Kinetics and Isotherm Modeling for the Treatment of Rubber Processing Effluent Using Iron (II) Sulphate Waste as a Coagulant
Abstract
1. Introduction
2. Materials and Methods
2.1. Sample Collection
2.2. Physical-Chemical Analyses of SRPE
2.3. Coagulations Experiments Procedure
2.4. Adsorption Isotherm Modeling
2.5. Kinetics Modeling
3. Results and Discussion
3.1. Adsorption Study
3.1.1. Effect of Initial pH
3.1.2. Effect of Coagulant Doses
3.1.3. Effect of Coagulation Time
3.1.4. Effect of Sedimentation Time
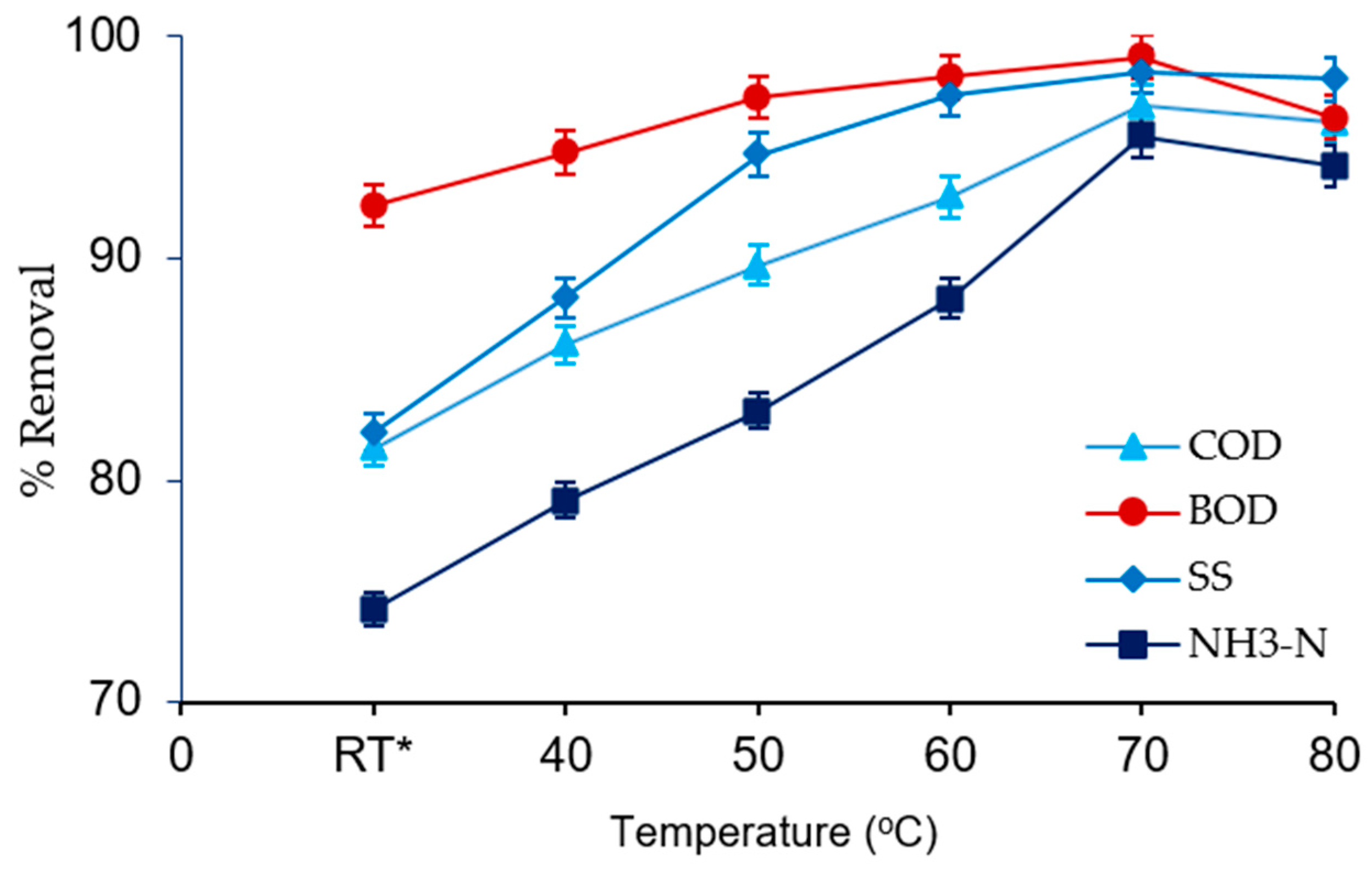
3.1.5. Effect of Temperature
3.2. Coagulation Equilibrium Studies
3.3. Adsorption Kinetics
4. Conclusions
Author Contributions
Funding
Acknowledgments
Conflicts of Interest
References
- Agustina, T.E.; Sirait, E.J.; Silalahi, H. Treatment of rubber industry wastewater by using Fenton reagent and activated carbon. J. Teknol. 2017, 79, 31–37. [Google Scholar] [CrossRef][Green Version]
- Mokhtar, N.M.; Lau, W.J.; Ismail, A.F.; Veerasamy, D. Membrane Distillation Technology for Treatment of Wastewater from Rubber Industry in Malaysia. Procedia Cirp 2015, 26, 792–796. [Google Scholar] [CrossRef]
- Dunuwila, P.; Rodrigo, V.H.L.; Goto, N. Sustainability of natural rubber processing can be improved: A case study with crepe rubber manufacturing in Sri Lanka. Resour. Conserv. Recycl. 2018, 133, 417–427. [Google Scholar] [CrossRef]
- Rahman, A.; Habib, S.; Rahman, M.; Sajib, M.S.J.; Yousuf, A. A novel multi-phase treatment scheme for odorous rubber effluent. Environ. Technol. 2019, 1–7. [Google Scholar] [CrossRef] [PubMed]
- Bhateria, R.; Jain, D. Water quality assessment of lake water: A review. Sustain. Water Resour. Manag. 2016, 2, 161–173. [Google Scholar] [CrossRef]
- Malaysian Rubber Export Promotion Council-Annual Report; MREPC: Kuala Lumpur, Malaysia, 2018.
- Tanikawa, D.; Syutsubo, K.; Watari, T.; Miyaoka, Y.; Hatamoto, M.; Iijima, S.; Fukuda, M.; Nguyen, N.B.; Yamaguchi, T. Greenhouse gas emissions from open-type anaerobic wastewater treatment system in natural rubber processing factory. J. Clean. Prod. 2016, 119, 32–37. [Google Scholar] [CrossRef]
- Owamah, H.I.; Enaboifo, M.A.; Izinyon, O.C. Treatment of wastewater from raw rubber processing industry using water lettuce macrophyte pond and the reuse of its effluent as biofertilizer. Agric. Water Manag. 2014, 146, 262–269. [Google Scholar] [CrossRef]
- Nazlizan, N.; Zawawi, D.; Halizah, A.; Nur Adila Ab, A.; Baharin, A.; Mohd Baharudin, R.; Mahmoud Hijab, A.; Husnul Azan, T. Utilization of Empty Fruit Bunch as Potential Adsorbent for Ammonia Nitrogen Removalin Natural Rubber Wastewater. Int. J. Integr. Eng. 2018, 10, 27–32. [Google Scholar]
- Hossain, M.S.; Omar, F.; Asis, A.J.; Bachmann, R.T.; Islam Sarker, M.Z.; Ab Kadir, M.O. Effective treatment of palm oil mill effluent using FeSO4.7H2O waste from titanium oxide industry: Adsorption isotherm and kinetics studies. J. Clean. Prod. 2019, 219, 86–98. [Google Scholar] [CrossRef]
- Ahmed, M.B.; Zhou, J.L.; Ngo, H.H.; Guo, W.; Thomaidis, N.S.; Xu, J. Progress in the biological and chemical treatment technologies for emerging contaminant removalfrom wastewater: A critical review. J. Hazard. Mater. 2017, 323, 274–298. [Google Scholar] [CrossRef] [PubMed]
- Bashir, M.J.K.; Lim, J.H.; Abu Amr, S.S.; Wong, L.P.; Sim, Y.L. Post treatment of palm oil mill effluent using electro-coagulation-peroxidation (ECP) technique. J. Clean. Prod. 2019, 208, 716–727. [Google Scholar] [CrossRef]
- Arturi, T.S.; Seijas, C.J.; Bianchi, G.L. A comparative study on the treatment of gelatin production plant wastewater using electrocoagulation and chemical coagulation. Heliyon 2019, 5, e01738. [Google Scholar] [CrossRef] [PubMed]
- Kumar, S.S.; Kumar, V.; Kumar, R.; Malyan, S.K.; Bishnoi, N.R. Ferrous sulfate as an in-situ anodic coagulant for enhanced bioelectricity generation and COD removalfrom landfill leachate. Energy 2019, 176, 570–581. [Google Scholar] [CrossRef]
- Wang, X.; Zhang, H.; Wang, L.; Chen, J.; Xu, S.; Hou, H.; Shi, Y.; Zhang, J.; Ma, M.; Tsang, D.C.W.; et al. Transformation of arsenic during realgar tailings stabilization using ferrous sulfate in a pilot-scale treatment. Sci. Total Environ. 2019, 668, 32–39. [Google Scholar] [CrossRef] [PubMed]
- Teh, C.Y.; Budiman, P.M.; Shak, K.P.Y.; Wu, T.Y. Recent Advancement of Coagulation–Flocculation and Its Application in Wastewater Treatment. Ind. Eng. Chem. Res. 2016, 55, 4363–4389. [Google Scholar] [CrossRef]
- Hosseini, S.E.; Abdul Wahid, M. Pollutant in palm oil production process. J. Air Waste Manag. Assoc. 2015, 65, 773–781. [Google Scholar] [CrossRef] [PubMed]
- Li, X.; Lei, Z.; Qu, J.; Li, Z.; Zhou, X.; Zhang, Q. Synthesizing slow-release fertilizers via mechanochemical processing for potentially recycling the waste ferrous sulfate from titanium dioxide production. J. Environ. Manag. 2017, 186, 120–126. [Google Scholar] [CrossRef] [PubMed]
- Huang, P.; Deng, S.; Zhang, Z.; Wang, X.; Chen, X.; Yang, X.; Yang, L. A sustainable process to utilize ferrous sulfate waste from titanium oxide industry by reductive decomposition reaction with pyrite. Thermochim. Acta 2015, 620, 18–27. [Google Scholar] [CrossRef]
- Zouboulis, A.I.; Moussas, P.A.; Vasilakou, F. Polyferric sulphate: Preparation, characterisation and application in coagulation experiments. J. Hazard. Mater. 2008, 155, 459–468. [Google Scholar] [CrossRef] [PubMed]
- Su, C.; Ludwig, R.D. Treatment of Hexavalent Chromium in Chromite Ore Processing Solid Waste Using a Mixed Reductant Solution of Ferrous Sulfate and Sodium Dithionite. Environ. Sci. Technol. 2005, 39, 6208–6216. [Google Scholar] [CrossRef]
- Rice, E.W.; Bridgewater, L.; Association, A.P.H.; Association, A.W.W.; Federation, W.E. Standard Methods for the Examination of Water and Wastewater; American Public Health Association: Washington, DC, USA, 2012. [Google Scholar]
- Department of Environment. Malaysia: Environmental Quality Act. Report; Ministry of Science, Technology and the Environment: Putrajaya, Malaysia, 2017.
- Adebisi, G.A.; Chowdhury, Z.Z.; Alaba, P.A. Equilibrium, kinetic, and thermodynamic studies of lead ion and zinc ion adsorption from aqueous solution onto activated carbon prepared from palm oil mill effluent. J. Clean. Prod. 2017, 148, 958–968. [Google Scholar] [CrossRef]
- Hussain, S.; van Leeuwen, J.; Chow, C.; Beecham, S.; Kamruzzaman, M.; Wang, D.; Drikas, M.; Aryal, R. Removal of organic contaminants from river and reservoir waters by three different aluminum-based metal salts: Adsorption and kinetics studies. Chem. Eng. J. 2013, 225, 394–405. [Google Scholar] [CrossRef]
- Loloei, M.; Alidadi, H.; Nekonam, G.; Kor, Y. Study of the coagulation process in wastewater treatment of dairy industries. Int. J. Environ. Health Eng. 2014, 3, 12. [Google Scholar] [CrossRef]
- Yan, M.; Wang, D.; Yu, J.; Ni, J.; Edwards, M.; Qu, J. Enhanced coagulation with polyaluminum chlorides: Role of pH/Alkalinity and speciation. Chemosphere 2008, 71, 1665–1673. [Google Scholar] [CrossRef] [PubMed]
- Zahrim, A.Y.; Dexter, Z.D.; Joseph, C.G.; Hilal, N. Effective coagulation-flocculation treatment of highly polluted palm oil mill biogas plant wastewater using dual coagulants: Decolourisation, kinetics and phytotoxicity studies. J. Water Process. Eng. 2017, 16, 258–269. [Google Scholar] [CrossRef]
- Bedin, K.C.; Souza, I.P.A.F.; Cazetta, A.L.; Spessato, L.; Ronix, A.; Almeida, V.C. CO2-spherical activated carbon as a new adsorbent for Methylene Blue removal: Kinetic, equilibrium and thermodynamic studies. J. Mol. Liq. 2018, 269, 132–139. [Google Scholar]
- Almasri, D.A.; Saleh, N.B.; Atieh, M.A.; McKay, G.; Ahzi, S. Adsorption of phosphate on iron oxide doped halloysite nanotubes. Sci. Rep. 2019, 9, 3232. [Google Scholar] [CrossRef] [PubMed]
- Lin, J.; Zhan, Y.; Zhu, Z. Adsorption characteristics of copper (II) ions from aqueous solution onto humic acid-immobilized surfactant-modified zeolite. Colloids Surf. A Physicochem. Eng. Asp. 2011, 384, 9–16. [Google Scholar] [CrossRef]
- Achak, M.; Hafidi, A.; Ouazzani, N.; Sayadi, S.; Mandi, L. Low cost biosorbent “banana peel” for the removalof phenolic compounds from olive mill wastewater: Kinetic and equilibrium studies. J. Hazard. Mater. 2009, 166, 117–125. [Google Scholar] [CrossRef] [PubMed]













| Elements | Unit | Content |
|---|---|---|
| Fe(II) | % | 17.5–18.6 |
| Free moisture | % | <1 |
| Solubility in water at 25 °C | g/100 mL | 29.51 |
| Free Fe2SO4 | % | <2 |
| Mn | % | <0.2 |
| Zn | % | <0.02 |
| Ti | % | <0.01 |
| Ni | ppm | <20 |
| Cr | ppm | <5 |
| Cu | ppm | <5 |
| Cd | ppm | <5 |
| Hg | ppm | <0.01 |
| Parameter | Unit | Concentration |
|---|---|---|
| BOD | mg/L | 220 ± 4 |
| COD | mg/L | 930 ± 15 |
| SS | mg/L | 1148 ± 12 |
| NH3 | mg/L | 440 ± 6 |
| Adsorbate | BET Model | Freundlich Model | Langmuir Model | RL | ||||||
|---|---|---|---|---|---|---|---|---|---|---|
| R2 | A | Xm (mg/mg) | R2 | Kf (L/mg) | n | R2 | a (L/mg) | b (mg/mg) | ||
| COD | 0.9959 | −33.474 | 0.544 | 0.9794 | 1.603 | 6.935 | 0.9180 | 0.074 | 0.709 | 0.001 |
| BOD | 0.9987 | −630.153 | 0.187 | 0.9330 | 0.222 | 3.546 | 0.7690 | 10.327 | 0.206 | 0.022 |
| SS | 0.9924 | −57.445 | 0.731 | 0.9319 | 1.621 | 10.152 | 0.7616 | 0.148 | 0.947 | 0.001 |
| NH3 | 0.9823 | −31.100 | 0.230 | 0.8913 | 0.645 | 7.485 | 0.6481 | 0.254 | 0.344 | 0.006 |
| Parameters | Temperature (°C) | qe (exp) (mg/mg) | Pseudo-First-Order Kinetics | Pseudo-Second-Order Kinetics | ||||
|---|---|---|---|---|---|---|---|---|
| qe (mg/mg) | k1 (min−1) | R2 | qe (mg/mg min) | k2 (mg/mg min) | R2 | |||
| COD | 30 | 0.759 | 0.834 | 5.744 | 0.9644 | 0.760 | 0.062 | 0.9962 |
| 40 | 0.809 | 0.874 | 5.264 | 0.9719 | 0.832 | 0.095 | 0.9992 | |
| 60 | 0.834 | 0.903 | 4.415 | 0.9507 | 0.863 | 0.115 | 0.9983 | |
| 80 | 0.856 | 0.893 | 2.532 | 0.9356 | 0.870 | 0.216 | 0.9992 | |
| BOD | 30 | 0.203 | 0.224 | 5.160 | 0.9222 | 0.202 | 0.489 | 0.9965 |
| 40 | 0.210 | 0.228 | 5.566 | 0.9842 | 0.217 | 0.584 | 0.9990 | |
| 60 | 0.217 | 0.231 | 3.888 | 0.9761 | 0.221 | 0.777 | 0.9989 | |
| 80 | 0.218 | 0.226 | 1.801 | 0.9056 | 0.219 | 1.582 | 0.9997 | |
| SS | 30 | 0.945 | 1.118 | 12.716 | 0.9891 | 1.039 | 0.088 | 0.9975 |
| 40 | 1.024 | 1.134 | 5.516 | 0.9197 | 1.023 | 0.156 | 0.9963 | |
| 60 | 1.063 | 1.163 | 4.751 | 0.917 | 1.075 | 0.209 | 0.9959 | |
| 80 | 1.105 | 1.166 | 2.763 | 0.8941 | 1.101 | 0.339 | 0.9988 | |
| NH3 | 30 | 0.330 | 0.367 | 9.713 | 0.9972 | 0.370 | 0.287 | 0.9994 |
| 40 | 0.385 | 0.417 | 5.952 | 0.9884 | 0.393 | 0.286 | 0.9979 | |
| 60 | 0.401 | 0.432 | 5.205 | 0.9601 | 0.394 | 0.264 | 0.9964 | |
| 80 | 0.427 | 0.450 | 3.805 | 0.9904 | 0.435 | 0.441 | 0.9994 | |
© 2020 by the authors. Licensee MDPI, Basel, Switzerland. This article is an open access article distributed under the terms and conditions of the Creative Commons Attribution (CC BY) license (http://creativecommons.org/licenses/by/4.0/).
Share and Cite
Ngteni, R.; Hossain, M.S.; Ab Kadir, M.O.; Asis, A.J.; Tajudin, Z. Kinetics and Isotherm Modeling for the Treatment of Rubber Processing Effluent Using Iron (II) Sulphate Waste as a Coagulant. Water 2020, 12, 1747. https://doi.org/10.3390/w12061747
Ngteni R, Hossain MS, Ab Kadir MO, Asis AJ, Tajudin Z. Kinetics and Isotherm Modeling for the Treatment of Rubber Processing Effluent Using Iron (II) Sulphate Waste as a Coagulant. Water. 2020; 12(6):1747. https://doi.org/10.3390/w12061747
Chicago/Turabian StyleNgteni, Rahmat, Md. Sohrab Hossain, Mohd Omar Ab Kadir, Ahmad Jaril Asis, and Zulhafiz Tajudin. 2020. "Kinetics and Isotherm Modeling for the Treatment of Rubber Processing Effluent Using Iron (II) Sulphate Waste as a Coagulant" Water 12, no. 6: 1747. https://doi.org/10.3390/w12061747
APA StyleNgteni, R., Hossain, M. S., Ab Kadir, M. O., Asis, A. J., & Tajudin, Z. (2020). Kinetics and Isotherm Modeling for the Treatment of Rubber Processing Effluent Using Iron (II) Sulphate Waste as a Coagulant. Water, 12(6), 1747. https://doi.org/10.3390/w12061747

