Contribution of Plant Transfer Printing to Sustainable Fashion
Abstract
1. Introduction
2. Materials and Methods
2.1. Textile Material
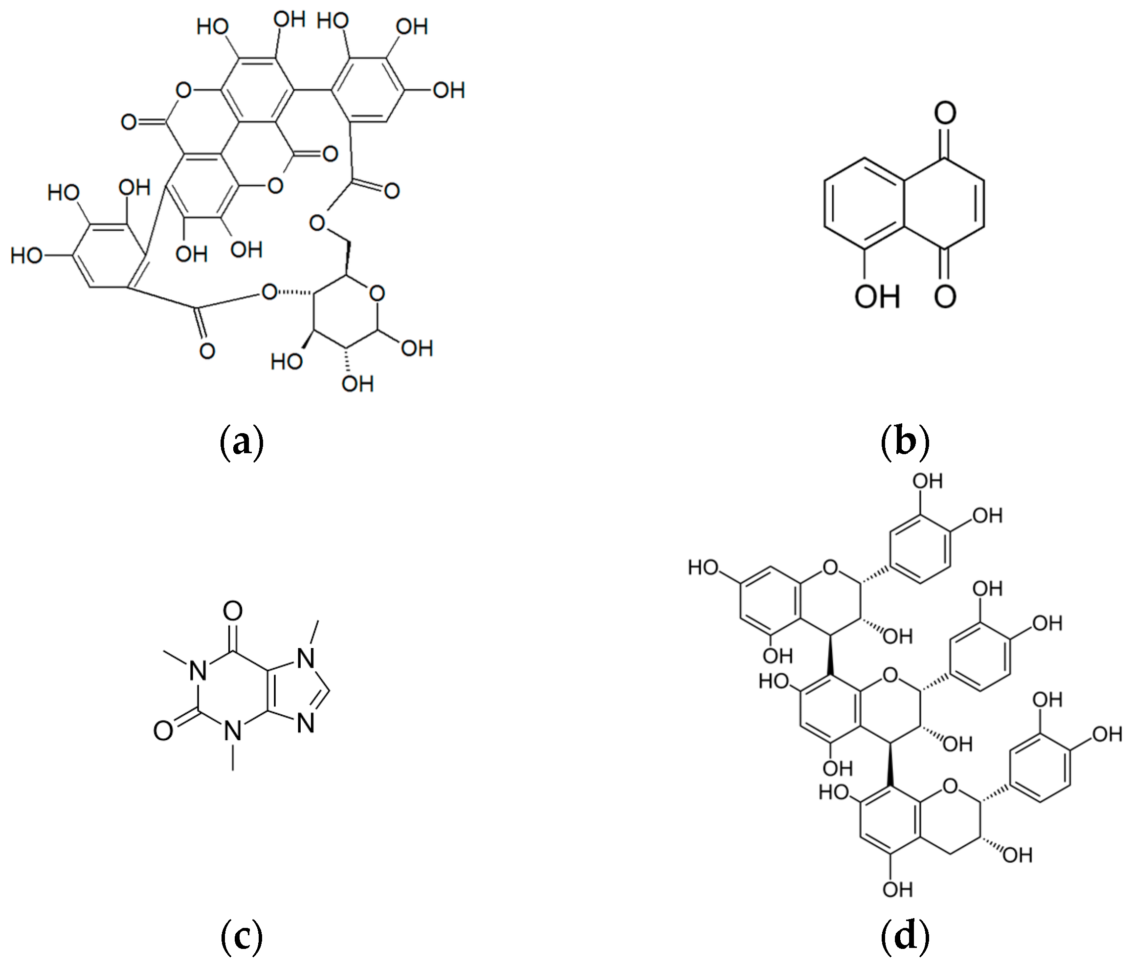
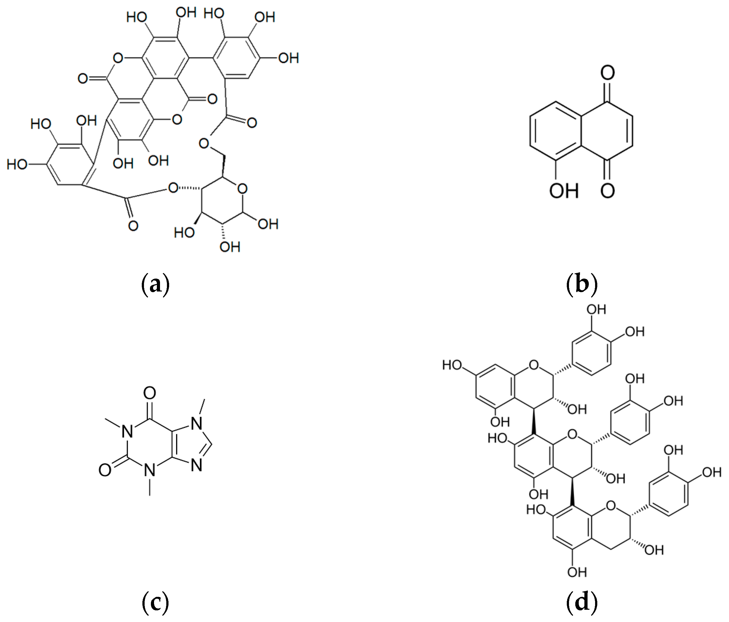
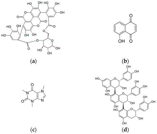
2.2. Plant Selection for Transfer Printnig
2.3. Plant Selection for Dyeing Process
2.4. Plant Transfer Printing on Uncoloured Fabric
- Influence of fabric pH—printing was performed in an acidic medium (pH 4 adjusted with tartaric acid, C4H6O6, Kemika, Zagreb, Croatia), a neutral medium, and an alkaline medium (pH 8 adjusted with Na2CO3, Kemika, Zagreb, Croatia);
- Influence of capillarity—printing was performed under neutral conditions in all combinations of dry and wet fabric and leaves;
- Influence of leaf mordanting—leaves were treated for 10, 30, 60, and 120 min in a solution of 10 g/L iron(II) sulphate heptahydrate, FeSO4·7H2O (Kemika, Zagreb, Croatia);
- The influence of leaf positioning—the front and back of the leaves were used (neutral conditions, and dry substances)
2.5. Plant Transfer Printing on Pre-Dyed Fabric
- Extraction of the dye was performed in soft water containing 100 g/L of plant raw material. The extraction was performed in a bath ratio of 1:40 (considering the mass of the plant matter) at 100 °C for 60 min. The bath was then cooled for 12 h and the extract was decanted.
- The dyeing process was performed in the prepared solution at a bath ratio of 1:30 bath ratio (considering the mass of the textile) at 100 °C for 60 min.
- The plant transfer printing was carried out on dry pre-dyed fabric with dry leaves immersed for 30 min in a solution of 10 g/L FeSO4·7H2O.
2.6. Fixation
2.7. Wash Fastness
2.8. Applying the Recipe—Creating a Clothing Collection
3. Results and Discussion
3.1. Printing on Uncoloured Fabric
3.1.1. Effect of the pH Value of the Fabric
3.1.2. Influence of the Capillarity of the Fabric
3.1.3. Influence of Time Mordanting of Leaves
3.1.4. The Influence of Leaf Positioning—Front/Back
3.2. Plant Transfer Printing on Pre-Dyed Fabric
3.3. Wash Fastness Test
3.4. “Hamadryad” Clothing Collection
4. Conclusions
Author Contributions
Funding
Institutional Review Board Statement
Informed Consent Statement
Data Availability Statement
Conflicts of Interest
References
- Sutlović, A.; Parac-Osterman, Ð.; Ðurašević, V. Croatian Traditional Herbal Dyes for Textile Dyeing, International Interdisciplinary. J. Young Sci. Fac. Text. Technol. 2011, 1, 65–69. [Google Scholar]
- Hofenk de Graaff, J. The Colourful Past: Origins, Chemistry and Identification of Natural Dyestuffs; Archetype Publications Ltd.: London, UK, 2004. [Google Scholar]
- Schweppe, H. Handbuch der Naturfarbstoffe: Vorkommen, Verwndung, Nachweis, 1st ed.; Ecomed: Landsberg am Lech, Germany, 1992. [Google Scholar]
- Sutlović, A.; Glogar, M.I.; Bešlić, S.; Brlek, I. Natural textile dyes—A contribution to creativity and sustainability. Tekstil 2020, 69, 1–10. [Google Scholar]
- Vankar, P.S. Chemistry of natural dyes. Resonance 2010, 5, 73–80. [Google Scholar] [CrossRef]
- Pizzicato, B.; Pacifico, S.; Cayuela, D.; Mijas, G.; Riba-Moliner, M. Advancements in Sustainable Natural Dyes for Textile Applications: A Review. Molecules 2023, 28, 5954. [Google Scholar] [CrossRef] [PubMed]
- Lara, L.; Cabral, I.; Cunga, J. Ecological Approaches to Textile Dyeing: A Review. Sustainability 2022, 14, 8353. [Google Scholar] [CrossRef]
- Šabarić, I.; Filipčić, J.; Sutlović, A.; Karin, F. A collection of sustainable fashion from the flora. In Proceedings of the 14th International Scientific Conference on Manufacturing Engineering—RIM 2023, Sarajevo, Bosnia and Herzegovina, 20–23 September 2023. [Google Scholar]
- Ismal, Ö.E. Patterns from Nature: Contact Printing. J. TEXTILE Assoc. 2016, 77, 81–91. [Google Scholar]
- Sahu, D. Eco-printing. IJCRT 2022, 10, 646–652. [Google Scholar]
- Manuja, A.; Ojha, I.; Singh, M. Eco-Printing: Domestic technique of textile printing using the leaves of Rose Indica. IJETMS 2023, 7, 116–121. [Google Scholar] [CrossRef]
- Tri, Y.; Nooryan, B. The development and analysis of eco-print and screen printing combination using natural dyes. Fibres Text. 2023, 30, 51–55. [Google Scholar] [CrossRef]
- Nurmasitah, S.; Solikhah, R.; Widowati; Milannisa, A.S. The impact of different types of mordant on the eco-print dyeing using tingi (Ceriops tagal). In IOP Conference Series: Earth and Environmental Science, Proceedings of the 10th Engineering International Conference, Semarang, Indonesia, 23 September 2021; IOP Science: Bristol, UK, 2021; Volume 969. [Google Scholar]
- Arora, J.; Agarwal, P.; Gupta, G. Rainbow of natural dyes on textiles using plants extracts: Sustainable and eco-friendly processes green and sustainable. Chemistry 2017, 7, 35–47. [Google Scholar] [CrossRef]
- Alemayehu, T.; Teklemariam, Z. Application of natural dyes on textiles. A Review. Int. J. Res.—Granthaalayah 2014, 2, 61–68. [Google Scholar] [CrossRef]
- Samanta, A.K.; Agarwal, P. Application of natural dyes on textile. Indian J. Fibre Text. Res. 2009, 34, 384–399. [Google Scholar]
- Tripathi, G.; Yadav, M.K.; Upadhyay, P.; Mishra, S. Natural dyes with future aspects in dyeing of Textiles: A research article. Int. J. PharmTech Res. 2015, 8, 96–100. [Google Scholar]
- Mussak, R.; Bechtold, T. Natural colorants in textile deying. In Handbook of Natural Colorants; Mussak, R., Bechtold, T., Eds.; John Wiley and Sons Ltd.: Chichester, UK, 2009. [Google Scholar]
- Mahesh, S.; Reddy, A.H.M.; Vijaya Kumar, G. Studies on Antimicrobial Textile Finish Using Certain Plant Natrual Products. In Proceedings of the International Conference on Advances in Biotechnology and Pharmaceutical Sciences, Bangkok, Thailand, 23–24 December 2011. [Google Scholar]
- Rungruangkitkrai, N.; Mongkholrattanasit, M. Eco-Friendly of Textiles Dyeing and Printing with Natural Dyes. In Proceedings of the 4th RMUTP International Conference: Textile & Fashion, Bangkok, Thailand, 3–4 July 2012. [Google Scholar]
- Botteri, L.; Miljković, A.; Glogar, M.I. Influence of Cotton Pre-Treatment on Dyeing with Onion and Pomegranate Peel Extracts. Molecules 2022, 27, 4547. [Google Scholar] [CrossRef] [PubMed]
- Glogar, M.; Tančik, J.; Brlek, I.; Sutlović, A.; Tkalec, M. Optimisation of process parameters of Alpaca wool printing with Juglans regia natural dye. Color. Technol. 2020, 136, 188–201. [Google Scholar] [CrossRef]
- Šmelcerović, M.; Đorđević, D.; Novaković, M. Textile dyeing with dyes from natural sources. Hem. Ind. 2006, 60, 120–128. [Google Scholar] [CrossRef]
- Kumar, R.; Ramratan; Kumar, A. To study natural herbal dyes on cotton fabric to improving the colour fastness and absorbency performance. J. Text. Eng. Fash. Technol. 2021, 7, 51–56. [Google Scholar]
- Zuin, V.G.; Ramin, L.Z. Green and Sustainable Separation of Natural Products from Agro-Industrial Waste: Challenges, Potentialities, and Perspectives on Emerging Approaches. Top. Curr. Chem. 2018, 376, 3. [Google Scholar] [CrossRef] [PubMed]
- ISO 105-C06:2010 (A2S); Textiles—Tests for Colour Fastness. Available online: https://www.iso.org/standard/51276.html#lifecycle (accessed on 15 May 2024).











Disclaimer/Publisher’s Note: The statements, opinions and data contained in all publications are solely those of the individual author(s) and contributor(s) and not of MDPI and/or the editor(s). MDPI and/or the editor(s) disclaim responsibility for any injury to people or property resulting from any ideas, methods, instructions or products referred to in the content. |
© 2024 by the authors. Licensee MDPI, Basel, Switzerland. This article is an open access article distributed under the terms and conditions of the Creative Commons Attribution (CC BY) license (https://creativecommons.org/licenses/by/4.0/).
Share and Cite
Šabarić, I.; Sutlović, A.; Filipčić, J.; Karin, F. Contribution of Plant Transfer Printing to Sustainable Fashion. Sustainability 2024, 16, 4361. https://doi.org/10.3390/su16114361
Šabarić I, Sutlović A, Filipčić J, Karin F. Contribution of Plant Transfer Printing to Sustainable Fashion. Sustainability. 2024; 16(11):4361. https://doi.org/10.3390/su16114361
Chicago/Turabian StyleŠabarić, Irena, Ana Sutlović, Jana Filipčić, and Franka Karin. 2024. "Contribution of Plant Transfer Printing to Sustainable Fashion" Sustainability 16, no. 11: 4361. https://doi.org/10.3390/su16114361
APA StyleŠabarić, I., Sutlović, A., Filipčić, J., & Karin, F. (2024). Contribution of Plant Transfer Printing to Sustainable Fashion. Sustainability, 16(11), 4361. https://doi.org/10.3390/su16114361

