Sign in to use this feature.

Years

Between: -

Subjects

remove_circle_outline
remove_circle_outline
remove_circle_outline
remove_circle_outline
remove_circle_outline
remove_circle_outline
remove_circle_outline
remove_circle_outline
remove_circle_outline

Journals

remove_circle_outline
remove_circle_outline
remove_circle_outline
remove_circle_outline
remove_circle_outline

Article Types

Countries / Regions

remove_circle_outline
remove_circle_outline
remove_circle_outline
remove_circle_outline
remove_circle_outline

Search Results (1,870)

Search Parameters:
Keywords = jasmonates

Order results
Result details
Results per page
Select all
Export citation of selected articles as:
19 pages, 916 KB  
Review
The Mechanisms of Sphagneticola trilobata Invasion as One of the Most Aggressive Invasive Plant Species
by Hisashi Kato-Noguchi and Midori Kato
Diversity 2025, 17(10), 698; https://doi.org/10.3390/d17100698 (registering DOI) - 6 Oct 2025
Abstract
Sphagneticola trilobata (L.) Pruski has been introduced to many countries due to its ornamental and economic value. However, it has been listed in the world’s 100 worst alien invasive species due to its invasive nature. This species easily escapes cultivation and forms dense [...] Read more.
Sphagneticola trilobata (L.) Pruski has been introduced to many countries due to its ornamental and economic value. However, it has been listed in the world’s 100 worst alien invasive species due to its invasive nature. This species easily escapes cultivation and forms dense ground covers. It reproduces asexually through ramet formation from stem fragments. It also produces a large number of viable seeds that establish extensive seed banks. The movement of stem fragments and the dispersal of seeds, coupled with human activity, contribute to its short- and long-distance distribution. S. trilobata grows rapidly due to its high nutrient absorption and photosynthetic abilities. It exhibits high genetic and epigenetic variation. It can adapt to the different habitats and tolerate various adverse environmental conditions, including cold and high temperatures, low and high light irradiation, low nutrient levels, waterlogging, drought, salinity and global warming. S. trilobata has powerful defense systems against herbivory and pathogen infection. These systems activate the jasmonic acid signaling pathway, producing several defensive compounds. This species may also acquire more resources through allelopathy, which suppresses the germination and growth of neighboring plants. These life history traits and defensive abilities likely contribute to its invasive nature. This is the first review to focus on the mechanisms of its invasiveness in terms of growth, and reproduction, as well as its ability to adapt to different environmental conditions and defend itself. Full article
(This article belongs to the Special Issue Ecology, Distribution, Impacts, and Management of Invasive Plants)
18 pages, 2652 KB  
Article
Dual Benefits of Endophytic Bacillus velezensis Amzn015: Growth Promotion and Root Rot Control in Atractylodes macrocephala
by Na Zhu, Jiongyi Wu, Sen Fan, Qingling Meng, Shijie Dai, Mingjiang Mao, Weichun Zhao and Xiaofeng Yuan
Microorganisms 2025, 13(10), 2300; https://doi.org/10.3390/microorganisms13102300 - 3 Oct 2025
Abstract
Atractylodes macrocephala Koidz. (A. macrocephala), a medicinal plant extensively used in traditional Chinese medicine, is greatly susceptible to root rot under continuous monoculture, leading to serious yield and quality losses. To develop a sustainable control strategy, we isolated the endophytic bacterium [...] Read more.
Atractylodes macrocephala Koidz. (A. macrocephala), a medicinal plant extensively used in traditional Chinese medicine, is greatly susceptible to root rot under continuous monoculture, leading to serious yield and quality losses. To develop a sustainable control strategy, we isolated the endophytic bacterium Bacillus velezensis (B. velezensis) Amzn015 from healthy A. macrocephala plants and assessed its biocontrol efficacy and underlying mechanisms. In vitro assays showed that Amzn015 significantly inhibited Fusarium oxysporum and other phytopathogenic fungi by disrupting hyphal morphology and reducing spore viability. Pot experiments confirmed its effectiveness in reducing disease incidence and promoting plant growth. Mechanistically, Amzn015 induced reactive oxygen species accumulation and upregulated key defense responsive genes involved in salicylic acid, jasmonic acid/ethylene, and phenylpropanoid signaling pathways. The findings imply that Amzn015 synchronously activates systemic acquired resistance and induced systemic resistance in A. macrocephala. This dual activation contributes to enhanced immunity and plant vigor under pathogen challenge. Our findings offer fresh perspectives on the biocontrol potential of endophytic B. velezensis Amzn015 and support its application as an eco-friendly agent for managing root rot in medicinal crops. Full article
(This article belongs to the Section Plant Microbe Interactions)
Show Figures

Figure 1

21 pages, 5333 KB  
Article
Leaf Blight in Ilex verticillata Caused by Alternaria alternata: Mechanisms of Antioxidant Defense, Phytohormone Crosstalk, and Oxidative Stress Responses
by Huijie Lu, Caixia Zhou, Peiwen Cheng, Liangye Huang, Qinyuan Shen, Ye Zheng, Yihui Li, Wenjun Dai, Jianhong Zhang, Dengfeng Shen, Anket Sharma, Muhammad Junaid Rao, Bingsong Zheng and Huwei Yuan
Plants 2025, 14(19), 3057; https://doi.org/10.3390/plants14193057 - 3 Oct 2025
Abstract
Ilex verticillata (winterberry) is a valuable ornamental shrub increasingly threatened by leaf blight, a disease that compromises its aesthetic and economic value. While fungal pathogens like Alternaria alternata are known to cause leaf blight in horticultural crops, their role in I. verticillata and [...] Read more.
Ilex verticillata (winterberry) is a valuable ornamental shrub increasingly threatened by leaf blight, a disease that compromises its aesthetic and economic value. While fungal pathogens like Alternaria alternata are known to cause leaf blight in horticultural crops, their role in I. verticillata and the host’s defense mechanisms have not been fully characterized. Our study investigated the pathogen-host interaction by identifying the causal agent and examining the physiological and molecular defense mechanisms of I. verticillata. Through morphological and multi-locus molecular analyses (ITS, TEF1-α, G3PDH, RPB2), A. alternata was confirmed as the primary pathogen, fulfilling Koch’s postulates. Pathogenicity assays revealed distinct disease progression stages, from necrotic lesions to tissue degradation. Transcriptomic profiling uncovered dynamic host responses, with early upregulation of pattern recognition receptors (PRRs) and transcripts encoding antioxidant enzymes (SOD, CAT), followed by downregulation of metabolic pathway genes. Phytohormone analysis highlighted intricate crosstalk, with salicylic acid (SA) peaking during mid-infection and jasmonic acid (JA) rebounding later, reflecting a coordinated defense strategy. Additionally, the oxidative stress marker malondialdehyde (MDA), an indicator of membrane lipid peroxidation, surged early, indicating membrane damage, while sustained induction of antioxidant enzymes suggested adaptive responses. The key finding was distinct phytohormone crosstalk, characterized by a mid-infection SA peak followed by a late JA rebound, alongside an early oxidative burst marked by MDA accumulation and sustained antioxidant enzyme activity. These findings provide a framework for understanding I. verticillata’s defense mechanisms and offer insights for developing targeted disease management strategies, such as resistant cultivar breeding or hormone-mediated interventions. Full article
Show Figures

Figure 1

20 pages, 4391 KB  
Article
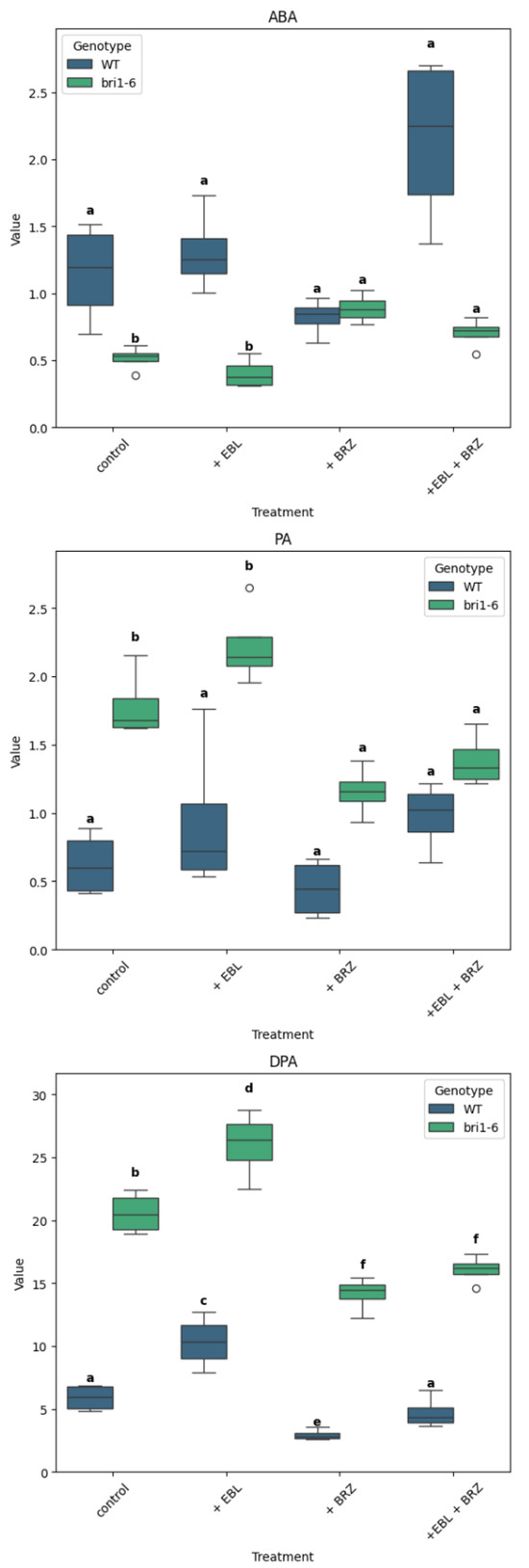
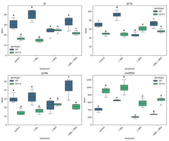
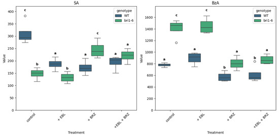
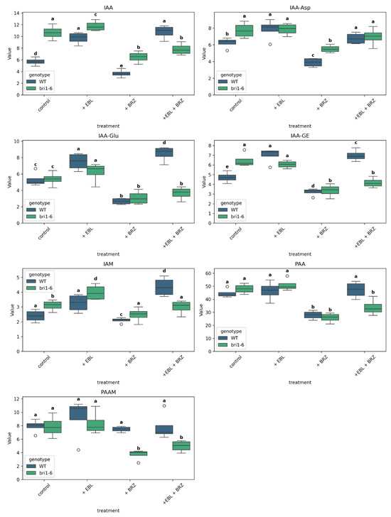
Brassinosteroid Synthesis and Perception Differently Regulate Phytohormone Networks in Arabidopsis thaliana
by Yaroslava Bukhonska, Michael Derevyanchuk, Roberta Filepova, Jan Martinec, Petre Dobrev, Eric Ruelland and Volodymyr Kravets
Int. J. Mol. Sci. 2025, 26(19), 9644; https://doi.org/10.3390/ijms26199644 - 2 Oct 2025
Abstract
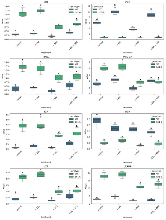
Brassinosteroids (BRs) are essential regulators of plant development and stress responses, but the distinct contributions of BR biosynthesis and signaling to hormonal crosstalk remain poorly defined. Here, we investigated the effects of the BR biosynthesis inhibitor brassinazole (BRZ) and the BR-insensitive mutant bri1-6 [...] Read more.
Brassinosteroids (BRs) are essential regulators of plant development and stress responses, but the distinct contributions of BR biosynthesis and signaling to hormonal crosstalk remain poorly defined. Here, we investigated the effects of the BR biosynthesis inhibitor brassinazole (BRZ) and the BR-insensitive mutant bri1-6 on endogenous phytohormone profiles in Arabidopsis thaliana. Using multivariate analysis and targeted hormone quantification, we show that BRZ treatment and BRI1 disruption alter hormone balance through partially overlapping but mechanistically distinct pathways. Principal component analysis (PCA) and hierarchical clustering revealed that BRZ and the bri1-6 mutation do not phenocopy each other and that BRZ still alters hormone profiles even in the bri1-6 mutant, suggesting potential BRI1-independent effects. Both BRZ treatment and the bri1-6 mutation tend to influence cytokinins and auxin conjugates divergently. On the contrary, their effects on stress-related hormones converge: BRZ decreases salicylic acid (SA), jasmonic acid (JA), and abscisic acid (ABA) in the WT leaves; similarly, bri1-6 mutants show reduced SA, JA, and ABA. These results indicate that BR biosynthesis and BRI1-mediated perception may contribute independently to hormonal reprogramming, with BRZ eliciting additional effects, possibly via metabolic feedback, compensatory signaling, or off-target action. Hormone correlation analyses revealed conserved co-regulation clusters that reflect underlying regulatory modules. Altogether, our findings provide evidence for a partial uncoupling of BR levels and BR signaling and illustrate how BR pathways intersect with broader hormone networks to coordinate growth and stress responses. Full article
(This article belongs to the Special Issue Emerging Insights into Phytohormone Signaling in Plants)
Show Figures

Figure 1

38 pages, 2633 KB  
Review
Preservation of Fruit Quality at Postharvest Through Plant-Based Extracts and Elicitors
by Dixin Chen, Li Liu, Zhongkai Gao, Jianshe Zhao, Yingjun Yang and Zhiguo Shen
Horticulturae 2025, 11(10), 1186; https://doi.org/10.3390/horticulturae11101186 - 2 Oct 2025
Abstract
Plant-based extracts and elicitors (signaling molecules that activate the fruit’s innate defense responses) have emerged as promising and sustainable alternatives to synthetic chemicals for preserving postharvest fruit quality and extending shelf life. This review provides a comprehensive analysis, uniquely complemented by a bibliometric [...] Read more.
Plant-based extracts and elicitors (signaling molecules that activate the fruit’s innate defense responses) have emerged as promising and sustainable alternatives to synthetic chemicals for preserving postharvest fruit quality and extending shelf life. This review provides a comprehensive analysis, uniquely complemented by a bibliometric assessment of the research landscape from 2005 to 2025, to identify key trends and effective solutions. This review systematically examined the efficacy of various natural compounds including essential oils (complex volatile compounds with potent antimicrobial activity such as lemongrass and thyme), phenolic-rich botanical extracts like neem and aloe vera, and plant-derived elicitors such as methyl jasmonate and salicylic acid. Their preservative mechanisms are multifaceted, involving direct antimicrobial activity by disrupting microbial membranes, potent antioxidant effects that scavenge free radicals, and the induction of a fruit’s innate defense systems, enhancing the activity of enzymes like superoxide dismutase (SOD), catalase (CAT), and peroxidase (POD). Applications of edible coatings of chitosan or aloe vera gel, nano-emulsions, and pre- or postharvest treatments effectively reduce decay by Botrytis cinerea and Penicillium spp.), delay ripening by suppressing ethylene production, minimize water loss, and alleviate chilling injury. Despite their potential, challenges such as sensory changes, batch-to-batch variability, regulatory hurdles, and scaling production costs limit widespread commercialization. Future prospects hinge on innovative technologies like nano-encapsulation to improve stability and mask flavors, hurdle technology combining treatments synergistically, and optimizing elicitor application protocols. This review demonstrates the potential of continued research and advanced formulation to create plant-based preservatives, that can become integral components of an eco-friendly postharvest management strategy, effectively reducing losses and meeting consumer demands for safe, high-quality fruit. Full article
(This article belongs to the Section Postharvest Biology, Quality, Safety, and Technology)
Show Figures

Graphical abstract

18 pages, 3623 KB  
Article
Identification of the CDPK Pan-Genomic Family in Pear (Pyrus spp.) and Analysis of Its Response to Venturia nashicola
by Xing Hu, Yixuan Lian, Zhaoyun Yang, Tong Li, Yuqin Song and Liulin Li
Horticulturae 2025, 11(10), 1181; https://doi.org/10.3390/horticulturae11101181 - 2 Oct 2025
Abstract
This study investigated the phylogenetic relationships in the pear calcium-dependent protein kinase (CDPK) pan-gene family and elucidated its role in the resistance to scab disease caused by Venturia nashicola. By integrating data from eight genomic sets from five cultivated pear species, Pyrus [...] Read more.
This study investigated the phylogenetic relationships in the pear calcium-dependent protein kinase (CDPK) pan-gene family and elucidated its role in the resistance to scab disease caused by Venturia nashicola. By integrating data from eight genomic sets from five cultivated pear species, Pyrus bretschneideri, P. ussuriensis, P. sinkiangensis, P pyrifolia, and P. communis, along with P. betulifolia and interspecific hybrids, 63 PyCDPK family members were identified. Among these, P. communis possessed the highest number of CDPK genes, whereas P. bretschneiderilia had the fewest. These genes encode proteins ranging from 459 to 810 amino acids in length, and are predominantly localized to the cell membrane. Six genes, PyCDPK9, PyCDPK11, PyCDPK12, PyCDPK14, PyCDPK16, and PyCDPK19, were classified as core members of the pan-genome, and PyCDPK19 showed evidence of positive selection pressure. Clustering analysis and transcriptomic expression profiling of disease-resistance-related CDPKs identified PyCDPK19 as a key candidate associated with scab resistance. Promoter analysis revealed that the regulatory region of PyCDPK19 contains multiple cis-acting elements involved in defense responses and methyl jasmonate signaling. Transient overexpression of PyCDPK19 in tobacco leaves induced hypersensitive cell necrosis, accompanied by significant increases in hydrogen peroxide (H2O2) accumulation and malondialdehyde (MDA) content. Similarly, overexpression in pear fruit callus tissue followed by pathogen inoculation resulted in elevated levels of both H2O2 and MDA. Collectively, these findings indicate that PyCDPK19 mediates defense responses through the activation of the reactive oxygen species pathway in both tobacco and pear plants, providing a promising genetic target for enhancing scab resistance in pears. Full article
(This article belongs to the Section Genetics, Genomics, Breeding, and Biotechnology (G2B2))
Show Figures

Figure 1

19 pages, 21171 KB  
Article
Structural, Physiological, and Biochemical Responses of Oreorchis patens (Lindl.) Leaves Under Cold Stress
by Lan Yu, Na Cui, Yuyan Zhang, Yufeng Xu, Qing Miao, Xuhui Chen, Meini Shao and Bo Qu
Horticulturae 2025, 11(10), 1178; https://doi.org/10.3390/horticulturae11101178 - 2 Oct 2025
Abstract
Cold stress significantly impairs plant growth and development, making the study of cold resistance mechanisms a critical research focus. Oreorchis patens (Lindl.) exhibits strong cold hardiness, yet its molecular and physiological adaptations to cold stress remain unclear. This study utilized microscopy, physiological assays, [...] Read more.
Cold stress significantly impairs plant growth and development, making the study of cold resistance mechanisms a critical research focus. Oreorchis patens (Lindl.) exhibits strong cold hardiness, yet its molecular and physiological adaptations to cold stress remain unclear. This study utilized microscopy, physiological assays, and RNA sequencing to comprehensively investigate O. patens’s responses to cold stress. The results reveal that cold stress altered leaf anatomy, leading to irregular mesophyll cells, deformed chloroplasts, and variable epidermal thickness. Physiologically, SOD and POD activities peaked at 5 °C/−10 °C, while CAT activity declined; osmotic regulators (soluble sugars, proline) increased with decreasing temperatures. Compared to the reference plants (e.g., Erigeron canadensis, Allium fistulosum), O. patens exhibited lower SOD and POD but markedly higher CAT activities, alongside reduced MDA, soluble sugars, proline, and proteins, underscoring its distinctive tolerance strategy. Low temperature stress (≤10 °C/5 °C) significantly decreased the SPAD index; the net photosynthetic rate (Pn) initially increased and then approached zero within the temperature range from 30 °C/25 °C to 25 °C/20 °C; transpiration rate (Tr) and stomatal conductance (Gs) changed synchronously, accompanied by an increase in intercellular CO2 concentration (Ci). RNA sequencing identified 1139 cold-responsive differentially expressed genes, which were primarily enriched in flavonoid/lignin biosynthesis, jasmonic acid synthesis, and ROS scavenging pathways. qRT-PCR analysis revealed the role of secondary metabolites in O. patens response to cold stress. This study was the first to discuss the physiological, biochemical, and molecular regulatory mechanisms of O. patens resistance to cold stress, which provides foundational insights into its overwintering mechanisms and informs breeding strategies for cold-hardy horticultural crops in northern China. Full article
(This article belongs to the Special Issue New Insights into Protected Horticulture Stress)
Show Figures

Figure 1

18 pages, 8385 KB  
Article
Genome-Wide Identification of the TCP Gene Family in Chimonanthus praecox and Functional Analysis of CpTCP2 Regulating Leaf Development and Flowering in Transgenic Arabidopsis
by Yinzhu Cao, Gangyu Guo, Huafeng Wu, Xia Wang, Bin Liu, Ximeng Yang, Qianli Dai, Hengxing Zhu, Min Lu, Haoxiang Zhu, Zheng Li, Chunlian Jin, Shenchong Li and Shunzhao Sui
Plants 2025, 14(19), 3039; https://doi.org/10.3390/plants14193039 - 1 Oct 2025
Abstract
TCP transcription factors represent a crucial family of plant regulators that contribute significantly to growth and developmental processes. Although the TCP gene family has been extensively studied in various plant species, research on Chimonanthus praecox (wintersweet) remains limited. Here, we performed genome-wide identification [...] Read more.
TCP transcription factors represent a crucial family of plant regulators that contribute significantly to growth and developmental processes. Although the TCP gene family has been extensively studied in various plant species, research on Chimonanthus praecox (wintersweet) remains limited. Here, we performed genome-wide identification and analysis of the TCP gene family in C. praecox and identified 22 CpTCP genes. We further systematically examined the associated physicochemical properties, evolutionary relationships, gene structures, and regulatory features. Analysis revealed that all CpTCP proteins possess a conserved TCP domain, and subcellular localization prediction indicated their localization in the nucleus. Promoter analysis revealed that multiple cis-elements are associated with abiotic stress responses and plant growth regulation. Further analysis revealed high CpTCP2 expression in the leaves and stamen, with significantly increased levels during flower senescence. CpTCP2 expression was upregulated in response to methyl jasmonate (MeJA), salicylic acid, abscisic acid, and shade. CpTCP2 overexpression in Arabidopsis thaliana resulted in a reduced leaf area, delayed flowering, and increased rosette leaf numbers. Moreover, MeJA treatment accelerated leaf senescence in CpTCP2 transgenic Arabidopsis. These findings provide insights into the evolutionary characteristics of the TCP family in C. praecox, highlighting the functional role of CpTCP2 in regulating leaf development and flowering time in Arabidopsis, thereby offering valuable genetic resources for wintersweet molecular breeding. Full article
(This article belongs to the Special Issue Omics Approaches to Analyze Gene Regulation in Plants)
Show Figures

Figure 1

23 pages, 4747 KB  
Article
Effects of Exogenous Methyl Jasmonate on Metabolism and Soil Activity in Chrysanthemum morifolium
by Guimei Tang, Fan Zhao, Xiaoling Xiao, Yingshu Peng, Yuxia Zhou, Li Zhang, Jilong Yang, Yuanzhi Xiao, Yang Liu, Weidong Li and Guolin Huang
Plants 2025, 14(19), 3026; https://doi.org/10.3390/plants14193026 - 30 Sep 2025
Abstract
Challenges significantly hinder the sustainable cultivation of tea chrysanthemum, leading to imbalances in soil nutrients, the accumulation of allelopathic phenolic acids, reduced enzymatic activity, and disruptions in rhizosphere microbial communities. To explore potential mitigation strategies, this study systematically evaluated the integrative effects of [...] Read more.
Challenges significantly hinder the sustainable cultivation of tea chrysanthemum, leading to imbalances in soil nutrients, the accumulation of allelopathic phenolic acids, reduced enzymatic activity, and disruptions in rhizosphere microbial communities. To explore potential mitigation strategies, this study systematically evaluated the integrative effects of exogenous methyl jasmonate (MeJA, 0–400 (μmol L−1)) on both soil environmental parameters and plant growth performance under continuous cropping conditions. The results revealed that treatment with 100 (μmol L−1) MeJA significantly enhanced plant height, canopy width, flower number, and fresh flower weight. Concurrently, it improved soil organic matter content, the available nitrogen levels, and redox stability while increasing the activity of key enzymes, including polyphenol oxidase, urease, and catalase. Notably, this treatment markedly reduced the accumulation of allelopathic phenolic acids, such as p-hydroxybenzoic acid and vanillic acid. High-throughput sequencing further demonstrated that 100 (μmol L−1) MeJA optimized the composition of soil microbial communities, increasing the abundance of beneficial taxa, such as nitrogen-fixing and phosphate-solubilizing bacteria, while suppressing pathogenic fungi. Metabolomic analysis showed that this concentration of MeJA activated stress-resistance metabolic pathways involving flavonoids and terpenoids while downregulating degradation-related processes, thereby supporting enhanced plant resilience at the metabolic level. Collectively, these findings demonstrate that an appropriate concentration of exogenous MeJA can effectively alleviate continuous cropping obstacles in Chrysanthemum morifolium, providing both theoretical insights and practical guidance for its eco-friendly and efficient cultivation. Full article
(This article belongs to the Section Plant–Soil Interactions)
Show Figures

Figure 1

19 pages, 5313 KB  
Article
Gibberellin Disrupts Hormonal Homeostasis and Anther Integrity to Trigger Sex Reversal in Spinach
by Tengqi Wang, Ehsan Khalid, Haoming Mao, Yihan Tong, Xinyu Xue, Yuru Tang, Lingmin Cai and Ray Ming
Int. J. Mol. Sci. 2025, 26(19), 9505; https://doi.org/10.3390/ijms26199505 - 28 Sep 2025
Abstract
Spinach is a dioecious vegetable and an excellent model for investigating plant sex differentiation. Exogenous gibberellin treatment induced sepal hypoplasia and sex reversal, converting 42% of stamens into pistils in male plants. Transcriptome analysis identified 112 male-biased genes enriched in stamen and pollen [...] Read more.
Spinach is a dioecious vegetable and an excellent model for investigating plant sex differentiation. Exogenous gibberellin treatment induced sepal hypoplasia and sex reversal, converting 42% of stamens into pistils in male plants. Transcriptome analysis identified 112 male-biased genes enriched in stamen and pollen development, while hormone profiling revealed coordinated changes in GA, cytokinins, auxin, jasmonic acid, and abscisic acid. Functional assays demonstrated that silencing SpAMS or SpPGIP caused extensive carpelization, and in situ hybridization localized their expression to developing anthers. Dual-luciferase assays confirmed that SpAMS directly activates the B-class gene SpPI, and genomic mapping placed SpAMS in the pseudo-autosomal region of the Y chromosome. These results indicate that GA disrupts hormonal homeostasis and anther wall integrity, while the SpAMS–SpPI pathway regulates tapetal development to maintain male identity. Our findings identify SpAMS as a key male-promoting factor in spinach and provide a framework for elucidating sex determination mechanisms in dioecious plants. Full article
(This article belongs to the Section Molecular Plant Sciences)
Show Figures

Figure 1

25 pages, 16017 KB  
Article
Identification of Key Regulatory Genes Associated with Double-Petaled Phenotype in Lycoris longituba via Transcriptome Profiling
by Zhong Wang, Xiaoxiao Xu, Chuanqi Liu, Fengjiao Zhang, Xiaochun Shu and Ning Wang
Horticulturae 2025, 11(10), 1156; https://doi.org/10.3390/horticulturae11101156 - 26 Sep 2025
Abstract
Lycoris longituba produces a single flower bearing six tepals. The double-petaled phenotype of L. longituba has gained significant interest in China due to its ornamental and commercial value in tourism industries. This double-petal phenotype, characterized by stamen petalization, shows improved esthetic characteristics compared [...] Read more.
Lycoris longituba produces a single flower bearing six tepals. The double-petaled phenotype of L. longituba has gained significant interest in China due to its ornamental and commercial value in tourism industries. This double-petal phenotype, characterized by stamen petalization, shows improved esthetic characteristics compared with conventional single-petal form. However, the molecular mechanisms underlying this floral trait remain largely undefined. In this study, RNA-based comparative transcriptomic analysis was performed between single- and double-petaled flowers of L. longituba at the fully opened flower stage. Approximately 13,848 differentially expressed genes (DEGs) were identified (6528 upregulated and 7320 downregulated genes). Functional annotation through Gene Ontology (GO) and Kyoto Encyclopedia of Genes and Genomes (KEGG) enrichment analyses revealed several DEGs potentially involved in double-petal development. Six candidate genes, including the hub genes LlbHLH49, LlNAC1, LlSEP, LlTIFY, and LlAGL11, were identified based on DEG functional annotation and weighted gene co-expression network analysis (WGCNA). Transcription factors responsive to phytohormonal signaling were found to play a pivotal role in modulating double-petal development. Specifically, 123 DEGs were involved in phytohormone biosynthesis and signal transduction pathways, including those associated with auxin, cytokinin, gibberellin, ethylene, brassinosteroid, and jasmonic acid. Moreover, 521 transcription factors (TFs) were identified, including members of the MYB, WRKY, AP2/ERF, and MADS-box families. These results improve the current understanding of the genetic regulation of the double tepal trait in L. longituba and offer a base for future molecular breeding strategies to enhance ornamental characteristics. Full article
(This article belongs to the Topic Genetic Breeding and Biotechnology of Garden Plants)
Show Figures

Figure 1

23 pages, 2091 KB  
Article
Depicting the Physiological, Biochemical and Metabolic Responses to the Removal of Adventitious Roots and Their Functions in Cucumis melo Under Waterlogging Stress
by Huanxin Zhang, Chengpu Yan, Qian Chen and Guoquan Li
Agronomy 2025, 15(10), 2281; https://doi.org/10.3390/agronomy15102281 - 26 Sep 2025
Abstract
Waterlogging poses a grave abiotic stress that hampers crop productivity and survival due to reduced oxygen availability in the impacted tissues. To adapt to this hypoxic environment, the hypocotyls of melon (Cucumis melo L.) seedlings can produce a profusion of adventitious roots [...] Read more.
Waterlogging poses a grave abiotic stress that hampers crop productivity and survival due to reduced oxygen availability in the impacted tissues. To adapt to this hypoxic environment, the hypocotyls of melon (Cucumis melo L.) seedlings can produce a profusion of adventitious roots when exposed to waterlogging stress. However, research on the significance of these adventitious roots under waterlogging stress has been limited. The present study aimed to elucidate the critical role of adventitious roots by investigating the physiological, biochemical, and metabolic changes that occur following their removal during waterlogging stress. The removal of adventitious roots compromised the normal growth of melon seedlings, resulting in phenotypic abnormalities such as chlorotic and withered leaves. Our results indicated that the removal of adventitious roots led to significant reductions in total chlorophyll levels by 62.89% and 43.60% compared to the normal control condition and waterlogging stress alone, respectively. Additionally, in the adventitious root removal treatment, higher malondialdehyde (MDA) content, O2•− production rate, monodehydroascorbate reductase (MDHAR) activity, alcohol dehydrogenase (ADH) activity, the AsA/DHA ratio, proline content, jasmonic acid (JA) content, and 1-aminocyclopropane-1-carboxylic acid (ACC) content were observed. Specifically, JA levels were significantly enhanced by 180.54% and 52.05%, and ACC levels were significantly increased by 519.23% and 125.16% compared to the control and waterlogging stress conditions, respectively. Through untargeted metabolomic analysis, a total of 447 differentially accumulated metabolites (DAMs) were identified. Notably, jasmonic acid and brassinolide, which are involved in plant hormone signal transduction, along with cyanidin 3-(2G-xylosylrutinoside) classified as flavonoids, (2S,3′S)-α-amino-2-carboxy-5-oxo-1-pyrrolidinebutanoic acid categorized as proline and derivatives, and ligstroside-aglycone and foeniculoside VII annotated as terpenoids, exhibited key roles in the waterlogging response. This research enhances our understanding of the mechanisms underlying the removal of adventitious roots during waterlogging stress, as well as the associated physiological, biochemical, and metabolic changes. These findings provide valuable insights into the crucial role of adventitious roots in melon seedlings subjected to waterlogging stress and may inform strategies for enhancing waterlogging tolerance in breeding practices. Full article
(This article belongs to the Section Plant-Crop Biology and Biochemistry)
Show Figures

Figure 1

26 pages, 15140 KB  
Article
Genome-Wide Analysis and Functional Characterization of Small Heat Shock Proteins in Allium sativum L. Under Multiple Abiotic Stresses
by Na Li, Bing He and Zhenyu Cao
Biology 2025, 14(10), 1326; https://doi.org/10.3390/biology14101326 - 25 Sep 2025
Abstract
Small heat shock proteins play a pivotal role in maintaining protein homeostasis under abiotic stress conditions and are indispensable for plant viability. In the present study, a comprehensive characterization of this gene family in Allium sativum was conducted through genome-wide sequence identification, phylogenetic [...] Read more.
Small heat shock proteins play a pivotal role in maintaining protein homeostasis under abiotic stress conditions and are indispensable for plant viability. In the present study, a comprehensive characterization of this gene family in Allium sativum was conducted through genome-wide sequence identification, phylogenetic reconstruction, conserved motif analysis, promoter cis-element profiling, transcriptomic investigation, quantitative real-time PCR, subcellular localization, and yeast-based functional assays. A total of 114 small heat shock protein genes were identified across eight chromosomes and subsequently classified into ten phylogenetic subgroups. All encoded proteins conserved the α-crystallin domain, whereas their exon–intron architectures and promoter elements responsive to environmental stress or phytohormones exhibited considerable diversity. The predicted proteins range from 130 to 364 amino acids, with isoelectric points (pI) spanning 3.97 to 9.95 and GRAVY values from −1.131 to −0.014, indicating predominantly hydrophilic characteristics. Subcellular localization analysis revealed a broad distribution across the cytoplasm, chloroplasts, mitochondria, and other compartments, with the majority (74 proteins) localized in the cytoplasm. Synteny analysis uncovered two segmentally duplicated gene pairs (AsHSP20-80/31, and AsHSP20-81/32), both showing strong purifying selection (Ka/Ks = 0.0459 and 0.2545, respectively), suggesting functional conservation. Expression profiling demonstrated predominant transcript accumulation in bulbs and floral organs, with significant induction under heat, salinity, and jasmonic acid treatments. qRT–PCR validation further confirmed that several candidate genes, notably AsHSP20-94 and AsHSP20-79, were strongly and consistently upregulated across multiple stress conditions, underscoring their roles as core stress-responsive regulators. Subcellular localization experiments demonstrated that representative proteins are targeted to the cytoplasm, nucleus and chloroplasts. Furthermore, heterologous expression of AsHSP20-79 in yeast conferred marked thermotolerance. Collectively, these findings reveal extensive expansion and functional divergence of the small heat shock protein gene family in garlic and provide valuable candidate genes for improving stress resilience in this important crop species. Full article
Show Figures

Figure 1

15 pages, 3351 KB  
Article
Biotic Elicitor-Driven Enhancement of In Vitro Micropropagation and Organogenesis in Solanum tuberosum L. cv. Fianna
by Mario James-Forest, Ma del Carmen Ojeda-Zacarías, Alhagie K. Cham, Héctor Lozoya-Saldaña, Rigoberto E. Vázquez-Alvarado, Emilio Olivares-Sáenz and Alejandro Ibarra-López
BioTech 2025, 14(4), 77; https://doi.org/10.3390/biotech14040077 - 24 Sep 2025
Viewed by 79
Abstract
This study evaluates the impact of biotic elicitors and hormone regimes on the in vitro establishment, shoot multiplication, and organogenesis of Solanum tuberosum L. cv. Fianna under controlled laboratory conditions. Explants derived from pre-treated tubers were cultured on Murashige and Skoog (MS) medium [...] Read more.
This study evaluates the impact of biotic elicitors and hormone regimes on the in vitro establishment, shoot multiplication, and organogenesis of Solanum tuberosum L. cv. Fianna under controlled laboratory conditions. Explants derived from pre-treated tubers were cultured on Murashige and Skoog (MS) medium supplemented with vitamins and varying concentrations of growth regulators or elicitors. Aseptic establishment achieved a high success rate (~95%) using a 6% sodium hypochlorite disinfection protocol. Multiplication was significantly enhanced with a combination of 0.2 mg L−1 naphthaleneacetic acid (NAA) and 0.5–1.0 mg L−1 benzylaminopurine (BAP), producing the greatest number and length of shoots and roots. Direct organogenesis was stimulated by bio-elicitors Activane®, Micobiol®, and Stemicol® in (MS) basal medium at mid-level concentrations (0.5 g or mL L−1), improving shoot number, elongation, and root development. Activane®, Micobiol®, and Stemicol® are commercial elicitors that stimulate plant defense pathways and morphogenesis through salicylic acid, microbial, and jasmonic acid signaling mechanisms, respectively. Indirect organogenesis showed significantly higher callus proliferation in Stemicol® and Micobiol® treatments compared to the control medium, resulting in the highest fresh weight, diameter, and friability of callus. The results demonstrate the potential of biotic elicitors as alternatives or enhancers to traditional plant growth regulators in potato tissue culture, supporting more efficient and cost-effective micropropagation strategies. Full article
(This article belongs to the Section Industry, Agriculture and Food Biotechnology)
Show Figures

Graphical abstract

19 pages, 9271 KB  
Article
A WRKY Transcription Factor, ZmWRKY82, Conferred Enhanced Drought Stress Tolerance in Maize
by Zhiqiang Wu, Meiyi Liu, Xiangyu Xing, Hanqiao Wang, Dan Li, Xu Fei, Dayong Yang, Peiru Zeng, Wei Yang, Jiabin Ci, Xuejiao Ren, Heng Pan, Liangyu Jiang and Zhenyuan Zang
Plants 2025, 14(19), 2943; https://doi.org/10.3390/plants14192943 - 23 Sep 2025
Viewed by 172
Abstract
Members of the WRKY transcription factors (TFs) family play crucial roles in biotic and abiotic stress responses in plants, but their roles in response to drought stress in maize (Zea mays L.) have not been fully elucidated. Maize ZmWRKY82, a group [...] Read more.
Members of the WRKY transcription factors (TFs) family play crucial roles in biotic and abiotic stress responses in plants, but their roles in response to drought stress in maize (Zea mays L.) have not been fully elucidated. Maize ZmWRKY82, a group IIc WRKY gene, was isolated from maize using reverse transcription polymerase chain reaction (RT-PCR). Using the UniProt online database, we found that ZmWRKY82 encodes a 222-amino protein with conserved WRKYGKK and C-X4-C-X23-H-X1-H motifs. ZmWRKY82 is strongly induced by polyethylene glycol (PEG), abscisic acid (ABA), methyl jasmonate (MeJA), salicylic acid (SA), and ethephon (ETH) treatments. The ZmWRKY82 protein was located in the cell nucleus. ZmWRKY82 had transcriptional activation capability and was able to bind to the W-box element. ZmWRKY82-overexpressing Arabidopsis and maize exhibited stronger drought resilience, which was associated with enhanced antioxidant enzyme activity and altered transcription level of drought-related genes. These findings suggest that ZmWRKY82 plays a central role in conferring drought tolerance in maize and may contribute to crop improvement and sustainable agricultural practices. Full article
Show Figures

Figure 1

Back to TopTop