Sign in to use this feature.

Years

Between: -

Subjects

remove_circle_outline
remove_circle_outline
remove_circle_outline
remove_circle_outline
remove_circle_outline
remove_circle_outline
remove_circle_outline
remove_circle_outline
remove_circle_outline

Journals

Article Types

Countries / Regions

Search Results (50)

Search Parameters:
Keywords = iodine capture

Order results
Result details
Results per page
Select all
Export citation of selected articles as:
26 pages, 378 KB  
Review
Airborne Radioiodine: A Comparative View of Chemical Forms in Medicine, Nuclear Industry, and Fallout Scenarios
by Klaus Schomäcker, Ferdinand Sudbrock, Thomas Fischer, Felix Dietlein, Markus Dietlein, Philipp Krapf and Alexander Drzezga
Int. J. Mol. Sci. 2026, 27(2), 590; https://doi.org/10.3390/ijms27020590 - 6 Jan 2026
Viewed by 340
Abstract
Airborne iodine-131 plays a pivotal role in both nuclear medicine and nuclear safety due to its radiotoxicity, volatility, and affinity for the thyroid gland. Although the total exhaled activity after medical I-131 therapy is minimal, over 95% of this activity appears in volatile [...] Read more.
Airborne iodine-131 plays a pivotal role in both nuclear medicine and nuclear safety due to its radiotoxicity, volatility, and affinity for the thyroid gland. Although the total exhaled activity after medical I-131 therapy is minimal, over 95% of this activity appears in volatile organic forms, which evade standard filtration and reflect metabolic pathways of iodine turnover. Our experimental work in patients and mice confirms the metabolic origin of these species, modulated by thyroidal function. In nuclear reactor environments, both under routine operation and during accidents, organic iodides such as [131I]CH3I have also been identified as major airborne components, often termed “penetrating iodine” due to their low adsorption to conventional filters. This review compares the molecular speciation, environmental persistence, and dosimetric impact of airborne I-131 across clinical, technical, and accidental release scenarios. While routine reactor emissions yield negligible doses (<0.1 µSv/year), severe nuclear incidents like Chernobyl and Fukushima have resulted in significant thyroid exposures. Doses from these events ranged from tens of millisieverts to several Sieverts, particularly in children. We argue that a deeper understanding of chemical forms is essential for effective risk assessment, filtration technology, and emergency preparedness. Iodine-131 exemplifies the dual nature of radioactive substances: in nuclear medicine its radiotoxicity is therapeutically harnessed, whereas in industrial or reactor contexts it represents an unwanted hazard. The same physicochemical properties that enable therapeutic efficacy also determine, in the event of uncontrolled release, the range, persistence, and the potential for unwanted radiotoxic exposure in the general population. In nuclear medicine, exhaled activity after radioiodine therapy is minute but largely organically bound, reflecting enzymatic and metabolic methylation processes. During normal reactor operation, airborne iodine levels are negligible and dominated by inorganic vapors efficiently captured by filtration systems. In contrast, major accidents released large fractions of volatile iodine, primarily as elemental [131I]I2 and organically bound iodine species like [131I]CH3I. The chemical nature of these compounds defined their atmospheric lifetime, transport distance, and deposition pattern, thereby governing the thyroid dose to exposed populations. Chemical speciation is the key determinant across all scenarios. Exhaled iodine in medicine is predominantly organic; routine reactor releases are negligible; severe accidents predominantly release elemental and organic iodine that drive environmental transport and exposure. Integrating these domains shows how chemical speciation governs volatility, mobility, and bioavailability. The novelty of this review lies not in introducing new iodine chemistry, but in the systematic comparative synthesis of airborne radioiodine speciation across medical therapy, routine nuclear operation, and severe accident scenarios, identifying chemical form as the unifying determinant of volatility, environmental transport, and dose. Full article
(This article belongs to the Topic Environmental Toxicology and Human Health—2nd Edition)
17 pages, 2372 KB  
Article
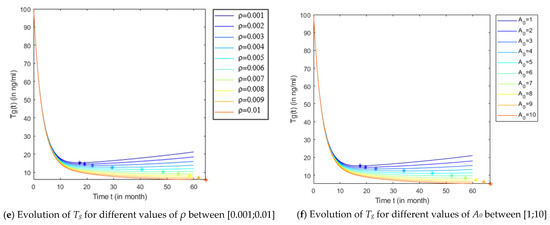
A Mechanistic Dynamic Surrogate Framework for Personalized Radioactive Iodine Therapy in Metastatic Thyroid Cancer
by Marie Fusella Giuntini, Cyril Voyant, David Taieb and Dominique Barbolosi
Precis. Oncol. 2026, 1(1), 2; https://doi.org/10.3390/precisoncol1010002 - 10 Dec 2025
Viewed by 338
Abstract
Background/Objectives: Radioactive iodine (RAI) therapy is widely used to treat metastatic differentiated thyroid cancer. To investigate physiological determinants of treatment response, a mechanistic model was developed, formulated as a system of coupled ordinary differential equations. Methods: The model captures the interactions between tumor [...] Read more.
Background/Objectives: Radioactive iodine (RAI) therapy is widely used to treat metastatic differentiated thyroid cancer. To investigate physiological determinants of treatment response, a mechanistic model was developed, formulated as a system of coupled ordinary differential equations. Methods: The model captures the interactions between tumor burden, thyroglobulin (Tg) production and clearance, and radioactive iodine activity within a pharmacokinetic–pharmacodynamic framework. Model parameters were estimated using the Monte Carlo Stochastic Approximation Expectation–Maximization (MCMCSAEM) algorithm, based on clinical data from a cohort of 50 patients. Results: Tumor radiosensitivity (ρ) and initial tumor burden (N0) consistently emerged as the most influential factors in both responder and non-responder groups classified by disease doubling time under RAI (Td). A reduced model using only these two parameters preserved the principal response patterns of the full model. Other parameters influenced transient dynamics but had limited effect on overall Tg variance. Conclusions: These results support the use of a reduced calibration approach focused on ρ, N0, and the effective doubling time Td. The findings establish a theoretical foundation for developing tractable dynamic surrogates that reproduce the main treatment kinetics and support model-based clinical decision-making in RAI therapy. Full article
Show Figures

Figure 1

11 pages, 649 KB  
Review
A Narrative Review of Photon-Counting CT and Radiomics in Cardiothoracic Imaging: A Promising Match?
by Salvatore Claudio Fanni, Ilaria Ambrosini, Francesca Pia Caputo, Maria Emanuela Cuibari, Domitilla Deri, Alessio Guarracino, Camilla Guidi, Vincenzo Uggenti, Giancarlo Varanini, Emanuele Neri, Dania Cioni, Mariano Scaglione and Salvatore Masala
Diagnostics 2025, 15(20), 2631; https://doi.org/10.3390/diagnostics15202631 - 18 Oct 2025
Viewed by 2346
Abstract
Photon-counting computed tomography (PCCT) represents a major technological innovation compared to conventional CT, offering improved spatial resolution, reduced electronic noise, and intrinsic spectral capabilities. These advances open new perspectives for synergy with radiomics, a field that extracts quantitative features from medical images. The [...] Read more.
Photon-counting computed tomography (PCCT) represents a major technological innovation compared to conventional CT, offering improved spatial resolution, reduced electronic noise, and intrinsic spectral capabilities. These advances open new perspectives for synergy with radiomics, a field that extracts quantitative features from medical images. The ability of PCCT to generate multiple types of datasets, including high-resolution conventional images, iodine maps, and virtual monoenergetic reconstructions, increases the richness of extractable features and potentially enhances radiomics performance. This narrative review investigates the current evidence on the interplay between PCCT and radiomics in cardiothoracic imaging. Phantom studies demonstrate reduced reproducibility between PCCT and conventional CT systems, while intra-scanner repeatability remains high. Nonetheless, PCCT introduces additional complexity, as reconstruction parameters and acquisition settings significantly may affect feature stability. In chest imaging, early studies suggest that PCCT-derived features may improve nodule characterization, but existing machine learning models, such as those applied to interstitial lung disease, may require recalibration to accommodate the new imaging paradigm. In cardiac imaging, PCCT has shown particular promise: radiomic features extracted from myocardial and epicardial tissues can provide additional diagnostic insights, while spectral reconstructions improve plaque characterization. Proof-of-concept studies already suggest that PCCT radiomics can capture myocardial aging patterns and discriminate high-risk coronary plaques. In conclusion, evidence supports a growing synergy between PCCT and radiomics, with applications already emerging in both lung and cardiac imaging. By enhancing the reproducibility and richness of quantitative features, PCCT may significantly broaden the clinical potential of radiomics in computed tomography. Full article
Show Figures

Figure 1

19 pages, 4277 KB  
Article
Cu/Bi-NC Composites Derived from Bimetallic MOFs for Efficient and Stable Capture of Multiform Iodine
by Jie Ren, Aotian Gu, Peng Wang, Chunhui Gong, Kaiwei Chen, Ping Mao, Yan Jiao, Kai Chen and Yi Yang
Processes 2025, 13(9), 2678; https://doi.org/10.3390/pr13092678 - 22 Aug 2025
Viewed by 803
Abstract
With the popularization of nuclear energy in the field of energy application, the effective removal of radioactive iodine isotopes is crucial for the long-term development of nuclear energy. In this paper, bimetallic MOFs with different Cu/Bi ratios were synthesized by a simple solvothermal [...] Read more.
With the popularization of nuclear energy in the field of energy application, the effective removal of radioactive iodine isotopes is crucial for the long-term development of nuclear energy. In this paper, bimetallic MOFs with different Cu/Bi ratios were synthesized by a simple solvothermal method, and a bimetallic nano-adsorbent Cux/Bi10−x-NC was prepared by one-step calcination. Adsorption experiments show that Cux/Bi10−x-NC exhibits excellent adsorption performance for iodide ions, gaseous iodine, and I2 in cyclohexane solution, with the maximum adsorption capacities reaching up to 484.08 and 233.11 mg g−1, respectively. Through the characterization of the material system before and after adsorption, this excellent adsorption performance is attributed to the synergistic effect between Cu and Bi, as well as the highly dispersed adsorption active sites derived from the MOF template. Therefore, the prepared Cux/Bi10−x-NC has great potential in the efficient and stable capture of various forms of iodine. Full article
(This article belongs to the Special Issue Metal–Organic Frameworks (MOFs) and Applications in Adsorption)
Show Figures

Figure 1

19 pages, 2378 KB  
Article
Simulation of Water Vapor Sorption Profiles on Activated Carbons in the Context of the Nuclear Industry
by Felipe Cabral Borges Martins, Mouheb Chebbi, Céline Monsanglant-Louvet, Bénoit Marcillaud and Audrey Roynette
Separations 2025, 12(5), 126; https://doi.org/10.3390/separations12050126 - 14 May 2025
Cited by 1 | Viewed by 1599
Abstract
Activated carbons (ACs) are employed in the nuclear industry to mitigate the emission of potential radioactive iodine species. Their retention performances towards iodine are mainly dependent on the relative humidity due to the competitive effect induced by adsorbed water molecules. Thus, this work [...] Read more.
Activated carbons (ACs) are employed in the nuclear industry to mitigate the emission of potential radioactive iodine species. Their retention performances towards iodine are mainly dependent on the relative humidity due to the competitive effect induced by adsorbed water molecules. Thus, this work will focus on the prediction of AC behavior toward the capture of water vapor to better assess the poisoning effect on radiotoxic iodine removal. For the first time, H2O breakthrough curves (BTCs) on nuclear grade ACs are predicted through a specific methodology based on the combination of transport phenomena with adsorption kinetics and equilibrium. Three ACs, similar to those deployed in the nuclear context, are considered within the present study. Our model is based on the Linear Driving Force Model (LDF), governed by an intraparticle diffusion mechanism, notably surface and Knudsen diffusions. In addition, the type V isotherms obtained for H2O and the investigated carbon supports were described through the Klotz equation, taking into account the formation and progressive growth of H2O clusters within the internal porosity. This methodology allowed us to successfully simulate the H2O adsorption by a non-impregnated AC, where only physisorption phenomena are involved. In addition, promising results were highlighted when extrapolating to the two other impregnated ACs (AC 5KI and AC Nuclear). Full article
(This article belongs to the Section Separation Engineering)
Show Figures

Graphical abstract

10 pages, 1357 KB  
Article
Four-Dimensional Dual-Energy Computed Tomography-Derived Parameters and Their Correlation with Thyroid Gland Functional Status
by Max H. M. C. Scheepers, Zaid J. J. Al-Difaie, Nicole D. Bouvy, Bas Havekes and Alida A. Postma
Tomography 2025, 11(3), 22; https://doi.org/10.3390/tomography11030022 - 26 Feb 2025
Cited by 1 | Viewed by 1944
Abstract
Purpose: Dual-energy computed tomography (DECT) allows for the measurement of iodine concentration, a component for the synthesis of thyroid hormones. DECT can create virtual non-contrast (VNC) images, potentially reducing radiation exposure. This study explores the correlations between thyroid function and iodine concentration, as [...] Read more.
Purpose: Dual-energy computed tomography (DECT) allows for the measurement of iodine concentration, a component for the synthesis of thyroid hormones. DECT can create virtual non-contrast (VNC) images, potentially reducing radiation exposure. This study explores the correlations between thyroid function and iodine concentration, as well as the relationship between thyroid densities in true non-contrast (TNC) and virtual non-contrast (VNC) images and thyroid function. Methods: The study involved 87 patients undergoing 4D-CT imaging with single and dual-energy scans for diagnosing primary hyperparathyroidism. Thyroid densities and iodine concentrations were measured across all scanning phases. These measurements were correlated with thyroid function, indicated by TSH and FT4 levels. Differences in thyroid density between post-contrast phases and TNC phases (ΔHU) were analyzed for correlations with thyroid function and iodine concentrations. Results: Positive correlations between iodine concentrations and TSH were found, with Spearman’s coefficients (R) of 0.414, 0.361, and 0.349 for non-contrast, arterial, and venous phases, respectively. Thyroid density on TNC showed significant positive correlations with TSH levels (R = 0.436), consistently across both single- (R = 0.435) and dual-energy (R = 0.422) scans. Thyroid densities on VNC images did not correlate with TSH or FT4. Differences in density between contrast and non-contrast scans (ΔHU) negatively correlated with TSH (p = 0.002). Conclusions: DECT-derived iodine concentrations and thyroid densities in non-contrast CT scans demonstrated positive correlations with thyroid function, in contrast to thyroid densities on VNC scans. This indicates that VNC images are unsuitable for this purpose. Correlations between ΔHU and TSH suggest a potential link between the thyroid’s structural properties to capture iodine and its hormonal function. This study underscores the potential value of (DE-) CT imaging for evaluating thyroid function as an additional benefit in head and neck scans. Full article
Show Figures

Figure 1

13 pages, 4387 KB  
Article
Synthesis, Structure and Iodine Adsorption Properties of a Ni Cluster-Based Supramolecular Framework
by Jingyi Qiu, Linxia Tang, Ziang Nan, Luyao Liu, Qing Li, Wei Wang, Zhu Zhuo, Dongwei Zhang, Yougui Huang and Liangliang Zhang
Molecules 2025, 30(5), 989; https://doi.org/10.3390/molecules30050989 - 21 Feb 2025
Viewed by 1394
Abstract
The capture of radioactive iodine (129I or 131I) is of significant importance for the production of nuclear power and the treatment of nuclear waste. In recent years, crystallized porous materials have been extensively investigated to achieve highly effective adsorption of radioactive iodine. Herein, [...] Read more.
The capture of radioactive iodine (129I or 131I) is of significant importance for the production of nuclear power and the treatment of nuclear waste. In recent years, crystallized porous materials have been extensively investigated to achieve highly effective adsorption of radioactive iodine. Herein, by using the hydrothermal method, a Ni cluster-based framework (1) was successfully constructed through a self-assembly process. Driven by the π–π stacking interactions between π-electron-rich benzimidazole groups, [Ni5S6] clusters stack in a lattice, forming a porous framework with proper channels, rendering compound 1 as an ideal adsorbent for iodine. Compound 1 delivered a capability of iodine adsorption (2.08 g g−1 and 560 mg g−1 for gaseous and solution iodine, respectively) with stable cyclability. Full article
Show Figures

Figure 1

13 pages, 6481 KB  
Article
A Study on the Iodine Vapor Adsorption Performance and Desorption Behavior of HKUST-1 with Varying Particle Sizes
by Tian Lan, Xiaofan Ding, Qi Chen, Songtao Xiao, Taihong Yan, Tianchi Li and Weifang Zheng
Molecules 2025, 30(3), 502; https://doi.org/10.3390/molecules30030502 - 23 Jan 2025
Cited by 2 | Viewed by 1623
Abstract
Iodine is one of the key elements that must be removed from the off-gas systems of nuclear fuel reprocessing. This study systematically investigates the iodine vapor adsorption performance of the metal–organic framework (MOF) material HKUST-1(1-(2-methyl-4-(2-oxopyrrolidin-1-yl)phenyl)-3-morpholino-5,6-dihydropyridin-2(1H)-one), with particle sizes of 100 nm and 20 [...] Read more.
Iodine is one of the key elements that must be removed from the off-gas systems of nuclear fuel reprocessing. This study systematically investigates the iodine vapor adsorption performance of the metal–organic framework (MOF) material HKUST-1(1-(2-methyl-4-(2-oxopyrrolidin-1-yl)phenyl)-3-morpholino-5,6-dihydropyridin-2(1H)-one), with particle sizes of 100 nm and 20 μm. HKUST-1 samples with varying particle sizes were synthesized via a hydrothermal method. The experimental results show that the 20 μm HKUST-1 exhibits superior crystallinity, a more intact pore structure, and a higher iodine adsorption capacity, reaching 700 mg/g, which is significantly greater than the 300 mg/g capacity of the 100 nm HKUST-1. Kinetic analysis reveals that the adsorption process follows the pseudo-second-order model, with physical adsorption as the predominant mechanism, where iodine molecules are accommodated within the pores. FTIR and XRD further confirm the structural stability of the HKUST-1 framework after iodine adsorption. However, desorption experiments show that iodine molecules are easily volatilized into the air, with a 20% weight loss observed within 10 h and a color change from black to green. The results provide experimental evidence for optimizing the application of HKUST-1 materials in iodine capture and suggest that material modification could enhance the long-term stability of iodine fixation. Full article
(This article belongs to the Special Issue Advances in Innovative Adsorbents)
Show Figures

Graphical abstract

13 pages, 5339 KB  
Article
Recovery of Iodine in the Gaseous Phase Using the Silicone Hollow Fiber Membrane Module
by Yoshio Yamabe, Naotake Takahashi, Jun Sawai, Tamotsu Minami, Mikio Kikuchi and Toshimitsu Ishii
Membranes 2025, 15(1), 27; https://doi.org/10.3390/membranes15010027 - 13 Jan 2025
Viewed by 2253
Abstract
Iodine, being an important resource, must be recovered and reused. Iodine is not only attracted to the hydrophobic silicone membrane but also easily vaporized. In this study, we explored the use of five types of silicone hollow fiber membrane modules (SFMMs) for separating [...] Read more.
Iodine, being an important resource, must be recovered and reused. Iodine is not only attracted to the hydrophobic silicone membrane but also easily vaporized. In this study, we explored the use of five types of silicone hollow fiber membrane modules (SFMMs) for separating iodine in the gaseous phase. In the SFMM, iodine gas and the recovery solution (sodium sulfite and sodium carbonate at a concentration of 10 mM each) were flowed outside and inside the silicone hollow fiber, respectively, in a co-current-flow manner. At an iodine gas flow rate of 0.2 L/min (8.4 × 10−3 mmol-I2/L), the capture efficiency of iodine into the SFMM was approximately 100% for all five SFMMs. With increasing feed gas flow rates, the capture efficiency of iodine decreased, reducing to approximately 50% at 0.8 L/min. However, the recovery efficiency of iodine in the recovery solution was 60–30% at 0.2–0.8 L/min. This decrease in capture efficiency with increasing flow rates was because iodine could not spread and diffuse successfully in the SFMM, resulting in a low recovery efficiency of iodine. Thus, we next improved the structure of the SFMM by placing a perforated pipe in the center of the module. The perforated pipe effectively directs the iodine feed gas from the holes in the pipe to the hollow fiber membrane bundle wrapped around the pipe. With the improved SFMM, the capture efficiency markedly increased to approximately 100% in the range of the flow rates tested in our experiments. The recovery efficiency also increased to ≥70%. These data illustrate the potential application of the improved SFMM for recovering iodine in the gaseous phase. Full article
Show Figures

Figure 1

18 pages, 9211 KB  
Article
Cu0-Functionalized, ZIF-8-Derived, Nitrogen-Doped Carbon Composites for Efficient Iodine Elimination in Solution
by Jiuyu Chen, Chensheng Gao, Jingwen Chen, Fei Liu and Zhiwen Liu
Nanomaterials 2025, 15(2), 105; https://doi.org/10.3390/nano15020105 - 12 Jan 2025
Cited by 4 | Viewed by 2169
Abstract
The development of copper-based materials with a high efficiency and low cost is desirable for use in iodine (I2) remediation. Herein, Cu0-nanoparticles-functionalized, ZIF-8 (Zeolite Imidazole Framework-8)-derived, nitrogen-doped carbon composites (Cu@Zn-NC) were synthesized by ball milling and pyrolysis processes. The [...] Read more.
The development of copper-based materials with a high efficiency and low cost is desirable for use in iodine (I2) remediation. Herein, Cu0-nanoparticles-functionalized, ZIF-8 (Zeolite Imidazole Framework-8)-derived, nitrogen-doped carbon composites (Cu@Zn-NC) were synthesized by ball milling and pyrolysis processes. The as-prepared composites were characterized using SEM, BET, XRD, XPS, and FT-IR analyses. The results showed that the morphology of ZIF-8 changed from a leaf-like structure into an irregular structure after the introduction of a copper salt and carbonization. The copper in the pyrolysis samples was mainly in the form of Cu0 particles. The presence of an appropriate amount of Cu0 particles could increase the specific surface area of Cu@Zn-NC. The subsequent batch adsorption results demonstrated that the as-fabricated composites showed high I2 adsorption amounts (1204.9 mg/g) and relatively fast dynamics in an iodine–cyclohexane solution when the Cu content was 30% and the pyrolysis temperature was 600 °C, outperforming the other Cu-based materials. The isothermal adsorption followed both Langmuir and Dubinin–Radushkevich isotherm models, while the kinetics of I2 adsorption followed a pseudo-second-order kinetic model. The activation energy (Eα) of the adsorbent was determined to be 47.2 kJ/mol, according to the Arrhenius equation. According to the experimental and DFT analyses, I2-Zn interactions and I2-Cu0 chemisorption jointly promoted the elimination of iodine. In general, this study provided an operative adsorbent for the highly effective capture of iodine in solution, which might be worth applying on a large scale. Full article
Show Figures

Figure 1

19 pages, 21000 KB  
Article
Synthesis of a Novel Zwitterionic Hypercrosslinked Polymer for Highly Efficient Iodine Capture from Water
by Jingwen Yu, Luna Song, Bingying Han, Jiangliang Hu, Zhong Li and Jie Mi
Polymers 2024, 16(19), 2846; https://doi.org/10.3390/polym16192846 - 9 Oct 2024
Cited by 4 | Viewed by 1621
Abstract
Cationic porous organic polymers have a unique advantage in removing radioactive iodine from the aqueous phase because iodine molecules exist mainly in the form of iodine-containing anions. However, halogen anions will inevitably be released into water during the ion-exchange process. Herein, we reported [...] Read more.
Cationic porous organic polymers have a unique advantage in removing radioactive iodine from the aqueous phase because iodine molecules exist mainly in the form of iodine-containing anions. However, halogen anions will inevitably be released into water during the ion-exchange process. Herein, we reported a novel and easy-to-construct zwitterionic hypercrosslinked polymer (7AIn-PiP)-containing cationic pyridinium-type group, uncharged pyridine-type group, pyrrole-type group, and even an electron-rich phenyl group, which in synergy effectively removed 94.2% (456 nm) of I2 from saturated I2 aqueous solution within 30 min, surpassing many reported iodine adsorbents. Moreover, an I2 adsorption efficiency of ~95% can still be achieved after three cyclic evaluations, indicating a good recycling performance. More importantly, a unique dual 1,3-dipole was obtained and characterized by 1H/13C NMR, HRMS, and FTIR, correlating with the structure of 7AIn-PiP. In addition, the analysis of adsorption kinetics and the characterization of I2@7AIn-PiP indicate that the multiple binding sites simultaneously contribute to the high affinity towards iodine species by both physisorption and chemisorption. Furthermore, an interesting phenomenon of inducing the formation of HIO2 in unsaturated I2 aqueous solution was discovered and explained. Overall, this work is of great significance for both material and radiation protection science. Full article
Show Figures

Figure 1

17 pages, 7181 KB  
Review
Recent Advances in Metal–Organic Frameworks and Their Derivatives for Adsorption of Radioactive Iodine
by Li Peng, Jiali Duan, Yu Liang, Haiqi Zhang, Chongxiong Duan and Sibin Liu
Molecules 2024, 29(17), 4170; https://doi.org/10.3390/molecules29174170 - 3 Sep 2024
Cited by 7 | Viewed by 3577
Abstract
Radioactive iodine (131I) with a short half-life of ~8.02 days is one of the most commonly used nuclides in nuclear medicine. However, 131I easily poses a significant risk to human health and ecological environment. Therefore, there is an urgent need [...] Read more.
Radioactive iodine (131I) with a short half-life of ~8.02 days is one of the most commonly used nuclides in nuclear medicine. However, 131I easily poses a significant risk to human health and ecological environment. Therefore, there is an urgent need to develop a secure and efficient strategy to capture and store radioactive iodine. Metal–organic frameworks (MOFs) are a new generation of sorbents with outstanding physical and chemical properties, rendering them attractive candidates for the adsorption and immobilization of iodine. This review focuses on recent research advancements in mechanisms underlying iodine adsorption over MOFs and their derivatives, including van der Waals interactions, complexing interactions, and chemical precipitation. Furthermore, this review concludes by outlining the challenges and opportunities for the safe disposal of radioactive iodine from the perspective of the material design and system evaluation based on our knowledge. Thus, this paper aims to offer necessary information regarding the large-scale production of MOFs for iodine adsorption. Full article
(This article belongs to the Special Issue Novel Adsorbents for Environmental Pollutants' Removal)
Show Figures

Figure 1

10 pages, 2222 KB  
Article
A Robust Zn-Hydroxamate Metal–Organic Framework Constructed from an Unsymmetrical Ligand for Iodine Capture
by Ting Song, Yinning Zhu, Zhehao Li, Zhewei Mei, Zhen-Wu Shao and Chong Liu
Symmetry 2024, 16(8), 1049; https://doi.org/10.3390/sym16081049 - 15 Aug 2024
Cited by 6 | Viewed by 2093
Abstract
To qualify as competent sorbents for airborne contaminants such as iodine vapor, permanent porosity and chemical stability are key criteria for the selection of candidate metal-organic frameworks (MOFs). To ensure these characteristics, in the present study, an unsymmetrical bifunctional ligand incorporating both carboxylic [...] Read more.
To qualify as competent sorbents for airborne contaminants such as iodine vapor, permanent porosity and chemical stability are key criteria for the selection of candidate metal-organic frameworks (MOFs). To ensure these characteristics, in the present study, an unsymmetrical bifunctional ligand incorporating both carboxylic acid and hydroxamic acid groups was employed for MOF [Zn(CBHA)](DMF) [SUM-13; CPHA = 4-carboxyphenylhydroxamate, DMF = N,N-dimethylformamide] design and synthesis. Though coupled with Zn2+, which does not typically yield kinetically robust MOFs with hard acids, the SUM-13 featuring differentiated coordination modes of chelating, bridging and monodentate bonding exhibited exceptional chemical stability and permanent porosity, with a Brunauer–Emmett–Teller (BET) surface area of 296.9 m2/g and a total pore volume of 0.1196 cm3/g. Additionally, with porosity and open metal sites at the five-coordinate Zn2+ centers, SUM-13 was demonstrated to be an eligible iodine adsorbent, reaching a maximum uptake of 796 mg/g. These findings underscore the validity and potential of the design strategy in constructing stable metal–organic frameworks. Full article
(This article belongs to the Collection Feature Papers in Chemistry)
Show Figures

Figure 1

14 pages, 4755 KB  
Article
Highly Efficient Capture of Volatile Iodine by Conjugated Microporous Polymers Constructed Using Planar 3- and 4-Connected Organic Monomers
by Chaohui Li, Qianqian Yan, Huanjun Xu, Siyu Luo, Hui Hu, Shenglin Wang, Xiaofang Su, Songtao Xiao and Yanan Gao
Molecules 2024, 29(10), 2242; https://doi.org/10.3390/molecules29102242 - 10 May 2024
Cited by 6 | Viewed by 2323
Abstract
The effective capture and recovery of radioiodine species associated with nuclear fuel reprocessing is of significant importance in nuclear power plants. Porous materials have been proven to be one of the most effective adsorbents for the capture of radioiodine. In this work, we [...] Read more.
The effective capture and recovery of radioiodine species associated with nuclear fuel reprocessing is of significant importance in nuclear power plants. Porous materials have been proven to be one of the most effective adsorbents for the capture of radioiodine. In this work, we design and synthesize a series of conjugated microporous polymers (CMPs), namely, TPDA–TFPB CMP, TPDA–TATBA CMP, and TPDA–TECHO CMP, which are constructed based on a planar rectangular 4-connected organic monomer and three triangular 3-connected organic monomers, respectively. The resultant CMPs are characterized using various characterization techniques and used as effective adsorbents for iodine capture. Our experiments indicated that the CMPs exhibit excellent iodine adsorption capacities as high as 6.48, 6.25, and 6.37 g g−1 at 348 K and ambient pressure. The adsorption mechanism was further investigated and the strong chemical adsorption between the iodine and the imine/tertiary ammonia of the CMPs, 3D network structure with accessible hierarchical pores, uniform micromorphology, wide π-conjugated structure, and high-density Lewis-base sites synergistically contribute to their excellent iodine adsorption performance. Moreover, the CMPs demonstrated good recyclability. This work provides guidance for the construction of novel iodine adsorbent materials with high efficiency in the nuclear power field. Full article
(This article belongs to the Special Issue Recent Advances in Porous Materials)
Show Figures

Figure 1

2 pages, 121 KB  
Abstract
Estimating Dietary Micronutrient Supply by Analyzing a Moderate-Cost Food Basket in Serbia
by Vanja Todorovic, Nevena Dabetic, Nikoleta Dubovac, Marina Jordanovic, Milica Zrnic Ciric and Sladjana Sobajic
Proceedings 2023, 91(1), 160; https://doi.org/10.3390/proceedings2023091160 - 1 Feb 2024
Viewed by 902
Abstract
The inadequate intake of essential micronutrients remains a huge public health issue that carries significant social, economic, and health consequences. Although deficiencies in iron, vitamin A, and iodine are well-documented, there is growing recognition of deficiencies in folate, vitamin B12, zinc, calcium, and [...] Read more.
The inadequate intake of essential micronutrients remains a huge public health issue that carries significant social, economic, and health consequences. Although deficiencies in iron, vitamin A, and iodine are well-documented, there is growing recognition of deficiencies in folate, vitamin B12, zinc, calcium, and other micronutrients among disadvantaged populations. A national shopping basket (also known as a food basket or food basket survey) is a list of foods and beverages that represent the typical dietary requirements of a population in a given country. The items in the food basket are chosen based on their frequency of consumption, nutritional value, and availability in the market. This study was designed to assess the intake of certain micronutrients using the food items of a moderate-cost shopping basket in Serbia. The structure of a moderate-cost shopping basket for a family of three in Serbia is published on a monthly basis by the Ministry of Trade, Tourism and Telecommunications. The food list includes 73 food items categorized into nine groups, such as cereals, vegetables, fruits, meats, fish, fats and oils, dairy products, non-alcoholic beverages, and miscellaneous other foods. The food composition database CapNUTRA was used for the calculation of the iron, vitamin A, iodine, folate, and zinc content in all food items in the basket. The monthly quantities, intended for a family of three, of each food item were characterized by their micronutrient contents and the values were summed to derive an estimate of the average intake. When comparing the obtained estimates with the recommended daily intakes, it was noticed that the requirements were met for iron and zinc, but, when it came to vitamin A, the intake was around 20% lower than the recommended value. The iodine and folate intake would be higher than is recommended in the Serbian population, based on such an assessment. The evaluation of nutrient intake using a national shopping basket is one way to estimate the adequacy of a population’s diet and essential nutrient supply. However, it is important to note that this approach has some limitations and may not capture the full complexity of an individual’s dietary intake. Full article
(This article belongs to the Proceedings of The 14th European Nutrition Conference FENS 2023)
Back to TopTop