A Mechanistic Dynamic Surrogate Framework for Personalized Radioactive Iodine Therapy in Metastatic Thyroid Cancer
Abstract
1. Introduction
1.1. RAI and Metastatic Thyroid Cancer
1.2. The Personalized RAI
1.3. Clinical Interest of This Work
2. Material and Methods
2.1. Mathematical Novelty and Originality of This Work
2.2. Data
2.3. Description of the Reference Therapeutic Response Model
2.4. Model Parameters Characteristics
- A0: Initial activity dose administered (GBq [28]);
- N0: Number of initial tumor cells [29];
- a: clearance rate of administered iodine (month−1 [30]);
- ρ: effectiveness rate of iodine (GBq × months)−1 [11]);
- Td: tumor cell doubling time (months [31]);
- λ: concentration of Tg produced by a tumor cell (µg × L−1 × month−1 [32]). λ is defined as the production rate of thyroglobulin per tumor cell and is expressed in µg·L−1·month−1. While Tg levels are typically measured in ng/mL clinically, λ quantifies the dynamic rate of Tg accumulation in the blood and reflects a distinct, time-dependent biological process;
3. Results
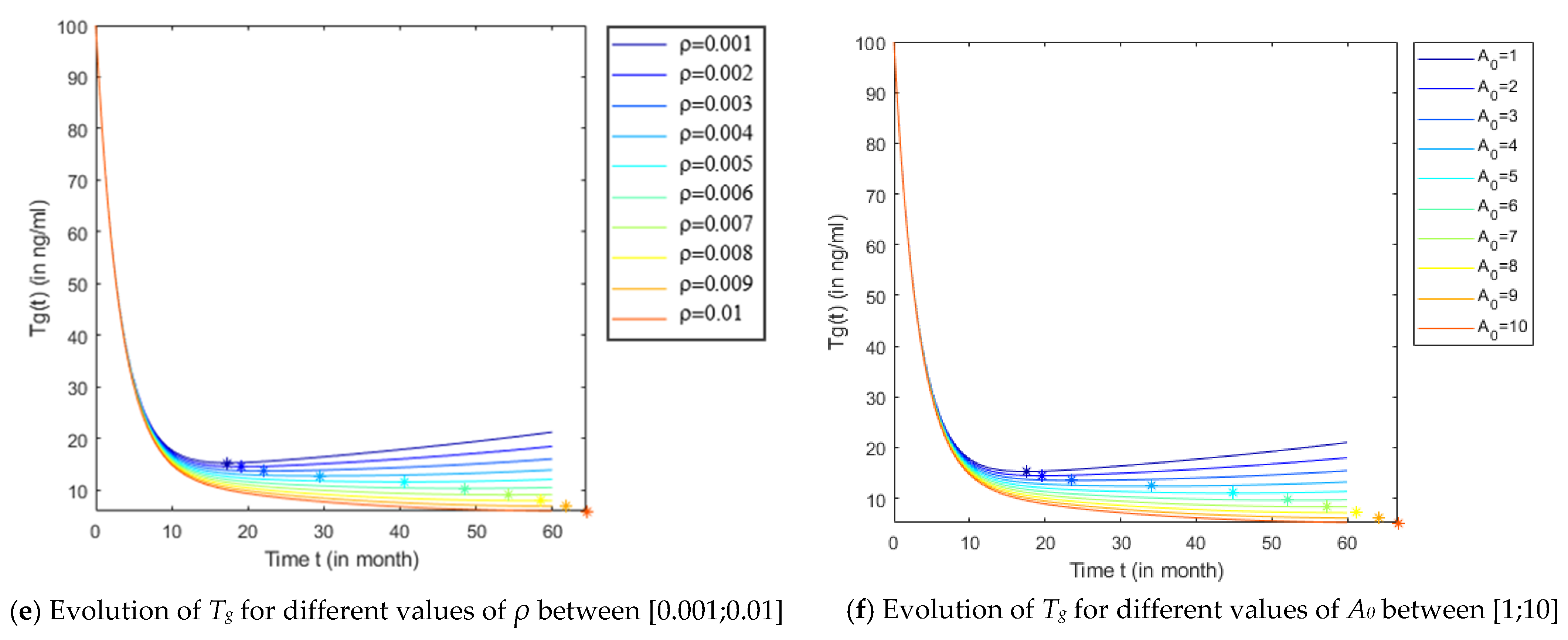
3.1. Sensitivity Analysis: Group of Responders ( = 66.6)
3.2. Sensitivity Analysis: Group of Non-Responders ( = 9.8)
3.3. Global Sensitivity Analysis
3.4. Minimal Parameter Subset for Model Reduction
4. Conclusions and Discussion
Author Contributions
Funding
Institutional Review Board Statement
Informed Consent Statement
Data Availability Statement
Conflicts of Interest
Appendix A
Appendix A.1. Description of the Study Population
- Sample Size: n = 50;
- Patient Age (years): Mean = 29;
- Disease Stage Distribution: pT1/pT2 = 7; pT3/pT4 = 43; N1 = 47; Nx = 3; M1 = 50.
- The study’s retrospective inclusion criteria were as follows:
- Patients who had undergone a total thyroidectomy;
- Patients who had received lymph node dissection (with the exception of three cases);
- Patients who received Radioactive Iodine (RAI) therapy.
- Fixed Administered Activity: 3.7 GBq [3.7–5.5 GBq];
- Average Cumulative Activity: 22.5 GBq [18.5–25.0 GBq];
Appendix A.2. Solution of the Systems of Differential Equations
Appendix A.3. Model Contribution—Further Information
- The responder group (comprising 72.5% of patients) with an average Td of 66.6 months, exhibiting a kinetic profile of Tg concentrations that progressively decreases over time;
- The non-responder (refractory) group (representing 27.5% of patients) with an average Td of 9.8 months, characterized by a kinetic profile of Tg concentrations that initially decreases, followed by an increase after a certain duration, indicating disease recurrence.
References
- Zulewski, H.; Schneiter, R.; Weber, M.; Meier, C. Diagnostic et traitement du cancer différencié de la thyroïde. Forum. Med. Suisse 2014, 14, 171–176. [Google Scholar]
- Schlumberger, M.; Challeton, C.; De Vathaire, F.; Parmentier, C. Treatment of distant metastases of differentiated thyroid carcinoma. J. Endocrinol. Investig. 1995, 18, 170–172. [Google Scholar] [CrossRef]
- Haugen, B.R.; Alexander, E.K.; Bible, K.C.; Doherty, G.M.; Mandel, S.J.; Nikiforov, Y.E.; Pacini, F.; Randolph, G.W.; Sawka, A.M.; Schlumberger, M.; et al. 2015 American Thyroid Association management guidelines for adult patients with thyroid nodules and differentiated thyroid cancer. Thyroid 2016, 26, 1–133. [Google Scholar] [CrossRef] [PubMed]
- Pacini, F.; Fuhrer, D.; Elisei, R.; Handkiewicz-Junak, D.; Leboulleux, S.; Luster, M.; Schlumberger, M.; Smit, J.W. 2022 ETA consensus statement: What are the indications for post-surgical radioiodine therapy in differentiated thyroid cancer? Eur. Thyroid J. 2022, 11, e210046. [Google Scholar] [CrossRef] [PubMed]
- Ibrahimpasic, T.; Nixon, I.J.; Palmer, F.L.; Whitcher, M.M.; Tuttle, R.M.; Shaha, A.; Patel, S.G.; Shah, J.P.; Ganly, I. Undetectable thyroglobulin after total thyroidectomy in patients with low- and intermediate-risk papillary thyroid cancer—Is there a need for radioactive iodine therapy? Surgery 2012, 152, 1096–1105. [Google Scholar] [CrossRef]
- Le Roux, M.K.; Graillon, N.; Guyot, L.; Taieb, D.; Galli, P.; Godio-Raboutet, Y.; Chossegros, C.; Foletti, J. Salivary side effects after radioiodine treatment for differentiated papillary thyroid carcinoma: Long-term study. Head Neck 2020, 42, 3133–3140. [Google Scholar] [CrossRef]
- Bhayani, M.K.; Acharya, V.; Kongkiatkamon, S.; Farah, S.; Roberts, D.B.; Sterba, J.; Chambers, M.S.; Lai, S.Y. Sialendoscopy for patients with radioiodine-induced sialadenitis and xerostomia. Thyroid 2015, 25, 834–838. [Google Scholar] [CrossRef] [PubMed]
- Iyer, N.G.; Morris, L.G.T.; Tuttle, R.M.; Shaha, A.R.; Ganly, I. Rising incidence of second cancers in patients with low-risk (T1N0) thyroid cancer who receive radioactive iodine therapy. Cancer 2011, 117, 4439–4446. [Google Scholar] [CrossRef]
- Lee, S.L. Complications of radioactive iodine treatment of thyroid carcinoma. J. Natl. Compr. Cancer Netw. 2010, 8, 1277–1287. [Google Scholar] [CrossRef]
- Bennett, S. Radioiodine Treatment of Well-Differentiated Thyroid Cancer: Balancing Risks and Benefits. J. Clin. Oncol. 2018, 36, 1785–1787. [Google Scholar] [CrossRef]
- Barbolosi, D.; Summer, I.; Meille, C.; Serre, R.; Kelly, A.; Zerdoud, S.; Bournaud, C.; Schvartz, C.; Toubeau, M.; Toubert, M.-E.; et al. Modeling therapeutic response to radioiodine in metastatic thyroid cancer: A proof-of-concept study for individualized medicine. Oncotarget 2017, 8, 39167–39176. [Google Scholar] [CrossRef] [PubMed]
- Wang, C.; Zhang, X.; Li, H.; Li, X.; Lin, Y. Quantitative thyroglobulin response to radioactive iodine treatment in predicting radioactive iodine-refractory thyroid cancer with pulmonary metastasis. PLoS ONE 2017, 12, e0179664. [Google Scholar] [CrossRef]
- Song, H.-J.; Qiu, Z.-L.; Shen, C.-T.; Wei, W.-J.; Luo, Q.-Y. Pulmonary metastases in differentiated thyroid cancer: Efficacy of radioiodine therapy and prognostic factors. Eur. J. Endocrinol. 2015, 173, 399–408. [Google Scholar] [CrossRef]
- Strobl, M.R.; Gallaher, J.; Robertson-Tessi, M.; West, J.; Anderson, A.R.A. Treatment of evolving cancers will require dynamic decision support. Ann Oncol. 2023, 34, 867–884. [Google Scholar] [CrossRef]
- Barbolosi, D.; Ciccolini, J.; Lacarelle, B.; Barlési, F.; André, N. Computational oncology—mathematical modelling of drug regimens for precision medicine. Nat. Rev. Clin. Oncol. 2016, 13, 242–254. [Google Scholar] [CrossRef]
- Cabanillas, M.E.; McFadden, D.G.; Durante, C. Thyroid cancer. Lancet 2016, 388, 2783–2795. [Google Scholar] [CrossRef] [PubMed]
- Sawka, A.M.; Thephamongkhol, K.; Brouwers, M.; Thabane, L.; Browman, G.; Gerstein, H.C. A systematic review and meta-analysis of the effectiveness of radioactive iodine remnant ablation for well-differentiated thyroid cancer. J. Clin. Endocrinol. Metab. 2004, 89, 3668–3676. [Google Scholar] [CrossRef] [PubMed]
- Wang, R.; Zhang, Y.; Tan, J.; Zhang, G.; Zhang, R.; Zheng, W.; He, Y. Analysis of radioiodine therapy and prognostic factors of differentiated thyroid cancer patients with pulmonary metastasis: An 8-year retrospective study. Medicine 2017, 96, e6809. [Google Scholar] [CrossRef] [PubMed]
- Giovanella, L.; Ceriani, L.; Suriano, S.; Maffioli, M.; Spriano, G. The role of thyroglobulin doubling time in differentiated thyroid cancer: A meta-analysis. Endocr. Connect. 2022, 11, e210648. [Google Scholar] [CrossRef]
- Haymart, M.R.; Banerjee, M.; Stewart, A.K.; Koenig, R.J.; Birkmeyer, J.D.; Griggs, J.J. Use of radioactive iodine for thyroid cancer. JAMA 2011, 306, 721–728. [Google Scholar] [CrossRef]
- Robb, R.; Yang, L.; Shen, C.; Wolfe, A.R.; Webb, A.; Zhang, X.; Vedaie, M.; Saji, M.; Jhiang, S.; Ringel, M.D.; et al. Inhibiting BRAF Oncogene-Mediated Radioresistance Effectively Radiosensitizes BRAFV600E-Mutant Thyroid Cancer Cells by Constraining DNA Double-Strand Break Repair. Clin. Cancer Res. 2019, 25, 4749–4760. [Google Scholar] [CrossRef] [PubMed]
- Samson, A.; Lavielle, M.; Mentré, F. The SAEM algorithm for group comparison tests in longitudinal data analysis based on non-linear mixed-effects model. Stat. Med. 2007, 26, 4860–4875. [Google Scholar] [CrossRef] [PubMed]
- Martin, N.K.; Gaffney, E.A.; Gatenby, R.A.; Maini, P.K. Tumour-stromal interactions in acid-mediated invasion: A mathematical model. J. Theor. Biol. 2010, 267, 461–470. [Google Scholar] [CrossRef]
- Barrow, J.C.; Lindsley, C.W. The importance of PK–PD. J. Med. Chem. 2023, 66, 4273–4274. [Google Scholar] [CrossRef]
- Sun, Y.-Q.; Sun, D.; Zhang, X.; Zhang, Y.-Q.; Lin, Y.-S. Radioiodine adjuvant therapy in differentiated thyroid cancer: An update and reconsideration. Front. Endocrinol. 2022, 13, 994288. [Google Scholar] [CrossRef]
- Delattre, M.; Lavielle, M. Maximum likelihood estimation in discrete mixed hidden Markov models using the SAEM algorithm. Comput. Stat. Data Anal. 2012, 56, 2073–2085. [Google Scholar] [CrossRef]
- Lavielle, M.; Mentré, F. Estimation of population pharmacokinetic parameters of saquinavir in HIV patients with the MONOLIX software. J. Pharmacokinet. Pharmacodyn. 2007, 34, 229–249. [Google Scholar] [CrossRef]
- Kwon, S.Y.; Kim, M.H.; Kong, E.; Chong, A.; Yoo, S.W.; Jeon, S.; Park, S.; Kim, D.; Kang, S.H.; Choi, J.E.; et al. Clinical impact of radioactive iodine dose selection based on the number of metastatic lymph nodes in patients with papillary thyroid carcinoma: A multicenter retrospective cohort study. Clin. Endocrinol. 2021, 95, 901–908. [Google Scholar] [CrossRef]
- Piña-Sánchez, P.; Chávez-González, A.; Ruiz-Tachiquín, M.; Vadillo, E.; Monroy-García, A.; Montesinos, J.J.; Grajales, R.; de la Barrera, M.G.; Mayani, H. Cancer biology, epidemiology, and treatment in the 21st century: Current status and future challenges from a biomedical perspective. Cancer Control 2021, 28, 10732748211038735. [Google Scholar] [CrossRef] [PubMed]
- Kovari, M. Effect of delay time on effectiveness of stable iodine prophylaxis after intake of radioiodine. J. Radiol. Prot. 1994, 14, 131. [Google Scholar] [CrossRef]
- Oh, H.S.; Kwon, H.; Song, E.; Jeon, M.J.; Kim, T.Y.; Lee, J.H.; Kim, W.B.; Shong, Y.K.; Chung, K.-W.; Baek, J.H.; et al. Tumor volume doubling time in active surveillance of papillary thyroid carcinoma. Thyroid 2019, 29, 642–649. [Google Scholar] [CrossRef] [PubMed]
- Vrndic, O.B.; Savin, S.B.; Mijatovic, L.C.; Djukic, A.A.; Jeftic, I.D.; Zivancevic Simonovic, S.T. Concentration of thyroglobulin and thyroglobulin-specific autoantibodies in patients with differentiated thyroid cancer after treatment with radioactive iodine 131. Lab. Med. 2011, 42, 27–31. [Google Scholar] [CrossRef]
- Hocevar, M.; Auersperg, M.; Stanovnik, L. The dynamics of serum thyroglobulin elimination from the body after thyroid surgery. Eur. J. Surg. Oncol. 1997, 23, 208–210. [Google Scholar] [CrossRef]
- Hamis, S.; Stratiev, S.; Powathil, G.G. Uncertainty and Sensitivity Analyses Methods for Agent-Based Mathematical Models: An Introductory Review. Phys. Cancer Res. Adv. 2020, 1, 1–37. [Google Scholar]
- Mu, Z.Z.; Zhang, X.; Lin, Y.-S. Identification of radioactive iodine refractory differentiated thyroid cancer. Chonnam Med J. 2019, 55, 127. [Google Scholar] [CrossRef]
- Saltelli, A.; Tarantola, S.; Campolongo, F.; Ratto, M. Sensitivity Analysis in Practice: A Guide to Assessing Scientific Models; John Wiley & Sons Ltd.: Chichester, UK, 2008. [Google Scholar]





| N0 | a | ρ | Td | λ | ke | |
|---|---|---|---|---|---|---|
| Mean | 1.12 × 109 | 0.0169 | 0.00407 | 55.23 | 3.86 × 10−9 | 0.319 |
| Std | 7.87 | <10−17 | <10−18 | 27.65 | <10−6 | 0.379 |
| Parameters | S1 (Responders) | ST (Responders) | S1 (Non-Responders) | ST (Non-Responders) |
|---|---|---|---|---|
| N0 | 0.36 | 0.53 | 0.25 | 0.38 |
| ρ | 0.44 | 0.61 | 0.12 | 0.24 |
| ke | 0.11 | 0.22 | 0.29 | 0.45 |
| λ | 0.07 | 0.17 | 0.11 | 0.21 |
| a | 0.02 | 0.08 | 0.06 | 0.15 |
| A0 | 0.01 | 0.05 | 0.05 | 0.10 |
Disclaimer/Publisher’s Note: The statements, opinions and data contained in all publications are solely those of the individual author(s) and contributor(s) and not of MDPI and/or the editor(s). MDPI and/or the editor(s) disclaim responsibility for any injury to people or property resulting from any ideas, methods, instructions or products referred to in the content. |
© 2025 by the authors. Licensee MDPI, Basel, Switzerland. This article is an open access article distributed under the terms and conditions of the Creative Commons Attribution (CC BY) license (https://creativecommons.org/licenses/by/4.0/).
Share and Cite
Giuntini, M.F.; Voyant, C.; Taieb, D.; Barbolosi, D. A Mechanistic Dynamic Surrogate Framework for Personalized Radioactive Iodine Therapy in Metastatic Thyroid Cancer. Precis. Oncol. 2026, 1, 2. https://doi.org/10.3390/precisoncol1010002
Giuntini MF, Voyant C, Taieb D, Barbolosi D. A Mechanistic Dynamic Surrogate Framework for Personalized Radioactive Iodine Therapy in Metastatic Thyroid Cancer. Precision Oncology. 2026; 1(1):2. https://doi.org/10.3390/precisoncol1010002
Chicago/Turabian StyleGiuntini, Marie Fusella, Cyril Voyant, David Taieb, and Dominique Barbolosi. 2026. "A Mechanistic Dynamic Surrogate Framework for Personalized Radioactive Iodine Therapy in Metastatic Thyroid Cancer" Precision Oncology 1, no. 1: 2. https://doi.org/10.3390/precisoncol1010002
APA StyleGiuntini, M. F., Voyant, C., Taieb, D., & Barbolosi, D. (2026). A Mechanistic Dynamic Surrogate Framework for Personalized Radioactive Iodine Therapy in Metastatic Thyroid Cancer. Precision Oncology, 1(1), 2. https://doi.org/10.3390/precisoncol1010002

