You are currently viewing a new version of our website. To view the old version click .
Remote Sensing
  • Article
  • Open Access

4 July 2025

An Investigation of Pre-Seismic Ionospheric TEC and Acoustic–Gravity Wave Coupling Phenomena Using BDS GEO Measurements: A Case Study of the 2023 Jishishan Ms6.2 Earthquake

,
,
,
,
,
and
1
College of Information and Control Engineering, Xi’an University of Architecture and Technology, Xi’an 710055, China
2
Shaanxi Construction Engineering Holding Group Corp., Ltd., Xi’an 710115, China
3
School of Geosciences and Info-Physics, Central South University, Changsha 410083, China
4
Northwest Electric Power Design Institute Co., Ltd. (NWEPDI) of China Power Engineering Consulting Group, Xi’an 710075, China
This article belongs to the Special Issue State of the Art of Geomagnetic/Electromagnetic Satellites: Science and Applications (Second Edition)

Abstract

This study investigates pre-seismic ionospheric anomalies preceding the 2023 Jishishan Ms6.2 earthquake using total electron content (TEC) data derived from BDS geostationary orbit (GEO) satellites. Multi-scale analysis integrating Butterworth filtering and wavelet transforms resolved TEC disturbances into three distinct frequency regimes: (1) high-frequency perturbations (0.56–3.33 mHz) showed localized disturbances (amplitude ≤ 4 TECU, range < 300 km), potentially associated with near-field acoustic waves from crustal stress adjustments; (2) mid-frequency signals (0.28–0.56 mHz) exhibited anisotropic propagation (>1200 km) with azimuth-dependent N-shaped waveforms, consistent with the characteristics of acoustic–gravity waves (AGWs); and (3) low-frequency components (0.18–0.28 mHz) demonstrated phase reversal and power-law amplitude attenuation, suggesting possible lithosphere–atmosphere–ionosphere (LAI) coupling oscillations. The stark contrast between near-field residuals and far-field weak fluctuations highlighted the dominance of large-scale atmospheric gravity waves over localized acoustic disturbances. Geometry-based velocity inversion revealed incoherent high-frequency dynamics (5–30 min) versus anisotropic mid/low-frequency traveling ionospheric disturbance (TID) propagation (30–90 min) at 175–270 m/s, aligning with theoretical AGW behavior. During concurrent G1-class geomagnetic storm activity, spatial attenuation gradients and velocity anisotropy appear primarily consistent with seismogenic sources, providing insights for precursor discrimination and contributing to understanding multi-scale coupling in seismo-ionospheric systems.

1. Introduction

The investigation of seismo-ionospheric anomalies has garnered significant attention as a potential precursor for short-term earthquake forecasting [1,2,3]. Since the first recorded ionospheric perturbations preceding the 1964 Alaska MW9.2 earthquake, Global Navigation Satellite System (GNSS)-derived total electron content (TEC) monitoring has revolutionized the detection of seismic-related ionospheric disturbances [4,5,6]. Empirical studies suggest that the majority of earthquakes with magnitudes exceeding Mw6.0 exhibit complex pre-seismic TEC variations [7]. GPS-derived TEC monitoring has become the methodological cornerstone for such investigations, with well-documented cases including the following: the anomalous TEC attenuation preceding the 1999 Taiwan Chi-Chi Mw7.7 earthquake [8], the multi-phase TEC fluctuations observed before the 2008 Wenchuan Mw7.9 event [9], the pre-seismic ionospheric anomalies prior to the 2013 Mw7.7 Pakistan earthquake [10], the pronounced positive TEC anomalies over the epicentral and magnetic conjugate regions within two weeks before the 2021 Yangbi–Maduo twin earthquakes [11], and the ionospheric TEC anomalies accompanying the 2024 Mw7.5 Noto Peninsula earthquake [12]. Statistical analyses further substantiate these correlations: Liu et al. identified that approximately 80% of TEC anomalies within five days prior to Mw ≥ 6.0 earthquakes in Taiwan were seismogenic [13], while Le et al. demonstrated a statistically significant increase in TEC anomaly frequency preceding global Mw ≥ 6.0 earthquakes compared to background levels [14].
However, inherent limitations arise from the kinematic nature of GNSS observations. The ionospheric piercing points (IPPs) between orbiting satellites and ground receivers exhibit spatial–temporal coupling due to satellite motion. Consequently, derived TEC data cannot directly represent fixed-location temporal variations, requiring mathematical interpolation or modeling that introduces uncertainty [15,16]. In contrast, the GEO satellites of the BeiDou Navigation Satellite System (BDS) provide a unique solution through quasi-invariant orbital configurations [17]. Although geostationary orbits are perturbed by Earth’s oblateness and gravitational interactions with the Sun and Moon, onboard station-keeping mechanisms maintain positional stability, rendering IPP fluctuations negligible relative to the ionospheric spatial scales (thousands of kilometers) [18,19,20]. This capability effectively establishes a network of position-locked monitoring nodes, enabling continuous TEC acquisition from fixed ionospheric locations and significantly enhancing spatiotemporal resolution.
Despite the established statistical correlations between ionospheric anomalies and seismic events, the physical mechanisms governing seismogenic ionospheric disturbances remain incompletely characterized. The lithosphere–atmosphere–ionosphere coupling (LAIC) framework proposes three primary pathways: chemical channeling, acoustic–gravity wave (AGW) propagation, and electrostatic field modulation [21,22,23,24,25,26]. Among these, AGW-mediated coupling has gained particular attention due to its traceable vertical propagation from the lithosphere to the ionosphere [27]. Seismically excited AGWs interact with ionospheric plasma through vertical energy transfer, inducing detectable TEC oscillations. For instance, Korepanov et al. employed wavelet analysis to reveal atmospheric filtering effects on AGWs, demonstrating that only high-velocity, long-wavelength AGWs penetrate the ionosphere, whereas shorter-wavelength signals dissipate atmospherically [28]. Such wave characteristics are preferentially excited by surface tectonic activities such as earthquakes, rather than meteorological systems. Yang et al. further validated this pathway by observing spatiotemporal coherence between stratospheric AGWs and ionospheric TEC disturbances preceding the 2016 Kumamoto earthquake [29]. Phanikumar et al. observed synchronous AGWs in Very-Low-Frequency (VLF) electromagnetic waves and mesospheric ozone anomalies prior to the 25 April 2015 Nepal Gorkha Mw7.8 event [30]. The recent observation of dual co-seismic TIDs during the 2024 Hualien M7.4 earthquake (0.78 km/s vs. 0.48 km/s) was potentially linked to multi-source fault rupture dynamics, highlighting the complexity of AGW-driven coupling [31]. These collective findings indicate that AGWs may trigger anomalous plasma oscillations while modulating neutral atmospheric composition through troposphere-to-ionosphere propagation.
The E-region dynamo current hypothesis represents the prevailing theoretical explanation for TEC-AGW coupling, proposing that lower ionosphere wind field perturbations induce synchronized VLF and TEC anomalies [32,33,34,35]. However, the precise mechanisms governing TEC-AGW synchronization remain ambiguous. Current investigations predominantly employ temporally coarse datasets (e.g., global ionospheric maps with 2 h resolution), focusing on statistical anomaly detection over pre-seismic timescales spanning days to weeks. The lack of a higher-resolution spectral decomposition of ionospheric perturbations has fundamentally hindered the definitive identification of causative frequency bands underlying these anomalies. Critically, conventional GNSS-derived TEC measurements from medium Earth orbit (MEO) satellites inherently suffer from spatial–temporal smearing effects, requiring interpolation that attenuates perturbation amplitudes and introduces positional uncertainty.
To address these gaps, this study investigates the pre-seismic ionospheric anomalies preceding the 18 December 2023 Gansu Jishishan Ms6.2 earthquake using high-rate (30 sec) TEC data from the BDS GEO satellites within the continuously operating reference stations (CORSs) of Gansu Province in China. We analyze the propagation processes and spatiotemporal characteristics of ionospheric disturbances through spatiotemporal distribution mapping, propagation velocity inversion, time–frequency decomposition, disturbance amplitude quantification, and waveform morphology characterization. Additionally, we examine interactions between pre-seismic TIDs and concurrent weak geomagnetic activity, providing new insights into AGW–ionosphere coupling mechanisms during earthquake preparation phases.

2. Materials and Methods

This chapter establishes a systematic framework for ionospheric TEC retrieval, modeling, and disturbance characterization using GNSS observations. Beginning with dual-frequency code and phase measurements, it derives slant TEC (STEC) while addressing differential code biases (DCBs) through the smoothing method. Advanced signal processing techniques—including adaptive median filtering, Butterworth bandpass filtering, and Morlet wavelet analysis—are integrated to suppress noise, extract disturbance components (DTEC), and identify dominant spectral features.

2.1. GNSS Observations and the Geometry-Free Combination

Neglecting multipath effects and measurement noise under idealized conditions, the fundamental GNSS code and carrier-phase observation equations (in length units) can be expressed as follows [13,17]:
P r , i s = ρ r s + α i · I r , 1 s + c · B r , i + c · B i s L r , i s = ρ r s α i · I r , 1 s + λ i · N r , i s + λ i · b i s
where P r , i s and L r , i s denote the code and carrier-phase measurements from receiver r to satellite s at frequency i , respectively; ρ r s = ϱ r s + c · d t r c · d t s + T r s is the frequency-independent composite term, comprising the geometric range ( ϱ r s ), receiver clock bias ( d t r ), satellite clock bias ( d t s ), and tropospheric delay ( T r s ) ; I r , 1 s is the first-order ionospheric delay at reference frequency f 1 (as adopted in this study) along the line of sight; α i = f 1 / f i 2 denotes the ionospheric scaling factor; B r , i and B i s represent the receiver- and satellite-specific code hardware delays, respectively; N r , i s is an integer ambiguity term for the carrier phase; b i s is phase hardware delay (typically absorbed into ambiguity parameters); c is the speed of light in vacuum; and λ i is the wavelength.
Leveraging the millimeter-level measurement precision of carrier-phase observations (2–3 orders of magnitude higher than code) [36,37], we employ dual-frequency carrier-phase smoothed code (CSC) to construct a geometry-free (GF) combination [17,26]:
P r , i j s = P r , i s P r , j s = ( α i α j ) · I r , 1 s + c · D C B r , i j + D C B i j s L r , i j s = L r , i s L r , j s = α i α j · I r , 1 s + ( λ i · N r , i s λ j · N r , j s )
where P r , i j s and L r , i j s represent the inter-frequency differenced code and phase observables, respectively. D C B r , i j = B r , i B r , j and D C B i j s = B i s B j s denote the receiver- and satellite-end DCBs.
A recursive weighting algorithm provides cascaded noise attenuation:
P ¯ r , i j s ( t ) = 1 M P r , i j s ( t ) + M 1 M P ¯ r , i j s t 1 + L r , i j s t L r , i j s t 1
where M represents the adaptive smoothing window width (typical range: 2~100), initialized with P ¯ r , i j s 0 = P r , i j s 0 . The algorithm implicitly assumes quasilinear ionospheric delay variations within the smoothing window [38,39]. However, TIDs create wavelike structures (e.g., sinusoidal or N-shaped) in TEC, where the above assumption may fail. This can cause the oversmoothing of peaks/troughs and phase distortion in the smoothed estimate. Consequently, in this study, we implement dynamic window parameter adjustment (reducing M to a maximum value of 20) under severe ionospheric disturbances to better preserve signal features while maintaining effective noise suppression.

2.2. Ionospheric TEC Extraction

In electromagnetic wave propagation theory, the geometric optic approximation applies when the radio wavelength is much smaller than the characteristic spatial scale of the ionosphere. Under this assumption, the signal propagation path from the satellite to the receiver can be modeled by integrating the phase velocity along the trajectory [40]. The first-order ionospheric delay derives from the following:
I r , 1 s = K f 1 2 N e · d s = K f 1 2 S T E C
where N e is the electron density (unit: electrons/m3), K = e 2 8 π 2 ε 0 m e 40.309   m 3 / s 2 is the ionospheric constant, and S T E C denotes the slant total electron content along the propagation path ( 1 T E C U = 10 16   e l e c t r o n s / m 2 ).
Combining Equations (1) and (4) yields the following CSC-based STEC calculation model:
P ¯ r , i j s = α i α j · 40.309 · 10 16 f 1 2 S T E C + c · D C B r , i j + D C B i j s
This equation highlights the amplification effect of dual-frequency differential observations on ionospheric delays. The scaling factor, expressed as α i α j · 40.309 · 10 16 f 1 2 , is determined by the frequency combination properties.

2.3. Ionospheric Single-Layer Modeling

The vertical distribution of ionospheric electron density exhibits a distinct stratified structure (D/E/F layers), with the F2 layer contributing approximately 80% of the TEC [41]. To establish a mapping relationship between STEC and vertical TEC (VTEC), we employ the widely used single-layer model (SLM) [42,43] with these key assumptions:
(1)
Ionospheric electrons are confined to an infinitely thin spherical shell at height H above Earth’s surface.
(2)
Refraction effects are neglected, simplifying the signal propagation path to a straight line.
(3)
Horizontal ionospheric gradients and spatial inhomogeneities are negligible.
Modeling the Earth as a sphere with radius R , the thin ionospheric layer height is set to 506.7 km (F2 layer peak height from the International Reference Ionosphere (IRI) model [44,45]). The IPP geometry is as follows:
sin Z = R R + H s i n z
where z is the satellite zenith angle at the receiver, and Z is the equivalent zenith angle at the IPP.
Currently, five BDS-2 GEO satellites are positioned along the equator at longitudes of 58.75°E, 80°E, 110.5°E, 140°E, and 160°E [46]. Unlike MEO satellites, each operational GEO satellite orbits at an altitude of approximately 35,787 km, maintaining a fixed position relative to the Earth. Their quasi-stationary geometry minimizes zenith angle variations, making derived TEC time series predominantly reflect temporal (not spatial) ionospheric variations.

2.4. TEC Time Series Analysis and Feature Extraction

As indicated by Equation (5), the STEC series contain differential code biases (DCBs) alongside higher-order ionospheric errors and random noise [17,47]. While the latter two are typically negligible, DCBs (with magnitude of several TECU, comparable to ionospheric disturbances) introduce non-negligible variations. Given the minimal diurnal variation of DCBs [47,48,49], we remove them via adaptive sliding window median smoothing [50]:
y m e d t = m e d i a n x t k , , x t , x t + k k Z +
with an odd window width ( 2 k + 1 ).
For subsequent processing, the Butterworth bandpass filter is preferred due to its maximally flat passband magnitude response and monotonic stopband attenuation [51,52]. A 4th-order Butterworth filter is adopted to extract ionospheric disturbance components (DTEC) with the following transfer function:
H f = 1 1 + f / f c 2 n
where f c = f l o w , f h i g h defines the cutoff frequencies, and n denotes the filter order.
Cutoff frequency optimization employs Morlet wavelet transforms [53], and the global wavelet power spectrum is computed by time-averaging the squared wavelet coefficients. This spectrum approximates a smoothed Fourier power spectrum constrained by the wavelet window function. By identifying regions of significant spectral power (confidence >95%), the dominant frequency components of ionospheric disturbances are determined, enabling the optimized selection of the Butterworth cutoff frequencies.

3. Results

3.1. Study Area and Data Sources

An Ms6.2 earthquake (hereafter termed the Jishishan earthquake) struck Jishishan County (35.70°N, 102.79°E) in Linxia Hui Autonomous Prefecture, Gansu Province, China, at 15:59 UTC on 18 December 2023. Moment tensor inversion reveals a hybrid rupture mechanism dominated by thrust faulting with a minor strike-slip component, characterized by a rupture duration of ~8 s and a centroid depth of 12.0 km [53]. The epicenter lies within the Lajishan Fault Zone along the northeastern margin of the Tibetan Plateau, a region experiencing intense compressional deformation due to the ongoing India–Eurasia continental collision-driven tectonic stress field since the Cenozoic Era.
To delineate the precursor deformation zone, we calculated the seismogenic radius ( R ) using the Dobrovolsky empirical formula [54]:
R = 10 0.43 M
where M denotes the surface wave magnitude. This yielded a seismogenic radius of 380.2 km centered on the epicenter. Extending the analysis to three standard deviations (1140.6 km), we compiled seismic records from the U.S. Geological Survey (USGS) earthquake catalog (https://earthquake.usgs.gov/earthquakes, accessed on 30 May 2025). Over the preceding six years, this region experienced 18 seismic events with moment magnitudes (Mw) ≥ 5.5 (Table 1). Notably, Mw, calculated from the energy released during rock rupture, represents the USGS’s standard magnitude measurement.
Table 1. Seismicity catalog of Mw ≥ 5.5 events within Jishishan earthquake zone (2019–2025).
The catalog comprises 18 seismic events recorded over a six-year period, yielding an annual average of 3.0 events/year. Temporal variability is evident, with peak activity in 2022 (seven events) and secondary clustering in 2021 (five events). Notably, a single day (21 May 2021) recorded four distinct events, including an Mw7.3 mainshock and three aftershocks, highlighting spatially concentrated seismicity along the Lajishan Fault Zone. Magnitudes range from Mw5.5 to Mw7.3, with 83% of events being ≤ Mw6.0. The Mw7.3 event dominates the cumulative energy release budget, accounting for ~90% of the total seismic moment. Spatially, events cluster between 32 and 38°N and 92 and 103°E, correlating with the Lajishan Fault Zone and adjacent structures along the northeastern Tibetan Plateau margin. The 2023 Jishishan earthquake (Ms6.2) at 35.74°N, 102.81°E exemplifies the thrust-dominated tectonic characteristic of this compressional regime. Depth analysis reveals that 89% of events occur at shallow crustal levels (≤15 km), consistent with intracontinental deformation.
This seismicity reflects the low-energy tectonic state characteristic of Late Quaternary strain accumulation–release cycles in the northeastern Tibetan Plateau [55]. While existing studies focus on source parameter inversion and co-seismic deformation [56,57,58], significant gaps persist in understanding the coupling mechanisms between seismogenic processes and ionospheric precursors, particularly in systematically characterizing the LAIC model and resolving multi-layer energy transfer pathways.
To address this, we conduct pre-seismic ionospheric disturbance analysis using multi-frequency observations from BDS GEO satellites. With the Jishishan seismic zone (25–46°N, 92–113°E), we selected 13 Gansu Province continuously operating reference stations (CORSs) (epicentral distance ≤150.0 km) and 3 International GNSS Service (IGS) stations, establishing a 16-station monitoring network. The GNSS data sampling rate is 30 s (0.033 Hz), satisfying the Nyquist criterion for disturbances >60 s period. Data were processed with a 10-degree elevation cutoff angle to balance multipath mitigation and signal penetration.
In Figure 1, a red pentagram marks the epicenter of the Ms6.2 Jishishan earthquake. Red circles denote GNSS stations with dual-frequency BDS observation capabilities. Blue concentric circles delineate multi-scale spatial analysis units with 200 km radial gradients centered on the epicenter. This network can capture trans-lithospheric signals associated with stress perturbations propagating from the seismogenic zone to the ionosphere. To clarify the GNSS station’s distribution in the near-epicentral region, we mapped the spatial configuration of stations within a 200 km radius of the Jishishan earthquake epicenter (Figure 2). The 13 CORSs exhibit spatially homogeneous coverage around the seismogenic zone, providing optimal conditions for subsequent ionospheric perturbation analysis. Notably, stations DUOW and BFTE experienced BDS data acquisition failure during the seismic event, reducing usable data to 10 regional stations.
Figure 1. Distribution of GNSS monitoring stations and earthquake epicenters in Jishishan seismogenic zone (25–46°N × 92–113°E).
Figure 2. Distribution of GNSS monitoring stations within 200 km radius of 2025 Jishishan M6.2 epicenter.

3.2. An Analysis of Space Weather Conditions on the Day of the Seismic Event

The ionosphere, a critical component of the Sun–Earth system, exhibits dynamic responses governed by the complex interplay of solar activity, geomagnetic disturbances, and lower atmospheric processes. To isolate potential pre-seismic ionospheric anomalies associated with the Jishishan earthquake (18 December 2023), we first systematically characterize space weather conditions to exclude exogenous space weather influences. Geomagnetic disturbances are screened using the Kp index to quantify global geomagnetic activity and the Dst index to evaluate ring current intensity [59,60]. Solar activity monitoring focuses on tracking sunspot numbers (SNs) to determine the solar cycle phase [61], F10.7 cm solar radio flux measurements as a proxy for solar extreme ultraviolet (EUV) irradiance variability [62], and analyzing solar wind parameters, including the orientation of the interplanetary magnetic field (IMF Bz) and variations in the cross-tail electric field (Ey) [63,64]. Simultaneously, plasma environment characterization integrates vertical profiles of plasma temperature (Pt) and density (Pd) with assessments of magnetosphere–ionosphere coupling efficiency [65].
Figure 3 (left panels) reveals a moderate geomagnetic storm between 06:00 and 08:00 UT, evidenced by a peak Kp index of 5.3 (threshold: Kp ≥ 5.0 [66]) and a minimum Dst index of −69 nT (threshold: Dst ≤ −50 nT [67]). Rapid post-disturbance stabilization (Kp = 3.7; Dst = −43 nT) indicates transient energy injection rather than sustained magnetospheric driving. Solar activity remained moderately elevated with an F10.7 radio flux of 156 sfu—marginally exceeding the Solar Cycle 25 baseline (102.3 sfu) but below the strong activity threshold (168.7 sfu) [68]. Sunspot numbers (SN = 138) aligned with predicted cycle maxima (125–150), confirming non-extreme solar conditions.
Figure 3. Space weather parameters during the Jishishan earthquake: geomagnetic activity and solar drivers (left panels); plasma/field variations and energy injection (right panels).
The right panels of Figure 3 demonstrate plasma responses to these drivers: Pt reached 2.1 × 105 K at 20:00 UT, reflecting gradual heating from coronal mass ejection (CME)-driven solar wind compression, followed by fluctuations tied to magnetopause dynamics. Pd exhibited dual enhancements at 06:00 UT and 10:00 UT, temporally consistent with coronal hole high-speed stream arrivals. A sharp southward IMF-Bz deflection (−10.2 nT) at 06:00 UT persisted for ~2 h, enhancing magnetopause reconnection efficiency and facilitating solar wind energy transfer to the magnetosphere. Concurrently, the eastward penetration electric field (Ey) surged to 4.92 mV/m at 06:00 UT, signaling intensified magnetosphere–ionosphere coupling.
Integrated analysis confirms a G1-class geomagnetic storm (06:00–08:00 UT) driven by coronal hole stream–IMF-Bz coupling, with an estimated energy injection rate of 1.3 × 1011 W [69]—significantly weaker than that of intense storms (>5 × 1011 W). These conditions provide a critical baseline to differentiate space weather-driven ionospheric perturbations from potential seismogenic signals.

3.3. Time–Frequency Analysis of Ionospheric TEC in Seismogenic Zone

To systematically decode the spectral characteristics of ionospheric TEC disturbances preceding and following the 2023 Jishishan Ms6.2 earthquake, we employed a multi-scale signal processing methodology using STEC time series data from BDS GEO satellites (PRN: C01, C02, and C03) over the seismogenic region on 18 December 2023. Initially, an adaptive sliding window smoothing algorithm was implemented to suppress ionospheric background noise, followed by time–frequency decomposition via continuous Morlet wavelet transform to resolve transient signatures.
Figure 4 shows the spatiotemporal characteristics of background-removed STEC series observed from BDS GEO satellites (PRN C02) at four stations spanning critical distances: (a) LXJS (5.2 km), (b) LXHZ (59.7 km), (c) LZSH (151.6 km), and (d) BJF1 (1220 km). Quantitative analysis reveals a pronounced amplitude–distance relationship: seismogenic zone stations (LXJS, LXHZ, and LZSH) exhibit STEC fluctuations ≤6 TECU, contrasting with a far-field station (BJF1) where perturbations are constrained to <2 TECU (67% amplitude reduction). This observed decay pattern aligns with theoretical attenuation models for lithospherically coupled ionospheric disturbances, suggesting predominantly near-field confinement within the seismogenic radius.
Figure 4. Background-removed STEC series of BDS GEO satellite (PRN: C02) from multiple stations during 2023 Jishishan earthquake, including (a) LXJS, (b) LXHZ, (c) LZSH, and (d) BJF1.
Figure 5 illustrates the wavelet power spectral density (PSD) distributions of STEC derived from three GEO satellites, with red dashed lines marking the initiation of the earthquake rupture. The pre-seismic ionospheric disturbances exhibit multi-band coupling characteristics, with dominant energy concentrations in three frequency bands: (1) high-frequency band: 5–30 min (0.56–3.33 mHz); (2) mid-frequency band: 30–60 min (0.28–0.56 mHz); and (3) low-frequency band: 60–90 min (0.18–0.28 mHz).
Figure 5. Wavelet power spectral density of TEC time series from BDS GEO satellites (C01–C03) at station LXJS, highlighting spectral energy partitioning across frequency bands.
To disentangle the frequency-dependent ionospheric perturbations, we implemented a tri-band spectral decomposition framework employing fourth-order Butterworth bandpass filters. These achieve the maximally flat response (≤0.1 dB) through optimized pole-zero placement in the Laplace domain [70]. The cutoff frequencies were rigorously optimized through wavelet global power spectrum analysis at a 95% confidence level, ensuring physical consistency in differential TEC (DTEC) extraction while suppressing harmonic artifacts through phase-matched filter design.
Figure 6 details the systematic methodology for deriving DTEC from dual-frequency GNSS observations. The process initiates with carrier-phase data ingestion, followed by comprehensive cycle-slip detection and repair using the Melbourne–Wübbena linear combination to ensure phase continuity. Subsequent frequency-differencing operations implement Equation (2) to isolate ionospheric delays through the elimination of geometry-related biases, while recursive smoothing via Equation (3) suppresses measurement noise. The methodology culminates in STEC computation (Equation (5)) incorporating satellite/receiver differential code bias calibration, with final background subtraction (Equation (7)) removing diurnal trends through harmonic regression modeling. Crucially, the workflow incorporates wavelet-determined cutoff frequencies (Morlet spectral analysis) to dynamically configure a fourth-order Butterworth bandpass filter, enabling the optimized extraction of disturbance-relevant DTEC components.
Figure 6. Processing workflow for DTEC extraction from dual-frequency GNSS observations.
Figure 7, Figure 8, Figure 9 and Figure 10 present DTEC distributions across four GNSS stations spanning critical epicentral distances. In the high-frequency band (0.56–3.33 mHz), significant DTEC perturbations (amplitude ≤4 TECU) were detected across all stations, yet they displayed spatially incoherent phase structures. The far-field station BJF1 showed a significant amplitude reduction (<TECU) compared to near-field stations, quantitatively confirming the high-frequency energy attenuation coefficient through inverse square law regression [71,72]. Notably, stations within the seismogenic zone maintained comparable spectral power densities, suggesting that localized ionospheric coupling mechanisms dominate over geometric spreading effects in the near-field region.
Figure 7. The DTEC time series derived from dual-frequency BDS GEO satellite observations at station LXJS (left: C02; right: C03).
Figure 8. The DTEC time series derived from dual-frequency BDS GEO satellite observations at station LXHZ (left: C02; right: C03).
Figure 9. The DTEC time series derived from dual-frequency BDS GEO satellite observations at station LZSH (left: C02; right: C03).
Figure 10. The DTEC time series derived from dual-frequency BDS GEO satellite observations at station BJF1 (left: C02; right: C03).
The mid-frequency DTEC (0.28–0.56 mHz) time series exhibited regular oscillatory patterns, though amplitudes were only 1/4–1/10 of those in the high-frequency band. At the surface rupture onset, all stations showed a negative- or positive-phase TEC perturbation, consistent with prior studies attributing such behavior to the anisotropic nature of ionospheric charged particles under geomagnetic influence. This anisotropy is similarly observed in seismic-induced acoustic–gravity waves (AGWs) during their generation and propagation. To explain in more detail, the IPPs of C02 clustered in the southwestern quadrant of the epicenter (taking LXJS as an example, the azimuth angle is about 210). Distinct perturbations (characterized by an N-shaped waveform) initiated 1–2 h prior to surface rupture. On the contrary, the IPPs of C03 located in the southeastern quadrant displayed dominant post-seismic perturbations. In addition, significant disturbances (~0.3 TECU) were detected at station BJF1 (1220 km), which seems to confirm that mid-frequency TIDs can propagate over 1200 km scales (see Figure 8).
The low-frequency regime (0.18–0.28 mHz) exhibited periodic DTEC fluctuations with amplitudes of 0.1–0.2 TECU, corresponding to 50–25% of mid-frequency perturbations. A distinct phase reversal phenomenon was observed, characterized by negative polarity responses at the LXJS station (epicentral distance: 5.2 km) contrasting with positive polarity coherence at distal stations (>150 km). This dichotomy may arise from the interplay of two wave coupling mechanisms:
Proximal to the epicenter, high-wavenumber acoustic waves appear to dominate due to their rapid energy dissipation (<10 min relaxation timescale). These waves potentially induce localized ionospheric turbulence through supersonic pressure perturbations, generating transient electron density depletions that manifest as negative DTEC deviations.
At distances exceeding 100 km, long-wavelength atmospheric gravity waves become prevalent, maintaining positive DTEC coherence via gradual electron density enhancements. Their reduced attenuation coefficients enable sustained propagation, aligning with theoretical predictions for Lamb wave modes in thermosphere waveguides [73]. These waves exhibit horizontal phase velocities of 200–300 m/s, preserving phase coherence over megameter scales [74].
The spatial partitioning of wave regimes follows a frequency-dependent ( f ) attenuation relationship [75,76,77,78]:
γ a f f 1.8 ( a c o u s t i c ) γ g f f 0.3 ( g r a v i t y )
where γ denotes the attenuation rate. Near-field stations like LXJS primarily detect acoustic modes confined to F2-layer waveguides (above 150 km altitude), while far-field observations sample gravity waves ducted in the lower thermosphere (90–150 km). This transition reflects fundamental differences in lithosphere–ionosphere coupling mechanics, where geometric spreading and atmospheric stratification jointly govern wave energy redistribution.
Table 2 quantifies the spatial evolution of DTEC across frequency bands and distinct epicentral distances. In the high-frequency band (0.56–3.33 mHz), near-field stations (LXJS, LXHZ, LZSH) exhibit substantial amplitude variability (Max–Min: 8.5–9.3 TECU), with high standard deviations (STD: 1.13–1.17 TECU) indicative of localized ionospheric turbulence. Conversely, the far-field station BJF1 demonstrates a pronounced amplitude attenuation (>75% reduction), exhibiting a constrained variation range (peak-to-peak: 2.03 TECU) and substantially diminished fluctuation intensity (STD: 0.25 TECU). These characteristics are indicative of efficient energy dissipation mechanisms operative in the distal propagation regime. The mid-frequency band (0.28–0.56 mHz) displays moderate amplitude variations (Max–Min: 0.75–2.79 TECU), with the LXHZ station recording the highest perturbation (2.79 TECU). The uniformly low STD values (0.10–0.25 TECU) suggest coherent gravity wave-driven propagation, enabling energy transfer over 1200 km scales. This long-range coherence can be attributed to the lower attenuation rates of gravity waves compared to acoustic modes.
Table 2. Spatial evolution of ionospheric disturbances (DTEC) across frequency bands and epicentral distances (unit: TECU).
In the low-frequency band (0.18–0.28 mHz), amplitude ranges decline nonlinearly with distance (2.62 TECU (LXJS) to 0.47 TECU (BJF1)), possibly reflecting stress-driven coupling oscillations between the lithosphere and ionosphere. Near-field stations (LXJS, LXHZ) maintain statistically significant residuals (STD: 0.19–0.25 TECU), contrasting with the subdued variability at the far-field receiver (STD: 0.06 TECU). This spatial progression suggests that large-scale atmospheric gravity waves increasingly dominate over local acoustic disturbances with distance, potentially indicating stress-mediated lithosphere–ionosphere coupling processes.

3.4. Propagation Velocity Analysis of Ionospheric Disturbances in Seismogenic Zone

Utilizing multi-band DTEC disturbance signatures, this study quantitatively inverts the propagation parameters of TIDs. A novel velocity inversion framework was developed through the rigorous integration of GNSS station–satellite geometric configurations, systematically addressing IPP dynamics through three principal analytical stages: (1) the derivation of DTEC temporal variations across GNSS networks, (2) the geospatial mapping of IPP positions relative to the epicentral zone, and (3) the construction of time–distance matrices for wavefront correlation analysis.
To characterize wave propagation dynamics, we employ the spatiotemporal regression modeling of wavefront progression based on the following kinematic relationship:
v = D t = D j D i t j t i
where v represents the velocity parameter (km/s), t is the arrival time differential (s), and D i the epicentral distance (km) at epoch i . The regression slope sign provides directional information: a positive value (slope) indicates proximal propagation (disturbances moving away from epicenter), while negative values denote distal propagation (toward epicenter).
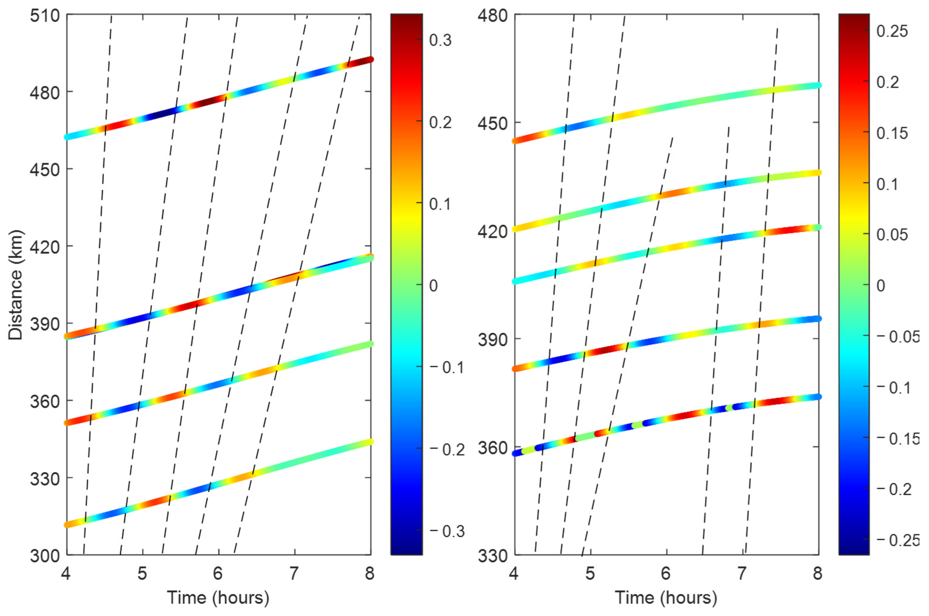
Time–distance diagrams (Figure 11, Figure 12 and Figure 13) reveal systematic wave progression patterns through the linear regression of wave extrema, with the red dot on the right subfigure representing the epicenter. For BDS GEO satellites (PRN: C02), derived velocity parameters demonstrate azimuth-dependent characteristics, with positive regression slopes (proximal propagation) dominating in the southwestern quadrant (210–230° azimuth). Quantitative analysis yields propagation velocities of 210–270 m/s (95% CI) for 30–60 min TIDs and 175–260 m/s for 60–90 min TIDs. High-frequency perturbations (5–30 min) exhibit localized transient signatures with peak amplitudes up to 4 TECU without coherent phase progression, suggesting non-propagating ionospheric responses to rapid energy deposition.
Figure 11. DTEC travel-time variations and IPP distributions for satellite C02 (cutoff frequency: 0.56–3.33 mHz).
Figure 12. DTEC travel-time variations and IPP distributions for satellite C02 (cutoff frequency: 0.28–0.56 mHz).
Figure 13. DTEC travel-time variations and IPP distributions for satellite C02 (cutoff frequency: 0.18–0.28 mHz).
The results align with three established AGW trapping criteria [28]: (1) estimated wavelengths (52–324 km) are compatible with E/F-region propagation constraints, (2) propagation velocities exceed the 130 m/s threshold for vertical trapping, and (3) periodicity is below the 2 h critical threshold. The derived velocities (150–250 m/s) exhibit strong concordance with medium-scale traveling ionospheric disturbances (MSTIDs), implying potential energy transfer via MSTID mechanisms in the seismogenic zone [79,80,81].
Additionally, the analytical results demonstrate distinct propagation regimes: high-frequency disturbances appear localized and transient, while mid/low-frequency TIDs exhibit coherent wavelike propagation. Amplitude–frequency analysis reveals an exponential decay trend in DTEC perturbations with decreasing cutoff frequencies, consistent with AGW energy dissipation mechanisms. Azimuthal anisotropy analysis indicates higher propagation velocities in the southwest direction (225 ± 15 m/s) compared to the southeast (195 ± 20 m/s), potentially reflecting stress-mediated geomagnetic–ionospheric coupling effects in the seismogenic zone.

4. Discussion

As revealed by multi-parameter cross-validation in Section 3.2, a G1-class minor geomagnetic storm occurred between 06:00 and 08:00 UT on the day of the Jishishan earthquake. To disentangle the coupled effects of seismogenic processes and geomagnetic storms on ionospheric perturbations, we analyzed DTEC time series spanning ±2 h relative to the storm interval. The bandpass-filtered results from different GNSS stations are illustrated in Figure 14, Figure 15, Figure 16 and Figure 17, with the left and right subpanels corresponding to C02 and C03 observations, respectively.
Figure 14. DTEC series at LZJS station during minor geomagnetic storm on earthquake day (left: C02; right: C03).
Figure 15. DTEC series at LXHZ station during minor geomagnetic storm on earthquake day (left: C02; right: C03).
Figure 16. DTEC series at LZSH station during minor geomagnetic storm on earthquake day (left: C02; right: C03).
Figure 17. DTEC series at BJF1 station during minor geomagnetic storm on earthquake day (left: C02; right: C03).
As illustrated in Figure 14, Figure 15 and Figure 16, within the seismogenic zone (LZJS, LXHZ, and LZSH), high-frequency DTEC fluctuations (amplitudes reaching up to 4 TECU) were observed during the stress accumulation phase of the earthquake, superimposed with weak geomagnetic storm activity. While the DTEC time series exhibited quasi-periodic patterns, no statistically dominant cycles were identified. The absence of coherent phase propagation sequences may suggest localized transient processes (e.g., abrupt stress releases or plasma instabilities) rather than sustained external energy input. The mid-frequency DTEC components (0.28–0.56 mHz) exhibited signatures of pronounced geomagnetic–ionospheric coupling, characterized by N-shaped waveforms. Observations from the C02 satellite (IPPs clustered southwest of the epicenter) revealed higher-amplitude DTEC fluctuations compared to those from C03 (IPPs concentrated southeast). This observed azimuthal asymmetry persisted under uniform geomagnetic forcing conditions, potentially indicating preferential stress alignment along the southwestern fault strike in the seismogenic zone. Low-frequency DTEC signals (0.18–0.28 mHz) from all near-field stations displayed characteristic quasi-sinusoidal oscillations with low intensities (<0.3 TECU).
In contrast, far-field regions (Figure 17) exhibited reduced DTEC amplitudes across all frequency bands, consistent with the limited AGW propagation range and subdued geomagnetic activity in those areas. As established in prior studies [82,83,84,85], geomagnetic storms trigger enhanced Joule heating in the polar regions and thermospheric atmospheric expansion through solar wind energy injection and magnetosphere–ionosphere coupling processes. The expansion propagates equatorward along magnetic field lines, leading to the global elevation of the ionospheric F-layer height and a significant reorganization of electron density gradients [86,87,88,89]. Furthermore, ionospheric uplift further modifies AGW dynamics, increasing horizontal phase velocities and extending wavelengths to 150–300 km scales with larger propagation distances [90,91].
Additionally, during geomagnetic storms, resonant coupling between field-aligned currents and fluctuating magnetic field components within the ionosphere can induce phase-synchronized modulation. Concurrently, penetration electric fields driven by interplanetary magnetic field reorientation may interact with atmospheric gravity waves, potentially amplifying quasi-periodic fluctuations in ionospheric electron density (Figure 14, Figure 15, Figure 16 and Figure 17). In the observed data from this study, the superposition of geomagnetic storm activity appeared to correlate with the increased amplitude of DTEC in far-field regions, particularly for medium-to-low-frequency DTEC components (0.18~0.56 mHz), which exhibited enhanced quasi-sinusoidal oscillations compared to periods influenced solely by seismic activity.
The frequency-dependent interplay between seismogenic AGWs and weak geomagnetic storms is further elucidated through travel-time analysis (Figure 18, Figure 19 and Figure 20). High-frequency DTEC disturbances (5–30 min) in the seismogenic zone (stations LZJS, LXHZ, and LZSH) exhibited fragmented waveforms (Figure 18) with amplitudes comparable to non-storm conditions (Figure 11), despite superimposed geomagnetic activity. This amplitude invariance suggests that high-frequency perturbations primarily originate from localized transient processes rather than sustained energy input from external geomagnetic drivers. The absence of coherent phase propagation sequences further supports the dominance of non-propagating modes in high-frequency disturbances, distinct from gravity wave-driven mechanisms observed in lower-frequency bands.
Figure 18. Travel-time diagrams of TEC perturbations across azimuthal sectors (left: C02; right: C03; cutoff frequency: 0.56–3.33 mHz, corresponding to 5–30 min periods).
Figure 19. Travel-time diagrams of TEC perturbations across azimuthal sectors (left: C02; right: C03; cutoff frequency: 0.28–0.56 mHz, corresponding to 30–60 min periods).
Figure 20. Travel-time diagrams of TEC perturbations across azimuthal sectors (left: C02; right: C03; cutoff frequency: 0.18–0.28 mHz, corresponding to 60–90 min periods).
In contrast to the high-frequency components, mid-frequency DTEC signals (0.28–0.56 mHz) permit the robust extraction of characteristic velocities (Figure 19). The upper velocity limit (280 m/s) aligns temporally with the seismic event, consistent with theoretical predictions for LAI coupling. However, the lower velocity bound (80 m/s) reflects significant suppression under weak-to-moderate geomagnetic activity (Figure 12), likely due to storm-induced ionospheric currents disrupting AGW coherence. This dual-range behavior highlights the modulatory role of geomagnetic storms in AGW energy transfer efficiency. The modulation effects of weak geomagnetic storms are the most pronounced in the low-frequency band (0.18–0.28 mHz). For satellites with IPPs in distinct quadrants, the lower bounds of characteristic DTEC velocities dropped below 100 m/s, indicating ubiquitous reductions in wave coherence (as shown in Figure 20). This suppression aligns with theoretical models of geomagnetic storm–AGW interactions, where perturbations in Pedersen and Hall conductivities disrupt neutral-ion momentum coupling—a critical mechanism for sustained wave energy transfer. Notably, these velocities fall below the typical range of those of lithosphere-driven AGWs, emphasizing the dominance of external geomagnetic forcing over tectonic processes in shaping low-frequency disturbances.

5. Conclusions

This study employs multi-frequency BDS GEO observations to analyze ionospheric TEC perturbations during the 2023 Ms6.2 earthquake. Through the use of an optimized Butterworth filter validated by wavelet power spectrum analysis (95% confidence), we decoupled ionospheric disturbances (DTEC) across three frequency bands (0.18–0.28, 0.28–0.56, and 0.56–3.33 mHz). High-frequency DTEC (0.56–3.33 mHz) exhibited localized perturbations (≤4 TECU) within 300 km of the epicenter, with 75% amplitude attenuation at 1220 km (BJF1 station), consistent with acoustic wave dominance. Mid-frequency signals (0.28–0.56 mHz) demonstrated anisotropic propagation (>1200 km range) with coherent N-waveforms in southwestern sectors pre-seismicity and post-seismic disturbances in southeastern quadrants, indicative of gravity wave mediation. Low-frequency DTEC (0.18–0.28 mHz) revealed nonlinear attenuation and phase reversals (negative near-field, positive far-field), suggesting lithosphere–ionosphere coupling delays.
Spatiotemporal analysis reveals distinct propagation regimes: High-frequency disturbances (5–30 min) exhibited localized transient responses with amplitudes up to 4 TECU but lacked coherent phase propagation. Mid- to low-frequency TIDs (30–90 min) showed anisotropic southwestward propagation (210–270 m/s for 30–60 min; 175–260 m/s for 60–120 min), consistent with AGW dynamics. Derived velocities (150–250 m/s) and wavelengths (52–324 km) align with AGW trapping criteria for E/F-region propagation. Azimuthal anisotropy analysis identified higher velocities in the southwest (225 ± 15 m/s) than the southeast (195 ± 20 m/s), likely reflecting stress-induced geomagnetic–ionospheric coupling.
Multi-parameter analysis reveals that the G1-class geomagnetic storm (06:00–08:00 UT) superimposed frequency-dependent perturbations without fundamentally altering seismogenic signatures. High-frequency DTEC (5–30 min) maintained localized transient amplitudes ≤4 TECU with fragmented waveforms. Mid-frequency signals (30–60 min) preserved azimuthally asymmetric N-shaped waveforms correlating with seismogenic stress orientation. Low-frequency oscillations (60–90 min) maintained sinusoidal regularity (<0.3 TECU), while far-field attenuation confirmed limited AGW propagation influence.
It should be noted that prior research predominantly emphasizes statistical anomaly characterization and phenomenological descriptions, utilizing GPS-derived TEC data with hourly resolution over extended temporal scales (days to months). Our process-driven framework uses 30 s BDS GEO measurements to investigate AGW dynamics during the immediate pre-seismic phase (0–6 h). The geostationary BDS GEO system eliminates spatial interference caused by IPP variability inherent to medium Earth orbit GPS satellites, thereby enhancing observational fidelity. While surface-originated AGWs show detectable ionospheric responses (acoustic modes: ~10 min latency; gravity waves: ~60 min latency), nonlinear atmospheric–ionospheric coupling obscures direct correlations with tectonic deformation patterns.
To address these complexities, future work should establish integrated monitoring networks combining ionosondes, Doppler radars, and GNSS receivers to track AGW propagation dynamics across atmospheric strata with sub-minute temporal resolution while simultaneously developing cross-parameter frameworks that correlate TEC anomalies with radon emissions, infrared radiation, and seismic waveforms to systematically disentangle seismogenic signals from geomagnetic storm-modulated noise.

Author Contributions

Conceptualization, X.G., L.S. and Z.M.; methodology, X.G. and P.T.; software, X.G., L.S. and H.Z.; validation, L.S., H.Z., L.P. and S.Y.; formal analysis, X.G. and Z.M.; investigation, X.G. and P.T.; resources, S.Y.; data curation, P.T. and S.Y.; writing—original draft preparation, X.G.; writing—review and editing, X.G., L.P. and L.S.; visualization, X.G.; supervision, Z.M.; funding acquisition, X.G. and Z.M. All authors have read and agreed to the published version of the manuscript.

Funding

This research was funded by the Natural Science Basic Research Program of Shaanxi (No. 2024JC-YBQN-0340), the Project of Collaborative Innovation Center of Shaanxi Provincial Department of Education (No. 23JY038), and the Science and Technology Development Plan Project of Shaanxi Provincial Department of Construction (No. 2023-K50).

Data Availability Statement

The multi-GNSS observation data from the IGS networks are available at https://cddis.nasa.gov/archive/gps/data/daily/ (accessed on 30 May 2025). The multi-GNSS broadcast ephemeris data are available at https://cddis.nasa.gov/archive/gnss/data/campaign/mgex/daily/rinex3/ (accessed on 18 December 2023). The GIM and DCB products from IGS can be obtained at https://cddis.nasa.gov/archive/gnss/products (accessed on 18 December 2023). The OMNI data can be obtained from the GSFC/SPDF OMNIWeb interface (http://omniweb.gsfc.nasa.gov, accessed on 18 December 2023).

Acknowledgments

The authors gratefully acknowledge IGS for providing multi-GNSS measurements and DCB and GIM products.

Conflicts of Interest

Author P.T. was employed by the company Shaanxi Construction Engineering Holding Group Corp., Ltd. Authors Z.H. and Y.S. were employed by the company Northwest Electric Power Design Institute Co., Ltd. (NWEPDI) of China Power Engineering Consulting Group. The remaining authors declare that the research was conducted in the absence of any commercial or financial relationships that could be construed as a potential conflict of interest.

References

  1. Ondoh, T. Seismo-ionospheric phenomena. Adv. Space Res. 2000, 26, 1267–1272. [Google Scholar] [CrossRef]
  2. Marchetti, D.; Akhoondzadeh, M. Analysis of Swarm satellites data showing seismo-ionospheric anomalies around the time of the strong Mexico (Mw = 8.2) earthquake of 08 September 2017. Adv. Space Res. 2018, 62, 614–623. [Google Scholar] [CrossRef]
  3. Shah, M.; Tariq, M.A.; Ahmad, J.; Naqvi, N.A.; Jin, S. Seismo ionospheric anomalies before the 2007 M7.7 Chile earthquake from GPS TEC and DEMETER. J. Geodyn. 2019, 127, 42–51. [Google Scholar] [CrossRef]
  4. Moore, G.W. Magnetic disturbances preceding the 1964 Alaska earthquake. Nature 1964, 203, 508–509. [Google Scholar] [CrossRef]
  5. Afraimovich, E.L.; Ding, F.; Kiryushkin, V.V.; Astafyeva, E.I.; Jin, S.; Sankov, V.A. TEC response to the 2008 Wenchuan earthquake in comparison with other strong earthquakes. Int. J. Remote Sens. 2010, 31, 3601–3613. [Google Scholar] [CrossRef]
  6. Shah, M.; Shahzad, R.; Ehsan, M.; Ghaffar, B.; Ullah, I.; Jamjareegulgarn, P.; Hassan, A.M. Seismo ionospheric anomalies around and over the epicenters of Pakistan earthquakes. Atmosphere 2023, 14, 601. [Google Scholar] [CrossRef]
  7. Huang, F.; Li, M.; Ma, Y.; Han, Y.; Tian, L.; Yan, W.; Li, X. Studies on earthquake precursors in China: A review for recent 50 years. Geod. Geodyn. 2017, 8, 1–12. [Google Scholar] [CrossRef]
  8. Liu, J.Y.; Chen, Y.I.; Chuo, Y.J.; Tsai, H.F. Variations of ionospheric total electron content during the Chi-Chi earthquake. Geophys. Res. Lett. 2001, 28, 1383–1386. [Google Scholar] [CrossRef]
  9. Liu, J.Y.; Chen, Y.I.; Chen, C.H.; Liu, C.Y.; Chen, C.Y.; Nishihashi, M.; Lin, C.H. Seismoionospheric GPS total electron content anomalies observed before the 12 May 2008 Mw7.9 Wenchuan earthquake. J. Geophys. Res. Space Phys. 2009, 114, 2008JZ013698. [Google Scholar] [CrossRef]
  10. Shah, M.; Jin, S. Pre-seismic ionospheric anomalies of the 2013 Mw = 7.7 Pakistan earthquake from GPS and COSMIC observations. Geod. Geodyn. 2018, 9, 378–387. [Google Scholar] [CrossRef]
  11. Dong, L.; Zhang, X.; Du, X. Analysis of ionospheric perturbations possibly related to Yangbi Ms6.4 and Maduo Ms7.4 earthquakes on 21 May 2021 in China using GPS TEC and GIM TEC data. Atmosphere 2022, 13, 1725. [Google Scholar] [CrossRef]
  12. Nayak, K.; Romero-Andrade, R.; Sharma, G.; López-Urías, C.; Trejo-Soto, M.E.; Vidal-Vega, A.I. Evaluating Ionospheric Total Electron Content (TEC) Variations as Precursors to Seismic Activity: Insights from the 2024 Noto Peninsula and Nichinan Earthquakes of Japan. Atmosphere 2024, 15, 1492. [Google Scholar] [CrossRef]
  13. Liu, J.Y.; Chuo, Y.J.; Shan, S.J.; Tsai, Y.B.; Chen, Y.I.; Pulinets, S.A.; Yu, S.B. Pre-earthquake ionospheric anomalies registered by continuous GPS TEC measurements. Ann. Geophys. 2004, 22, 1585–1593. [Google Scholar] [CrossRef]
  14. Le, H.; Liu, J.Y.; Liu, L. A statistical analysis of ionospheric anomalies before 736 M6.0+ earthquakes during 2002–2010. J. Geophys. Res. Space Phys. 2011, 116, A02303. [Google Scholar] [CrossRef]
  15. Jin, S.; Jin, R.; Kutoglu, H. Positive and negative ionospheric responses to the March 2015 geomagnetic storm from BDS observations. J. Geod. 2017, 91, 613–626. [Google Scholar] [CrossRef]
  16. Chen, M.; Liu, L.; Xu, C.; Wang, Y. Improved IRI-2016 model based on BeiDou GEO TEC ingestion across China. GPS Solut. 2020, 24, 20. [Google Scholar] [CrossRef]
  17. Gao, X.; Ma, Z.; Shu, L.; Pan, L.; Zhang, H.; Yang, S. Assessment of Satellite Differential Code Biases and Regional Ionospheric Modeling Using Carrier-Smoothed Code of BDS GEO and IGSO Satellites. Remote Sens. 2024, 16, 3118. [Google Scholar] [CrossRef]
  18. Liu, Y.; Fu, L.; Wang, J.; Zhang, C. Studying ionosphere responses to a geomagnetic storm in June 2015 with multi-constellation observations. Remote Sens. 2018, 10, 666. [Google Scholar] [CrossRef]
  19. Tang, J.; Gao, X.; Yang, D.; Zhong, Z.; Huo, X.; Wu, X. Local persistent ionospheric positive responses to the geomagnetic storm 736 in August 2018 using BDS-GEO satellites over low-latitude regions in Eastern Hemisphere. Remote Sens. 2022, 14, 2272. [Google Scholar] [CrossRef]
  20. Jia, X.; Liu, J.; Zhang, X. The analysis of ionospheric TEC anomalies prior to the Jiuzhaigou Ms7.0 earthquake based on BeiDou GEO satellite data. Remote Sens. 2024, 16, 660. [Google Scholar] [CrossRef]
  21. Molchanov, O.; Fedorov, E.; Schekotov, A.; Gordeev, E.; Chebrov, V.; Surkov, V.; Rozhnoi, A.; Andreevsky, S.; Iudin, D.; Yunga, S.; et al. Lithosphere-atmosphere-ionosphere coupling as governing mechanism for preseismic short-term events in atmosphere and ionosphere. Nat. Hazards Earth Syst. Sci. 2004, 4, 757–767. [Google Scholar] [CrossRef]
  22. Pulinets, S.; Ouzounov, D. Lithosphere–Atmosphere–Ionosphere Coupling (LAIC) model—An unified concept for earthquake precursors validation. J. Asian Earth Sci. 2011, 41, 371–382. [Google Scholar] [CrossRef]
  23. Freund, F. Pre-earthquake signals: Underlying physical processes. J. Asian Earth Sci. 2011, 41, 383–400. [Google Scholar] [CrossRef]
  24. Kuo, C.L.; Lee, L.C.; Huba, J.D. An improved coupling model for the lithosphere-atmosphere-ionosphere system. J. Geophys. Res. Space Phys. 2014, 119, 3189–3205. [Google Scholar] [CrossRef]
  25. Pulinets, S.A.; Ouzounov, D.P.; Karelin, A.V.; Davidenko, D.V. Physical bases of the generation of short-term earthquake precursors: A complex model of ionization-induced geophysical processes in the lithosphere-atmosphere-ionosphere-magnetosphere system. Geomagn. Aeron. 2015, 55, 521–538. [Google Scholar] [CrossRef]
  26. Singh, D.; Singh, B.; Pundhir, D. Ionospheric perturbations due to earthquakes as determined from VLF and GPS-TEC data analysis at Agra, India. Adv. Space Res. 2018, 61, 1952–1965. [Google Scholar] [CrossRef]
  27. Heki, K.; Nakatani, M.; Zhan, W. Ionospheric changes immediately before the 2008 Wenchuan earthquake. Adv. Space Res. 2024, 73, 4539–4545. [Google Scholar] [CrossRef]
  28. Korepanov, V.; Hayakawa, M.; Yampolski, Y.; Lizunov, G. AGW as a seismo-ionospheric coupling responsible agent. Phys. Chem. Earth Parts A/B/C 2009, 34, 485–495. [Google Scholar] [CrossRef]
  29. Yang, S.S.; Asano, T.; Hayakawa, M. Abnormal gravity wave activity in the stratosphere prior to the 2016 Kumamoto earthquakes. J. Geophys. Res. Space Phys. 2019, 124, 1410–1425. [Google Scholar] [CrossRef]
  30. Phanikumar, D.V.; Maurya, A.K.; Kumar, K.N.; Venkatesham, K.; Singh, R.; Sharma, S.; Naja, M. Anomalous variations of VLF sub-ionospheric signal and Mesospheric Ozone prior to 2015 Gorkha Nepal Earthquake. Sci. Rep. 2018, 8, 9381. [Google Scholar] [CrossRef]
  31. Ray, S.; Kundu, B.; Sahoo, S.; Tiwari, D.K. Discerning double coseismic travelling ionospheric disturbances following the April 2024 Hualien earthquake, from GNSS TEC. Adv. Space Res. 2025, 75, 4874–4885. [Google Scholar] [CrossRef]
  32. Seemala, G.K.; Valladares, C.E. Statistics of total electron content depletions observed over the South American continent for the year 2008. Radio Sci. 2011, 46, 1–14. [Google Scholar] [CrossRef]
  33. Zettergren, M.D.; Snively, J.B. Latitude and longitude dependence of ionospheric TEC and magnetic perturbations from infrasonic-acoustic waves generated by strong seismic events. Geophys. Res. Lett. 2019, 46, 1132–1140. [Google Scholar] [CrossRef]
  34. Shinbori, A.; Otsuka, Y.; Sori, T.; Nishioka, M.; Perwitasari, S.; Tsuda, T.; Nishitani, N. Electromagnetic conjugacy of ionospheric disturbances after the 2022 Hunga Tonga-Hunga Ha’apai volcanic eruption as seen in GNSS-TEC and SuperDARN Hokkaido pair of radars observations. Earth Planets Space 2022, 74, 106. [Google Scholar] [CrossRef]
  35. Zawdie, K.; Belehaki, A.; Burleigh, M.; Chou, M.-Y.; Dhadly, M.S.; Greer, K.; Halford, A.J.; Hickey, D.; Inchin, P.; Kaeppler, S.R.; et al. Impacts of acoustic and gravity waves on the ionosphere. Front. Astron. Space Sci. 2022, 9, 1064152. [Google Scholar] [CrossRef]
  36. Hwang, P.Y.; McGraw, G.A.; Bader, J.R. Enhanced differential GPS carrier-smoothed code processing using dual-frequency measurements. Navigation 1999, 46, 127–137. [Google Scholar] [CrossRef]
  37. Gao, X.; Ma, Z.; Jia, L.; Pan, L. An improved doppler-aided smoothing code algorithm for Beidou-2/Beidou-3 un-geostationary earth orbit satellites in consideration of satellite code bias. Remote Sens. 2023, 15, 3549. [Google Scholar] [CrossRef]
  38. Hatch, R. The synergism of GPS code and carrier measurements. In Proceedings of the 3rd International Geodetic Symposium on Satellite Doppler Positioning, Las Cruces, NM, USA, 8–12 February 1982. [Google Scholar]
  39. Guo, J.; Ou, J.; Yuan, Y.; Wang, H. Optimal carrier-smoothed-code algorithm for dual-frequency GPS data. Prog. Nat. Sci. 2008, 18, 591–594. [Google Scholar] [CrossRef]
  40. Cummer, S.A. Modeling electromagnetic propagation in the Earth-ionosphere waveguide. IEEE Trans. Antennas Propag. 2000, 48, 1420–1429. [Google Scholar] [CrossRef]
  41. Bilitza, D. Evaluation of the IRI-2007 model options for the topside electron density. Adv. Space Res. 2009, 44, 701–706. [Google Scholar] [CrossRef]
  42. Kusaka, H.; Kondo, H.; Kikegawa, Y.; Kimura, F. A simple single-layer urban canopy model for atmospheric models: Comparison with multi-layer and slab models. Bound.-Layer Meteorol. 2001, 101, 329–358. [Google Scholar] [CrossRef]
  43. Brunini, C.; Azpilicueta, F. GPS slant total electron content accuracy using the single layer model under different geomagnetic regions and ionospheric conditions. J. Geod. 2010, 84, 293–304. [Google Scholar] [CrossRef]
  44. Feltens, J.; Bellei, G.; Springer, T.; Kints, M.V.; Zandbergen, R.; Budnik, F.; Schönemann, E. Tropospheric and ionospheric media calibrations based on global navigation satellite system observation data. J. Space Weather. Space Clim. 2018, 8, A30. [Google Scholar] [CrossRef]
  45. Wielgosz, P.; Milanowska, B.; Krypiak-Gregorczyk, A.; Jarmołowski, W. Validation of GNSS-derived global ionosphere maps for different solar activity levels: Case studies for years 2014 and 2018. GPS Solut. 2021, 25, 103. [Google Scholar] [CrossRef]
  46. Yang, Y.; Tang, J.; Montenbruck, O. Chinese Navigation Satellite Systems. In Springer Handbook of Global Navigation Satellite Systems, 1st ed.; Teunissen, P.J., Montenbruck, O., Eds.; Springer: Cham, Switzerland, 2017; pp. 273–304. [Google Scholar]
  47. Wang, J.; Huang, G.; Zhou, P.; Yang, Y.; Zhang, Q.; Gao, Y. Advantages of uncombined precise point positioning with fixed ambiguity resolution for slant total electron content (STEC) and differential code bias (DCB) estimation. Remote Sens. 2020, 12, 304. [Google Scholar] [CrossRef]
  48. Jin, R.; Jin, S.; Feng, G. M_DCB: Matlab code for estimating GNSS satellite and receiver differential code biases. GPS Solut. 2012, 16, 541–548. [Google Scholar] [CrossRef]
  49. Zhang, X.; Xia, L.; Lin, H.; Li, Q. Epoch-Wise Estimation and Analysis of GNSS Receiver DCB under High and Low Solar Activity Conditions. Remote Sens. 2023, 15, 2190. [Google Scholar] [CrossRef]
  50. Huang, Y.; Zhu, F.; Jia, G.; Zhang, Y. A slide window variational adaptive Kalman filter. IEEE Trans. Circuits Syst. II Express Briefs 2020, 67, 3552–3556. [Google Scholar] [CrossRef]
  51. Roberts, J.; Roberts, T.D. Use of the Butterworth low-pass filter for oceanographic data. J. Geophys. Res. Oceans 1978, 83, 5510–5514. [Google Scholar] [CrossRef]
  52. Maletckii, B.; Yasyukevich, Y.; Vesnin, A. Wave signatures in total electron content variations: Filtering problems. Remote Sens. 2020, 12, 1340. [Google Scholar] [CrossRef]
  53. Guo, J.; Li, W.; Liu, X.; Kong, Q.; Zhao, C.; Guo, B. Temporal-spatial variation of global GPS-derived total electron content, 1999–2013. PLoS ONE 2015, 10, e0133378. [Google Scholar] [CrossRef]
  54. Yang, Z.; Liu, J.; Zhang, Y.; Yang, W.; Zhang, X. Rapid report of source parameters of 2023 M6.2 Jishishan, Gansu earthquake sequence. Earth Planet. Phys. 2024, 8, 436–443. [Google Scholar] [CrossRef]
  55. Dobrovolsky, I.P.; Zubkov, S.I.; Miachkin, V.I. Estimation of the size of earthquake preparation zones. Pure Appl. Geophys. 1979, 117, 1025–1044. [Google Scholar] [CrossRef]
  56. Madsen, D.B.; Haizhou, M.; Rhode, D.; Brantingham, P.J.; Forman, S.L. Age constraints on the late Quaternary evolution of Qinghai Lake, Tibetan Plateau. Quat. Res. 2008, 69, 316–325. [Google Scholar] [CrossRef]
  57. Shi, P.; Liu, F.; Meng, X.; Zhou, Q.; Yu, D.; Chen, Q.; Liu, L.; Fang, W.; Xiao, C.; He, C.; et al. Recent Jishishan earthquake ripple hazard provides a new explanation for the destruction of the prehistoric Lajia Settlement 4000a BP. Sci. Rep. 2024, 14, 11630. [Google Scholar]
  58. Yang, W.; Ouyang, C.; Xiang, W.; An, H. Mechanism analysis and numerical simulation of the Zhongchuan loess earthflow induced by the MS 6.2 Jishishan earthquake in Gansu, China. Eng. Geol. 2025, 344, 107828. [Google Scholar] [CrossRef]
  59. Huang, X.; Li, Y.; Shan, X.; Zhong, M.; Wang, X.; Gao, Z. Fault Kinematics of the 2023 Mw 6.0 Jishishan Earthquake, China, Characterized by Interferometric Synthetic Aperture Radar Observations. Remote Sens. 2024, 16, 1746. [Google Scholar] [CrossRef]
  60. Matzka, J.; Stolle, C.; Yamazaki, Y.; Bronkalla, O.; Morschhauser, A. The geomagnetic Kp index and derived indices of geomagnetic activity. Space Weather 2021, 19, e2020SW002641. [Google Scholar] [CrossRef]
  61. Alves, M.V.; Echer, E.; Gonzalez, W.D. Geoeffectiveness of corotating interaction regions as measured by Dst index. J. Geophys. Res. Space Phys. 2006, 111, A07S05. [Google Scholar] [CrossRef]
  62. Veronig, A.M.; Jain, S.; Podladchikova, T.; Pötzi, W.; Clette, F. Hemispheric sunspot numbers 1874–2020. Astron. Astrophys. 2021, 652, A56. [Google Scholar] [CrossRef]
  63. Tapping, K.F. The 10.7 cm solar radio flux (F10.7). Space Weather 2013, 11, 394–406. [Google Scholar] [CrossRef]
  64. Gonzalez, W.D.; Echer, E. A study on the peak Dst and peak negative Bz relationship during intense geomagnetic storms. Geophys. Res. Lett. 2005, 32, L18103. [Google Scholar] [CrossRef]
  65. Zhang, K.; Liu, J.; Wang, W.; Wang, H. The effects of IMF Bz periodic oscillations on thermospheric meridional winds. J. Geophys. Res. Space Phys. 2019, 124, 5800–5815. [Google Scholar] [CrossRef]
  66. Chakraborty, S.; Morley, S.K. Probabilistic prediction of geomagnetic storms and the Kp index. J. Space Weather Space Clim. 2020, 10, 36. [Google Scholar] [CrossRef]
  67. Gonzalez, W.D.; Joselyn, J.A.; Kamide, Y.; Kroehl, H.W.; Rostoker, G.; Tsurutani, B.T.; Vasyliunas, V.M. What is a geomagnetic storm? J. Geophys. Res. Space Phys. 1994, 99, 5771–5792. [Google Scholar] [CrossRef]
  68. Du, Z.L. The solar cycle: A modified Gaussian function for fitting the shape of the solar cycle and predicting cycle 25. Astrophys. Space Sci. 2022, 367, 20. [Google Scholar] [CrossRef]
  69. Gary, S.P.; Moldwin, M.B.; Thomsen, M.F.; Winske, D.; McComas, D.J. Hot proton anisotropies and cool proton temperatures in the outer magnetosphere. J. Geophys. Res. Space Phys. 1994, 99, 23603–23615. [Google Scholar] [CrossRef]
  70. Akasofu, S.I. Prediction of development of geomagnetic storms using the solar wind-magnetosphere energy coupling function ϵ. Planet. Space Sci. 1981, 29, 1151–1158. [Google Scholar] [CrossRef]
  71. Selesnick, I.W.; Burrus, C.S. Generalized digital Butterworth filter design. IEEE Trans. Signal Process. 2002, 46, 1688–1694. [Google Scholar] [CrossRef]
  72. Chen, H. Seismic frequency component inversion for elastic parameters and maximum inverse quality factor driven by attenuating rock physics models. Surv. Geophys. 2020, 41, 835–857. [Google Scholar] [CrossRef]
  73. Moustafa, S.S.; Mohamed, G.E.A.; Elhadidy, M.S.; Abdalzaher, M.S. Machine learning regression implementation for high-frequency seismic wave attenuation estimation in the Aswan Reservoir area, Egypt. Environ. Earth Sci. 2023, 82, 307. [Google Scholar] [CrossRef]
  74. Nishida, K.; Kobayashi, N.; Fukao, Y. Background Lamb waves in the Earth’s atmosphere. Geophys. J. Int. 2014, 196, 312–316. [Google Scholar] [CrossRef]
  75. Meek, C.E.; Reid, I.M.; Manson, A.H. Observations of mesospheric wind velocities, 1. Gravity wave horizontal scales and phase velocities determined from spaced wind observations. Radio Sci. 1985, 20, 1363–1382. [Google Scholar] [CrossRef]
  76. Hocke, K.; Schlegel, K. A review of atmospheric gravity waves and travelling ionospheric disturbances: 1982–1995. Ann. Geophys. 1996, 14, 917–940. [Google Scholar]
  77. Sams, M.S.; Andrea, M. The effect of clay distribution on the elastic properties of sandstones. Geophys. Prospect. 2001, 49, 128–150. [Google Scholar] [CrossRef]
  78. Nojiri, S.I.; Odintsov, S.D. Unified cosmic history in modified gravity: From F (R) theory to Lorentz non-invariant models. Phys. Rep. 2011, 505, 59–144. [Google Scholar] [CrossRef]
  79. Shiokawa, K.; Ihara, C.; Otsuka, Y.; Ogawa, T. Statistical study of nighttime medium-scale traveling ionospheric disturbances using midlatitude airglow images. J. Geophys. Res. Space Phys. 2003, 108, 1052. [Google Scholar] [CrossRef]
  80. Otsuka, Y.; Kotake, N.; Shiokawa, K.; Ogawa, T.; Tsugawa, T.; Saito, A. Statistical study of medium-scale traveling ionospheric disturbances observed with a GPS receiver network in Japan. In Aeronomy of the Earth’s Atmosphere and Ionosphere; Springer: Dordrecht, The Netherlands, 2011; pp. 291–299. [Google Scholar]
  81. Cheng, P.H.; Lin, C.; Otsuka, Y.; Liu, H.; Rajesh, P.K.; Chen, C.H.; Lin, J.-T.; Chang, M.T. Statistical study of medium-scale traveling ionospheric disturbances in low-latitude ionosphere using an automatic algorithm. Earth Planets Space 2021, 73, 105. [Google Scholar] [CrossRef]
  82. Fuller-Rowell, T.J.; Codrescu, M.V.; Moffett, R.J.; Quegan, S. Response of the thermosphere and ionosphere to geomagnetic storms. J. Geophys. Res. Space Phys. 1994, 99, 3893–3914. [Google Scholar] [CrossRef]
  83. De Martino, I.; De Laurentis, M.; Capozziello, S. Constraining f (R) gravity by the large-scale structure. Universe 2015, 1, 123–157. [Google Scholar] [CrossRef]
  84. Richmond, A.D.; Roble, R.G. Dynamic effects of aurora generated gravity waves on the mid-latitude ionosphere. J. Atmos. Sol.-Terr. Phys. 1979, 41, 841–852. [Google Scholar] [CrossRef]
  85. Balthazor, R.L.; Moffett, R.J. A study of atmospheric gravity waves and travelling ionospheric disturbances at equatorial latitudes. Ann. Geophys. 1997, 15, 1048–1056. [Google Scholar] [CrossRef]
  86. Herman, J.R. Spread F and ionospheric F-region irregularities. Rev. Geophys. 1996, 4, 255–299. [Google Scholar] [CrossRef]
  87. Danilov, A.D.; Lastovicka, J. Effects of geomagnetic storms on the ionosphere and atmosphere. Int. J. Geomagn. Aeron. 2001, 2, 209–224. [Google Scholar]
  88. Balan, N.; Otsuka, Y.; Nishioka, M.; Liu, J.Y.; Bailey, G.J. Physical mechanisms of the ionospheric storms at equatorial and higher latitudes during the recovery phase of geomagnetic storms. J. Geophys. Res. Space Phys. 2013, 118, 2660–2669. [Google Scholar] [CrossRef]
  89. Liu, Y.; Zhou, C.; Xu, T.; Tang, Q.; Deng, Z.; Chen, G.; Wang, Z. Review of ionospheric irregularities and ionospheric electrodynamic coupling in the middle latitude region. Earth Planet. Phys. 2021, 5, 462–482. [Google Scholar] [CrossRef]
  90. Tsurutani, B.; Mannucci, A.; Iijima, B.; Abdu, M.A.; Sobral, J.H.A.; Gonzalez, W.; Guarnieri, F.; Tsuda, T.; Saito, A.; Yumoto, K.; et al. Global dayside ionospheric uplift and enhancement associated with interplanetary electric fields. J. Geophys. Res. Space Phys. 2004, 109, 302. [Google Scholar] [CrossRef]
  91. Huang, F.; Lei, J.; Yue, X.; Li, Z.; Zhang, N.; Cai, Y.; Zhang, S.R.; Wang, Y.; Zhong, J.; Luan, X. Interplay of gravity waves and disturbance electric fields to the abnormal ionospheric variations during the 11 May 2024 superstorm. AGU Adv. 2025, 6, e2024AV001379. [Google Scholar] [CrossRef]
Disclaimer/Publisher’s Note: The statements, opinions and data contained in all publications are solely those of the individual author(s) and contributor(s) and not of MDPI and/or the editor(s). MDPI and/or the editor(s) disclaim responsibility for any injury to people or property resulting from any ideas, methods, instructions or products referred to in the content.

Article Metrics

Citations

Article Access Statistics

Multiple requests from the same IP address are counted as one view.