 pages, 9699 KB  
Article
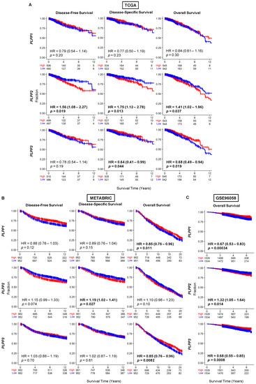
Decreased Lipid Phosphate Phosphatase 1/3 and Increased Lipid Phosphate Phosphatase 2 Expression in the Human Breast Cancer Tumor Microenvironment Promotes Tumor Progression and Immune System Evasion
by Matthew G. K. Benesch, Rongrong Wu, Xiaoyun Tang, David N. Brindley, Takashi Ishikawa and Kazuaki Takabe
Cancers 2023, 15(8), 2299; https://doi.org/10.3390/cancers15082299 - 14 Apr 2023
Cited by 5 | Viewed by 3137
Abstract
The LPP family is comprised of three enzymes that dephosphorylate bioactive lipid phosphates both intracellularly and extracellularly. Pre-clinical breast cancer models have demonstrated that decreased LPP1/3 with increased LPP2 expression correlates to tumorigenesis. This though has not been well verified in human specimens. [...] Read more.
The LPP family is comprised of three enzymes that dephosphorylate bioactive lipid phosphates both intracellularly and extracellularly. Pre-clinical breast cancer models have demonstrated that decreased LPP1/3 with increased LPP2 expression correlates to tumorigenesis. This though has not been well verified in human specimens. In this study, we correlate LPP expression data to clinical outcomes in over 5000 breast cancers from three independent cohorts (TCGA, METABRIC, and GSE96058), investigate biological function using gene set enrichment analysis (GSEA) and the xCell cell-type enrichment analysis, and confirm sources of LPP production in the tumor microenvironment (TME) using single-cell RNA-sequencing (scRNAseq) data. Decreased LPP1/3 and increased LPP2 expression correlated to increased tumor grade, proliferation, and tumor mutational burden (all p < 0.001), as well as worse overall survival (hazard ratios 1.3–1.5). Further, cytolytic activity was decreased, consistent with immune system invasion. GSEA data demonstrated multiple increased inflammatory signaling, survival, stemness, and cell signaling pathways with this phenotype across all three cohorts. scRNAseq and the xCell algorithm demonstrated that most tumor LPP1/3 was expressed by endothelial cells and tumor-associated fibroblasts and LPP2 by cancer cells (all p < 0.01). Restoring the balance in LPP expression levels, particularly through LPP2 inhibition, could represent novel adjuvant therapeutic options in breast cancer treatment. Full article
(This article belongs to the Section Molecular Cancer Biology)
Show Figures

Figure 1

Back to TopTop