Sign in to use this feature.

Years

Between: -

Subjects

remove_circle_outline
remove_circle_outline
remove_circle_outline
remove_circle_outline
remove_circle_outline

Journals

Article Types

Countries / Regions

Search Results (59)

Search Parameters:
Keywords = ionospheric gradients

Order results
Result details
Results per page
Select all
Export citation of selected articles as:
12 pages, 14633 KB  
Article
Internal Gravity Wave Turbulence in the Earth’s Ionospheric F-Layer
by Sukhendu Das Adhikary and Amar Prasad Misra
Physics 2026, 8(1), 14; https://doi.org/10.3390/physics8010014 - 1 Feb 2026
Abstract
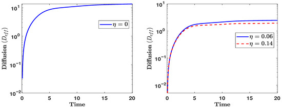
We employ a two-dimensional fluid simulation approach to study the nonlinear turbulent dynamics of internal gravity waves (IGWs) in the weakly ionized Earth’s ionospheric F-layer with the effects of Pedersen conductivity. We observe that the presence of Pedersen conductivity leads to the formation [...] Read more.
We employ a two-dimensional fluid simulation approach to study the nonlinear turbulent dynamics of internal gravity waves (IGWs) in the weakly ionized Earth’s ionospheric F-layer with the effects of Pedersen conductivity. We observe that the presence of Pedersen conductivity leads to the formation of intermediate-scale structures in the velocity potential, along with the development of small-scale density fluctuations. The characteristic turbulent energy spectrum exhibits a non-Kolmogorov scaling of k2.40 in the presence of Pedersen conductivity, while a Kolmogorov-like k5/3 scaling is observed when it is absent, where k denotes the wave number. Due to energy loss caused by Pedersen conductivity, the wave’s amplitude reduces gradually with time. The cross-field diffusion coefficient related to the velocity potential also reduces as Pedersen conductivity increases. The results in the F-layer are compared with those in the literature, where the Ampère force and hence the Pedersen conductivity effect were ignored compared to the pressure gradient and gravity forces, as relevant in the Earth’s D-layer. Full article
Show Figures

Figure 1

20 pages, 20237 KB  
Article
Ionospheric Response to the Geomagnetic Storm of 12–14 November 2025, Based on Multi-Parameter Analysis of Data from the LAERT Topside Sounder
by Sergey Pulinets, Nadezhda Kotonaeva, Victor Depuev and Konstantin Tsybulya
Atmosphere 2026, 17(2), 150; https://doi.org/10.3390/atmos17020150 - 30 Jan 2026
Viewed by 82
Abstract
As Akasofu noted, no two geomagnetic storms are identical, yet the storm that occurred between 12 and 14 November 2025 stands out as an exceptional phenomenon. Its impact was evident across multiple layers of the ionosphere and numerous parameters, making it essential to [...] Read more.
As Akasofu noted, no two geomagnetic storms are identical, yet the storm that occurred between 12 and 14 November 2025 stands out as an exceptional phenomenon. Its impact was evident across multiple layers of the ionosphere and numerous parameters, making it essential to conduct a comprehensive multi-parameter analysis of this event. Such an analysis relied upon data from the four LAERT topside sounders mounted aboard the recently launched Ionosfera-M satellites. Global ionospheric dynamics were thoroughlyexamined during the storm period, particularly focusing on the polar and auroral zones, along with the equatorial anomaly region. Notable features included sharp electron density gradients, widespread F-layer disturbances, and the formation of giant plasma bubbles. These elements collectively contributed to the dynamic picture of the ionospheric storm captured through multi-parameter measurements by the LAERT sounders. Full article
(This article belongs to the Special Issue Advances in Observation and Simulation Studies of Ionosphere)
Show Figures

Figure 1

24 pages, 6704 KB  
Article
Strong Longitudinal and Latitudinal Differences of Ionospheric Responses in North American and European Sectors During the 10–11 October 2024 Geomagnetic Storm
by Xinyue Luo, Ercha Aa, Xin Wang and Bingxian Luo
Remote Sens. 2026, 18(2), 256; https://doi.org/10.3390/rs18020256 - 13 Jan 2026
Viewed by 269
Abstract
This study examines the spatiotemporal evolution of midlatitude ionospheric disturbances during the intense geomagnetic storm on 10–11 October 2024, focusing on the North American and European sectors. It utilizes multi-instrument datasets from ground-based observations, including Global Navigation Satellite System (GNSS) receivers and ionosondes, [...] Read more.
This study examines the spatiotemporal evolution of midlatitude ionospheric disturbances during the intense geomagnetic storm on 10–11 October 2024, focusing on the North American and European sectors. It utilizes multi-instrument datasets from ground-based observations, including Global Navigation Satellite System (GNSS) receivers and ionosondes, supplemented by the measurements from the Swarm, DMSP and GUVI/TIMED satellites. The results reveal significant longitudinal and latitudinal variations in regional ionospheric responses, specifically related to Storm Enhanced Density (SED) and the midlatitude trough. Key findings include: (a) During the main phase of the storm, the North American midlatitude ionosphere exhibited a pronounced longitudinal contrast: a positive SED-driven phase in the west versus a negative trough-dominated phase in the east. In the early recovery phase, the western sector transitioned to a trough-induced negative phase, while the eastern sector showed a positive phase related to auroral particle precipitation during substorms. (b) The North American SED featured a strong northwest-extending plume with a westward shift velocity of 200–300 m/s at 45°N, and a sharp density gradient of 60–65 TECU on its northeastern side, in contrast to the trough. (c) The European sector displayed a “sandwich-like” latitudinal pattern, with “positive–negative–positive” variations during the storm. (d) The European sector’s storm-time trough expanded rapidly equatorward, reaching a minimum of ~35° magnetic latitude (MLAT), while broadening latitudinally to a width of 18–20°. These density gradient structures, along with the longitudinal/latitudinal differences, highlight the dynamic processes occurring in the magnetosphere–ionosphere–thermosphere system during intense storms and contribute to the understanding of storm-response mechanisms across different sectors. Full article
Show Figures

Graphical abstract

32 pages, 999 KB  
Article
A Robust Hybrid Metaheuristic Framework for Training Support Vector Machines
by Khalid Nejjar, Khalid Jebari and Siham Rekiek
Algorithms 2026, 19(1), 70; https://doi.org/10.3390/a19010070 - 13 Jan 2026
Viewed by 109
Abstract
Support Vector Machines (SVMs) are widely used in critical decision-making applications, such as precision agriculture, due to their strong theoretical foundations and their ability to construct an optimal separating hyperplane in high-dimensional spaces. However, the effectiveness of SVMs is highly dependent on the [...] Read more.
Support Vector Machines (SVMs) are widely used in critical decision-making applications, such as precision agriculture, due to their strong theoretical foundations and their ability to construct an optimal separating hyperplane in high-dimensional spaces. However, the effectiveness of SVMs is highly dependent on the efficiency of the optimization algorithm used to solve their underlying dual problem, which is often complex and constrained. Classical solvers, such as Sequential Minimal Optimization (SMO) and Stochastic Gradient Descent (SGD), present inherent limitations: SMO ensures numerical stability but lacks scalability and is sensitive to heuristics, while SGD scales well but suffers from unstable convergence and limited suitability for nonlinear kernels. To address these challenges, this study proposes a novel hybrid optimization framework based on Open Competency Optimization and Particle Swarm Optimization (OCO–PSO) to enhance the training of SVMs. The proposed approach combines the global exploration capability of PSO with the adaptive competency-based learning mechanism of OCO, enabling efficient exploration of the solution space, avoidance of local minima, and strict enforcement of dual constraints on the Lagrange multipliers. Across multiple datasets spanning medical (diabetes), agricultural yield, signal processing (sonar and ionosphere), and imbalanced synthetic data, the proposed OCO-PSO–SVM consistently outperforms classical SVM solvers (SMO and SGD) as well as widely used classifiers, including decision trees and random forests, in terms of accuracy, macro-F1-score, Matthews correlation coefficient (MCC), and ROC-AUC. On the Ionosphere dataset, OCO-PSO achieves an accuracy of 95.71%, an F1-score of 0.954, and an MCC of 0.908, matching the accuracy of random forest while offering superior interpretability through its kernel-based structure. In addition, the proposed method yields a sparser model with only 66 support vectors compared to 71 for standard SVC (a reduction of approximately 7%), while strictly satisfying the dual constraints with a near-zero violation of 1.3×103. Notably, the optimal hyperparameters identified by OCO-PSO (C=2, γ0.062) differ substantially from those obtained via Bayesian optimization for SVC (C=10, γ0.012), indicating that the proposed approach explores alternative yet equally effective regions of the hypothesis space. The statistical significance and robustness of these improvements are confirmed through extensive validation using 1000 bootstrap replications, paired Student’s t-tests, Wilcoxon signed-rank tests, and Holm–Bonferroni correction. These results demonstrate that the proposed metaheuristic hybrid optimization framework constitutes a reliable, interpretable, and scalable alternative for training SVMs in complex and high-dimensional classification tasks. Full article
Show Figures

Figure 1

10 pages, 1362 KB  
Article
Spatial Scale of Ionospheric Equatorial Electrojet Using Longitude Gradient of Magnetic Data from Swarm Satellites
by Shuang Liu and Jiaming Ou
Appl. Sci. 2025, 15(24), 12857; https://doi.org/10.3390/app152412857 - 5 Dec 2025
Viewed by 343
Abstract
The equatorial electrojet (EEJ) is an eastward electric current system in the ionosphere located along the dip equator. Investigating the small-scale spatial gradients of the EEJ is essential to elucidate its fine structure and associated controlling sources. In this study, magnetic gradients were [...] Read more.
The equatorial electrojet (EEJ) is an eastward electric current system in the ionosphere located along the dip equator. Investigating the small-scale spatial gradients of the EEJ is essential to elucidate its fine structure and associated controlling sources. In this study, magnetic gradients were estimated to investigate the small-scale spatial structures of EEJ. These data were simultaneously measured by the side-by-side, parallel-flying Swarm-A and Swarm-C satellites, which maintain a fixed separation of approximately 1.4° in longitude. Several features emerge from our statistical results: (1) Approximately 44% of cases exhibit absolute longitudinal gradients less than 0.2 nT/100 km, which corresponds to a difference of about 10 nT over a typical distance of 50° longitude. This is not a necessary relationship; it merely illustrates that 0.2 nT/100 km is a relatively larger value. From this rough estimation, it is considered that the EEJ’s small-scale variations could be more pronounced than we expected as shown by its large-scale variations. Over 90% of the cases have gradient values below 0.6 nT/100 km. (2) Cases with a gradient exceeding 0.9 nT/100 km are primarily located over the South Atlantic Anomaly, northern Africa, and Pacific regions. (3) Since positive gradient refers to eastward increasing of EEJ’s magnitude while negative value corresponds to eastward decrease, special distributions of both positive and negative gradients with higher values suggest longitudinal variations in EEJ have a typical and consistent pattern. This pattern is largely consistent but not the same as those found in previous studies. The results in our study can be used to understand the local structure of the EEJ. Full article
(This article belongs to the Collection Advances in Theoretical and Applied Geophysics)
Show Figures

Figure 1

22 pages, 3482 KB  
Article
Analysis of Ionospheric Response and GNSS Positioning on Geodetic and Low-Cost Receivers in Mexico During the May 2024 Geomagnetic Storm
by J. Rene Vazquez-Ontiveros, Angela Melgarejo-Morales, Carlos A. Martinez-Felix and J. Ramon Martinez-Batlle
Geosciences 2025, 15(11), 408; https://doi.org/10.3390/geosciences15110408 - 22 Oct 2025
Viewed by 1287
Abstract
Geomagnetic storms can severely disturb the ionosphere, degrading Global Navigation Satellite System (GNSS) performance, particularly at low latitudes. The 10 May 2024 superstorm produced a strong ionospheric response across Mexico, with well-defined positive and negative phases observed at all analyzed stations. The proximity [...] Read more.
Geomagnetic storms can severely disturb the ionosphere, degrading Global Navigation Satellite System (GNSS) performance, particularly at low latitudes. The 10 May 2024 superstorm produced a strong ionospheric response across Mexico, with well-defined positive and negative phases observed at all analyzed stations. The proximity in time of %dTEC peaks to the second and third steps of the storm’s main phase, together with their local time dependence, indicates that Prompt Penetration Electric Fields (PPEFs) dominated the initial positive phase on the dayside. These eastward electric fields uplifted the F-region plasma, enhancing TEC values—especially at northern stations, where increases reached ±180%. In contrast, the subsequent nighttime depletion and extended recovery were mainly driven by composition-related plasma loss and enhanced recombination. A suppression of TEC followed the positive phase, with depletions between −58% and −77%, showing a persistent latitudinal gradient. Low-cost GNSS receivers successfully captured these ionospheric signatures but exhibited higher positioning degradation—up to 50% greater than geodetic-grade receivers. Multi-constellation Precise Point Positioning (PPP) mitigated these effects, reducing 3D errors by up to 23% and 53% in geodetic and low-cost receivers, respectively. These findings reveal the day–night dependence of ionospheric storm phases and underscore the importance of regional multi-GNSS monitoring during extreme space weather. Full article
(This article belongs to the Section Geophysics)
Show Figures

Figure 1

19 pages, 10558 KB  
Article
Ionospheric Disturbances from the 2022 Hunga-Tonga Volcanic Eruption: Impacts on TEC Spatial Gradients and GNSS Positioning Accuracy Across the Japan Region
by Zhihao Fu, Xuhui Shen, Qinqin Liu and Ningbo Wang
Remote Sens. 2025, 17(17), 3108; https://doi.org/10.3390/rs17173108 - 6 Sep 2025
Cited by 1 | Viewed by 1397
Abstract
The Hunga-Tonga volcanic eruption on 15 January 2022, produced significant atmospheric and ionospheric disturbances that may degrade global navigation satellite system (GNSS) and precise point positioning (PPP) accuracy. Using data from the GEONET GNSS network and Soratena barometric pressure sensors across Japan, we [...] Read more.
The Hunga-Tonga volcanic eruption on 15 January 2022, produced significant atmospheric and ionospheric disturbances that may degrade global navigation satellite system (GNSS) and precise point positioning (PPP) accuracy. Using data from the GEONET GNSS network and Soratena barometric pressure sensors across Japan, we analyzed the eruption’s effects through the gradient ionospheric index (GIX) and the rate of TEC index (ROTI) to characterize the propagation and effects of these disturbances on ionospheric total electron content (TEC) gradients. Our analysis identified two separate ionospheric disturbance events. The first event, coinciding with the arrival of atmospheric Lamb waves, was characterized by wave-like pressure anomalies, differential TEC (dTEC) fluctuations, and modest horizontal gradients of vertical TEC (VTEC). In contrast, the second, more pronounced disturbance was driven by equatorial plasma bubbles (EPBs), which generated severe ionospheric irregularities and large TEC gradients. Further analysis revealed that these two disturbances had markedly different impacts on GNSS positioning accuracy. The Lamb wave–induced disturbance mainly caused moderate TEC fluctuations with limited effects on positioning accuracy, and mid-latitude stations maintained both average and 95th percentile positioning (ppp,P95) errors below 0.1 m throughout the event. In contrast, the EPB-driven disturbance had a substantial impact on low-latitude regions, where the average horizontal PPP error peaked at 0.5 m and the horizontal and vertical ppp,P95 errors exceeded 1 m. Our findings reveal two episodes of spatial-gradient enhancement and successfully estimate the propagation speed and direction of the Lamb waves, supporting the potential application of ionospheric gradient monitoring in forecasting GNSS performance degradation. Full article
Show Figures

Figure 1

26 pages, 9399 KB  
Article
An Investigation of Pre-Seismic Ionospheric TEC and Acoustic–Gravity Wave Coupling Phenomena Using BDS GEO Measurements: A Case Study of the 2023 Jishishan Ms6.2 Earthquake
by Xiao Gao, Lina Shu, Zongfang Ma, Penggang Tian, Lin Pan, Hailong Zhang and Shuai Yang
Remote Sens. 2025, 17(13), 2296; https://doi.org/10.3390/rs17132296 - 4 Jul 2025
Cited by 2 | Viewed by 1430
Abstract
This study investigates pre-seismic ionospheric anomalies preceding the 2023 Jishishan Ms6.2 earthquake using total electron content (TEC) data derived from BDS geostationary orbit (GEO) satellites. Multi-scale analysis integrating Butterworth filtering and wavelet transforms resolved TEC disturbances into three distinct frequency regimes: (1) high-frequency [...] Read more.
This study investigates pre-seismic ionospheric anomalies preceding the 2023 Jishishan Ms6.2 earthquake using total electron content (TEC) data derived from BDS geostationary orbit (GEO) satellites. Multi-scale analysis integrating Butterworth filtering and wavelet transforms resolved TEC disturbances into three distinct frequency regimes: (1) high-frequency perturbations (0.56–3.33 mHz) showed localized disturbances (amplitude ≤ 4 TECU, range < 300 km), potentially associated with near-field acoustic waves from crustal stress adjustments; (2) mid-frequency signals (0.28–0.56 mHz) exhibited anisotropic propagation (>1200 km) with azimuth-dependent N-shaped waveforms, consistent with the characteristics of acoustic–gravity waves (AGWs); and (3) low-frequency components (0.18–0.28 mHz) demonstrated phase reversal and power-law amplitude attenuation, suggesting possible lithosphere–atmosphere–ionosphere (LAI) coupling oscillations. The stark contrast between near-field residuals and far-field weak fluctuations highlighted the dominance of large-scale atmospheric gravity waves over localized acoustic disturbances. Geometry-based velocity inversion revealed incoherent high-frequency dynamics (5–30 min) versus anisotropic mid/low-frequency traveling ionospheric disturbance (TID) propagation (30–90 min) at 175–270 m/s, aligning with theoretical AGW behavior. During concurrent G1-class geomagnetic storm activity, spatial attenuation gradients and velocity anisotropy appear primarily consistent with seismogenic sources, providing insights for precursor discrimination and contributing to understanding multi-scale coupling in seismo-ionospheric systems. Full article
Show Figures

Figure 1

24 pages, 8519 KB  
Article
Probing Equatorial Ionospheric TEC at Sub-GHz Frequencies with Wide-Band (B4) uGMRT Interferometric Data
by Dipanjan Banerjee, Abhik Ghosh, Sushanta K. Mondal and Parimal Ghosh
Universe 2025, 11(7), 210; https://doi.org/10.3390/universe11070210 - 26 Jun 2025
Viewed by 784
Abstract
Phase stability at low radio frequencies is severely impacted by ionospheric propagation delays. Radio interferometers such as the giant metrewave radio telescope (GMRT) are capable of detecting changes in the ionosphere’s total electron content (TEC) over larger spatial scales and with greater sensitivity [...] Read more.
Phase stability at low radio frequencies is severely impacted by ionospheric propagation delays. Radio interferometers such as the giant metrewave radio telescope (GMRT) are capable of detecting changes in the ionosphere’s total electron content (TEC) over larger spatial scales and with greater sensitivity compared to conventional tools like the global navigation satellite system (GNSS). Thanks to its unique design, featuring both a dense central array and long outer arms, and its strategic location, the GMRT is particularly well-suited for studying the sensitive ionospheric region located between the northern peak of the equatorial ionization anomaly (EIA) and the magnetic equator. In this study, we observe the bright flux calibrator 3C48 for ten hours to characterize and study the low-latitude ionosphere with the upgraded GMRT (uGMRT). We outline the methods used for wideband data reduction and processing to accurately measure differential TEC (δTEC) between antenna pairs, achieving a precision of< mTECU (1 mTECU = 103 TECU) for central square antennas and approximately mTECU for arm antennas. The measured δTEC values are used to estimate the TEC gradient across GMRT arm antennas. We measure the ionospheric phase structure function and find a power-law slope of β=1.72±0.07, indicating deviations from pure Kolmogorov turbulence. The inferred diffractive scale, the spatial separation over which the phase variance reaches 1rad2, is ∼6.66 km. The small diffractive scale implies high phase variability across the field of view and reduced temporal coherence, which poses challenges for calibration and imaging. Full article
(This article belongs to the Section Planetary Sciences)
Show Figures

Figure 1

17 pages, 9271 KB  
Article
Temporal and Spatial Analysis of the Impact of the 2015 St. Patrick’s Day Geomagnetic Storm on Ionospheric TEC Gradients and GNSS Positioning in China Using GIX and ROTI Indices
by Zhihao Fu, Ningbo Wang, Xuhui Shen and Ang Li
Remote Sens. 2025, 17(12), 2027; https://doi.org/10.3390/rs17122027 - 12 Jun 2025
Viewed by 1794
Abstract
Geomagnetic storms induce ionospheric disturbances, significantly affecting Global Navigation Satellite System (GNSS) positioning accuracy. This study investigates how geomagnetic storm-induced ionospheric irregularities influence GNSS Precise Point Positioning (PPP), using data from approximately 260 GNSS stations across China during 15 storm events between 1 [...] Read more.
Geomagnetic storms induce ionospheric disturbances, significantly affecting Global Navigation Satellite System (GNSS) positioning accuracy. This study investigates how geomagnetic storm-induced ionospheric irregularities influence GNSS Precise Point Positioning (PPP), using data from approximately 260 GNSS stations across China during 15 storm events between 1 January and 30 June 2015. We applied two indices—the Gradient Ionosphere Index (GIX), representing spatial gradients of vertical total electron content (VTEC), and the Rate of TEC Index (ROTI), describing temporal TEC variations. The analysis identified the St. Patrick’s Day geomagnetic storm (17 March 2015) as causing the most pronounced ionospheric disruptions, with significant east–west TEC gradients (|GIXx,P95| > 50 mTECU/km) consistently associated with substantial PPP errors (>0.5 m). Spatial analyses further indicated that significant 3D PPP errors (PPP, P95 > 0.4 m) closely overlapped with regions experiencing intense east–west TEC gradients, predominantly in the 20–35°N latitude band. Further analysis indicated notable pre-storm ionospheric enhancements driven by zonal electric fields, distinct ionospheric suppression associated with westward disturbance dynamo electric fields (DDEFs) on 18 March, and re-intensification due to eastward penetration electric fields (PEFs) on 19 March. Full article
Show Figures

Figure 1

35 pages, 4918 KB  
Article
Global Response of Vertical Total Electron Content to Mother’s Day G5 Geomagnetic Storm of May 2024: Insights from IGS and GIM Observations
by Sanjoy Kumar Pal, Soumen Sarkar, Kousik Nanda, Aritra Sanyal, Bhuvnesh Brawar, Abhirup Datta, Stelios M. Potirakis, Ajeet K. Maurya, Arnab Bhattacharya, Pradipta Panchadhyayee, Saibal Ray and Sudipta Sasmal
Atmosphere 2025, 16(5), 529; https://doi.org/10.3390/atmos16050529 - 30 Apr 2025
Cited by 3 | Viewed by 2083
Abstract
The G5 geomagnetic storm of May 2024 provided a significant opportunity to investigate global ionospheric disturbances using vertical total electron content (VTEC) data derived from 422 GNSS-IGS stations and GIM. This study presents a comprehensive spatio-temporal analysis of VTEC modulation before, during, and [...] Read more.
The G5 geomagnetic storm of May 2024 provided a significant opportunity to investigate global ionospheric disturbances using vertical total electron content (VTEC) data derived from 422 GNSS-IGS stations and GIM. This study presents a comprehensive spatio-temporal analysis of VTEC modulation before, during, and after the storm, focusing on hemispheric asymmetries and longitudinal variations. The primary objective of this study is to analyze the spatial and temporal modulation of VTEC under extreme geomagnetic conditions, assess the hemispheric asymmetry and longitudinal disruptions, and evaluate the influence of geomagnetic indices on storm-time ionospheric variability. The indices examined reveal intense geomagnetic activity, with the dst index plunging to −412 nT, the Kp index reaching 9, and significant fluctuations in the auroral electrojet indices (AE, AL, AU), all indicative of severe space weather conditions. The results highlight storm-induced hemispheric asymmetries, with positive storm effects (VTEC enhancement) in the Northern Hemisphere and negative storm effects (VTEC depletion) in the Southern Hemisphere. These anomalies are primarily attributed to penetration electric fields, neutral wind effects, and composition changes in the ionosphere. The storm’s peak impact on DoY 132 exhibited maximum disturbances at ±90° and ±180° longitudes, emphasizing the role of geomagnetic forces in plasma redistribution. Longitudinal gradients were strongly amplified, disrupting the usual equatorial ionization anomaly structure. Post-storm recovery on DoY 136 demonstrated a gradual return to equilibrium, although lingering effects persisted at mid- and high latitudes. These findings are crucial for understanding space weather-induced ionospheric perturbations, directly impacting GNSS-based navigation, communication systems, and space weather forecasting. Full article
(This article belongs to the Section Upper Atmosphere)
Show Figures

Figure 1

23 pages, 14513 KB  
Article
Scintillations in Southern Europe During the Geomagnetic Storm of June 2015
by Anna Morozova, Luca Spogli, Teresa Barata, Rayan Imam, Emanuele Pica, Juan Andrés Cahuasquí, Mohammed Mainul Hoque, Norbert Jakowski and Daniela Estaço
Remote Sens. 2025, 17(3), 535; https://doi.org/10.3390/rs17030535 - 5 Feb 2025
Cited by 1 | Viewed by 1574
Abstract
The sensitivity of Global Navigation Satellite System (GNSS) receivers to ionospheric disturbances and their constant growth are nowadays resulting in an increased concern of GNSS users about the impacts of ionospheric disturbances at mid-latitudes. The geomagnetic storm of June 2015 is an example [...] Read more.
The sensitivity of Global Navigation Satellite System (GNSS) receivers to ionospheric disturbances and their constant growth are nowadays resulting in an increased concern of GNSS users about the impacts of ionospheric disturbances at mid-latitudes. The geomagnetic storm of June 2015 is an example of a rare phenomenon of a spill-over of equatorial plasma bubbles well north from their habitual. We study the occurrence of small- and medium-scale irregularities in the North Atlantic Eastern Mediterranean mid- and low-latitudinal zone by analysing the amplitude of the scintillation index S4 and rate of total electron content index (ROTI) measurements during this storm. In addition, large-scale perturbations of the ionospheric electron density were studied using ground and space-borne instruments, thus characterising a complex perturbation behaviour over the region mentioned above. The involvement of large-scale structures is emphasised by the usage of innovative approaches such as the ground-based gradient ionosphere index (GIX) and electron density and total electron content gradients derived from Swarm satellite data. The multi-source data allow us to characterise the impact of irregularities of different scales to better understand the ionospheric dynamics and stress the importance of proper monitoring of the ionosphere in the studied region. Full article
Show Figures

Figure 1

29 pages, 7689 KB  
Article
Transformer-Based Ionospheric Prediction and Explainability Analysis for Enhanced GNSS Positioning
by He-Sheng Wang, Dah-Jing Jwo and Yu-Hsuan Lee
Remote Sens. 2025, 17(1), 81; https://doi.org/10.3390/rs17010081 - 28 Dec 2024
Cited by 3 | Viewed by 2432
Abstract
This study aims to investigate the impact of ionospheric models on Global Navigation Satellite System (GNSS) positioning and proposes an ionospheric prediction method based on a Transformer deep learning model. We construct a Transformer-based deep learning model that utilizes global ionospheric maps as [...] Read more.
This study aims to investigate the impact of ionospheric models on Global Navigation Satellite System (GNSS) positioning and proposes an ionospheric prediction method based on a Transformer deep learning model. We construct a Transformer-based deep learning model that utilizes global ionospheric maps as input to achieve spatiotemporal prediction of Total Electron Content (TEC). To gain a deeper understanding of the model’s prediction mechanism, we employ integrated gradients for explainability analysis. The results reveal the key ionospheric features that the model focuses on during prediction, providing guidance for further model optimization. This study demonstrates the efficacy of a Transformer-based model in predicting Vertical Total Electron Content (VTEC), achieving comparable accuracy to traditional methods while offering enhanced adaptability to spatial and temporal variations in ionospheric behavior. Furthermore, the application of advanced explainability techniques, particularly the Integrated Decision Gradient (IDG) method, provides unprecedented insights into the model’s decision-making process, revealing complex feature interactions and spatial dependencies in VTEC prediction, thus bridging the gap between deep learning capabilities and explainable scientific modeling in geophysical applications. The model achieved positioning accuracies of −1.775 m, −2.5720 m, and 2.6240 m in the East, North, and Up directions respectively, with standard deviations of 0.3399 m, 0.2971 m, and 1.3876 m. For VTEC prediction, the model successfully captured the diurnal variations of the Equatorial Ionization Anomaly (EIA), with differences between predicted and CORG VTEC values typically ranging from −6 to 6 TECU across the study region. The gradient score analysis revealed that solar activity indicators (F10.7 and sunspot number) showed the strongest correlations (0.7–0.8) with VTEC variations, while geomagnetic indices exhibited more localized impacts. The IDG method effectively identified feature importance variations across different spatial locations, demonstrating the model’s ability to adapt to regional ionospheric characteristics. Full article
Show Figures

Figure 1

14 pages, 8940 KB  
Article
Some Effects of the Shiveluch Volcano Eruption of the 10 April 2023 on Atmospheric Electricity and the Ionosphere
by Sergey Smirnov, Sergey Pulinets and Vasily Bychkov
Atmosphere 2024, 15(12), 1467; https://doi.org/10.3390/atmos15121467 - 9 Dec 2024
Viewed by 3066
Abstract
The full range of effects of strong volcanic eruptions on the electrical characteristics of the atmosphere is not yet fully understood. On the 10 April 2023, the largest eruption in recent decades of the Shiveluch volcano in Kamchatka occurred. At the same time, [...] Read more.
The full range of effects of strong volcanic eruptions on the electrical characteristics of the atmosphere is not yet fully understood. On the 10 April 2023, the largest eruption in recent decades of the Shiveluch volcano in Kamchatka occurred. At the same time, a sharp increase in electron concentration was observed in the F layer of the ionosphere above the volcano. Simultaneously, at a distance of 450 km from the volcano, an intense anomaly was observed in the vertical component of the electric field potential gradient in the surface atmosphere. At this distance, the anomaly could not have been caused by a space charge of volcanic ash. The article examines the atmospheric–electrical effects of a volcanic eruption and proposes a physical mechanism for these phenomena. The formation of strong electric field positive jump as result of volcano eruption was confirmed by the consecutive Shiveluch volcano eruption on the 18 August 2024. Full article
(This article belongs to the Special Issue Feature Papers in Upper Atmosphere (2nd Edition))
Show Figures

Figure 1

14 pages, 2587 KB  
Article
Prediction of Ionospheric Scintillations Using Machine Learning Techniques during Solar Cycle 24 across the Equatorial Anomaly
by Sebwato Nasurudiin, Akimasa Yoshikawa, Ahmed Elsaid and Ayman Mahrous
Atmosphere 2024, 15(10), 1213; https://doi.org/10.3390/atmos15101213 - 11 Oct 2024
Viewed by 2266
Abstract
Ionospheric scintillation is a pressing issue in space weather studies due to its diverse effects on positioning, navigation, and timing (PNT) systems. Developing an accurate and timely prediction model for this event is crucial. In this work, we developed two machine learning models [...] Read more.
Ionospheric scintillation is a pressing issue in space weather studies due to its diverse effects on positioning, navigation, and timing (PNT) systems. Developing an accurate and timely prediction model for this event is crucial. In this work, we developed two machine learning models for the prediction of ionospheric scintillation events at the equatorial anomaly during the maximum and minimum phases of solar cycle 24. The models developed in this study are the Random Forest (RF) algorithm and the eXtreme Gradient Boosting (XGBoost) algorithm. The models take inputs based on the solar wind parameters obtained from the OMNI Web database from the years 2010–2017 and Pc5 wave power obtained from the Bear Island (BJN) magnetometer station. We retrieved data from the Scintillation Network and Decision Aid (SCINDA) receiver in Egypt from which the S4 index was computed to quantify amplitude scintillations that were utilized as the target in the model development. Out-of-sample model testing was performed to evaluate the prediction accuracy of the models on unseen data after training. The similarity between the observed and predicted scintillation events, quantified by the R2 score, was 0.66 and 0.74 for the RF and XGBoost models, respectively. The corresponding Root Mean Square Errors (RMSEs) associated with the models were 0.01 and 0.01 for the RF and XGBoost models, respectively. The similarity in error shows that the XGBoost model is a good and preferred choice for the prediction of ionospheric scintillation events at the equatorial anomaly. With these results, we recommend the use of ensemble learning techniques for the study of the ionospheric scintillation phenomenon. Full article
(This article belongs to the Section Planetary Atmospheres)
Show Figures

Figure 1

Back to TopTop