Sign in to use this feature.

Years

Between: -

Subjects

remove_circle_outline
remove_circle_outline
remove_circle_outline
remove_circle_outline
remove_circle_outline
remove_circle_outline
remove_circle_outline

Journals

Article Types

Countries / Regions

Search Results (60)

Search Parameters:
Keywords = light beacons

Order results
Result details
Results per page
Select all
Export citation of selected articles as:
30 pages, 7942 KB  
Article
Research on Agricultural Autonomous Positioning and Navigation System Based on LIO-SAM and Apriltag Fusion
by Xianping Guan, Hongrui Ge, Shicheng Nie and Yuhan Ding
Agronomy 2025, 15(12), 2731; https://doi.org/10.3390/agronomy15122731 - 27 Nov 2025
Viewed by 913
Abstract
The application of autonomous navigation in intelligent agriculture is becoming more and more extensive. Traditional navigation schemes in greenhouses, orchards, and other agricultural environments often have problems such as the inability to deal with an uneven illumination distribution, complex layout, highly repetitive and [...] Read more.
The application of autonomous navigation in intelligent agriculture is becoming more and more extensive. Traditional navigation schemes in greenhouses, orchards, and other agricultural environments often have problems such as the inability to deal with an uneven illumination distribution, complex layout, highly repetitive and similar structures, and difficulty in receiving GNSS (Global Navigation Satellite System) signals. In order to solve this problem, this paper proposes a new tightly coupled LiDAR (Light Detection and Ranging) inertial odometry SLAM (LIO-SAM) framework named April-LIO-SAM. The framework innovatively uses Apriltag, a two-dimensional bar code widely used for precise positioning, pose estimation, and scene recognition of objects as a global positioning beacon to replace GNSS to provide absolute pose observation. The system uses three-dimensional LiDAR (VLP-16) and IMU (inertial measurement unit) to collect environmental data and uses Apriltag as absolute coordinates instead of GNSS to solve the problem of unreliable GNSS signal reception in greenhouses, orchards, and other agricultural environments. The SLAM trajectories and navigation performance were validated in a carefully built greenhouse and orchard environment. The experimental results show that the navigation map developed by the April-LIO-SAM yields a root mean square error of 0.057 m. The average positioning errors are 0.041 m, 0.049 m, 0.056 m, and 0.070 m, respectively, when the density of Apriltag is 3 m, 5 m, and 7 m. The navigation experimental results indicate that, at speeds of 0.4, 0.3, and 0.2 m/s, the average lateral deviation is less than 0.053 m, with a standard deviation below 0.034 m. The average heading deviation is less than 2.3°, with a standard deviation below 1.6°. The positioning stability experiments under interference conditions such as illumination and occlusion were carried out. It was verified that the system maintained a good stability under complex external conditions, and the positioning error fluctuation was within 3.0 mm. The results confirm that the robot positioning and navigation accuracy of mobile robots satisfy the continuity in the facility. Full article
(This article belongs to the Special Issue Research Progress in Agricultural Robots in Arable Farming)
Show Figures

Figure 1

23 pages, 20249 KB  
Article
Machine Learning Models for Indoor Positioning Using Bluetooth RSSI and Video Data: A Case Study
by Tomás Mamede, Nuno Silva, Eduardo R. B. Marques and Luís M. B. Lopes
Sensors 2025, 25(21), 6640; https://doi.org/10.3390/s25216640 - 29 Oct 2025
Viewed by 1501
Abstract
Indoor Positioning Systems (IPSs) are essential for applications requiring accurate location awareness in indoor environments. However, achieving high precision remains challenging due to signal interference and environmental variability. This study proposes a multimodal IPS that integrates Bluetooth Received Signal Strength Indicator (RSSI) measurements [...] Read more.
Indoor Positioning Systems (IPSs) are essential for applications requiring accurate location awareness in indoor environments. However, achieving high precision remains challenging due to signal interference and environmental variability. This study proposes a multimodal IPS that integrates Bluetooth Received Signal Strength Indicator (RSSI) measurements and video imagery using machine learning (ML) and ensemble learning techniques. The system was implemented and deployed in the Hall of Biodiversity at the Natural History and Science Museum of the University of Porto. The venue presented significant deployment issues, namely restrictions on beacon placement and lighting conditions. We trained independent ML models on RSSI and video datasets, and combined them through ensemble learning methods. The experimental results from test scenarios, which included simulated visitor trajectories, showed that ensemble models consistently outperformed the RSSI-based and video-based models. These findings demonstrate that the use of multimodal data can significantly improve IPS accuracy despite constraints such as multipath interference, low lighting, and limited beacon infrastructure. Overall, they highlight the potential of multimodal data for deployments in complex indoor environments. Full article
(This article belongs to the Section Communications)
Show Figures

Figure 1

21 pages, 5202 KB  
Article
Robust Underwater Docking Visual Guidance and Positioning Method Based on a Cage-Type Dual-Layer Guiding Light Array
by Ziyue Wang, Xingqun Zhou, Yi Yang, Zhiqiang Hu, Qingbo Wei, Chuanzhi Fan, Quan Zheng, Zhichao Wang and Zhiyu Liao
Sensors 2025, 25(20), 6333; https://doi.org/10.3390/s25206333 - 14 Oct 2025
Cited by 1 | Viewed by 737
Abstract
Due to the limited and fixed field of view of the onboard camera, the guiding beacons gradually drift out of sight as the AUV approaches the docking station, resulting in unreliable positioning and intermittent data. This paper proposes an underwater autonomous docking visual [...] Read more.
Due to the limited and fixed field of view of the onboard camera, the guiding beacons gradually drift out of sight as the AUV approaches the docking station, resulting in unreliable positioning and intermittent data. This paper proposes an underwater autonomous docking visual localization method based on a cage-type dual-layer guiding light array. To address the gradual loss of beacon visibility during AUV approach, a rationally designed localization scheme employing a cage-type, dual-layer guiding light array is presented. A dual-layer light array localization algorithm is introduced to accommodate varying beacon appearances at different docking stages by dynamically distinguishing between front and rear guiding light arrays. Following layer-wise separation of guiding lights, a robust tag-matching framework is constructed for each layer. Particle swarm optimization (PSO) is employed for high-precision initial tag matching, and a filtering strategy based on distance and angular ratio consistency eliminates unreliable matches. Under extreme conditions with three missing lights or two spurious beacons, the method achieves 90.3% and 99.6% matching success rates, respectively. After applying filtering strategy, error correction using backtracking extended Kalman filter (BTEKF) brings matching success rate to 99.9%. Simulations and underwater experiments demonstrate stable and robust tag matching across all docking phases, with average detection time of 0.112 s, even when handling dual-layer arrays. The proposed method achieves continuous visual guidance-based docking for autonomous AUV recovery. Full article
(This article belongs to the Section Optical Sensors)
Show Figures

Figure 1

21 pages, 4678 KB  
Article
Impact of Beacon Feedback on Stabilizing RL-Based Power Optimization in SLM-Controlled FSO Uplinks Under Turbulence
by Erfan Seifi and Peter LoPresti
Photonics 2025, 12(10), 979; https://doi.org/10.3390/photonics12100979 - 1 Oct 2025
Viewed by 1084
Abstract
Atmospheric turbulence severely limits the stability and reliability of free-space optical (FSO) uplinks by inducing wavefront distortions and random intensity fluctuations. This study investigates the use of reinforcement learning (RL) with beacon-based feedback for adaptive beam shaping in a spatial light modulator (SLM)-controlled [...] Read more.
Atmospheric turbulence severely limits the stability and reliability of free-space optical (FSO) uplinks by inducing wavefront distortions and random intensity fluctuations. This study investigates the use of reinforcement learning (RL) with beacon-based feedback for adaptive beam shaping in a spatial light modulator (SLM)-controlled FSO link. The RL agent dynamically adjusts phase patterns to maximize received signal strength, while the beacon channel provides turbulence estimates that guide the optimization process. Experiments under low, moderate, and high turbulence levels demonstrate that incorporating beacon feedback can enhance link stability in severe conditions, reducing signal variability and suppressing extreme fluctuations. In low-turbulence scenarios, the performance is comparable to non-feedback operation, whereas under high turbulence, beacon-assisted control consistently achieves lower coefficients of variation and improved bit error rate (BER) performance. Under high turbulence replay experiments—where the best-performing RL-learned phase patterns are reapplied without learning—further show that configurations trained with feedback retain robustness, even without real-time turbulence measurements under high turbulence. These results highlight the potential of integrating contextual feedback with RL to achieve turbulence-resilient and stable optical uplinks in dynamic atmospheric environments. Full article
Show Figures

Graphical abstract

32 pages, 3005 KB  
Review
Photophysical Process of Hypocrellin-Based Photodynamic Therapy: An Efficient Antimicrobial Strategy for Overcoming Multidrug Resistance
by Pazhani Durgadevi, Koyeli Girigoswami and Agnishwar Girigoswami
Physics 2025, 7(3), 28; https://doi.org/10.3390/physics7030028 - 15 Jul 2025
Cited by 7 | Viewed by 2415
Abstract
The emergence of multidrug-resistant (MDR) bacteria and biofilm-associated infections has created a significant hurdle for conventional antibiotics, prompting the exploration of alternative strategies. Photodynamic therapy (PDT), a technique that utilizes photosensitizers activated by light to produce ROS, has emerged as a beacon of [...] Read more.
The emergence of multidrug-resistant (MDR) bacteria and biofilm-associated infections has created a significant hurdle for conventional antibiotics, prompting the exploration of alternative strategies. Photodynamic therapy (PDT), a technique that utilizes photosensitizers activated by light to produce ROS, has emerged as a beacon of hope in the fight against MDR microorganisms. Among the natural photosensitizers, hypocrellins (A and B) have shown remarkable potential with their dual-mode photodynamic action, generating ROS via both Type I (electron transfer) and Type II (singlet oxygen) pathways. This unique action disrupts bacterial biofilms and inactivates MDR pathogens. The amphiphilic nature of hypocrellins further enhances their promise, enabling deep biofilm penetration and ensuring potent antibacterial effects even in hypoxic environments, surpassing the capabilities of synthetic photosensitizers. This study critically examines the antimicrobial properties of hypocrellin-based PDT, emphasizing its mechanisms, advantages over traditional antibiotics, and effectiveness against MDR pathogens. Comparative analysis with other photosensitizers, the role of nanotechnology-enhanced delivery systems, and future clinical applications are explored. Its combination with nanotechnology enhances therapeutic outcomes, providing a viable alternative to conventional antibiotics. Further clinical research is essential to optimize its application and integration into antimicrobial treatment protocols. Full article
(This article belongs to the Section Biophysics and Life Physics)
Show Figures

Figure 1

19 pages, 1034 KB  
Article
Assessing Tractors’ Active Safety in Serbia: A Driving Simulator Study
by Sreten Simović, Aleksandar Trifunović, Tijana Ivanišević, Vaidas Lukoševičius and Larysa Neduzha
Sustainability 2025, 17(13), 6144; https://doi.org/10.3390/su17136144 - 4 Jul 2025
Cited by 1 | Viewed by 1238
Abstract
The active safety of tractors remains a major concern in rural road environments, where tractor drivers face high crash risks due to limited vehicle visibility. In Serbia, 1.4% of crashes involve tractors, mainly due to poor visibility (64.3%), lack of beacon lights, unsafe [...] Read more.
The active safety of tractors remains a major concern in rural road environments, where tractor drivers face high crash risks due to limited vehicle visibility. In Serbia, 1.4% of crashes involve tractors, mainly due to poor visibility (64.3%), lack of beacon lights, unsafe overtaking, and unmarked stopped tractors (14.3% each). These issues reduce safety, increase fuel consumption and emissions, and cause economic losses. A driving simulator study with 117 drivers examined how visibility equipment affects speed perception. The results showed that 20 km/h was best estimated with all visibility aids, while 10 km/h was most accurately judged with only the slow-moving vehicle emblem. These findings emphasize the potential for simple, cost-effective visibility measures to enhance the active safety of tractors in mixed rural traffic conditions. By enhancing tractor visibility, these measures reduce crash risks, minimize unnecessary acceleration and deceleration, and lower fuel consumption and emissions associated with traffic disturbances. Furthermore, by preventing crashes, these solutions contribute to reducing resource consumption in crash-related medical care, vehicle repairs, and infrastructure damage. Integrating improved visibility equipment into rural traffic policy can significantly enhance tractors’ active safety and reduce the risk of crashes in agricultural regions. Full article
(This article belongs to the Special Issue Transportation and Infrastructure for Sustainability)
Show Figures

Figure 1

18 pages, 5328 KB  
Article
“Tonight, These Lights Are Beacons of Hope for an AIDS-Free World”: Jewish Prayers of Remembrance and Healing for Those Affected by HIV/AIDS
by Elazar Ben-Lulu
Soc. Sci. 2025, 14(4), 220; https://doi.org/10.3390/socsci14040220 - 31 Mar 2025
Cited by 4 | Viewed by 1568
Abstract
Various religious responses to the AIDS epidemic were and still are often laden with stereotypes and homophobic attitudes, sometimes justifying the disease as a divine response to “sin”. This study is dedicated to examining prayers written by non-Orthodox gay rabbis to commemorate those [...] Read more.
Various religious responses to the AIDS epidemic were and still are often laden with stereotypes and homophobic attitudes, sometimes justifying the disease as a divine response to “sin”. This study is dedicated to examining prayers written by non-Orthodox gay rabbis to commemorate those lost to AIDS-related causes and to pray for healing and robust health for those living with the virus. In each of these prayers, most of which are recited on World AIDS Day (WAD), the worshiper is invited to remember the deceased and the hardships they endured, as well as to bless the present moment; those struggling with the virus; and the medical teams treating it. The textual analysis illustrates how AIDS liturgy reveals the congregation’s distinct religious–therapeutic egalitarian culture. These prayers serve as political instruments of resistance against AIDS-phobia and related stereotypes, demonstrating how LGBTQ+ collective memory can be constructed through religious liturgical texts rather than exclusively within secular frameworks. This is another way for non-Orthodox Jewish communities to signal their liberal agenda and distinguish themselves from conservative communities. Full article
Show Figures

Figure 1

21 pages, 11232 KB  
Article
Deep Learning-Based Docking Scheme for Autonomous Underwater Vehicles with an Omnidirectional Rotating Optical Beacon
by Yiyang Li, Kai Sun, Zekai Han and Jichao Lang
Drones 2024, 8(12), 697; https://doi.org/10.3390/drones8120697 - 21 Nov 2024
Cited by 4 | Viewed by 2184
Abstract
Visual recognition and localization of underwater optical beacons are critical for AUV docking, but traditional beacons are limited by fixed directionality and light attenuation in water. To extend the range of optical docking, this study designs a novel omnidirectional rotating optical beacon that [...] Read more.
Visual recognition and localization of underwater optical beacons are critical for AUV docking, but traditional beacons are limited by fixed directionality and light attenuation in water. To extend the range of optical docking, this study designs a novel omnidirectional rotating optical beacon that provides 360-degree light coverage over 45 m, improving beacon detection probability through synchronized scanning. Addressing the challenges of light centroid detection, we introduce a parallel deep learning detection algorithm based on an improved YOLOv8-pose model. Initially, an underwater optical beacon dataset encompassing various light patterns was constructed. Subsequently, the network was optimized by incorporating a small detection head, implementing dynamic convolution and receptive-field attention convolution for single-stage multi-scale localization. A post-processing method based on keypoint joint IoU matching was proposed to filter redundant detections. The algorithm achieved 93.9% AP at 36.5 FPS, with at least a 5.8% increase in detection accuracy over existing methods. Moreover, a light-source-based measurement method was developed to accurately detect the beacon’s orientation. Experimental results indicate that this scheme can achieve high-precision omnidirectional guidance with azimuth and pose estimation errors of -4.54° and 3.09°, respectively, providing a reliable solution for long-range and large-scale optical docking. Full article
Show Figures

Figure 1

15 pages, 3476 KB  
Article
Video-Based Analysis of a Smart Lighting Warning System for Pedestrian Safety at Crosswalks
by Margherita Pazzini, Leonardo Cameli, Valeria Vignali, Andrea Simone and Claudio Lantieri
Smart Cities 2024, 7(5), 2925-2939; https://doi.org/10.3390/smartcities7050114 - 10 Oct 2024
Cited by 6 | Viewed by 4519
Abstract
This study analyses five months of continuous monitoring of different lighting warning systems at a pedestrian crosswalk through video surveillance cameras during nighttime. Three different light signalling systems were installed near a pedestrian crossing to improve the visibility and safety of vulnerable road [...] Read more.
This study analyses five months of continuous monitoring of different lighting warning systems at a pedestrian crosswalk through video surveillance cameras during nighttime. Three different light signalling systems were installed near a pedestrian crossing to improve the visibility and safety of vulnerable road users: in-curb LED strips, orange flashing beacons, and asymmetric enhanced LED lighting. Seven different lighting configurations of the three systems were studied and compared with standard street lighting. The speed of vehicles for each pedestrian–driver interaction was also evaluated. This was then compared to the speed that vehicles should maintain in order to stop in time and allow pedestrians to cross the road safely. In all of the conditions studied, speeds were lower than those maintained in the five-month presence of standard street lighting (42.96 km/h). The results show that in conditions with dedicated flashing LED lighting, in-curb LED strips, and orange flashing beacons, most drivers (72%) drove at a speed that allowed the vehicle to stop safely compared to standard street lighting (10%). In addition, with this lighting configuration, the majority of vehicles (85%) stopped at pedestrian crossings, while in standard street lighting conditions only 26% of the users stopped to give way to pedestrians. Full article
Show Figures

Figure 1

19 pages, 5345 KB  
Article
Accurate Low Complexity Quadrature Angular Diversity Aperture Receiver for Visible Light Positioning
by Stefanie Cincotta, Adrian Neild, Kristian Helmerson, Michael Zenere and Jean Armstrong
Sensors 2024, 24(18), 6006; https://doi.org/10.3390/s24186006 - 17 Sep 2024
Cited by 3 | Viewed by 1838
Abstract
Despite the many potential applications of an accurate indoor positioning system (IPS), no universal, readily available system exists. Much of the IPS research to date has been based on the use of radio transmitters as positioning beacons. Visible light positioning (VLP) instead uses [...] Read more.
Despite the many potential applications of an accurate indoor positioning system (IPS), no universal, readily available system exists. Much of the IPS research to date has been based on the use of radio transmitters as positioning beacons. Visible light positioning (VLP) instead uses LED lights as beacons. Either cameras or photodiodes (PDs) can be used as VLP receivers, and position estimates are usually based on either the angle of arrival (AOA) or the strength of the received signal. Research on the use of AOA with photodiode receivers has so far been limited by the lack of a suitable compact receiver. The quadrature angular diversity aperture receiver (QADA) can fill this gap. In this paper, we describe a new QADA design that uses only three readily available parts: a quadrant photodiode, a 3D-printed aperture, and a programmable system on a chip (PSoC). Extensive experimental results demonstrate that this design provides accurate AOA estimates within a room-sized test chamber. The flexibility and programmability of the PSoC mean that other sensors can be supported by the same PSoC. This has the potential to allow the AOA estimates from the QADA to be combined with information from other sensors to form future powerful sensor-fusion systems requiring only one beacon. Full article
(This article belongs to the Special Issue Sensors and Techniques for Indoor Positioning and Localization)
Show Figures

Figure 1

42 pages, 8482 KB  
Review
Thermochromic Polymer Nanocomposites for the Heat Detection System: Recent Progress on Properties, Applications, and Challenges
by A. B. M. Supian, M. R. M. Asyraf, Agusril Syamsir, M. I. Najeeb, Abdulrahman Alhayek, Rayeh Nasr Al-Dala’ien, Gunasilan Manar and A. Atiqah
Polymers 2024, 16(11), 1545; https://doi.org/10.3390/polym16111545 - 30 May 2024
Cited by 24 | Viewed by 8649
Abstract
Reversible thermochromic polymers have emerged as compelling candidates in recent years, captivating attention for their application in heat detection systems. This comprehensive review navigates through the multifaceted landscape, intricately exploring both the virtues and hurdles inherent in their integration within these systems. Their [...] Read more.
Reversible thermochromic polymers have emerged as compelling candidates in recent years, captivating attention for their application in heat detection systems. This comprehensive review navigates through the multifaceted landscape, intricately exploring both the virtues and hurdles inherent in their integration within these systems. Their innate capacity to change colour in response to temperature fluctuations renders reversible thermochromic nanocomposites promising assets for heat detection technologies. However, despite their inherent potential, certain barriers hinder their widespread adoption. Factors such as a restricted colour spectrum, reliance on external triggers, and cost considerations have restrained their pervasive use. For instance, these polymer-based materials exhibit utility in the domain of building insulation, where their colour-changing ability serves as a beacon, flagging areas of heat loss or inadequate insulation, thus alerting building managers and homeowners to potential energy inefficiencies. Nevertheless, the limited range of discernible colours may impede precise temperature differentiation. Additionally, dependency on external stimuli, such as electricity or UV light, can complicate implementation and inflate costs. Realising the full potential of these polymer-based materials in heat detection systems necessitates addressing these challenges head-on. Continuous research endeavours aimed at augmenting colour diversity and diminishing reliance on external stimuli offer promising avenues to enhance their efficacy. Hence, this review aims to delve into the intricate nuances surrounding reversible thermochromic nanocomposites, highlighting their transformative potential in heat detection and sensing. By exploring their mechanisms, properties, and current applications, this manuscript endeavours to shed light on their significance, providing insights crucial for further research and potential applications. Full article
(This article belongs to the Special Issue Advances in Functional Polymer Coatings and Surfaces)
Show Figures

Figure 1

15 pages, 3825 KB  
Article
Study on the Difference in Wavefront Distortion on Beams Caused by Wavelength Differences in the Strong Turbulence Region
by Meimiao Han, Xizheng Ke and Jingyuan Liang
Appl. Sci. 2024, 14(11), 4692; https://doi.org/10.3390/app14114692 - 29 May 2024
Cited by 2 | Viewed by 1317
Abstract
In free-space optical communication, the transmission of signal light and beacon light of differing wavelengths through the same atmospheric channel encounters variations in how the atmospheric refractive index absorbs and scatters light. This leads to distinct degrees of wavefront aberrations between the signal [...] Read more.
In free-space optical communication, the transmission of signal light and beacon light of differing wavelengths through the same atmospheric channel encounters variations in how the atmospheric refractive index absorbs and scatters light. This leads to distinct degrees of wavefront aberrations between the signal and beacon lights. In this study, we employed statistical optics to derive wavefront phase structure functions for both signal and beacon lights under conditions of strong turbulence. We explored how wavefront distortion varies among beams of different wavelengths after propagation through such turbulent conditions. Our findings revealed that as the turbulence outer scale escalates, the difference in wavefront distortion between signal and beacon lights stabilizes after an initial increase, assuming constant wavelengths. Furthermore, we observed significant changes in the relative wavefront aberrations when the inner scale of turbulence surpasses the separation between two points on the receiving apertures. As the disparity in wavelength decreases, so does the difference in wavefront aberrations. Finally, we propose a method for correcting wavefront aberrations based on coefficients of Zernike polynomials corresponding to beams with different wavelengths. This approach is validated through simulation and experimentation, demonstrating an 11% enhancement in the signal-to-optical Strehl ratio and a 0.072 increase in spot energy after the addition of correction coefficients compared with before their inclusion. These results solidify the efficacy of our method in improving adaptive optics correction accuracy. Full article
(This article belongs to the Section Optics and Lasers)
Show Figures

Figure 1

19 pages, 3974 KB  
Article
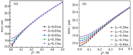
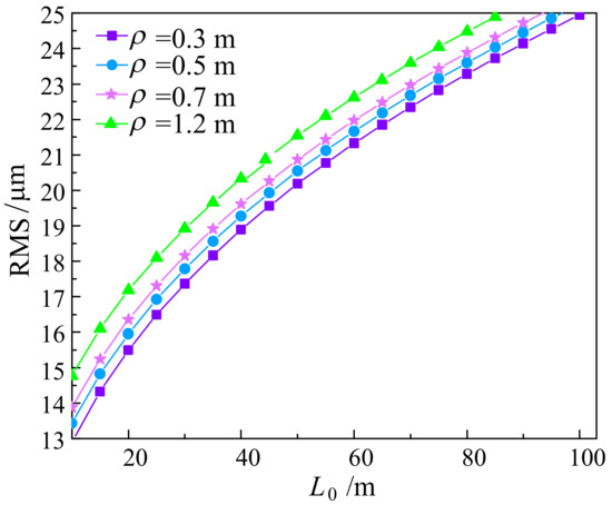
High-Precision Position Detection and Communication Fusion Technology Using Beacon Spread-Spectrum Modulation with Four-Quadrant Detector
by Shuai Chen, Xiaonan Yu, Jingmei Ye, Peng Lin, Ziqi Zhang, Tong Wang and Li Xu
Appl. Sci. 2024, 14(8), 3362; https://doi.org/10.3390/app14083362 - 16 Apr 2024
Cited by 2 | Viewed by 2523
Abstract
In space laser communication, the wide divergence angle of beacon light leads to substantial spatial losses, compounded by background light and detector noise; this results in compromised precision in the detection of the beacon light position. To solve this problem, a high-precision detection [...] Read more.
In space laser communication, the wide divergence angle of beacon light leads to substantial spatial losses, compounded by background light and detector noise; this results in compromised precision in the detection of the beacon light position. To solve this problem, a high-precision detection technique and communication composite technology employing a four-quadrant detector (QD) with beacon spread-spectrum modulation are proposed. Pseudo-random sequences (PRNs) are employed to spread the beacon communication spectrum, with the spread-spectrum signal utilized to modulate the intensity of the transmitted beacon light at the transmitter end. At the receiver, QD photocurrent signals are cross-correlated with an identical PRN that is used for modulation. The strong auto-correlation properties of PRNs, which are uncorrelated with noise, enhance the output signal-to-noise ratio (SNR), enabling precise position detection and beacon communication under high-SNR conditions. Theoretical analysis is used to explore the effects of spreading gain on the sensitivity of system detection and the precision of position detection. The experimental results demonstrate that the beacon spread-spectrum modulation scheme effectively detects the position of the light spot. At a received optical power of −37 dBm and spreading sequence PRN depths of 1023, 127, and 31, the root-mean-square error (RMSE) values are 0.983 μm, 2.876 μm, and 7.275 μm, respectively. This corresponds to improvements of 14.96 dB, 10.29, dB, and 6.26 dB compared to direct detection precision (30.811 μm). Additionally, under an identical signal bandwidth, the sensitivity improves by 14.6 dB, 10.1 dB, and 6.4 dB, respectively. The proposed beacon spread-spectrum scheme mitigates the limitations of hardware reception sensitivity and position-detection precision, demonstrating its potential application in high-precision detection in long-distance interstellar laser communication. Full article
(This article belongs to the Section Optics and Lasers)
Show Figures

Figure 1

11 pages, 2189 KB  
Article
Sub-Nanomolar Detection of Oligonucleotides Using Molecular Beacons Immobilized on Lightguiding Nanowires
by Therese B. Johansson, Rubina Davtyan, Julia Valderas-Gutiérrez, Adrian Gonzalez Rodriguez, Björn Agnarsson, Roberto Munita, Thoas Fioretos, Henrik Lilljebjörn, Heiner Linke, Fredrik Höök and Christelle N. Prinz
Nanomaterials 2024, 14(5), 453; https://doi.org/10.3390/nano14050453 - 29 Feb 2024
Cited by 4 | Viewed by 2261
Abstract
The detection of oligonucleotides is a central step in many biomedical investigations. The most commonly used methods for detecting oligonucleotides often require concentration and amplification before detection. Therefore, developing detection methods with a direct read-out would be beneficial. Although commonly used for the [...] Read more.
The detection of oligonucleotides is a central step in many biomedical investigations. The most commonly used methods for detecting oligonucleotides often require concentration and amplification before detection. Therefore, developing detection methods with a direct read-out would be beneficial. Although commonly used for the detection of amplified oligonucleotides, fluorescent molecular beacons have been proposed for such direct detection. However, the reported limits of detection using molecular beacons are relatively high, ranging from 100 nM to a few µM, primarily limited by the beacon fluorescence background. In this study, we enhanced the relative signal contrast between hybridized and non-hybridized states of the beacons by immobilizing them on lightguiding nanowires. Upon hybridization to a complementary oligonucleotide, the fluorescence from the surface-bound beacon becomes coupled in the lightguiding nanowire core and is re-emitted at the nanowire tip in a narrower cone of light compared with the standard 4π emission. Prior knowledge of the nanowire positions allows for the continuous monitoring of fluorescence signals from each nanowire, which effectively facilitates the discrimination of signals arising from hybridization events against background signals. This resulted in improved signal-to-background and signal-to-noise ratios, which allowed for the direct detection of oligonucleotides at a concentration as low as 0.1 nM. Full article
(This article belongs to the Section Biology and Medicines)
Show Figures

Figure 1

25 pages, 5518 KB  
Article
High-Altitude Precision Landing by Smartphone Video Guidance Sensor and Sensor Fusion
by Joao Leonardo Silva Cotta, Hector Gutierrez, Ivan R. Bertaska, John P. Inness and John Rakoczy
Drones 2024, 8(2), 37; https://doi.org/10.3390/drones8020037 - 25 Jan 2024
Cited by 5 | Viewed by 5127
Abstract
This paper describes the deployment, integration, and demonstration of the Smartphone Video Guidance Sensor (SVGS) as novel technology for autonomous 6-DOF proximity maneuvers and high-altitude precision landing of UAVs via sensor fusion. The proposed approach uses a vision-based photogrammetric position and attitude sensor [...] Read more.
This paper describes the deployment, integration, and demonstration of the Smartphone Video Guidance Sensor (SVGS) as novel technology for autonomous 6-DOF proximity maneuvers and high-altitude precision landing of UAVs via sensor fusion. The proposed approach uses a vision-based photogrammetric position and attitude sensor (SVGS) to support the precise automated landing of a UAV from an initial altitude above 100 m to ground, guided by an array of landing beacons. SVGS information is fused with other on-board sensors at the flight control unit to estimate the UAV’s position and attitude during landing relative to a ground coordinate system defined by the landing beacons. While the SVGS can provide mm-level absolute positioning accuracy depending on range and beacon dimensions, the proper operation of the SVGS requires a line of sight between the camera and the beacon, and readings can be disturbed by environmental lighting conditions and reflections. SVGS readings can therefore be intermittent, and their update rate is not deterministic since the SVGS runs on an Android device. The sensor fusion of the SVGS with on-board sensors enables an accurate and reliable update of the position and attitude estimates during landing, providing improved performance compared to state-of-art automated landing technology based on an infrared beacon, but its implementation must address the challenges mentioned above. The proposed technique also shows significant advantages compared with state-of-the-art sensors for High-Altitude Landing, such as those based on LIDAR. Full article
Show Figures

Figure 1

Back to TopTop