Sign in to use this feature.

Years

Between: -

Subjects

remove_circle_outline
remove_circle_outline
remove_circle_outline
remove_circle_outline
remove_circle_outline
remove_circle_outline
remove_circle_outline
remove_circle_outline
remove_circle_outline

Journals

remove_circle_outline
remove_circle_outline
remove_circle_outline
remove_circle_outline
remove_circle_outline
remove_circle_outline
remove_circle_outline
remove_circle_outline
remove_circle_outline
remove_circle_outline
remove_circle_outline
remove_circle_outline
remove_circle_outline
remove_circle_outline

Article Types

Countries / Regions

remove_circle_outline
remove_circle_outline
remove_circle_outline
remove_circle_outline

Search Results (619)

Search Parameters:
Keywords = laboratory exercise

Order results
Result details
Results per page
Select all
Export citation of selected articles as:
21 pages, 713 KB  
Article
Assessment of Aerobic Capacity and Other Cardiopulmonary Parameters in Children with Juvenile Idiopathic Arthritis
by Aleksandra Stasiak, Piotr Kędziora, Aleksandra Ryk, Jerzy Stańczyk and Elżbieta Smolewska
Biomedicines 2025, 13(11), 2672; https://doi.org/10.3390/biomedicines13112672 - 30 Oct 2025
Abstract
Introduction: Juvenile idiopathic arthritis (JIA) is the most common chronic rheumatic disease in children. It is believed that children with JIA have lower cardiopulmonary capacity and worse exercise tolerance. The gold standard for assessing physical fitness is aerobic fitness, commonly referred to as [...] Read more.
Introduction: Juvenile idiopathic arthritis (JIA) is the most common chronic rheumatic disease in children. It is believed that children with JIA have lower cardiopulmonary capacity and worse exercise tolerance. The gold standard for assessing physical fitness is aerobic fitness, commonly referred to as the maximum or peak oxygen uptake volume (peakVO2) measured during a maximum load exercise test. Reduced aerobic fitness may play a key role in predicting the health of JIA patients as it has been associated with cardiovascular diseases and increased adult mortality. Methods: The aim of this study was to assess the oxygen capacity of adolescents with JIA along with other cardiopulmonary parameters in order to determine a group of patients with increased risk of developing cardiovascular diseases in comparison with healthy individuals. Patients were assessed based on parameters such as age, sex, type of JIA, laboratory parameters, physical activity, and treatment. Results: Patients with JIA had lower median values of peakVO2 (29.05 vs. 38.02 mL/min/kg, p < 0.001), as well as other crucial cardiopulmonary parameters, such as O2 pulse, minute ventilation, oxygen uptake efficiency slope, and cardiac output than in the healthy control group. The ventilatory anaerobic threshold was achieved earlier and at lower VO2 values in children with JIA (p = 0.0001). Children with JIA also had lowered respiratory parameters such as maximal voluntary ventilation (p = 0.0031) and tidal volume (p = 0.0002). Patients who were physically active (moderate-intensity physical activity lasting at least 60 min per day) had significantly higher peakVO2 (p = 0.0099) and ΔVO2/ΔWR relationship (p = 0.0041) values than JIA patients who were not physically active. Conclusions: Children with JIA show moderate to severe physical impairment. Reduced physical fitness and a low level of activity might be associated with further deterioration of patient’s condition, which might contribute to increased risk of cardiovascular disease, social exclusion and deterioration of quality of life in this group of patients. Exercise programs that improve aerobic fitness and increase muscle strength should be individualized and modified based on the individual needs and capabilities of the patient. Full article
38 pages, 2877 KB  
Article
Toward Harmonized Black Sea Contaminant Monitoring: Bridging Methods and Assessment
by Andra Oros, Valentina Coatu, Yurii Oleinik, Hakan Atabay, Ertuğrul Aslan, Levent Bat, Nino Machitadze, Andra Bucse, Nuray Çağlar Balkıs, Nagihan Ersoy Korkmaz and Laura Boicenco
Water 2025, 17(21), 3107; https://doi.org/10.3390/w17213107 - 30 Oct 2025
Abstract
The Black Sea is a semi-enclosed basin subject to intense anthropogenic pressures and transboundary pollution, making reliable and comparable monitoring data essential for large-scale environmental assessments. However, national practices differ considerably, hindering data integration and coordinated reporting under international frameworks. This study, conducted [...] Read more.
The Black Sea is a semi-enclosed basin subject to intense anthropogenic pressures and transboundary pollution, making reliable and comparable monitoring data essential for large-scale environmental assessments. However, national practices differ considerably, hindering data integration and coordinated reporting under international frameworks. This study, conducted within the Horizon 2020 project “Advancing Black Sea Research and Innovation to Co-develop Blue Growth within Resilient Ecosystems” (BRIDGE-BS), evaluated pollutant surveillance methodologies with a focus on heavy metals and priority organic contaminants (polycyclic aromatic hydrocarbons, polychlorinated biphenyls, organochlorine pesticides). Standard Operating Procedures (SOPs) were collected from institutions across Black Sea countries and systematically compared for water, sediment, and biota matrices. The analysis revealed shared reliance on internationally recognized techniques but also heterogeneity in sediment fraction selection, digestion and extraction conditions, instrumental approaches, and quality assurance/quality control (QA/QC) documentation. To complement this assessment, an intercalibration (IC) exercise was organized through the QUASIMEME proficiency testing scheme, accompanied by a follow-up structured questionnaire sent to participant institutions. While individual results remain confidential, collective feedback highlighted common challenges in calibration, blank correction, certified reference materials (CRMs) availability, digestion variability, instrument maintenance, and the reporting of uncertainty and detection limits. Together, these findings confirm that harmonization in the Black Sea requires not only improved comparability of laboratory methods but also the future alignment of assessment methodologies, including indicators and thresholds, to support coherent, basin-wide environmental evaluations under regional conventions and EU directives. Full article
(This article belongs to the Section Water Quality and Contamination)
Show Figures

Figure 1

17 pages, 1307 KB  
Article
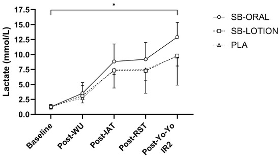
Effect of Oral and Topical Sodium Bicarbonate on Functional Recovery and Soccer-Specific Performance After Exercise-Induced Muscle Damage: A Randomized, Double-Blind, Placebo-Controlled Study
by William H. Gurton, Lewis A. Gough, Anthony Lynn and Mayur K. Ranchordas
Nutrients 2025, 17(21), 3383; https://doi.org/10.3390/nu17213383 - 28 Oct 2025
Viewed by 124
Abstract
Objectives: This study assessed the influence of oral and topical sodium bicarbonate (SB) on recovery and soccer-specific performance after exercise-induced muscle damage (EIMD). Methods: In a randomized, double-blind, placebo-controlled, parallel group design, 24 soccer players were allocated to oral SB, topical [...] Read more.
Objectives: This study assessed the influence of oral and topical sodium bicarbonate (SB) on recovery and soccer-specific performance after exercise-induced muscle damage (EIMD). Methods: In a randomized, double-blind, placebo-controlled, parallel group design, 24 soccer players were allocated to oral SB, topical SB (PR Lotion, Momentous), or placebo (PLA) (n = 8 per condition) and attended six laboratory sessions: (i) familiarization, (ii) baseline measures, and (iii) four experimental trials on consecutive days. Muscle damage was induced on day 1 using 40 × 15 m sprints, after which either 0.3 g·kg−1 body mass (BM) SB (SB-ORAL), 0.9036 g·kg−1 BM PR Lotion (SB-LOTION), or an equivalent PLA was given. Recovery outcomes were measured post-EIMD, 1 d, 2 d, and 3 d post (day 1–4). Soccer-specific performance was repeated 3 d post, with supplements administered again 2 h pre-exercise. Recovery measures included muscle soreness, vertical jump height, and maximal voluntary isometric contraction. Illinois agility test (IAT), 8 × 25 m repeated sprints, and Yo-Yo Intermittent Recovery Test Level 2 (Yo-Yo IR2) were assessed as soccer-specific performance. Results: Neither SB-ORAL nor SB-LOTION accelerated indices of recovery but decline in soccer-specific performance from baseline to 3 d post was attenuated for SB-ORAL, with significant effects for IAT (p = 0.032, g = 1.69) and Yo-Yo IR2 (p = 0.026, g = 1.61) compared with PLA. Conclusions: SB did not accelerate recovery following EIMD but prescribing oral SB before subsequent exercise might rescue key performance indicators. These findings offer implications for practitioners working with soccer players during periods where full recovery is not achieved. Full article
(This article belongs to the Special Issue Nutritional Supplements and Diet in Athletic Performance)
Show Figures

Figure 1

21 pages, 625 KB  
Article
Pulmo–Cardio–Renal Continuum in Chronic Lung Diseases: A 3-Year Prospective Cohort Study
by Lyazat Ibrayeva, Irina Bacheva, Assel Alina and Olga Klassen
J. Clin. Med. 2025, 14(21), 7631; https://doi.org/10.3390/jcm14217631 - 28 Oct 2025
Viewed by 124
Abstract
Background/Objectives: Systemic sclerosis-associated interstitial lung disease (SSc-ILD) and chronic obstructive pulmonary disease (COPD) are linked to multi-organ vulnerability involving the lungs, heart, and kidneys. This study aimed to compare the annual changes in pulmonary, cardiac, and renal parameters in patients with SSc-ILD [...] Read more.
Background/Objectives: Systemic sclerosis-associated interstitial lung disease (SSc-ILD) and chronic obstructive pulmonary disease (COPD) are linked to multi-organ vulnerability involving the lungs, heart, and kidneys. This study aimed to compare the annual changes in pulmonary, cardiac, and renal parameters in patients with SSc-ILD and COPD across three consecutive years, using both individual biomarkers and integrated composite profiles. Methods: This observational longitudinal study included repeated assessments in 2023, 2024, and 2025. Functional, laboratory, and imaging parameters were collected: 6-min walk test (6MWT), SpO2 (pre-/post-exercise), spirometry/CT lung volumes, gas exchange (pO2/pCO2/lactate), echocardiography [left ventricular ejection fraction (LVEF), estimated systolic pulmonary artery pressure (sPAP)], cardiac biomarkers (NT-proBNP, MR-proANP, hsTnT), renal markers [eGFR, creatinine, albuminuria, albumin-to-creatinine ratio (ACR)], heart rate variability (HRV), and renal CT densitometry. All markers were standardized (z-scores, higher values = worse). Subprofiles were generated and aggregated into three integrated profiles (cardiac, renal, pulmonary). Within-group dynamics were analyzed using the Wilcoxon signed-rank test (year-to-year deltas), between-group comparisons with the Mann–Whitney U test, effect sizes via Cliff’s delta, and multiple testing correction with the Benjamini–Hochberg false discovery rate (FDR). Results: Exercise tolerance declined in both groups: by 2025, 6MWT distance decreased by −10 m in SSc-ILD (p = 0.006; q = 0.010) and −20 m in COPD (p = 0.002; q = 0.004); post-exercise SpO2 fell in both cohorts (both p < 0.001; q < 0.001). MR-proANP remained consistently higher in SSc-ILD across all years (p ≤ 0.005; q ≤ 0.028). sPAP increased in both groups, reaching higher values in COPD by 2025 (p = 0.007; q = 0.033). NT-proBNP and hsTnT increased over time, while eGFR declined, and ACR rose in both cohorts (both p < 0.001; q < 0.001). HRV (HF/total power) decreased by 2025. Composite profiles showed: in 2023, the cardiac profile was worse in SSc-ILD (δ ≈ 0.27; p = 0.011; q = 0.048), but differences diminished by 2025; the renal profile was initially worse in SSc-ILD but later shifted unfavorably in COPD; the pulmonary profile showed no consistent between-group differences. Conclusions: Over three years, patients with SSc-ILD and COPD exhibited concordant deterioration in pulmonary, cardiac, and renal function. Distinct leading markers emerged: desaturation during exercise and neurohormonal activation (MR-proANP) in SSc-ILD, versus reduced 6MWT and higher sPAP in COPD. These findings support the need for integrated monitoring of the cardio–pulmo–renal continuum. Limitations include the observational design, multiple comparisons, and absence of advanced repeated-measures modeling. Full article
(This article belongs to the Section Respiratory Medicine)
Show Figures

Figure 1

14 pages, 370 KB  
Article
Integrating AI Systems in Criminal Justice: The Forensic Expert as a Corridor Between Algorithms and Courtroom Evidence
by Ido Hefetz
Forensic Sci. 2025, 5(4), 53; https://doi.org/10.3390/forensicsci5040053 - 27 Oct 2025
Viewed by 276
Abstract
Background: Artificial intelligence is transforming forensic fingerprint analysis by introducing probabilistic demographic inference alongside traditional pattern matching. This study explores how AI integration reshapes the role of forensic experts from interpreters of physical traces to epistemic corridors who validate algorithmic outputs and translate [...] Read more.
Background: Artificial intelligence is transforming forensic fingerprint analysis by introducing probabilistic demographic inference alongside traditional pattern matching. This study explores how AI integration reshapes the role of forensic experts from interpreters of physical traces to epistemic corridors who validate algorithmic outputs and translate them into legally admissible evidence. Methods: A conceptual proof-of-concept exercise compares traditional AFIS-based workflows with AI-enhanced predictive models in a simulated burglary scenario involving partial latent fingermarks. The hypothetical design, which does not rely on empirical validation, illustrates the methodological contrasts between physical and algorithmic inference. Results: The comparison demonstrates how AI-based demographic classification can generate investigative leads when conventional matching fails. It also highlights the evolving responsibilities of forensic experts, who must acquire competencies in statistical validation, bias detection, and explainability while preserving traditional pattern-recognition expertise. Conclusions: AI should augment rather than replace expert judgment. Forensic practitioners must act as critical mediators between computational inference and courtroom testimony, ensuring that algorithmic evidence meets legal standards of transparency, contestability, and scientific rigor. The paper concludes with recommendations for validation protocols, cross-laboratory benchmarking, and structured training curricula to prepare experts for this transformed epistemic landscape. Full article
(This article belongs to the Special Issue Feature Papers in Forensic Sciences)
Show Figures

Figure 1

14 pages, 1596 KB  
Article
Continuous Monitoring of Muscle Oxygenation in Endurance Athletes During Incremental Cycling: Experimental Validation of a Wearable Continuous-Wave NIRS Sensor Using Frequency-Domain Near-Infrared Spectroscopy
by Evan Peikon, Jennifer L. Corso, Nikola Otic, Olivia Kierul, Maria A. Franceschini and Mitchell Robinson
Bioengineering 2025, 12(11), 1153; https://doi.org/10.3390/bioengineering12111153 - 24 Oct 2025
Viewed by 739
Abstract
Individuals often lack field-based tools to monitor exercise effectiveness. New sensing methods may allow for an improved measurement of the individualized response to exercise by monitoring oxygen kinetics directly in muscle tissue. This study aimed to validate a non-invasive wearable sensor capable of [...] Read more.
Individuals often lack field-based tools to monitor exercise effectiveness. New sensing methods may allow for an improved measurement of the individualized response to exercise by monitoring oxygen kinetics directly in muscle tissue. This study aimed to validate a non-invasive wearable sensor capable of measuring muscle oxygen saturation (SmO2) using continuous-wave near-infrared spectroscopy (CW-NIRS) against a laboratory-validated frequency-domain NIRS (FDNIRS) device. Ten physically fit adults performed an incremental cycling test until voluntary exhaustion. Devices were placed on contralateral rectus femoris muscles. SmO2 was simultaneously measured continuously for the duration of the protocol. Time series alignment was performed using linear interpolation to enable direct comparison between devices at matched time points. Z-score normalization accounted for inter-individual differences in a group-level analysis. Individual subject validation showed strong correlations between the two devices (r = 0.792, range: 0.69–0.88, p < 0.001) with an RMSD < 5% for most subjects, a mean bias of 0.005 and low proportional bias (−0.199) between all paired measurements. Group-level analysis demonstrated a correlation of r = 0.788. Bland–Altman analysis revealed that 95% of all measurements fell between −8.1% and 7.6% SmO2. The CW-NIRS device delivered reliable performance compared to the FDNIRS device, offering potential applications for real-time physiological monitoring during exercise and performance assessment. Full article
(This article belongs to the Section Biosignal Processing)
Show Figures

Figure 1

17 pages, 384 KB  
Article
A Modular Framework for Cybersecurity Laboratory Design in Higher Education
by Sharon L. Burton
Laboratories 2025, 2(4), 21; https://doi.org/10.3390/laboratories2040021 - 23 Oct 2025
Viewed by 200
Abstract
The escalating frequency and complexity of cyber threats have made cybersecurity education a national priority, yet a practical gap persists between theoretical instruction and workforce readiness. This study presents a comprehensive, modular framework for designing and implementing cybersecurity laboratories in academic institutions, environments [...] Read more.
The escalating frequency and complexity of cyber threats have made cybersecurity education a national priority, yet a practical gap persists between theoretical instruction and workforce readiness. This study presents a comprehensive, modular framework for designing and implementing cybersecurity laboratories in academic institutions, environments that foster hands-on learning, skill mastery, and curricular innovation. Using a mixed-methods, multi-stage case study approach, the research combined qualitative analysis of institutional practices and instructional methods with quantitative evaluation of learning outcomes to comprehensively examine technical and pedagogical considerations impacting lab development. Data sources included literature analysis, direct observation, document review, and semi-structured interviews. The study synthesized best practices across these domains into a scalable lab design model grounded in experiential learning theory. Results demonstrate that the framework supports enhanced student performance, instructional adaptability, and simulation fidelity. Case study data revealed measurable gains in participant competency, with all participants achieving at least a 20% improvement in post-training test scores, high engagement levels demonstrated through consistent session attendance and active participation in hands-on exercises, and successful adaptation to logistical and technological barriers, including facility relocations and system downtime incidents. The lab’s modularity enabled curricular alignment, resource efficiency, and expansion to serve workforce training initiatives beyond the classroom. By integrating pedagogical (structured, teacher-guided instructional approaches) and andragogical (adult learning) design with technological scalability, this research contributes an actionable roadmap for institutions seeking to modernize cybersecurity education and respond effectively to evolving digital threats. The findings offer broad implications for future curriculum development, facilitator training, and sustainable program implementation. Full article
Show Figures

Figure 1

18 pages, 2381 KB  
Article
Overcoming Data Scarcity in Non-Contact Respiratory Monitoring: A DTW-Enhanced CNN-LSTM Approach
by Ju O Kim and Deokwoo Lee
Electronics 2025, 14(20), 4120; https://doi.org/10.3390/electronics14204120 - 21 Oct 2025
Viewed by 294
Abstract
This study investigates non-contact respiratory pattern classification using Ultra-Wideband (UWB) radar sensors and deep learning. A CNN-LSTM hybrid architecture was developed combining spatial feature extraction through convolutional layers with temporal pattern recognition via LSTM networks. To address data scarcity in the minority class, [...] Read more.
This study investigates non-contact respiratory pattern classification using Ultra-Wideband (UWB) radar sensors and deep learning. A CNN-LSTM hybrid architecture was developed combining spatial feature extraction through convolutional layers with temporal pattern recognition via LSTM networks. To address data scarcity in the minority class, a two-stage augmentation strategy incorporating Dynamic Time Warping-based SMOTE-TS was implemented. The experimental evaluation utilized 700 respiratory recordings from seven healthy volunteers performing controlled breathing exercises. Under controlled laboratory conditions, the system achieved 94.3% accuracy and 0.969 AUC, with an average inference time of 45.3 ms per sample (SD: 8.7 ms), demonstrating computational feasibility for real-time applications. This preliminary investigation establishes technical proof-of-concept, though validation with clinical populations remains necessary before medical deployment. Full article
(This article belongs to the Special Issue Artificial Intelligence Methods for Biomedical Data Processing)
Show Figures

Figure 1

15 pages, 1061 KB  
Article
Post-Exercise Cognition and Prefrontal Hemodynamic Responses in Athletes: An Investigation of Low vs. High Glycemic Index Breakfast
by Çiğdem Bediz, Ferya Bertan, Erkan Günay, Egemen Mancı and Cem Şeref Bediz
Nutrients 2025, 17(20), 3296; https://doi.org/10.3390/nu17203296 - 20 Oct 2025
Viewed by 453
Abstract
Background/Objectives: This study aimed to investigate the effects of low and high glycemic index (LGI and HGI) breakfasts on post-exercise cognitive functions and prefrontal hemodynamic responses. Methods: Ten male athletes aged 18–22 years participated in this study. The athletes conducted two [...] Read more.
Background/Objectives: This study aimed to investigate the effects of low and high glycemic index (LGI and HGI) breakfasts on post-exercise cognitive functions and prefrontal hemodynamic responses. Methods: Ten male athletes aged 18–22 years participated in this study. The athletes conducted two laboratory visits in a randomized manner. Athletes were given different glycemic index (GI) levels (low and high) for pre-exercise meals on different days, with the same calorie values, carbohydrate, and fat content. A total of 90 min after breakfast, a 30 min submaximal exercise was performed using a cycling ergometer. During the laboratory visits, blood glucose measurements were performed at the 0th (fasting), 90th (pre-exercise), and 120th (post-exercise) min. Additionally, the “3-Back test” was performed pre- and post-exercise to assess working memory and their prefrontal hemodynamic responses were monitored via functional Near-Infrared Spectroscopy. The collected data were evaluated in the SPSS 22 statistical program. Results: The HGI breakfast led to higher blood glucose levels at the 90th (pre-exercise) and 120th min (post-exercise) than LGI breakfast (p < 0.05). No difference was observed between HGI and LGI breakfasts in the results of the “3-Back Test” performed pre- and post-exercise. In terms of prefrontal hemodynamic responses, no difference was observed in post-exercise oxy-hemoglobin responses between the conditions. Conclusions: The findings of the study indicate that an increase in the glycemic index of breakfast has the potential to affect prefrontal oxygenation responses during cognitive tasks. However, no effect of glycemic index level was observed on cognitive and hemodynamic values at the end of the exercise. Full article
(This article belongs to the Special Issue Effect of Nutrition and Physical Activity on Cognitive Function)
Show Figures

Figure 1

10 pages, 378 KB  
Article
An Exploratory Study of Biceps Brachii Electromyographic Activity During Traditional Dumbbell Versus Bayesian Cable Curls
by Koulla Parpa, Antreas Vasiliou, Marcos Michaelides, Karuppasamy Govindasamy, Anton Chernov and Konstantina Intziegianni
Muscles 2025, 4(4), 45; https://doi.org/10.3390/muscles4040045 - 13 Oct 2025
Viewed by 1006
Abstract
Although previous studies have examined various factors that influence biceps brachii activation, such as grip position, load, and exercise variation, to our knowledge, no prior studies have compared muscle activation during a traditional biceps curl and a Bayesian cable curl. Therefore, this study [...] Read more.
Although previous studies have examined various factors that influence biceps brachii activation, such as grip position, load, and exercise variation, to our knowledge, no prior studies have compared muscle activation during a traditional biceps curl and a Bayesian cable curl. Therefore, this study aimed to examine the differences in biceps brachii muscle activation between these two training modalities. Data from eleven volunteers (age: 25 ± 6 y; weight: 86 ± 13 kg; height: 177 ± 8 cm) were included in the analysis. Muscle activity was assessed using the normalized root mean square (RMS) values obtained from surface electromyography (sEMG). A within-subjects, counterbalanced design was utilized where all participants completed both testing conditions in a randomized order to control for potential order effects. Participants visited the laboratory and fitness center on two occasions. On the first day, anthropometric measurements were obtained, along with one repetition maximum (1-RM) for both the dumbbell biceps curl and the Bayesian curl. On the second day, participants performed an isometric maximal voluntary contraction (MVC), followed by electromyographic assessment of muscle activity during the dumbbell biceps curl and the Bayesian curl, each performed at 80% of their respective 1-RM. When the normal distribution was confirmed via the Shapiro–Wilk test (p > 0.05), a paired t-test was used for statistical analysis. On the other hand, when normality was not confirmed, the Wilcoxon test was utilized. Statistically significant differences (p = 0.003) were observed in the EMG amplitude (%) between the biceps curl (111.46 ± 26.80) and the Bayesian curl (93.39 ± 15.65) with a large effect size (d = 0.82). Based on the EMG analysis, the dumbbell biceps curl elicited significantly greater muscle activation compared to the Bayesian curl, suggesting that the conventional movement places a higher mechanical and neuromuscular demand on the biceps brachii. Full article
Show Figures

Figure 1

14 pages, 1353 KB  
Article
Advanced Stress Echocardiography with Cardiopulmonary Exercise Testing After Myocardial Infarction
by Nektarios Lampros Afthonidis, Vasiliki Michou, Maria Anyfanti, Anastasios Dalkiranis, George Panayiotou, Nikolaos Koutlianos, Evangelia Kouidi and Asterios Deligiannis
J. Funct. Morphol. Kinesiol. 2025, 10(4), 393; https://doi.org/10.3390/jfmk10040393 - 9 Oct 2025
Viewed by 787
Abstract
Background: A thorough post-myocardial infarction (MI) evaluation is essential for prognosis and rehabilitation. While cardiopulmonary exercise testing (CPET) is the standard for assessing functional capacity, combining it with dynamic stress echocardiography (DSE) may offer a more comprehensive assessment. Aim: This study examined the [...] Read more.
Background: A thorough post-myocardial infarction (MI) evaluation is essential for prognosis and rehabilitation. While cardiopulmonary exercise testing (CPET) is the standard for assessing functional capacity, combining it with dynamic stress echocardiography (DSE) may offer a more comprehensive assessment. Aim: This study examined the role of stress echocardiography (SE) in male post-MI patients by evaluating left ventricular function with conventional indices and the change in global longitudinal strain (ΔGLS) at rest and during maximal treadmill CPET. A secondary aim was to determine whether ΔGLS could provide additional value to traditional measures in post-MI care. Methods: Eighteen men with a recent MI [15 ST-elevation MI, three non-ST-elevation MI; mean age 53.2 ± 5.9 years, mean body mass index (BMI) 27.9 ± 2.2, 44.4% with a smoking history) and 18 age-matched male controls (mean age 50.1 ± 10.8 years, mean BMI 26.5 ± 2.4, 39.0% with smoking history) were enrolled. All MI patients were under optimal medical therapy, including β-blockers, which were withheld on the test day. Most underwent percutaneous coronary intervention (PCI), coronary artery bypass grafting (CABG) n = 2, or PCI for non-ST-elevation MI (NSTEMI) n = 3. Left ventricular ejection fraction (LVEF) and global longitudinal strain (GLS) were measured at rest and at peak effort and correlated with CPET parameters. Results: Post-MI patients had lower LVEF (50.6% vs. 60.7% at rest; 55.3% vs. 67.4% at peak, both p < 0.001), impaired GLS (–14.7% vs. –20.2% at rest, p = 0.003; –15.8% vs. –22.7% at peak, p = 0.001), and reduced VO2peak (29.2 vs. 41.9 mL/kg/min, p < 0.001) compared with controls. In the MI group, ΔGLS correlated with VO2peak (r = –0.645, p = 0.003) and VE/VCO2 (r = 0.539, p = 0.020), indicating its potential as a marker of functional reserve. Conclusions: Combined CPET and SE offered comprehensive insights into functional and myocardial performance, identifying ΔGLS as a useful non-invasive index for risk stratification and rehabilitation after MI, with high feasibility and safety. Full article
Show Figures

Figure 1

11 pages, 1312 KB  
Article
Comparing Heart Rate and Heart Rate Reserve for Accurate Energy Expenditure Prediction Against Direct Measurement
by Yongsuk Seo, Yunbin Lee and Dae Taek Lee
Int. J. Environ. Res. Public Health 2025, 22(10), 1539; https://doi.org/10.3390/ijerph22101539 - 8 Oct 2025
Viewed by 779
Abstract
This study developed and validated simplified, individualized heart rate (HR)-based regression models to predict energy expenditure (EE) during treadmill exercise without direct VO2 calibration, addressing the need for more practical and accurate methods that overcome limitations of existing predictions and facilitate precise EE [...] Read more.
This study developed and validated simplified, individualized heart rate (HR)-based regression models to predict energy expenditure (EE) during treadmill exercise without direct VO2 calibration, addressing the need for more practical and accurate methods that overcome limitations of existing predictions and facilitate precise EE estimation outside specialized laboratory conditions. Energy expenditure was measured by assessing oxygen uptake (VO2) using a portable gas analyzer and predicted across three treadmill protocols: Bruce, Modified Bruce, and Progressive Speed. These protocols were selected to capture a wide range of exercise intensities and improve the accuracy of heart rate-based EE predictions. The six models combined heart rate, heart rate reserve (HRres), and demographic variables (sex, age, BMI, resting HR) using the Enter method of multiple regression, where all variables were included simultaneously to enhance the real-world applicability of the energy expenditure predictions. All models showed high accuracy with R2 values between 0.80 and 0.89, and there were no significant differences between measured and predicted energy expenditure (p ≥ 0.05). HRres-based models outperformed others at submaximal intensities and remained consistent across sex, weight, BMI, and resting HR variations. By incorporating individual resting and maximal HR values, HRres models offer a personalized, physiologically relevant estimation method. These results support integrating HRres-based EE prediction into wearable devices to improve accessible and precise monitoring of physiological energy metabolism. Full article
(This article belongs to the Section Exercise and Health-Related Quality of Life)
Show Figures

Figure 1

16 pages, 823 KB  
Article
Replacing Sedentary Time with Physical Activity and Sleep: A 24-Hour Movement Behaviour Perspective on Appetite Control
by Sundus Malaikah, Arwa Alruwaili, James P. Sanders, Alice E. Thackray, David J. Stensel, David Thivel, Joseph Henson, Alex V. Rowlands, Scott A. Willis and James A. King
Nutrients 2025, 17(19), 3163; https://doi.org/10.3390/nu17193163 - 7 Oct 2025
Viewed by 827
Abstract
Background: Physical activity, sedentary behaviour, and sleep are interdependent components of the 24 h movement profile that may influence appetite control. While acute exercise can alter appetite perceptions and food reward, less is known about how reallocating time between daily behaviours affects appetite [...] Read more.
Background: Physical activity, sedentary behaviour, and sleep are interdependent components of the 24 h movement profile that may influence appetite control. While acute exercise can alter appetite perceptions and food reward, less is known about how reallocating time between daily behaviours affects appetite outcomes under free-living conditions. Methods: We applied isotemporal-substitution modelling in a cross-sectional study of 130 young, healthy, active adults. Accelerometer-derived estimates of sedentary time, light physical activity (LPA), moderate-to-vigorous physical activity (MVPA), and sleep were analysed in relation to energy intake (food diaries, laboratory meals), subjective appetite perceptions, appetite-related hormones (acylated ghrelin, PYY, leptin), and psychological traits, including food reward (Leeds Food Preference Questionnaire, LFPQ), food cravings (Control of Eating Questionnaire, CoEQ), and eating behaviour traits (Three-Factor Eating Questionnaire, TFEQ). Results: Reallocating 30 min/day of sedentary time to MVPA was associated with higher energy intake in free-living (+113 kcal/day, 95% CI: 34–192) and laboratory settings (+120 kcal/day, 95% CI: 55–185), along with greater postprandial hunger and prospective food consumption, reduced fullness, elevated fasting acylated ghrelin, and lower postprandial PYY. No associations were observed for reallocations to LPA or sleep. Furthermore, sedentary time reallocations were unrelated to leptin or psychological eating traits assessed by the LFPQ, CoEQ, or TFEQ. Conclusions: In this population, reallocating sedentary time to MVPA was linked to physiological and behavioural compensation consistent with elevated energy demands, whereas reallocating to LPA or sleep showed no associations. Trait-level eating behaviours were unaffected, suggesting MVPA influences appetite primarily through acute physiological rather than enduring cognitive or hedonic pathways. Full article
(This article belongs to the Section Nutrition and Metabolism)
Show Figures

Figure 1

14 pages, 994 KB  
Article
Evaluating the Divide Between Patients’ and Physicians’ Perceptions of Adult-Onset Still’s Disease Cases: Insights from the PRO-AOSD Survey
by Norbert Blank, Ioana Andreica, Jürgen Rech, Zekayi Sözen and Eugen Feist
J. Clin. Med. 2025, 14(19), 7034; https://doi.org/10.3390/jcm14197034 - 4 Oct 2025
Viewed by 440
Abstract
Background/Objectives: This study aims to report and compare data from the PRO-AOSD (patient-reported outcomes adult-onset Still’s disease) survey in patients with AOSD from the perspective of patients and their treating physicians. Methods: PRO-AOSD comprised blinded patient and physician surveys. The surveys [...] Read more.
Background/Objectives: This study aims to report and compare data from the PRO-AOSD (patient-reported outcomes adult-onset Still’s disease) survey in patients with AOSD from the perspective of patients and their treating physicians. Methods: PRO-AOSD comprised blinded patient and physician surveys. The surveys were designed to assess perceived symptoms and physical impairment. Outcomes reported here include patient demographics; physicians’ assessment of the patient’s health state; physician-reported laboratory findings; pain; disease activity; symptoms; physicians’ treatment goals; and the impact of lifestyle factors on disease improvement. Results: Adult patients with AOSD were recruited from 19 centers in Germany. A total of 124 patients were included, with 74 (59.7%) females; the mean age was 45.5 years. The mean time from first symptom to diagnosis was 2 years, and the mean time was 7 years from diagnosis to survey completion (N = 123). Of 107 patients, most (81.3%) had inactive disease defined by CRP levels. At the time of the survey, around two-thirds of patients were receiving biologic therapy, with 84.1% (69/82) reporting an improvement in symptoms. Many patients had previously received antibiotics (47.6% [n = 58] and 30.4% [n = 37], per patient and physician reports, respectively). Persistent symptoms were reported more frequently by patients than by physicians, including back pain (39.5%), fatigue and weakness (38.7%), and joint inflammation (27.4%). Physicians classified 35.5% of patients as symptom-free. Patients reported exercise as having a positive impact on symptoms (52.4%), while stress (74.2%) and sleep deprivation (62.9%) were reported to worsen symptoms. Targeting systemic manifestations, such as the absence of fever (58.1%, n = 72), was considered the most important treatment goal by physicians. Conclusions: Data from PRO-AOSD highlight distinct differences between patients’ and physicians’ interpretations of the same cases of AOSD. Prior Presentation: These data were presented at the German Congress of Rheumatology (DGRh; 30 August–2 September 2023; Leipzig, Germany). Full article
Show Figures

Figure 1

20 pages, 1836 KB  
Review
Cardiopulmonary Exercise Testing in the Prognostic Assessment of Heart Failure: From a Standardized Approach to Tailored Therapeutic Strategies
by Fiorella Puttini, Beatrice Pezzuto and Carlo Vignati
Medicina 2025, 61(10), 1770; https://doi.org/10.3390/medicina61101770 - 30 Sep 2025
Viewed by 685
Abstract
Cardiopulmonary Exercise Testing (CPET) is the gold standard for the functional assessment in patients with heart failure (HF), providing objective parameters that reflect the integrated response of the cardiovascular, respiratory, and muscular systems, in addition several CPET-derived variables have shown independent prognostic value [...] Read more.
Cardiopulmonary Exercise Testing (CPET) is the gold standard for the functional assessment in patients with heart failure (HF), providing objective parameters that reflect the integrated response of the cardiovascular, respiratory, and muscular systems, in addition several CPET-derived variables have shown independent prognostic value in patients with both reduced (HFrEF) and preserved ejection fraction (HFpEF) HF. This review aims to critically analyze the main CPET prognostic variables in heart failure, highlighting their underlying pathophysiological mechanisms, their predictive capacity for mortality and hospitalizations, and their integration into clinical decision-making models. Parameters such as peak oxygen uptake (VO2), minute ventilation/carbon dioxide production (VE/VCO2) slope, periodic breathing (or exercise oscillatory ventilation—EOV), anaerobic threshold (AT), oxygen pulse, and VO2/work slope provide complementary insights into clinical risk; moreover, the combination of multiple CPET variables allows for more accurate risk stratification compared to the isolated use of each parameter. Multiparametric prognostic models such as the Metabolic Exercise Cardiac Kidney Index (MECKI) score, the Seattle Heart Failure Model, and the Heart Failure Survival Score (HFSS) incorporate these variables alongside clinical and laboratory data to guide advanced management and therapeutic decisions, including heart transplantation or left ventricular assistant device (LVAD) implantation. For these reasons, CPET-derived variables are essential prognostic tools in heart failure. Beyond improving risk stratification, their integration into multiparametric models supports a more personalized therapeutic approach, including tailored pharmacological management. Full article
(This article belongs to the Special Issue Atrial Fibrillation and Heart Failure Management)
Show Figures

Figure 1

Back to TopTop