Due to scheduled maintenance work on our servers, there may be short service disruptions on this website between 11:00 and 12:00 CEST on March 28th.
Sign in to use this feature.

Years

Between: -

Subjects

remove_circle_outline
remove_circle_outline
remove_circle_outline
remove_circle_outline
remove_circle_outline
remove_circle_outline
remove_circle_outline
remove_circle_outline

Journals

Article Types

Countries / Regions

remove_circle_outline
remove_circle_outline
remove_circle_outline
remove_circle_outline

Search Results (297)

Search Parameters:
Keywords = interlaminar strength

Order results
Result details
Results per page
Select all
Export citation of selected articles as:
14 pages, 4142 KB  
Article
Influence of Stitch Density on Tensile Properties of Polyethylene-Stitched Composite Laminates
by Manuel Alejandro Lira-Martínez, Marianggy Gomez-Avila, Abraham Leonel López-León and Luis Daimir López-León
Appl. Sci. 2026, 16(6), 2953; https://doi.org/10.3390/app16062953 - 19 Mar 2026
Viewed by 140
Abstract
Delamination in laminated composites originates from premature matrix cracking within the interlaminar region, ultimately leading to ply separation under indirect loading. Among the techniques proposed to mitigate this failure mode, through-thickness stitching has emerged as a localized reinforcement strategy capable of enhancing interlaminar [...] Read more.
Delamination in laminated composites originates from premature matrix cracking within the interlaminar region, ultimately leading to ply separation under indirect loading. Among the techniques proposed to mitigate this failure mode, through-thickness stitching has emerged as a localized reinforcement strategy capable of enhancing interlaminar performance without modifying the in-plane laminate architecture. However, previous studies report that stitching can either improve or degrade the mechanical properties of the composite, with stitch density identified as a critical variable. This work aims to keep the tensile strength of a stitched composite at levels comparable to its unstitched counterpart. The reinforcement was applied using an eight-strand polyethylene thread (0.28 mm in diameter) embedded in a low-viscosity epoxy infusion system (MAX 1618 A/B) combined with a 90° biaxial fiberglass woven fabric. The tensile behavior of laminates was examined for three longitudinal stitching configurations consisting of 2, 3, and 5 continuous stitch lines. Results show that increasing stitch count produces a progressive reduction in tensile strength, attributed to stress concentration around stitch sites and microstructural effects such as resin-rich zones and fiber waviness. Full article
Show Figures

Figure 1

22 pages, 4646 KB  
Article
Design of Metal Leading Edge Cap Joint on Thin Wall Composite Fan Blade in Aircraft Engine
by Nidhi Yadav, Prakash Jadhav and Chhaya Lande
J. Compos. Sci. 2026, 10(3), 166; https://doi.org/10.3390/jcs10030166 - 18 Mar 2026
Viewed by 214
Abstract
Thin wall composite fan blades in aircraft engines demand designs that ensure structural integrity under operational loads while resisting foreign object damage and bird strikes. This study presents a finite element investigation of thin wall composite blades with metal leading edge caps, modeled [...] Read more.
Thin wall composite fan blades in aircraft engines demand designs that ensure structural integrity under operational loads while resisting foreign object damage and bird strikes. This study presents a finite element investigation of thin wall composite blades with metal leading edge caps, modeled through parametric coupon analyses under static flexure loading using ANSYS APDL. Three metallic leading edge caps, Ti-6Al-4V, Inconel 718, and 15-5 PH stainless steel, were combined with IM7/8551-7 carbon fiber composites. Parametric variations included changes in metal cap material, geometric designs of the joint, and other things. Performance was evaluated in terms of failure stress, interlaminar shear strains, interface integrity, and failure margins. Results reveal that cap design and cap material critically govern structural response, with distinct interchanges between strength-to-weight efficiency, interface stresses, and interlaminar shear strain. Optimal designs reduced interlaminar shear strain levels in thin wall composite blades, while retaining adequate stiffness and strength. The results underscore the importance of interface design for effective load transfer and provide design guidelines for lightweight, damage-tolerant thin wall composite fan blade structures. Full article
(This article belongs to the Section Composites Modelling and Characterization)
Show Figures

Figure 1

31 pages, 13978 KB  
Article
Hygrothermal Ageing of Glass and Carbon Fibre Composites Manufactured Using Different Resin Systems
by Zaneta Senselova, Allan Manalo, Abdullah Iftikhar, Omar Alajarmeh, Saya Ramakrishnan, Hiroki Sakuraba, Kate Nguyen and Brahim Benmokrane
Polymers 2026, 18(6), 696; https://doi.org/10.3390/polym18060696 - 12 Mar 2026
Viewed by 419
Abstract
This study investigates the degradation mechanisms of glass-fibre- and carbon-fibre-reinforced polymer (GFRP and CFRP, respectively) composites fabricated either with epoxy, vinyl-ester, or bio-epoxy resins under a hygrothermal environment. Composite laminates were manufactured using the vacuum-assisted resin infusion technique and exposed to high moisture [...] Read more.
This study investigates the degradation mechanisms of glass-fibre- and carbon-fibre-reinforced polymer (GFRP and CFRP, respectively) composites fabricated either with epoxy, vinyl-ester, or bio-epoxy resins under a hygrothermal environment. Composite laminates were manufactured using the vacuum-assisted resin infusion technique and exposed to high moisture and elevated in-service temperatures of 23 °C (room temperature), 40 °C and 60 °C for up to 125 days. Changes in the physical, microstructural, chemical and mechanical properties were then assessed. CFRP and GFRP composites showed distinct differences in their hygrothermal ageing depending on the resin system used in the manufacturing. CFRP composites consistently demonstrated higher stability than GFRP composites. Epoxy resin exhibited high resistance to water absorption and hydrolysis under hygrothermal exposure. After 125 days at 60 °C, glass/epoxy (GE) and carbon/epoxy (CE) composites retained 79.0% and 72.1% of their tensile strength and 46.9% and 72.6% of their interlaminar shear strength (ILSS), respectively. Vinyl-ester composites showed high mechanical retention, with glass/vinyl-ester (GV) and carbon/vinyl-ester (CV) retaining 70.8% and 83.1% of tensile strength and 67.5% and 80.3% of ILSS, respectively. Despite this mechanical stability, evidence of hydrolysis indicated ongoing chemical degradation of the vinyl-ester resin under prolonged hygrothermal exposure. In contrast, bio-epoxy composites exhibited relatively low overall durability. Glass/bio-epoxy (GB) retained 126.5% tensile strength and 68.8% ILSS, whereas carbon/bio-epoxy retained 61.0% tensile strength and 44.3% ILSS after 125 days at 60 °C. Overall, fibre and resin types were found to have a significant effect on the hygrothermal ageing of polymer composites. Full article
(This article belongs to the Special Issue Degradation Mechanisms of Polymer Composites Under Extreme Weather)
Show Figures

Figure 1

27 pages, 12850 KB  
Article
Multi-Objective Optimization of the Dry Towpreg Filament Winding Process for Carbon/Epoxy Type IV Hydrogen Storage Vessels
by Ruiqi Li, Kaidong Zheng, Xiaoyu Yan, Haonan Liu, Yu Zhang, Guangming Huo, Haixiao Hu, Dongfeng Cao, Hao Li, Hongda Chen and Shuxin Li
Polymers 2026, 18(5), 639; https://doi.org/10.3390/polym18050639 - 5 Mar 2026
Viewed by 396
Abstract
Hydrogen storage vessels are critical components in hydrogen energy systems, and improving their manufacturing efficiency and structural performance is essential for next-generation Type IV vessel designs. Compared with conventional wet filament winding, towpreg dry filament winding offers higher efficiency, reduced environmental impact, and [...] Read more.
Hydrogen storage vessels are critical components in hydrogen energy systems, and improving their manufacturing efficiency and structural performance is essential for next-generation Type IV vessel designs. Compared with conventional wet filament winding, towpreg dry filament winding offers higher efficiency, reduced environmental impact, and better adaptability to complex structures. In this study, key process parameters, including winding tension, heating temperature, and winding speed were systematically optimized using the tensile strength and interlaminar shear strength of NOL ring specimens as evaluation metrics. A response surface methodology (RSM) regression model was established to correlate process variables with mechanical properties, followed by multi-objective optimization using the non-dominated sorting genetic algorithm II (NSGA-II) and final parameter selection through the Technique for Order Preference by Similarity to Ideal Solution (TOPSIS) method. The results indicate that shear strength is primarily affected by heating temperature, whereas tensile strength is mainly governed by winding tension. The optimal parameter combination (79 N, 360 °C, and 11 m/min) yielded tensile and shear strengths of 2462.2 MPa and 64.4 MPa, respectively, with prediction errors below 0.5%. A 9 L Type IV hydrogen storage vessel manufactured under these conditions showed approximately 15.4% lower mass and about 17% higher gravimetric hydrogen storage efficiency than a comparable wet wound vessel. Full article
Show Figures

Graphical abstract

38 pages, 4102 KB  
Review
Carbon Fiber-Reinforced Polymer Matrix Composites: Processing, Properties, and Applications
by Matthew Davidson, Ryan Graunke, Aidan Green, Hayden Haelsig, Laura Heinemann, Subin Antony Jose and Pradeep L. Menezes
Fibers 2026, 14(3), 29; https://doi.org/10.3390/fib14030029 - 25 Feb 2026
Viewed by 849
Abstract
Carbon Fiber-Reinforced Polymer (CFRP) composites represent a transformative class of structural materials, combining low density, high specific strength, and excellent fatigue resistance. This review provides a comprehensive overview of CFRPs, addressing their structure, manufacturing routes, mechanical performance, and functional behavior, with particular emphasis [...] Read more.
Carbon Fiber-Reinforced Polymer (CFRP) composites represent a transformative class of structural materials, combining low density, high specific strength, and excellent fatigue resistance. This review provides a comprehensive overview of CFRPs, addressing their structure, manufacturing routes, mechanical performance, and functional behavior, with particular emphasis on damage tolerance, tribological properties, and environmental durability. The discussion begins with the classification and morphology of carbon fibers, highlighting their influence on composite anisotropy and interlaminar behavior. The effects of impact loading, delamination, and environmental conditioning on residual strength and fatigue life are then examined, with reference to established evaluation methods such as ASTM D7136 and compression-after-impact (CAI) testing. From a tribological perspective, the incorporation of nanoscale additives, such as graphite nanoplatelets and TiO2 nanoparticles, and their contribution to enhancing wear resistance by promoting the formation of stable tribofilms, is explored. Advances in processing techniques, including low-pressure curing and improved resin systems, are also discussed for their roles in enhancing manufacturability and energy efficiency. Overall, the review underscores that optimal CFRP performance is achieved through the synergistic integration of fiber architecture, matrix design, and precise processing control, while future progress in nanomodification, recycling, and sustainable curing technologies is expected to further expand CFRP applications in the aerospace, automotive, and high-performance engineering sectors. Full article
Show Figures

Figure 1

16 pages, 9109 KB  
Article
Increased Interlaminar Fracture Toughening Through Distinct Fiber Bridging Effect of rCF Staple Fiber Yarn Composite
by Christian Becker, Joachim Hausmann and Nicole Motsch-Eichmann
J. Compos. Sci. 2026, 10(2), 112; https://doi.org/10.3390/jcs10020112 - 21 Feb 2026
Viewed by 311
Abstract
This study investigates the influence of fiber bridging on the interlaminar strength of carbon fiber-reinforced polymer (CFRP) made from recycled carbon staple fiber yarn (rCF), compared to CFRP made from new fibers (vCF). Double-cantilever beam (DCB) tests measure the resistance of both materials [...] Read more.
This study investigates the influence of fiber bridging on the interlaminar strength of carbon fiber-reinforced polymer (CFRP) made from recycled carbon staple fiber yarn (rCF), compared to CFRP made from new fibers (vCF). Double-cantilever beam (DCB) tests measure the resistance of both materials against crack formation and the corresponding energy release rate (ERR). Several microscopic tools (SEM, CT) were then used to analyze the fracture surfaces and characterize the underlying failure mechanisms of the fiber bridges. The resulting ERR of rCFRP is four times (2140 J/m2 compared to 587 J/m2) higher than that of vCFRP. SEM images of the fracture surface reveal that the fracture mechanism is fiber debonding followed by fiber pull-out with constant friction. This finding is confirmed by calculating the fiber bridging stress using the mathematical formulation of this effect resulting in a fiber bridge tension of approximately 70 N/mm2. The main reason for the increased ERR of rCFRP compared to vCFRP is the extensive occurrence of fiber bridges in rCFRP due to the inhomogeneity of the rCF roving. This results in a pronounced nesting effect between adjacent rCF layers. The influence of the nesting effect on the ERR was investigated by testing samples with an increased layer orientation difference of 3° and 5°. This results in an ERR decrease of 26% in rCF and 30% in vCF. The nesting effect can be eliminated in vCFRP, but in rCFRP higher layer orientation, nesting is still visible. This finding suggests that the coarse, inhomogeneous structure of the rCFRP roving causes nesting regardless of the layer orientation and leads to a pronounced tendency to form fiber bridges. Full article
(This article belongs to the Special Issue Research on Recycling Methods or Reuse of Composite Materials)
Show Figures

Figure 1

23 pages, 3679 KB  
Article
Response Surface Optimization of Matched-Die Consolidation for BMI-Based CFRP Prepreg Laminates Toward Stiffened-Shell Manufacturing
by Bo Yu, Yinghao Dan, Haiyang Sun, Yu Kang, Bowen Zhang, Yuning Chen, Ziqiao Wang and Jiuqing Liu
Polymers 2026, 18(4), 483; https://doi.org/10.3390/polym18040483 - 14 Feb 2026
Viewed by 361
Abstract
Hypersonic vehicles impose stringent requirements on lightweight structures to maintain mechanical integrity under extreme thermal environments. Bismaleimide (BMI)-based carbon fiber-reinforced polymer (CFRP) composites, featuring a high glass transition temperature and excellent thermal stability, are regarded as promising candidates for such applications. However, the [...] Read more.
Hypersonic vehicles impose stringent requirements on lightweight structures to maintain mechanical integrity under extreme thermal environments. Bismaleimide (BMI)-based carbon fiber-reinforced polymer (CFRP) composites, featuring a high glass transition temperature and excellent thermal stability, are regarded as promising candidates for such applications. However, the high curing temperature and narrow processing window of BMI resins make it challenging to manufacture stiffened-shell structures with low defect levels and high fiber volume fractions. In this study, an integrated manufacturing route—hot-melt prepregging–filament winding–matched-metal mold forming—is proposed, and the key processing parameters are optimized via single-factor experiments and the Box–Behnken response surface methodology. The tensile strength of the laminate is selected as the response variable to evaluate the effects of the compression displacement (A), thermal consolidation/bonding temperature (B), heating rate (C), and cooling rate (D). The results reveal a unimodal dependence of the tensile strength on each parameter, with the significance ranking B > D > A > C; moreover, the A–B and A–D interactions are significant (p < 0.01). The established quadratic regression model exhibits good agreement with experimental data (R2 = 0.974; R2_adj = 0.949). The predicted optimum conditions are A = 0.07 mm, B = 114.93 °C, C = 1.35 °C·min−1, and D = 4.58 °C·min−1, corresponding to a predicted tensile strength of approximately 2287 MPa. Validation experiments yielded 2291 MPa, in excellent agreement with the prediction. Microstructural observations indicate tight interlaminar bonding and a pronounced reduction in voids under the optimized conditions. Applying the optimized process to fabricate stiffened-shell demonstrators achieves a fiber volume fraction of >60% and a void content of <1%. This work provides a quantitatively defined processing window and parameter optimization basis for the high-quality manufacturing of BMI-CFRP stiffened-shell structures, with significant engineering relevance. Full article
(This article belongs to the Section Polymer Processing and Engineering)
Show Figures

Graphical abstract

42 pages, 7747 KB  
Review
Drilling Defects and Process Optimization in Carbon Fiber-Reinforced Polymer Composites: A Review
by Kaiwei Wang, Shujing Wu, Jiaran Wang and Lichao Huo
Coatings 2026, 16(2), 204; https://doi.org/10.3390/coatings16020204 - 5 Feb 2026
Viewed by 722
Abstract
Carbon fiber-reinforced polymer (CFRP) is favored as the primary material for thin-walled components in fields such as aerospace due to its excellent properties, including light weight, high specific strength, high specific stiffness, and ease of integrated manufacturing. These thin-walled parts require assembly and [...] Read more.
Carbon fiber-reinforced polymer (CFRP) is favored as the primary material for thin-walled components in fields such as aerospace due to its excellent properties, including light weight, high specific strength, high specific stiffness, and ease of integrated manufacturing. These thin-walled parts require assembly and connection with other components using rivets or bolts, necessitating the drilling of a large number of holes in CFRP. However, owing to its macroscopic heterogeneity, anisotropy, and low interlaminar bonding strength, CFRP is prone to defects during drilling, such as delamination, burrs, tearing, fiber pull-out, and surface voids. These defects can significantly compromise the connection quality and fatigue life of the components and may even lead to part rejection. To avoid drilling defects and achieve high-quality machining of CFRP, it is essential to fundamentally understand the intrinsic relationship between its material characteristics, such as anisotropy and interlaminar properties, and machining-induced damage. This paper systematically reviews the primary defects in CFRP drilling and their formation mechanisms, identifying drilling forces, drilling heat, and tool wear as the core contributing factors. Based on this analysis, various process optimization methods from different perspectives are proposed to mitigate these drilling defects and improve surface quality, including the optimization of cutting parameters, tool improvement, enhancement of the drilling environment, optimization of drilling process strategies, and the application of advanced drilling technologies. Finally, the paper summarizes the research on CFRP drilling and provides an outlook on future developments. Full article
(This article belongs to the Section Surface Characterization, Deposition and Modification)
Show Figures

Figure 1

21 pages, 5114 KB  
Article
Preparation of Phenolic Aerogel/Quartz Fiber Composites Modified with POSS: Low Density, High Strength and Thermal Insulation
by Xiang Zhao, Dayong Li, Meng Shao, Guang Yu, Wenjie Yuan, Junling Liu, Xin Ren, Jianshun Feng, Qiubing Yu, Zhenyu Liu, Guoqiang Kong and Xiuchen Fan
Polymers 2026, 18(3), 387; https://doi.org/10.3390/polym18030387 - 31 Jan 2026
Viewed by 589
Abstract
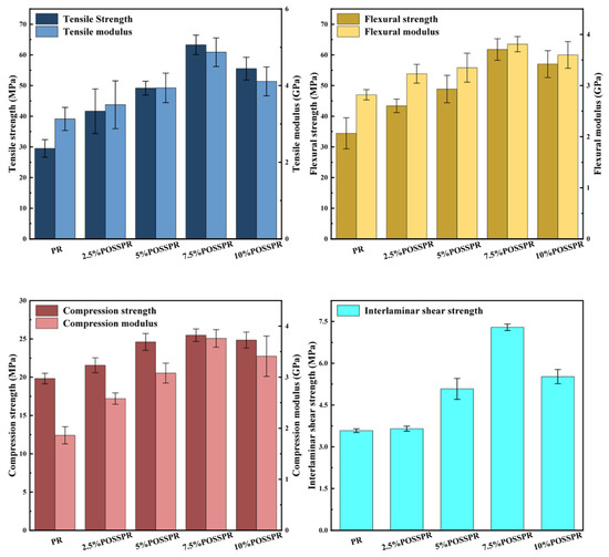
To meet the requirements of next-generation spacecraft thermal protection systems for lightweight materials with high strength, effective thermal insulation, and superior ablation resistance, a novel POSS-modified phenolic aerogel/quartz fiber composite (POSS-PR/QF) was developed using a thiol–ene click reaction combined with a sol–gel process. [...] Read more.
To meet the requirements of next-generation spacecraft thermal protection systems for lightweight materials with high strength, effective thermal insulation, and superior ablation resistance, a novel POSS-modified phenolic aerogel/quartz fiber composite (POSS-PR/QF) was developed using a thiol–ene click reaction combined with a sol–gel process. Covalent incorporation of polyhedral oligomeric silsesquioxanes (POSS) into the phenolic matrix effectively eliminates nanoparticle aggregation and improves interfacial compatibility. As a result, the modified resin is suitable for resin transfer molding (RTM) processes. The resulting composite exhibited an aerogel-like porous structure with enhanced crosslinking density, thermal stability, and oxidation resistance. At 7.5 wt% POSS loading, the composite achieved low density (~0.7 g·cm−3) and outstanding mechanical properties, with tensile, flexural, compressive, and interlaminar shear strengths increased by 114%, 79%, 29%, and 104%, respectively. Its thermal conductivity (0.0619 W/(m·K)) and ablation rates were also markedly reduced. Mechanistic studies revealed that POSS undergoes in situ ceramification to form SiO2 and SiC phases, which create a dense protective barrier. In addition, this ceramification process promotes char graphitization, thereby enhancing oxidation resistance and thermal insulation. This work provides a promising approach for designing lightweight, high-performance, and multifunctional thermal protection materials for aerospace applications. Full article
(This article belongs to the Section Polymer Composites and Nanocomposites)
Show Figures

Graphical abstract

22 pages, 82483 KB  
Article
Shear and Interface Properties for Unidirectional, Woven, and Hybrid M21 Particle-Toughened Composites
by Andrew Seamone, Anthony Waas and Vipul Ranatunga
Materials 2026, 19(3), 540; https://doi.org/10.3390/ma19030540 - 29 Jan 2026
Viewed by 419
Abstract
The M21 epoxy matrix is a toughened material designed to enhance the fracture resistance of carbon fiber-reinforced polymers (CFRPs). This study presents an experimental characterization of the shear and interlaminar properties required for validating computational damage models of hybrid laminated composite panels manufactured [...] Read more.
The M21 epoxy matrix is a toughened material designed to enhance the fracture resistance of carbon fiber-reinforced polymers (CFRPs). This study presents an experimental characterization of the shear and interlaminar properties required for validating computational damage models of hybrid laminated composite panels manufactured with the M21 material system. In-plane shear behavior was evaluated using ±45 (PM45) tests, while interlaminar fracture properties were characterized through double cantilever beam (DCB) and end-notched flexure (ENF) tests. The results demonstrate that hybrid laminates exhibit high interfacial fracture toughness, with notably increased resistance observed in woven–woven and unidirectional–woven interface pairs. Parametric studies identified cohesive strength and fracture energy as the dominant parameters governing delamination behavior in numerical simulations. Corresponding values were extracted for each interface type, enabling accurate representation of damage initiation and propagation in finite element models. To the authors’ knowledge, this work provides the first experimental dataset for the listed M21-based hybrid unidirectional–woven and woven–woven interfaces, establishing a benchmark for future modeling and simulation of toughened composite structures. Full article
(This article belongs to the Topic Advanced Composite Materials)
Show Figures

Graphical abstract

52 pages, 1927 KB  
Review
Effect of Elevated Temperature Thermal Aging/Exposure on Shear Response of FRP Composites: A Topical Review
by Rabina Acharya and Vistasp M. Karbhari
Polymers 2026, 18(3), 354; https://doi.org/10.3390/polym18030354 - 28 Jan 2026
Viewed by 838
Abstract
Fiber-reinforced polymer (FRP) composites are increasingly used in civil, marine, offshore, and energy infrastructure, where components routinely experience temperatures above ambient conditions. While the design of these components is largely driven by fiber-dominated characteristics, the deterioration of shear properties can lead to premature [...] Read more.
Fiber-reinforced polymer (FRP) composites are increasingly used in civil, marine, offshore, and energy infrastructure, where components routinely experience temperatures above ambient conditions. While the design of these components is largely driven by fiber-dominated characteristics, the deterioration of shear properties can lead to premature weakening and even failure. Thus, the performance and reliability of these systems depend intrinsically on the response of interlaminar shear characteristics, in-plane shear characteristics, and flexure-based shear characteristics to thermal loads ranging from uniform and monotonically increasing to cyclic and spike exposures. This paper presents a critical review of current knowledge of shear response in the presence of thermal exposure, with emphasis on temperature regimes that are below Tg in the vicinity of Tg and approaching Td. Results show that thermal exposures cause matrix softening and microcracking, interphase degradation, and thermally induced residual stress redistribution that significantly reduces shear-based performance. Cyclic and short-duration spike/flash exposures result in accelerated damage through thermal fatigue; steep thermal gradients, including through the thickness; and localized interfacial failure loading to the onset of delamination or interlayer separation. Aspects such as layup/ply orientation, fiber volume fraction, degree of cure, and the availability and permeation of oxygen through the thickness can have significant effects. The review identifies key contradictions and ambiguities, pinpoints and prioritizes areas of critically needed research, and emphasizes the need for the development of true mechanistic models capable of predicting changes in shear performance characteristics over a range of thermal loading regimes. Full article
(This article belongs to the Special Issue Advanced Polymer Composites and Foams)
Show Figures

Graphical abstract

14 pages, 4282 KB  
Article
Enhancing Plant Fibre-Reinforced Polymer Composites for Biomedical Applications Using Atmospheric Pressure Plasma Treatment
by Cho-Sin Nicole Chan, Wing-Yu Chan, Sun-Pui Ng, Chi-Wai Kan, Wang-Kin Chiu and Cheuk-Him Ng
Materials 2026, 19(3), 504; https://doi.org/10.3390/ma19030504 - 27 Jan 2026
Viewed by 498
Abstract
This research investigates the effects of corona plasma treatment on the mechanical properties of jute/epoxy-reinforced composites, particularly within biomedical application contexts. Plant Fibre Composites (PFCs) are attractive for medical devices and scaffolds due to their environmental friendliness, renewability, cost-effectiveness, low density, and high [...] Read more.
This research investigates the effects of corona plasma treatment on the mechanical properties of jute/epoxy-reinforced composites, particularly within biomedical application contexts. Plant Fibre Composites (PFCs) are attractive for medical devices and scaffolds due to their environmental friendliness, renewability, cost-effectiveness, low density, and high specific strength. However, their applications are often constrained by inferior mechanical performance arising from poor bonding between the plant fibre used as the reinforcement and the synthetic resin or polymer serving as the matrix. This study addresses the challenge of improving the weak interfacial bonding between plant fibre and synthetic resin in a 2/2 twill-weave-woven jute/epoxy composite material. The surface of the jute fibre is modified for better adhesion with the epoxy resin through plasma treatment, which exposes the jute fibre to controlled plasma energy and utilises dry air (plasma only), argon (Ar) (argon gas with plasma), and nitrogen (N2) (nitrogen gas with plasma) at two different distances (25 mm and 35 mm) between the plasma nozzle and the fibre surface. In this context, “equilibrium” refers to the optimal combination of plasma power, treatment distance, and gas environment that collectively determines the degree of fibre surface modification. The results indicate that all plasma treatments improve the interlaminar shear strength in comparison to untreated samples, with treatments at 35 mm using N2 gas showing a 35.4% increase in shear strength. Conversely, plasma treatment using dry air at 25 mm yields an 18.3% increase in tensile strength and a 35.7% increase in Young’s modulus. These findings highlight the importance of achieving an appropriate equilibrium among plasma intensity, treatment distance, and fibre–plasma interaction conditions to maximise the effectiveness of plasma treatment for jute/epoxy composites. This research advances sustainable innovation in biomedical materials, underscoring the potential for improved mechanical properties in environmentally friendly fibre-reinforced composites. Full article
(This article belongs to the Topic Advanced Composite Materials)
Show Figures

Graphical abstract

22 pages, 17713 KB  
Article
Compressive Failure Mechanisms of NCF Laminates with Double-Hole Defects
by Songming Cai, Shi Yan, Lili Jiang, Zixiang Meng and Yongxin Niu
Materials 2026, 19(3), 495; https://doi.org/10.3390/ma19030495 - 26 Jan 2026
Viewed by 395
Abstract
Open-hole compression (OHC) tests were carried out on non-crimp fabric (NCF) laminates with varied open-hole orientation (angle to the loading direction) and inter-hole spacing. Failure modes were documented by scanning electron microscopy (SEM), and the compressive strength was quantified. Finite element simulations in [...] Read more.
Open-hole compression (OHC) tests were carried out on non-crimp fabric (NCF) laminates with varied open-hole orientation (angle to the loading direction) and inter-hole spacing. Failure modes were documented by scanning electron microscopy (SEM), and the compressive strength was quantified. Finite element simulations in Abaqus were developed to replicate the tests, establishing a progressive-damage model for open-hole laminates under compression. Intralaminar failure was described using the three-dimensional Hashin failure criterion and a modified matrix compression criterion incorporating shear coupling effects, while interlaminar delamination was modeled with cohesive elements, enabling the simulation of damage initiation, growth, delamination, and final collapse. The results show that hole orientation and spacing have a pronounced effect on open-hole compression (OHC) strength. A spacing threshold is observed, beyond which further increases in spacing provide little additional benefit. In contrast, the apparent elastic stiffness is essentially insensitive to hole spacing and orientation. The combined intralaminar and interlaminar model successfully reproduces the characteristic mechanical response—linear elasticity followed by catastrophic failure—in good agreement with the experiments. Full article
(This article belongs to the Special Issue Multiscale Mechanical Behaviors of Advanced Materials and Structures)
Show Figures

Graphical abstract

15 pages, 13801 KB  
Article
Multiscale Interlaminar Enhancement of CNT Network/CF Hybrid Composites and In Situ Monitoring of Crack Propagation Behavior
by Tianshu Li, Fenghui Shi, Hongchen Yan, Min Li, Shaokai Wang, Yizhuo Gu and Baoyan Zhang
Polymers 2026, 18(2), 293; https://doi.org/10.3390/polym18020293 - 21 Jan 2026
Viewed by 308
Abstract
It has long been desired to achieve mechanical enhancement and structural health monitoring by introducing carbon nanotubes (CNTs) into traditional carbon fiber (CF) composites. Herein, the initiation of micro-damage and crack propagation has been investigated by utilizing in situ electrical resistance changes in [...] Read more.
It has long been desired to achieve mechanical enhancement and structural health monitoring by introducing carbon nanotubes (CNTs) into traditional carbon fiber (CF) composites. Herein, the initiation of micro-damage and crack propagation has been investigated by utilizing in situ electrical resistance changes in interlaminar hybrid CNT network/CF composites during the shear loading process. The results show a clear relationship between the crack propagation and the electrical resistance response particularly when approaching the failure of the single-layer CNT network hybrid composites. Furthermore, the chemically modified CNT network exhibits evident enhancement on main mechanical properties of the CF composites, superior to the thermoplastic toughening method. The characterizations manifest that the multiscale interlayered CNT/CF structure can simultaneously resist the crack propagation along both the in-plane direction and the cross-plane direction, which consequently enhances the flexural and compressive strengths of the composite material. This discovery provides a novel idea for the potential application of CNT network/CF hybrid composites in the integration of mechanical reinforcement and structural health monitoring, namely, that the CNT network acts not only as a reinforcing phase but also as a sensor for the structural health monitoring of the composites. Full article
(This article belongs to the Section Polymer Composites and Nanocomposites)
Show Figures

Graphical abstract

20 pages, 3786 KB  
Article
Mechanical Behavior of CFRP Laminates Manufactured from Plasma-Assisted Solvolysis Recycled Carbon Fibers
by Ilektra Tourkantoni, Konstantinos Tserpes, Dimitrios Marinis, Ergina Farsari, Eleftherios Amanatides, Nikolaos Koutroumanis and Panagiotis Nektarios Pappas
J. Compos. Sci. 2026, 10(1), 49; https://doi.org/10.3390/jcs10010049 - 14 Jan 2026
Viewed by 465
Abstract
The mechanical behavior of carbon-fiber-reinforced polymer (CFRP) laminates manufactured using plasma-assisted solvolysis recycled fibers was evaluated experimentally through a comprehensive mechanical testing campaign. The plasma-assisted solvolysis parameters were selected based on an earlier sensitivity analysis. Prepregs made from both virgin and recycled carbon [...] Read more.
The mechanical behavior of carbon-fiber-reinforced polymer (CFRP) laminates manufactured using plasma-assisted solvolysis recycled fibers was evaluated experimentally through a comprehensive mechanical testing campaign. The plasma-assisted solvolysis parameters were selected based on an earlier sensitivity analysis. Prepregs made from both virgin and recycled carbon fibers were fabricated via a hand lay-up process and manually stacked to produce unidirectional laminates. Longitudinal tension tests, longitudinal compression tests, and interlaminar shear strength (ILSS) tests were performed to assess the fundamental mechanical response of the recycled laminates and quantify the retention of mechanical properties relative to the virgin-reference material. Prior to mechanical testing, all laminates underwent ultrasonic C-scan inspection to assess manufacturing quality. While both laminate types exhibited generally satisfactory quality, the recycled-fiber laminates showed a higher density of defects. The recycled laminates preserved around 80% of their original tensile strength and maintained an essentially unchanged elastic modulus. Compressive strength was more susceptible to imperfections introduced during remanufacturing, with the recycled laminates exhibiting roughly a 14% decrease compared with the virgin material. On the contrary, the compressive modulus was largely retained. The most substantial reduction occurred in ILSS, which dropped by 58%. Overall, the results demonstrate that plasma-assisted solvolysis enables the recovery of carbon fibers suitable for remanufacturing CFRP laminates, while the observed reduction in mechanical properties of recycled CFRPs is mainly attributed to defects in manufacturing quality rather than to intrinsic degradation of the recycled carbon fibers. Full article
(This article belongs to the Section Composites Manufacturing and Processing)
Show Figures

Figure 1

Back to TopTop