Sign in to use this feature.

Years

Between: -

Subjects

remove_circle_outline
remove_circle_outline
remove_circle_outline
remove_circle_outline
remove_circle_outline
remove_circle_outline
remove_circle_outline
remove_circle_outline
remove_circle_outline

Journals

remove_circle_outline
remove_circle_outline
remove_circle_outline
remove_circle_outline
remove_circle_outline
remove_circle_outline
remove_circle_outline
remove_circle_outline
remove_circle_outline
remove_circle_outline
remove_circle_outline

Article Types

Countries / Regions

remove_circle_outline
remove_circle_outline
remove_circle_outline
remove_circle_outline

Search Results (292)

Search Parameters:
Keywords = length of growing period

Order results
Result details
Results per page
Select all
Export citation of selected articles as:
14 pages, 2856 KB  
Article
Promotion of Sweet Potato Growth and Yield by Decreasing Soil CO2 Concentrations with Forced Aeration
by Yoshiaki Kitaya
Agronomy 2026, 16(1), 114; https://doi.org/10.3390/agronomy16010114 - 1 Jan 2026
Viewed by 164
Abstract
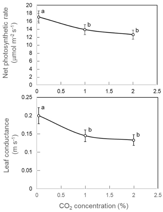
Effects of forced aeration on sweet potato growth and yield by decreasing CO2 concentrations in the rooting zone were investigated. The following four experiments were conducted with forced aeration in the rooting zone of sweet potato: (1) with air containing different CO [...] Read more.
Effects of forced aeration on sweet potato growth and yield by decreasing CO2 concentrations in the rooting zone were investigated. The following four experiments were conducted with forced aeration in the rooting zone of sweet potato: (1) with air containing different CO2 concentrations to clarify the effects of CO2 in the rooting zone on the net photosynthetic rate and leaf conductance, (2) with atmospheric air into cultivating soil ridges through porous pipes as a feasibility study, (3) with varying forced-aeration rates, and (4) with varying time intervals of forced aeration to find a more efficient aeration method. The results are summarized as follows: (1) During the six-week growing period, the mean values of net photosynthetic rates and leaf conductance for 1% CO2 and 2% CO2 were 0.8 and 0.7 times, respectively, those in the Control with 0.04% CO2. (2) When the aeration rate was 1.5 L min−1 per 1 m of ridge length, the CO2 concentration reduced to 0.1–0.2% in the rooting zone, whereas the control ridge with non-forced aeration was 0.5–1.4% CO2. The fresh and dry weight yields of sweet potato tubers were 1.18 and 1.19 times those of the control, respectively. (3) The CO2 concentrations decreased as the aeration rate increased. The dry weights of tuberous roots in forced-aeration ridges at aeration rates of 1.25 and 2.5 L min−1 were 1.19 and 1.26 times those in the control, respectively. Sweet potato growth was promoted when forced aeration reduced CO2 in the rooting zone. (4) The yield increased by 24% even when forced aeration was performed for just 15 min per day after irrigation. In conclusion, reducing rooting zone CO2 concentrations through forced aeration, even for 15 minutes daily, improves sweet potato yield by approximately 20%. Full article
Show Figures

Figure 1

17 pages, 2662 KB  
Article
Adapting Flax Production to Climate Change: Can a Spring Variety Be Grown in Winter?
by Adèle Hue, Coralie Buffet, Lèna Brionne, Johnny Beaugrand, Pierre D’Arras, Alain Bourmaud and Christophe Baley
Fibers 2026, 14(1), 2; https://doi.org/10.3390/fib14010002 - 19 Dec 2025
Viewed by 316
Abstract
Along the French-English Channel coast, fibre flax is traditionally cultivated in spring during a short window from March to July. However, increasingly frequent and severe spring droughts, driven by climate change, cast doubt on the sustainability of this practice. One possible adaptation, inspired [...] Read more.
Along the French-English Channel coast, fibre flax is traditionally cultivated in spring during a short window from March to July. However, increasingly frequent and severe spring droughts, driven by climate change, cast doubt on the sustainability of this practice. One possible adaptation, inspired by the winter cultivation of oilseed flax and tested over several years, involves extending the growing cycle by cultivating fibre flax in winter. In this system, seeds are sown in autumn, and the crop is harvested in early June. After four consecutive years of monitoring yield and fibre mechanical properties, a selected spring flax variety was grown both in winter 2022/2023 and in spring 2023 for direct comparison. This period included a mild winter favourable for winter crops, and a spring drought that severely impacted spring crops. Plants from the winter crop produced twice as many fibres at mid-stem height as the spring crop, but the mechanical properties of the elementary fibres remained similar in both. However, the elementary fibres in the lower stems of the winter crop averaged only 15 mm in length, compared to 33 mm for the spring crop, which benefited from higher temperatures. Regarding biochemical composition, lignin content in winter flax scutched fibres was significantly higher than in spring flax, at 4.2% versus 2.7%. Cultivating a spring flax variety in winter is thus feasible under favourable conditions, but the resulting fibres are shorter and more lignified, which may pose technical challenges during spinning and could require separating fibres from the lower stems of winter plants to ensure consistent fibre quality. In the final section of the paper, strategies to adapt flax cultivation to climate change are proposed, drawing on the experimental results and current meteorological projections, providing guidance for optimizing crop performance. Full article
Show Figures

Figure 1

9 pages, 411 KB  
Brief Report
Impact of Daytime Versus On-Call Admission on Outcomes in Geriatric Traumatic Brain Injury: A Retrospective Analysis from a Neurotrauma Center
by Anas Zaman, Yasmine Albalushi, Hashim Alibrahim, Sameh Almatroushi, Mahmood Alnoufali, Kawthar Almaknena and Tariq D Al-Saadi
Clin. Transl. Neurosci. 2025, 9(4), 54; https://doi.org/10.3390/ctn9040054 - 24 Nov 2025
Viewed by 307
Abstract
Background: Traumatic Brain Injury (TBI) represents a growing cause of medical emergencies globally. Objective: This study evaluates whether healthcare outcomes for TBI patients differ between daytime and on-call (after-hours) admissions. Methods: A retrospective analysis was conducted using data from a [...] Read more.
Background: Traumatic Brain Injury (TBI) represents a growing cause of medical emergencies globally. Objective: This study evaluates whether healthcare outcomes for TBI patients differ between daytime and on-call (after-hours) admissions. Methods: A retrospective analysis was conducted using data from a hospital database spanning January 2015 to December 2019. Of the 670 cases reviewed, 45 patients over the age of 65 were admitted with head trauma. Data were analyzed using SPSS. Results: Surgical interventions were significantly less frequent during on-call hours. Admission type (elective vs. emergent) showed a statistically significant difference (p < 0.05). Postoperative ICU length of stay (LOS) was markedly longer for on-call admissions (p = 0.002). Due to a controlled sample size, p-value interpretations would need some discretion. TBI patients admitted during on-call hours had a 9.9-fold increase in ICU stay, a 2.5-fold increase in total hospital LOS, and a 475% higher complication rate compared to daytime admissions. Complication rates were 20% for daytime admissions versus 92% for on-call admissions. Furthermore, patients treated during on-call hours were 11 times more likely to be discharged in an unconscious state (GCS < 8). Conclusions: TBI outcomes are significantly worse during on-call hours. Enhancing imaging availability and staffing during these periods may help improve patient outcomes. Full article
Show Figures

Figure 1

18 pages, 2880 KB  
Article
High-Temperature Induction of 2n Female Gametes to Produce Triploid Birches: Timing, Parameters, and Growth Outcomes
by Jingnan Li, Yijie Hu, Jie Zhang, Shaoqing Duan, Jie Feng, Ying Cui, Guifeng Liu, Jing Jiang and Huiyu Li
Forests 2025, 16(11), 1667; https://doi.org/10.3390/f16111667 - 31 Oct 2025
Viewed by 322
Abstract
Triploids are typically formed through the fusion of a haploid gamete from a diploid organism and a diploid gamete from a tetraploid organism or through chromosome doubling in gametes by other means. To circumvent the multi-year flowering wait associated with tetraploid parents in [...] Read more.
Triploids are typically formed through the fusion of a haploid gamete from a diploid organism and a diploid gamete from a tetraploid organism or through chromosome doubling in gametes by other means. To circumvent the multi-year flowering wait associated with tetraploid parents in conventional breeding, we developed a novel method for inducing triploid in birch through high-temperature treatment of female inflorescences. This approach integrates sexual hybridization with precise thermal treatment, with success hinging on the precise identification of the pollination window and the optimal treatment parameters. Our study systematically defines the optimal conditions for triploid production in birch via this high-temperature induction technique. The results demonstrate that the optimal period for stigma pollination was between day 5 to 6, immediately following the emergence of the stigma from the enclosing bracts. The most effective pollination was characterized by a bract dehiscence angle exceeding 60° on Day 15 after the pollination marks the phase of megaspore mother cell development. At this stage, the optimum treatment is either 40 °C for 2 h or alternately 42 °C for 1 h. These treatments result in the highest triploid induction rates of 33.82%, calculated with the total number of detected seedlings as the denominator. In addition, a logistic model was established between the ovary length-to-width ratio and the accumulated growing degree hours (GDH), providing a reliable quantitative indicator for determining the optimal timing of the high-temperature treatment. Compared with the conventional approach reliant on tetraploid parents, our method eliminates the lengthy phase of tetraploid induction and flowering wait (approximately 8 years), thereby reducing the triploid breeding cycle by about 6 years. The results substantiated the effectiveness of utilizing high temperatures to induce chromosome doubling in female gametes of birch species, providing a viable pathway for efficient polyploid breeding in this tree species. Full article
(This article belongs to the Special Issue Tree Breeding: Genetic Diversity, Differentiation and Conservation)
Show Figures

Figure 1

18 pages, 21941 KB  
Article
Phenological Shifts of Vegetation in Seasonally Frozen Ground and Permafrost Zones of the Qinghai–Tibet Plateau
by Tianyang Fan, Xinyan Zhong, Chong Wang, Lingyun Zhou and Zhinan Zhou
Remote Sens. 2025, 17(19), 3391; https://doi.org/10.3390/rs17193391 - 9 Oct 2025
Viewed by 772
Abstract
Vegetation phenology serves as a crucial indicator reflecting vegetation responses to the growth environment and climate change. Existing studies have demonstrated that in permafrost regions, the impact of frozen soil changes on vegetation phenology is more direct and pronounced compared to climate factors. [...] Read more.
Vegetation phenology serves as a crucial indicator reflecting vegetation responses to the growth environment and climate change. Existing studies have demonstrated that in permafrost regions, the impact of frozen soil changes on vegetation phenology is more direct and pronounced compared to climate factors. Amid the slowdown of global warming in the 21st century, permafrost dynamics continued to drive uncertain variations in vegetation phenological stages across the Qinghai–Tibet Plateau (QTP). Using MODIS Normalized Difference Vegetation Index (NDVI) and Enhanced Vegetation Index (EVI) data during 2001–2024, this study derived vegetation phenological parameters and analyzed their spatiotemporal patterns on the QTP. The results indicate that overall, the start of growing season (SOS) was advanced, the end of growing season (EOS) was delayed, and the length of growing season (LOG) was extended throughout the study period. Additionally, divergent phenological trends were observed across three distinct phases, and regarding frozen soil types, vegetation phenology in permafrost and seasonally frozen ground regions exhibited distinct characteristics. From 2001 to 2024, both permafrost and seasonally frozen ground regions showed an advanced SOS and prolonged LOG, but significant differences were observed in EOS dynamics. For vegetation types, alpine meadow displayed advanced SOS and EOS, alongside an extended LOG. The alpine steppe exhibited advanced SOS and delayed EOS with an extended LOG. Alpine desert displayed SOS advancement and EOS delay, alongside LOG extension. These findings revealed variations in vegetation phenological changes under different frozen soil types and highlighted divergent responses of distinct frozen soil types to climate change. They suggested that the influence of frozen soil types should be considered when investigating vegetation phenological dynamics at the regional scale. Full article
Show Figures

Graphical abstract

27 pages, 10950 KB  
Article
Design and Analysis of 36 Novel Technical Models for Straw Return in Rice–Wheat Systems Based on Spatial and Temporal Variability
by Sagni B. Miressa, Yinian Li, Xiaoyuan Yan, Aayush Niroula, Ruiyin He and Qishuo Ding
Agronomy 2025, 15(10), 2288; https://doi.org/10.3390/agronomy15102288 - 27 Sep 2025
Viewed by 2368
Abstract
Straw return is essential for improving soil fertility, recycling organic matter, and sustaining productivity in rice–wheat systems. This study focuses on the conceptual design and systematic analysis of the spatial and temporal variability of straw return methods and their classification. We proposed and [...] Read more.
Straw return is essential for improving soil fertility, recycling organic matter, and sustaining productivity in rice–wheat systems. This study focuses on the conceptual design and systematic analysis of the spatial and temporal variability of straw return methods and their classification. We proposed and analyzed 36 technical models for straw return by integrating spatial distribution (depth and horizontal placement) with temporal variability (decomposition period managed through mulching or decomposers). The models of straw return were categorized into five classes: mixed burial, even spreading, strip mulching, deep burial, and ditch burial. Field experiments were conducted in Babaiqiao Town, Nanjing, China, using clay loam soils typical of intensive rice–wheat rotation. Soil properties (bulk density, porosity, and moisture content) and straw characteristics (length and density) were evaluated to determine their influence on decomposition efficiency and nutrient release. Results showed that shallow incorporation (0–5 cm) accelerated straw breakdown and microbial activity, while deeper incorporation (15–20 cm) enhanced long-term organic matter accumulation. Temporal control using mulching films and decomposer agents further improved moisture retention, aeration, and nutrient availability. For the rice–wheat system study area, four typical straw return modes were selected based on spatial distribution and soil physical parameters: straw even spreading, rotary plowing, conventional tillage with mulching, and straw plowing with burying. This study added to the growing body of literature on straw return by providing a systematic analysis of the parameters influencing straw decomposition and the incorporation. The results have significant implications for sustainable agricultural practices, offering practical recommendations for optimizing straw return strategies to improve soil health. Full article
(This article belongs to the Special Issue Advances in Tillage Methods to Improve the Yield and Quality of Crops)
Show Figures

Graphical abstract

13 pages, 443 KB  
Review
Adolescent Soccer Overuse Injuries: A Review of Epidemiology, Risk Factors, and Management
by Adam Ayoub, Maxwell Ranger, Melody Longmire and Karen Bovid
Int. J. Environ. Res. Public Health 2025, 22(9), 1388; https://doi.org/10.3390/ijerph22091388 - 5 Sep 2025
Viewed by 3631
Abstract
Introduction: Overuse injuries are a growing concern among adolescent soccer players, with the repetitive nature of the sport placing significant physical demands on young athletes. These injuries can have long-term implications for physical development, performance, and overall well-being. This narrative synthesis aimed to [...] Read more.
Introduction: Overuse injuries are a growing concern among adolescent soccer players, with the repetitive nature of the sport placing significant physical demands on young athletes. These injuries can have long-term implications for physical development, performance, and overall well-being. This narrative synthesis aimed to evaluate the existing literature on the epidemiology, risk factors, and management strategies for overuse injuries in adolescent soccer players. Methods: A comprehensive literature search was conducted using PubMed and Embase. A total of 123 articles were identified, 27 of which met the inclusion criteria after screening. Studies focusing on overuse injuries in adolescent soccer players aged 10–18 years were included, while those addressing acute injuries, non-soccer populations, or adult athletes were excluded. Relevant quantitative and qualitative data were extracted and evaluated. Due to heterogeneity in study designs and outcomes, findings were narratively synthesized rather than meta-analyzed. Results: The period around peak height velocity (PHV: 11.5 years in girls, 13.5 years in boys) was consistently identified as a high-risk window, with seven studies demonstrating a significantly increased incidence of overuse injuries. Additional risk factors included leg length asymmetry, truncal weakness, early sport specialization, high ratios of organized-to-free play, and increased body size. Injury burden was greatest for hamstring and groin injuries, often leading to prolonged time lost from play. Preventive interventions such as plyometric training, trunk stabilization, and structured load monitoring demonstrated reductions in injury incidence in several prospective studies, though protocols varied widely. Conclusion: This narrative synthesis highlights PHV as the most consistent risk factor for overuse injuries in adolescent soccer players, alongside modifiable contributors such as training load, sport specialization, and free play balance. Evidence supports neuromuscular training and structured monitoring as promising preventive strategies, but there remains a lack of standardized, evidence-based protocols. Future research should focus on optimizing and validating interventions, integrating growth and load monitoring, and leveraging emerging approaches such as machine learning-based risk prediction. Full article
(This article belongs to the Special Issue Sports-Related Injuries in Children and Adolescents)
Show Figures

Figure 1

26 pages, 4492 KB  
Article
The Multiscale Assessment of Infrastructure Vulnerability to River Floods in Andean Areas: A Case Study of the Chibunga River in the Parish of San Luis, Ecuador
by Daniel S. Paredes, E. Fabián Rivera, Paúl Baldeón-Egas and Renato M. Toasa
Sustainability 2025, 17(17), 7915; https://doi.org/10.3390/su17177915 - 3 Sep 2025
Cited by 2 | Viewed by 881
Abstract
This research evaluates the vulnerability of public infrastructure in San Luis parish, Riobamba canton, Ecuador, to the flood risk posed by the Chibunga River under return period scenarios of 10, 50, 100, and 500 years. The main objective was to identify the most [...] Read more.
This research evaluates the vulnerability of public infrastructure in San Luis parish, Riobamba canton, Ecuador, to the flood risk posed by the Chibunga River under return period scenarios of 10, 50, 100, and 500 years. The main objective was to identify the most exposed systems—such as drinking water, sewerage, power grid, and utility poles—in order to prioritize mitigation measures. The methodology combined hydrometeorological analysis, hydraulic modeling using HEC-HMS and Iber, and the estimation of economic losses through the DaLA methodology. The results reveal that the low vulnerability of the drinking water system, as less than 0.08% of the network’s length, is at risk in the high-to-very-high range, even in a scenario with a 500-year return period. On the other hand, there is evidence of high exposure of the sewerage network in extreme scenarios, considering that 49.15% is at high-to-very-high risk in the worst-case scenario. Furthermore, as the return period increases, there is a growing impact on the electrical network, where the proportion of assets at high-to-very-high risk increases from 0.60% to 6.88% for high voltage, 0.00% to 18.03% for low voltage, and 0.00% to 1.18% for streetlights for a return period of 10 to 500 years. It should be noted that the estimated direct economic losses amount to USD 84,162.86 when taking into account the worst-case scenario. In this regard, the novelty of this study lies in the integration of technical, hydraulic, and economic analyses for a scarcely studied rural Andean area, providing crucial data for preventive risk management. It concludes that investment in prevention is more cost-effective than post-disaster reconstruction, recommending the strengthening of the sewerage system’s hydraulic capacity and the optimization of electrical infrastructure protection. Full article
(This article belongs to the Special Issue Sustainable Flood Risk Management: Challenges and Resilience)
Show Figures

Figure 1

20 pages, 4828 KB  
Article
Barley, Canola and Spring Wheat Yield Throughout the Canadian Prairies Under the Effect of Climate Change
by Mohammad Zare, David Sauchyn and Zahra Noorisameleh
Climate 2025, 13(9), 179; https://doi.org/10.3390/cli13090179 - 28 Aug 2025
Cited by 2 | Viewed by 2133
Abstract
Climate change is expected to have significant effects on crop yield in the Canadian Prairies. The objective of this study was to investigate these possible effects on spring wheat, barley and canola production using the Decision Support System for Agrotechnology Transfer (DSSAT) modelling [...] Read more.
Climate change is expected to have significant effects on crop yield in the Canadian Prairies. The objective of this study was to investigate these possible effects on spring wheat, barley and canola production using the Decision Support System for Agrotechnology Transfer (DSSAT) modelling platform. We applied 21 climate change scenarios from high-resolution (0.22°) regional simulations to three modules, DSSAT-CERES-Wheat, DSSAT-CERES-Barley and CSM-CROPGRO-Canola, using a historical baseline period (1985–2014) and three future periods: near (2015–2040), middle (2041–2070), and far (2071–2100). These simulations are part of CMIP6 (Coupled Model Intercomparison Project Phase 6) and have been processed using statistical downscaling and bias correction by the NASA Earth Exchange 26 Global Daily Downscaled Projections project, referred to as NEX-GDDP-CMIP6. The calibration and validation results surpassed the thresholds for a high level of accuracy. Simulated yield changes indicate that climate change has a positive effect on spring wheat and barley yields with median model increases of 7% and 11.6% in the near future, and 5.5% and 9.2% in the middle future, respectively. However, in the far future, barley production shows a modest increase of 4.4%, while spring wheat yields decline significantly by 17%. Conversely, simulated canola yields demonstrate a substantial decrease over time, with reductions of 25.9%, 46.3%, and 62.8% from the near to the far future, respectively. Agroclimatic indices, such as Number of Frost-Free Days (NFFD), Heating Degree-Days (HDD), Length of Growing Season (GSL), Crop Heat Units (CHU), and Effective Growing Degree Days (EGDD), exhibit significant correlations with spring wheat. Conversely, precipitation indices, such as very wet days and annual 5- and 10-day maximum precipitation, have a stronger correlation with canola yield changes when compared with temperature indices. The results provide key guidance for policymakers to design adaptation strategies and sustain regional food security and economic resilience, particularly for canola production, which is at significant risk under projected climate change scenarios across the Canadian Prairies. Full article
(This article belongs to the Section Climate and Environment)
Show Figures

Figure 1

11 pages, 240 KB  
Article
Laparoscopic Versus Robotic Completely Intracorporeal Jejunal Pouch Reconstruction After Gastrectomy: A Single-Center Analysis from Germany
by Ani K. Stoyanova, Fiona Speichinger, Ioannis Pozios, Katharina Beyer and Ann-Kathrin Berg
Cancers 2025, 17(16), 2690; https://doi.org/10.3390/cancers17162690 - 19 Aug 2025
Viewed by 837
Abstract
Background: Gastric cancer is increasingly being diagnosed at early stages, enabling the application of curative oncological and surgical approaches. With the growing adoption of minimally invasive techniques, robotic surgery is gaining increasing prominence in the operating rooms. As described by Stoyanova et [...] Read more.
Background: Gastric cancer is increasingly being diagnosed at early stages, enabling the application of curative oncological and surgical approaches. With the growing adoption of minimally invasive techniques, robotic surgery is gaining increasing prominence in the operating rooms. As described by Stoyanova et al., the robotic completely intracorporeal jejunal pouch reconstruction after gastrectomy offers potential benefits, including technical feasibility without significant intraoperative challenges or prolonged operative times, as well as long-term advantages such as a reduced incidence of midline incision hernias. Objectives: This retrospective, single-center study is the first to compare the clinical and oncological outcomes after laparoscopic versus robotic completely intracorporeal jejunal pouch reconstruction following gastrectomy. Methods: A total of 27 patients who underwent gastrectomy between 2018 and 2025 were included in the study, and were divided into two groups: 12 patients in the robotic and 15 patients in the laparoscopic group. The study evaluated mean operative time, intraoperative and postoperative complications, length of hospital and ICU stay, and certain oncological outcomes. Results: A main purpose of the robotic method is the avoidance of an unfavourable midline incision due to the completely intracorporeal pouch reconstruction without substantial technical or clinical disadvantages. Conclusions: Further research involving larger patient cohorts and extended follow-up periods is necessary to draw more definitive conclusions about the relative advantages of this surgical technique. Full article
(This article belongs to the Special Issue Gastric Cancer Surgery: Gastrectomy, Risk, and Related Prognosis)
Show Figures

Figure 1

16 pages, 1725 KB  
Article
In Vitro Propagation of Variegated Cymbidium lancifolium Hooker
by Iro Kang and Iyyakkannu Sivanesan
Plants 2025, 14(16), 2551; https://doi.org/10.3390/plants14162551 - 16 Aug 2025
Cited by 1 | Viewed by 839
Abstract
Variegated Cymbidium lancifolium is a highly valued ornamental plant sought after in local and international markets. The commercial production of variegated C. lancifolium through traditional propagation methods faces significant challenges, such as low propagation rates and prolonged growth periods. This study aims to [...] Read more.
Variegated Cymbidium lancifolium is a highly valued ornamental plant sought after in local and international markets. The commercial production of variegated C. lancifolium through traditional propagation methods faces significant challenges, such as low propagation rates and prolonged growth periods. This study aims to develop effective in vitro propagation techniques for variegated C. lancifolium through asymbiotic seed germination to enhance production efficiency and meet market demand. We examined the effects of various plant growth regulators and coconut water (CW) on in vitro seed germination. The highest germination percentage (46.8%) was recorded in Murashige and Skoog (MS) medium supplemented with 50 mL/L CW, 4.0 µM α-naphthalene acetic acid (NAA), 2.3 µM kinetin (KN), and 2.9 µM gibberellic acid (GA3). Seed-derived rhizomes were placed on MS medium containing indole-3-acetic acid (IAA), indole-3-butyric acid (IBA), and NAA for proliferation. Among the auxins, NAA was the most effective, significantly increasing rhizome proliferation, with the highest number (17.4) and length (2.1 cm) observed at 5.0 µM. The rhizome explants were cultured in MS medium enriched with kinetin (KN), N6-(2-isopentenyl)adenine (2-IP), and N6-benzyladenine (BA) to promote plantlet regeneration. Of the cytokinins tested, BA at 10.0 µM resulted in the highest rate of plantlet regeneration (79.4%), the greatest number of plantlets (4.4 per culture), and notable plantlet height (8.5 cm). We obtained plantlets with dark green leaves, light green leaves, and distinct variegation patterns. They were transferred to three different substrate mixtures for acclimatization. The substrate made of orchid stone (30%), wood bark (30%), coconut husk chips (20%), and perlite (20%) supported the highest survival rate (95.9%). This study successfully established optimized in vitro propagation techniques for variegated C. lancifolium, enabling enhanced germination, rhizome proliferation, and plantlet regeneration to meet the growing market demand. Full article
(This article belongs to the Section Plant Development and Morphogenesis)
Show Figures

Figure 1

14 pages, 375 KB  
Article
The Use of Humic Substances as an Additive to Feed Mixtures in Pheasant Breeding
by Alena Hreško Šamudovská, Stanislav Hreško, Iveta Maskaľová, Alica Tvrdá and Lukáš Bujňák
Animals 2025, 15(15), 2321; https://doi.org/10.3390/ani15152321 - 7 Aug 2025
Viewed by 914
Abstract
The effect of humic substances on growth performance, excretion, and the digestive organs was studied in pheasant chickens. Three hundred 1-day-old pheasant chicks were assigned to two equal groups. Chicks in the experimental group were fed diets supplemented with humic substances (5 g/kg). [...] Read more.
The effect of humic substances on growth performance, excretion, and the digestive organs was studied in pheasant chickens. Three hundred 1-day-old pheasant chicks were assigned to two equal groups. Chicks in the experimental group were fed diets supplemented with humic substances (5 g/kg). Chickens in the experimental group reached significantly higher average daily weight gains (p ˂ 0.05) in the second phase of rearing (29–49 d) at a significantly better feed conversion ratio (p ˂ 0.05). The supplementation of humic substances led to a significant increase in the average body weight of pheasants at the end of the experiment (p ˂ 0.05), and to a significant increase in average daily weight gains for the entire monitored period (p ˂ 0.05). In the experimental group, significantly higher relative weights of the gizzard (p ˂ 0.05), small intestine (p ˂ 0.05), and jejunum (p ˂ 0.05), along with a significantly larger relative length of the duodenum (p ˂ 0.05), were recorded. A significantly higher concentration of dry matter in the droppings of pheasants was found in the experimental group than in the control group (p ˂ 0.05). According to our results, feeding humic substances had the most beneficial effect on pheasant growth performance during the growing phase. Humic substances can also have a positive effect on the microclimate within the breeding facility. Reductions in the water content of droppings contribute to a reduction in the humidity of the litter, thus limiting the activity of nitrogenic bacteria. Full article
(This article belongs to the Section Poultry)
Show Figures

Figure 1

21 pages, 2090 KB  
Article
The Dynamic Evolution of Industrial Electricity Consumption Linkages and Flow Path in China
by Jinshi Wei
Energies 2025, 18(15), 4203; https://doi.org/10.3390/en18154203 - 7 Aug 2025
Viewed by 771
Abstract
An in-depth investigation into the evolutionary characteristics, transmission mechanisms, and optimization pathways of electricity consumption linkages across China’s industrial sectors highlights their substantial theoretical and practical significance in achieving the “dual carbon” goals and advancing high-quality economic development. This study investigates the structural [...] Read more.
An in-depth investigation into the evolutionary characteristics, transmission mechanisms, and optimization pathways of electricity consumption linkages across China’s industrial sectors highlights their substantial theoretical and practical significance in achieving the “dual carbon” goals and advancing high-quality economic development. This study investigates the structural characteristics and developmental trends of electricity consumption linkages across China’s industrial sectors using an enhanced hypothetical extraction method. The analysis draws on national input–output tables and sector-specific electricity consumption data during the period from 2002 to 2020. Key transmission routes between industrial sectors are identified through path analysis and average path length calculations. The findings reveal that China’s industrial electricity consumption structure is marked by notable scale expansion and differentiation. The magnitude of inter-sectoral electricity flows continues to grow steadily. The evolution of these linkages exhibits clear phase-specific patterns, while the intensity of electricity consumption connections across sectors shows pronounced heterogeneity. Furthermore, the transmission path analysis revealed differentiated characteristics of electricity influence transmission, with generally shorter internal paths within sectors, significant cross-sectoral transmission differences, and manufacturing demonstrating good transmission accessibility with moderate path distances to major sectors. These insights provide a robust foundation for designing differentiated energy conservation policies, as well as for optimizing the overall structure of industrial electricity consumption. Full article
(This article belongs to the Special Issue Sustainable Energy Futures: Economic Policies and Market Trends)
Show Figures

Figure 1

20 pages, 2357 KB  
Article
Influence of Rice–Crayfish Co-Culture Systems on Soil Properties and Microbial Communities in Paddy Fields
by Dingyu Duan, Dingxuan He, Liangjie Zhao, Chenxi Tan, Donghui Yang, Wende Yan, Guangjun Wang and Xiaoyong Chen
Plants 2025, 14(15), 2320; https://doi.org/10.3390/plants14152320 - 27 Jul 2025
Viewed by 1346
Abstract
Integrated rice–crayfish (Oryza sativaProcambarus clarkii) co-culture (RC) systems have gained prominence due to their economic benefits and ecological sustainability; however, the interactions between soil properties and microbial communities in such systems remain poorly understood. This study evaluated the effects [...] Read more.
Integrated rice–crayfish (Oryza sativaProcambarus clarkii) co-culture (RC) systems have gained prominence due to their economic benefits and ecological sustainability; however, the interactions between soil properties and microbial communities in such systems remain poorly understood. This study evaluated the effects of the RC systems on soil physicochemical characteristics and microbial dynamics in paddy fields of southern Henan Province, China, over the 2023 growing season and subsequent fallow period. Using a randomized complete design, rice monoculture (RM, as the control) and RC treatments were compared across replicated plots. Soil and water samples were collected post-harvest and pre-transplanting to assess soil properties, extracellular enzyme activity, and microbial community structure. Results showed that RC significantly enhanced soil moisture by up to 30.2%, increased soil porosity by 9.6%, and nearly tripled soil organic carbon compared to RM. The RC system consistently elevated nitrogen (N), phosphorus (P), and potassium (K) throughout both the rice growth and fallow stages, indicating improved nutrient availability and retention. Elevated extracellular enzyme activities linked to carbon, N, and P cycling were observed under RC, with enzymatic stoichiometry revealing increased microbial nutrient limitation intensity and a shift toward P limitation. Microbial community composition was significantly altered under RC, showing increased biomass, a higher fungi-to-bacteria ratio, and greater relative abundance of Gram-positive bacteria, reflecting enhanced soil biodiversity and ecosystem resilience. Further analyses using the Mantel test and Random Forest identified extracellular enzyme activities, PLFAs, soil moisture, and bulk density as major factors shaping microbial communities. Redundancy analysis (RDA) confirmed that total potassium (TK), vector length (VL), soil pH, and total nitrogen (TN) were the strongest environmental predictors of microbial variation, jointly explaining 74.57% of the total variation. Our findings indicated that RC improves soil physicochemical conditions and microbial function, thereby supporting sustainable nutrient cycling and offering a promising, environmentally sound strategy for enhancing productivity and soil health in rice-based agro-ecosystems. Full article
Show Figures

Figure 1

10 pages, 1136 KB  
Article
Impact of Technical Standardization on Pneumothorax and Chest Tube Insertion Rates: A Retrospective Learning Curve Analysis of CT-Guided Lung Biopsies
by Rosa Alba Pugliesi, Younesse Nasser, Amina Benchekroun, Roua BenAyed, Andreas H. Mahnken, Nour Maalouf and Jonas Apitzsch
J. Clin. Med. 2025, 14(14), 4838; https://doi.org/10.3390/jcm14144838 - 8 Jul 2025
Cited by 2 | Viewed by 1041
Abstract
Background: Pneumothorax (PTX) is the most common complication of CT-guided lung biopsies. New technical advances, namely the optimization of needle approach angles within an a priori defined “safe zone,” are intended to reduce this risk. This study evaluates whether PTX incidence and chest [...] Read more.
Background: Pneumothorax (PTX) is the most common complication of CT-guided lung biopsies. New technical advances, namely the optimization of needle approach angles within an a priori defined “safe zone,” are intended to reduce this risk. This study evaluates whether PTX incidence and chest tube placement decreased significantly after these technical advances were implemented. Methods: We retrospectively analyzed 118 consecutive patients who had undergone CT-guided lung biopsy between 9 January 2020, and 4 April 2025. The study was divided into three periods of increasingly growing institutional procedural experience: Pre-Knowledge (January 2020–March 2022; n = 45), Partial Knowledge (April–December 2022; n = 18), and Full Knowledge (January 2023–April 2025; n = 55). PTX incidence and chest tube use were compared across periods using chi-square and Fisher’s exact tests, while Kaplan–Meier survival analysis was used to evaluate PTX-free survival over time. Results: Overall PTX incidence significantly declined from 71.1% in the Pre-Knowledge Period to 21.8% in the Full Knowledge Period (p < 0.000001). Rates of chest tube placements also decreased from 17.8% to 9.1%, although this difference was not statistically significant (p = 0.372). Kaplan–Meier analysis showed a statistically significant improvement in PTX-free survival over time (indicating improvement in the timing of complication onset; p = 0.0042). Procedural optimization was also fostered by a large median intrapulmonary needle length and consistent needle angulation within the safe zone. Conclusions: Formal implementation of needle angle optimization and procedural protocol standardization has effectively reduced the frequency and severity of PTX following CT-guided lung biopsies. These results highlight the benefit of continuous education and technique standardization in improving patient safety and clinical outcomes. Full article
(This article belongs to the Section Respiratory Medicine)
Show Figures

Figure 1

Back to TopTop