Sign in to use this feature.

Years

Between: -

Subjects

remove_circle_outline
remove_circle_outline
remove_circle_outline
remove_circle_outline
remove_circle_outline
remove_circle_outline
remove_circle_outline
remove_circle_outline
remove_circle_outline

Journals

Article Types

Countries / Regions

Search Results (18)

Search Parameters:
Keywords = iron(II) sulphate

Order results
Result details
Results per page
Select all
Export citation of selected articles as:
17 pages, 4080 KB  
Article
Green Synthesis and Characterization of Iron Oxide Nanoparticles Using Egeria densa Plant Extract
by Maruf Olaide Yekeen, Mubarak Ibrahim, James Wachira and Saroj Pramanik
Appl. Biosci. 2025, 4(2), 27; https://doi.org/10.3390/applbiosci4020027 - 2 Jun 2025
Cited by 6 | Viewed by 6198
Abstract
An aqueous leaf extract of Egeria densa was used to green-synthesize iron (II) and iron (III) oxide nanoparticles from ferrous sulphate and ferric chloride, respectively. The successful green synthesis of the nanoparticles was confirmed through UV–visible spectroscopy, and the colour of the mixtures [...] Read more.
An aqueous leaf extract of Egeria densa was used to green-synthesize iron (II) and iron (III) oxide nanoparticles from ferrous sulphate and ferric chloride, respectively. The successful green synthesis of the nanoparticles was confirmed through UV–visible spectroscopy, and the colour of the mixtures changed from light-yellow to green-black and reddish-brown for FeO–NPs and Fe2O3–NPs, respectively. The morphological characteristics of the nanoparticles were determined using an X-ray diffractometer (XRD), a Fourier transform infrared spectrophotometer (FTIR), a transmission electron microscope (TEM), and energy-dispersive X-ray spectroscopy (EDX). The UV–Vis spectrum of the FeO–NPs showed a sharp peak at 290 nm due to the surface plasmon resonance, while that of the Fe2O3–NPs showed a sharp peak at 300 nm. TEM analysis revealed that the FeO–NPs were oval to hexagonal in shape and were clustered together with an average size of 18.49 nm, while the Fe2O3-NPs were also oval to hexagonal in shape, but some were irregularly shaped, and they clustered together with an average size of 27.96 nm. EDX analysis showed the presence of elemental iron and oxygen in both types of nanoparticles, indicating that these nanoparticles were essentially present in oxide form. The XRD patterns of both the FeO–NPs and Fe2O3–NPs depicted that the nanoparticles produced were crystalline in nature and exhibited the rhombohedral crystal structure of hematite. The FT-IR spectra revealed that phenolic compounds were present on the surface of the nanoparticles and were responsible for reducing the iron salts into FeO–NPs and Fe2O3–NPs. Conclusively, this work demonstrated for the first time the ability of Elodea aqueous extract to synthesize iron-based nanoparticles from both iron (II) and iron (III) salts, highlighting its versatility as a green reducing and stabilizing agent. The dual-path synthesis approach provides new insights into the influence of the precursor oxidation state on nanoparticle formation, thereby expanding our understanding of plant-mediated nanoparticle production and offering a sustainable route for the fabrication of diverse iron oxide nanostructures. Furthermore, it provides a simple, cost-effective, and environmentally friendly method for the synthesis of the FeO–NPs and Fe2O3–NPs using Egeria densa. Full article
Show Figures

Figure 1

13 pages, 5796 KB  
Article
Contribution of Plant Transfer Printing to Sustainable Fashion
by Irena Šabarić, Ana Sutlović, Jana Filipčić and Franka Karin
Sustainability 2024, 16(11), 4361; https://doi.org/10.3390/su16114361 - 22 May 2024
Cited by 4 | Viewed by 4214
Abstract
Nowadays, there is a growing awareness of environmental protection, new findings in the field of sustainable chemistry, the use of biodegradable materials, and the increased use of eco-friendly textile products. For this reason, natural dyes are being used more and more frequently, giving [...] Read more.
Nowadays, there is a growing awareness of environmental protection, new findings in the field of sustainable chemistry, the use of biodegradable materials, and the increased use of eco-friendly textile products. For this reason, natural dyes are being used more and more frequently, giving rise to a new way of decorating textiles, namely, plant transfer printing, popularly known as “eco-printing”, in which the shape and/or pigment of a plant is transferred to the textile. In addition, the great interest of the young generation in the application and research into the use of natural dyes can create incentives for cultural and social sustainability through the preservation of national heritage. Plant transfer printing is a method that combines scientific technology and artistic design with corresponding benefits for the eco system. The very fact that the patterns are unique and unpredictable brings out the notion of artistic freedom. In the work, plant transfer printing was carried out on undyed cotton material and on material dyed with pomegranate peels, walnut leaves, coffee, and aleppo pine bark. The influence of the pH value and the capillarity of the fabric, as well as the treatment of the leaves with iron(II) sulphate heptahydrate solution, on the aesthetics of the print and the colour fastness during washing was investigated. Based on the optimised parameters and a sustainable fabric design, the clothing collection “Hamadryad”, inspired by Greek mythology, was realised. Full article
Show Figures

Figure 1

15 pages, 3439 KB  
Article
Immobilisation of Molybdenum in a Sulphate-Reducing Bioreactor
by Pavlina Kousi, Dimitra-Artemis Strongyli, Petros E. Tsakiridis, Artin Hatzikioseyian and Emmanouella Remoundaki
Separations 2024, 11(1), 9; https://doi.org/10.3390/separations11010009 - 25 Dec 2023
Cited by 2 | Viewed by 2773
Abstract
This work presents a biological remediation process for molybdenum-bearing wastewater which may lead to the fabrication of biogenic Mo chalcogenide particles with (photo)catalytic properties. The process is based on dissimilatory sulphate reduction, utilising sulphate-reducing bacteria (SRB), and reductive precipitation of molybdate which is [...] Read more.
This work presents a biological remediation process for molybdenum-bearing wastewater which may lead to the fabrication of biogenic Mo chalcogenide particles with (photo)catalytic properties. The process is based on dissimilatory sulphate reduction, utilising sulphate-reducing bacteria (SRB), and reductive precipitation of molybdate which is the predominant species of molybdenum in oxygenated water/wastewater. The SRB culture was established in a biofilm reactor which was fed with synthetic solutions containing sulphate (17.7 mM), molybdate molybdenum (2 mM), divalent iron (1.7 mM) and ethanol as the carbon/electron donor. The performance of the bioreactor was monitored in terms of pH, sulphate and molybdenum (Mo(VI) and total) content. The presence of thiomolybdate species was studied by scanning UV-Vis absorbance of samples from the reactor outflow while the reactor precipitates were studied via electron microscopy coupled with energy dispersive spectrometry, X-ray diffractometry and laser light scattering. A molar molybdate/sulphate ratio of 1:12.5 proved effective for molybdate reduction and recovery by 76% in 96 h, whereas sulphate was reduced by 57%. Molybdenum was immobilised in the sulphidic precipitates of the bioreactor, presumably via two principal mechanisms: (i) microbially mediated reduction and precipitation, and (ii) thiomolybdate formation and sorption/incorporation into iron sulphides. Full article
Show Figures

Figure 1

10 pages, 909 KB  
Article
Thermodynamics and Electrochemistry of the Interaction of Sphalerite with Iron (II)-Bearing Compounds in Relation to Flotation
by Kyaw Zay Ya, Boris Goryachev, Arkadiy Adigamov, Karina Nurgalieva and Igor Narozhnyy
Resources 2022, 11(12), 108; https://doi.org/10.3390/resources11120108 - 28 Nov 2022
Cited by 8 | Viewed by 2995
Abstract
The flotation recovery of sphalerite depends on the inorganic reagents concentrations in the liquid phase of suspension and pH. This paper presents the results of studies of the interactions of iron (II) containing ions with the sphalerite surface in water solutions at different [...] Read more.
The flotation recovery of sphalerite depends on the inorganic reagents concentrations in the liquid phase of suspension and pH. This paper presents the results of studies of the interactions of iron (II) containing ions with the sphalerite surface in water solutions at different pH levels. The thermodynamic and electrochemical studies were carried out to analyze possible interactions of sphalerite with iron (II) sulfate in a water environment and relate them to sphalerite flotation with potassium butyl xanthate and sodium dibutyl dithiophosphate. The results of the thermodynamic calculations revealed the possibility of interaction of the sphalerite surface with iron (II) hydrolysis products. The effect of the hydroxide ions concentration on precipitation of iron (II) hydroxides was examined. The findings showed that at pH = 8 there were no precipitates observed in water solutions of FeSO4. Increasing pH of the solutions from 8 to 12 resulted in the formation of iron (II) hydroxides. The potentiometric studies revealed that in slightly alkaline solutions the Fe2+ and FeOH+ cations are potential-determining. In conclusion, the flotation tests with thiol collectors show the activation effect of iron (II) sulphate on sphalerite at low dosage and pH 12. This is evident by a higher flotation recovery of sphalerite at these conditions. Full article
Show Figures

Figure 1

16 pages, 5288 KB  
Article
Performance of Iron(II)-Sulphate-Treated Norway Spruce and Siberian Larch in Laboratory and Outdoor Tests
by Boštjan Lesar and Miha Humar
Forests 2022, 13(9), 1497; https://doi.org/10.3390/f13091497 - 15 Sep 2022
Cited by 4 | Viewed by 2099
Abstract
Wood in outdoor applications is exposed to various environmental factors that cause weathering. Weathering is important, primarily from an aesthetic standpoint and predominantly in wooden claddings. However, not all parts of claddings are equally exposed to weathering. Sections exposed to UV radiation and [...] Read more.
Wood in outdoor applications is exposed to various environmental factors that cause weathering. Weathering is important, primarily from an aesthetic standpoint and predominantly in wooden claddings. However, not all parts of claddings are equally exposed to weathering. Sections exposed to UV radiation and moisture discolour faster than less exposed sections, such as wood under roof overhangs. Architects and owners seek a uniform appearance in buildings. To achieve fast and uniform greying, a surface treatment with iron(II) sulphate can be used. Such a treatment results in an appearance that is similar to that resulting from natural greying. However, iron compounds do not exert a biocidal effect; therefore, it is desirable to upgrade iron(II) sulphate aqueous solution with boric acid and quarterly ammonium compounds. To this end, spruce and larch samples were treated with varying concentrations of iron(II) sulphate and biocides. After treatment, the inherent durability, water performance and resistance dose (DRd) were determined according to the Meyer-Veltrup model. The samples were also exposed outdoor conditions. During exposure, colour changes and iron leaching were monitored. The results show that the addition of biocides does not affect the rate of colour change and the final colour, which is similar to natural greying after 36 weeks of outdoor exposure. The addition of biocides exerted a positive effect on the durability of treated wood, despite the low retention of preservative solutions. The water behaviour of the treated wood had little effect on the resistance dose, with a more considerable influence on inherent durability. The addition of biocides can increase the resistance dose up to 2.4 (Fe5B0.2Q0.2). On all spruce and larch samples treated with iron(II) sulphate and exposed to outdoor conditions, the colour change in the first week was roughly comparable to the final state. However, 40% of the iron had leached from the surface after only one week of exposure. Full article
(This article belongs to the Special Issue Weathering and Field Testing of Wood and Lignocellulosic Materials)
Show Figures

Figure 1

4 pages, 1428 KB  
Proceeding Paper
Reduction of Ferric Iron in Hydrometallurgical Solutions Using Zero-Valent Iron
by Christiana Mystrioti, Nymphodora Papassiopi and Anthimos Xenidis
Mater. Proc. 2021, 5(1), 133; https://doi.org/10.3390/materproc2021005133 - 16 Jun 2022
Cited by 1 | Viewed by 3323
Abstract
Most hydrometallurgical solutions usually contain high levels of ferric iron, which is often regarded as a major and problematic impurity. Precipitation of Fe(III) by raising the solution pH results in a voluminous amorphous residue that is particularly difficult to handle. Prior complete or [...] Read more.
Most hydrometallurgical solutions usually contain high levels of ferric iron, which is often regarded as a major and problematic impurity. Precipitation of Fe(III) by raising the solution pH results in a voluminous amorphous residue that is particularly difficult to handle. Prior complete or partial reduction of Fe(III) to the divalent state facilitates the precipitation of crystalline iron oxides such as magnetite or goethite. The aim of this research was to investigate the effectiveness of zero-valent iron (ZVI) for the reduction of Fe(III) to Fe(II), which is a crucial pretreatment step for the efficient removal of iron. The effects of pH, reaction time and type of coexisting anions, i.e., sulphates or chlorides, were evaluated by conducting batch tests in an agitated reactor. It was found that using ZVI, Fe(III) is rapidly reduced to Fe(II), with higher reduction kinetics achieved in sulphate solutions at acidic pHs of 0.5–1. Full article
(This article belongs to the Proceedings of International Conference on Raw Materials and Circular Economy)
Show Figures

Figure 1

11 pages, 923 KB  
Article
Comparing Taste Detection Thresholds across Individuals Following Vegan, Vegetarian, or Omnivore Diets
by Fatemeh Jalil Mozhdehi, Sashie Abeywickrema, Phil James Bremer and Mei Peng
Foods 2021, 10(11), 2704; https://doi.org/10.3390/foods10112704 - 5 Nov 2021
Cited by 18 | Viewed by 7303
Abstract
Taste perception plays an undisputed role in food choice, preference, and intake. Recent literature suggests that individual diet and taste sensitivity may have a reciprocal relationship, with evidence highlighting that specific diets can alter taste sensitivities. Commensurate with an increase in the prevalence [...] Read more.
Taste perception plays an undisputed role in food choice, preference, and intake. Recent literature suggests that individual diet and taste sensitivity may have a reciprocal relationship, with evidence highlighting that specific diets can alter taste sensitivities. Commensurate with an increase in the prevalence of plant-based diets is the importance of investigating if following a vegetarian or vegan diet is associated with altered taste sensitivities. In this study, the taste detection thresholds for six compounds (i.e., sweet—sucrose, salty—sodium chloride, sour—citric acid, umami—monosodium glutamate, MSG, bitter—caffeine, and metallic—iron II sulphate heptahydrate) were measured for a total of 80 healthy, New Zealand European females aged 18–45 years old, who were categorised as 22 vegans, 23 vegetarians, and 35 omnivores. Each participant’s detection thresholds to these compounds were measured across two sessions, using an ascending Method of Limits with two-alternative-forced-choice presentations. The threshold data were analysed using both multivariate (i.e., principal component analysis) and univariate (i.e., ANCOVA) techniques to assess differences across the three types of diet. Multivariate analysis suggested that the omnivore group had distinct taste sensitivity patterns across the six compounds compared to the vegetarian or vegan group, which were characterised by relatively heightened sensitivity to metallic and lowered sensitivity to sweetness. Furthermore, the vegetarian group was shown to have a significantly lower detection threshold to bitterness (i.e., caffeine) relative to the other two groups (p < 0.001). While future study is required to investigate the cause–effect relationship between individual diet and taste sensitivities, the present study provides a systematic evaluation of taste sensitivities of individuals following distinct diets. This information may be valuable to future gustatory research as well as to food manufacturers. Full article
(This article belongs to the Section Sensory and Consumer Sciences)
Show Figures

Figure 1

18 pages, 4366 KB  
Article
Mechanism of Post-Radiation-Chemical Graft Polymerization of Styrene in Polyethylene
by Anatoly E. Chalykh, Vladimir A. Tverskoy, Ali D. Aliev, Vladimir K. Gerasimov, Uliana V. Nikulova, Valentina Yu. Stepanenko and Ramil R. Khasbiullin
Polymers 2021, 13(15), 2512; https://doi.org/10.3390/polym13152512 - 30 Jul 2021
Cited by 13 | Viewed by 2876
Abstract
Structural and morphological features of graft polystyrene (PS) and polyethylene (PE) copolymers produced by post-radiation chemical polymerization have been investigated by methods of X-ray microanalysis, electron microscopy, DSC and wetting angles measurement. The studied samples differed in the degree of graft, iron(II) sulphate [...] Read more.
Structural and morphological features of graft polystyrene (PS) and polyethylene (PE) copolymers produced by post-radiation chemical polymerization have been investigated by methods of X-ray microanalysis, electron microscopy, DSC and wetting angles measurement. The studied samples differed in the degree of graft, iron(II) sulphate content, sizes of PE films and distribution of graft polymer over the polyolefin cross section. It is shown that in all cases sample surfaces are enriched with PS. As the content of graft PS increases, its concentration increases both in the volume and on the surface of the samples. The distinctive feature of the post-radiation graft polymerization is the stepped curves of graft polymer distribution along the matrix cross section. A probable reason for such evolution of the distribution profiles is related to both the distribution of peroxide groups throughout the sample thickness and to the change in the monomer and iron(II) salt diffusion coefficients in the graft polyolefin layer. According to the results of electron microscope investigations and copolymer wettability during graft polymerization, a heterogeneous system is formed both in the sample volume and in the surface layer. It is shown that the melting point, glass transition temperature and degree of crystallinity of the copolymer decreases with the increasing proportion of graft PS. It is suggested that during graft polymerization a process of PE crystallite decomposition (melting) and enrichment of the amorphous phase of graft polymer by fragments of PE macromolecules occurs spontaneously. The driving force of this process is the osmotic pressure exerted by the phase network of crystallites on the growing phase of the graft PS. Full article
(This article belongs to the Special Issue Polymer Composites for Structural Applications)
Show Figures

Figure 1

12 pages, 1044 KB  
Article
Managing pH of Organic Matrices and New Commercial Substrates for Ornamental Plant Production: A Methodological Approach
by Sonia Cacini, Sara Di Lonardo, Simone Orsenigo and Daniele Massa
Agronomy 2021, 11(5), 851; https://doi.org/10.3390/agronomy11050851 - 27 Apr 2021
Cited by 11 | Viewed by 3420
Abstract
Professional peat-free substrates for ornamental plant production are increasingly required by nursery growers. Most promising materials are green compost, coconut coir dust, and woody fibre, used alone or in mixtures. One of the major concerns is pH, usually higher than optimal. In this [...] Read more.
Professional peat-free substrates for ornamental plant production are increasingly required by nursery growers. Most promising materials are green compost, coconut coir dust, and woody fibre, used alone or in mixtures. One of the major concerns is pH, usually higher than optimal. In this work, a method based on a three-step procedure was adopted to acidify three organic matrices alone or in mixtures and to individuate the most suitable product, between iron(II) sulphate 7-hydrate and elemental sulphur chips. Firstly, the determination of the buffering capacity by dilution with sulphuric acid was carried out to determine dosages. Afterwards, an incubation trial of 84 (iron(II) sulphate) or 120 days (sulphur chips) was conducted on matrices and substrate mixtures with calculated doses in a climatic chamber maintained at 21 °C. Iron(II) sulphate resulted not suitable because it caused a rapid, but not lasting, pH lowering and an excessive electrical conductivity (EC) increase. Sulphur chips could instead guarantee an adequate and lasting pH lowering. These results were then validated in the open field trial on matrices and substrates. The proposed acidification methodology could be considered in developing new substrates, but the rapidity of pH acidification and EC increase on plant and mineral nutrition should be further investigated. Full article
Show Figures

Figure 1

17 pages, 5702 KB  
Article
Long-Term Iron Deficiency and Dietary Iron Excess Exacerbate Acute Dextran Sodium Sulphate-Induced Colitis and Are Associated with Significant Dysbiosis
by Awad Mahalhal, Michael D. Burkitt, Carrie A. Duckworth, Georgina L. Hold, Barry J. Campbell, David Mark Pritchard and Chris S. Probert
Int. J. Mol. Sci. 2021, 22(7), 3646; https://doi.org/10.3390/ijms22073646 - 31 Mar 2021
Cited by 25 | Viewed by 4577
Abstract
Background: Oral iron supplementation causes gastrointestinal side effects. Short-term alterations in dietary iron exacerbate inflammation and alter the gut microbiota, in murine models of colitis. Patients typically take supplements for months. We investigated the impact of long-term changes in dietary iron on colitis [...] Read more.
Background: Oral iron supplementation causes gastrointestinal side effects. Short-term alterations in dietary iron exacerbate inflammation and alter the gut microbiota, in murine models of colitis. Patients typically take supplements for months. We investigated the impact of long-term changes in dietary iron on colitis and the microbiome in mice. Methods: We fed mice chow containing differing levels of iron, reflecting deficient (100 ppm), normal (200 ppm), and supplemented (400 ppm) intake for up to 9 weeks, both in absence and presence of dextran sodium sulphate (DSS)-induced chronic colitis. We also induced acute colitis in mice taking these diets for 8 weeks. Impact was assessed (i) clinically and histologically, and (ii) by sequencing the V4 region of 16S rRNA. Results: In mice with long-term changes, the iron-deficient diet was associated with greater weight loss and histological inflammation in the acute colitis model. Chronic colitis was not influenced by altering dietary iron however there was a change in the microbiome in DSS-treated mice consuming 100 ppm and 400 ppm iron diets, and control mice consuming the 400 ppm iron diet. Proteobacteria levels increased significantly, and Bacteroidetes levels decreased, in the 400 ppm iron DSS group at day-63 compared to baseline. Conclusions: Long-term dietary iron alterations affect gut microbiota signatures but do not exacerbate chronic colitis, however acute colitis is exacerbated by such dietary changes. More work is needed to understand the impact of iron supplementation on IBD. The change in the microbiome, in patients with colitis, may arise from the increased luminal iron and not simply from colitis. Full article
Show Figures

Figure 1

16 pages, 5607 KB  
Article
Geochemical Classification of Global Mine Water Drainage
by Sandisiwe Khanyisa Thisani, Daramy Vondi Von Kallon and Patrick Byrne
Sustainability 2020, 12(24), 10244; https://doi.org/10.3390/su122410244 - 8 Dec 2020
Cited by 38 | Viewed by 6663
Abstract
This paper evaluates the geochemical distribution and classification of global Acid Mine Drainage (AMD) sources. The geochemical compositions of AMD from 72 mine water sites in 18 countries across 6 continents were referenced from literature. The secondary data were analysed for statistical distribution [...] Read more.
This paper evaluates the geochemical distribution and classification of global Acid Mine Drainage (AMD) sources. The geochemical compositions of AMD from 72 mine water sites in 18 countries across 6 continents were referenced from literature. The secondary data were analysed for statistical distribution and mine water classification against the Hill (1968) framework. The research found that the global mine water displayed geochemical concentrations within 2%, 11%, 5%, 9% and 8% of the aluminium, sulphate, acidity, total iron and zinc distribution ranges, respectively, at the 75th percentile. The study also found that 46%, 11.1% and 2.7% of mine water sites met the criteria for Class I, Class II and Class III of the Hill (1968) framework, respectively, while the remaining 40% of sites were omitted by the framework’s geochemical specifications. The results were used to optimise the Hill (1968) framework. The revised framework was proposed for effective AMD geochemical classification, regulation and remediation. Full article
Show Figures

Figure 1

14 pages, 27898 KB  
Article
The Effect of Potassium and Micronutrient Foliar Fertilisation on the Content and Accumulation of Microelements, Yield and Quality Parameters of Potato Tubers
by Renata Gaj, Dariusz Górski and Leszek Majchrzak
Agriculture 2020, 10(11), 530; https://doi.org/10.3390/agriculture10110530 - 5 Nov 2020
Cited by 4 | Viewed by 5344
Abstract
The objective of this three-year study was to evaluate the effect of foliar application of dedusted potassium sulphate and chelated forms of microelements on the contents and accumulation of zinc (Zn), copper (Cu), manganese (Mn) and iron (Fe) as well as on the [...] Read more.
The objective of this three-year study was to evaluate the effect of foliar application of dedusted potassium sulphate and chelated forms of microelements on the contents and accumulation of zinc (Zn), copper (Cu), manganese (Mn) and iron (Fe) as well as on the quality parameters of potato tubers at the stage of full maturity. Four treatments were analysed, including the control, where only nitrogen, phosphorus and potassium fertilisation was applied. Consistent with the experimental design adopted, other trials included: (I) Double foliar treatment with potassium sulphate in the combined dose of 8.6 K kg ha−1 (SOP); (II) double foliar treatment with micronutrients: 12 g Zn ha−1, 12 g Cu ha−1, 300 g Mn ha−1 and 500 g B ha−1 (Micro) and (III) combined application of SOP and Micro on two scheduled terms (SOP + Micro). Two potato varieties were tested: The French fries variety Zorba and the crisps variety Hermes. The experiment was arranged in a randomised complete block design with four replicates for each potato variety. Both the two-fold foliar spray with micronutrients and the treatment combined with the application of potassium sulphate resulted in the enhanced content and accumulation of the elements examined. The significant effect of the experimental factor was especially visible for the content and uptake of manganese and iron. Moreover, a highly significant relationship was determined between the tuber contents of protein and starch. The tuber quality parameters were most significantly conditioned by manganese and iron for the French fries variety and by zinc, copper and manganese for the crisps variety. Full article
Show Figures

Figure 1

19 pages, 5214 KB  
Article
Kinetics and Nanoparticle Catalytic Enhancement of Biogas Production from Wastewater Using a Magnetized Biochemical Methane Potential (MBMP) System
by Emmanuel Kweinor Tetteh and Sudesh Rathilal
Catalysts 2020, 10(10), 1200; https://doi.org/10.3390/catal10101200 - 16 Oct 2020
Cited by 26 | Viewed by 4163
Abstract
This study presents magnetized nanoparticles (NPs) as a catalyst to accelerate anaerobic digestion (AD) potential for clean and ecofriendly energy (biogas) from wastewater settings. The effects of iron oxides (Ms) and aluminum sulphate (Alum) were investigated using two chronological experiments: (i) the Jar [...] Read more.
This study presents magnetized nanoparticles (NPs) as a catalyst to accelerate anaerobic digestion (AD) potential for clean and ecofriendly energy (biogas) from wastewater settings. The effects of iron oxides (Ms) and aluminum sulphate (Alum) were investigated using two chronological experiments: (i) the Jar test technique to generate residue slurry as organic fertilizer potential and (ii) a magnetized biochemical methane potential (MBMP) system for biogas production at mesophilic conditions for 21 days. X-ray diffraction and Fourier Transform Infrared spectroscopy were carried out to establish the Ms Crystallite and active functional groups respectively. Scanning electronic microscopy coupled with energy dispersive X-ray spectrometer and elemental analysis were used to track and confirm NPs inclusion after the post-AD process. Coagulation at 50 mg/L and magnetic exposure time of 30 min showed above 85% treatability performance by Ms as compared to 70% for Alum. Owing to the slow kinetics of the AD process, additional NPs content in the digesters coupled with an external magnetic field improved their performance. Cumulative biogas yields of 1460 mL/d > 610 mL/d > 505 mL/d for Ms > Control > Alum respectively representing 80% > 61% > 52% of CH4 were attained. The modified Gompertz model shows that the presence of NPs shortens the lag phase of the control system with kinetics rate constants of 0.285 1/d (control) to 0.127 1/d (Ms) < 0.195 1/d (Alum). Full article
Show Figures

Graphical abstract

16 pages, 2029 KB  
Article
Birnessite: A New Oxidant for Green Rust Formation
by Amira Doggaz, Romain Coustel, Pierrick Durand, François Humbert and Christian Ruby
Materials 2020, 13(17), 3777; https://doi.org/10.3390/ma13173777 - 26 Aug 2020
Cited by 4 | Viewed by 3521
Abstract
Iron and manganese are ubiquitous in the natural environment. FeII-FeIII layered double hydroxide, commonly called green rust (GR), and MnIII-MnIV birnessite (Bir) are also well known to be reactive solid compounds. Therefore, studying [...] Read more.
Iron and manganese are ubiquitous in the natural environment. FeII-FeIII layered double hydroxide, commonly called green rust (GR), and MnIII-MnIV birnessite (Bir) are also well known to be reactive solid compounds. Therefore, studying the chemical interactions between Fe and Mn species could contribute to understanding the interactions between their respective biogeochemical cycles. Moreover, ferromanganese solid compounds are potentially interesting materials for water treatment. Here, a {Fe(OH)2, FeIIaq} mixture was oxidized by Bir in sulphated aqueous media in the presence or absence of dissolved O2. In oxic conditions for an initial FeII/OH ratio of 0.6, a single GR phase was obtained in a first step; the oxidation kinetics being faster than without Bir. In a second step, GR was oxidised into various final products, mainly in a spinel structure. A partial substitution of Fe by Mn species was suspected in both GR and the spinel. In anoxic condition, GR was also observed but other by-products were concomitantly formed. All the oxidation products were characterized by XRD, XPS, and Mössbauer spectroscopy. Hence, oxidation of FeII species by Bir can be considered as a new chemical pathway for producing ferromanganese spinels. Furthermore, these results suggest that Bir may participate in the formation of GR minerals. Full article
(This article belongs to the Special Issue Layered Double Hydroxides (LDH) and LDH-Based Hybrid Composites)
Show Figures

Graphical abstract

18 pages, 3816 KB  
Article
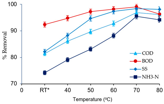
Kinetics and Isotherm Modeling for the Treatment of Rubber Processing Effluent Using Iron (II) Sulphate Waste as a Coagulant
by Rahmat Ngteni, Md. Sohrab Hossain, Mohd Omar Ab Kadir, Ahmad Jaril Asis and Zulhafiz Tajudin
Water 2020, 12(6), 1747; https://doi.org/10.3390/w12061747 - 19 Jun 2020
Cited by 27 | Viewed by 4309
Abstract
There is increasing concern to determine an alternative coagulant for treating industrial effluent with minimal environmental impact and operational cost. In this study, iron (II) sulphate heptahydrate (FeSO4·7H2O) waste, an industrial byproduct from a titanium oxide processing industry, was [...] Read more.
There is increasing concern to determine an alternative coagulant for treating industrial effluent with minimal environmental impact and operational cost. In this study, iron (II) sulphate heptahydrate (FeSO4·7H2O) waste, an industrial byproduct from a titanium oxide processing industry, was used as a coagulant for the removal of ammonia (NH3), chemical oxygen demand (COD), biochemical oxygen demand (BOD), and suspended solid (SS) from secondary rubber processing effluent (SRPE). The highest percentage removal of BOD, COD, SS, and NH3 achieved was approximately 97%, 99%, 98%, and 95%, respectively, at pH 5.0, coagulant dose of 1 g/L, coagulation time of 60 min, sedimentation time of 60 min, and at an elevated temperature of 70 °C. The best described adsorption isotherm model was found to be the Brunauer–Emmett–Teller (BET) model, indicated that the FeSO4·7H2O adsorption took placed on the surface of iron hydroxide precipitates with multilayer formation and random distribution. The kinetics analysis showed that the adsorption mechanism was well fitted with the pseudo-second-order kinetic model. The findings of the present study show that the FeSO4·7H2O waste has the potential to be used as a coagulant for the treatment of industrial effluents, including the secondary rubber processing effluent. Full article
(This article belongs to the Section Wastewater Treatment and Reuse)
Show Figures

Graphical abstract

Back to TopTop