Sign in to use this feature.

Years

Between: -

Subjects

remove_circle_outline
remove_circle_outline
remove_circle_outline
remove_circle_outline
remove_circle_outline
remove_circle_outline
remove_circle_outline
remove_circle_outline
remove_circle_outline

Journals

remove_circle_outline
remove_circle_outline
remove_circle_outline
remove_circle_outline
remove_circle_outline
remove_circle_outline
remove_circle_outline

Article Types

Countries / Regions

remove_circle_outline
remove_circle_outline
remove_circle_outline
remove_circle_outline

Search Results (354)

Search Parameters:
Keywords = integral boundary value condition

Order results
Result details
Results per page
Select all
Export citation of selected articles as:
20 pages, 665 KB  
Article
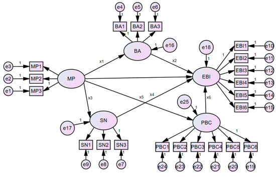
Institutional Signals in Marine Policy Shape Tourists’ Pro-Environmental Intentions: Asymmetric Psychological Pathways and a Behaviorally Informed Governance Framework
by Yuxiang Zheng, Beibei Li and Chenchen Cai
Sustainability 2026, 18(3), 1325; https://doi.org/10.3390/su18031325 - 28 Jan 2026
Abstract
Marine tourism embodies a sustainability paradox: high economic value coexists with ecological harm. Yet how macro-level policies shape pro-environmental intentions among transient, socially disembedded tourists remains unclear. Integrating institutional signaling theory with the Theory of Planned Behavior, we analyze survey data from 413 [...] Read more.
Marine tourism embodies a sustainability paradox: high economic value coexists with ecological harm. Yet how macro-level policies shape pro-environmental intentions among transient, socially disembedded tourists remains unclear. Integrating institutional signaling theory with the Theory of Planned Behavior, we analyze survey data from 413 coastal visitors in China. The results reveal an asymmetric mediation pattern: marine policy influences intention primarily through behavioral attitudes and, to a lesser extent, subjective norms, while perceived behavioral control, though a direct predictor, does not mediate this relationship. This highlights a key boundary condition of TPB in low-embeddedness contexts, where institutional signals substitute for absent social ties by activating cognitive pathways. Practically, we propose a tiered governance pathway—attitude-focused messaging at digital touchpoints, normative feedback at entry points, and visible on-site infrastructure—to translate policy into observable actions, advancing both theory and practice in sustainable marine tourism. Full article
(This article belongs to the Section Economic and Business Aspects of Sustainability)
Show Figures

Figure 1

38 pages, 1896 KB  
Article
Optimal Research on the Optimal Operation of Integrated Energy Systems Based on Cooperative Game Theory
by Menglin Zhang, Weiqing Wang and Sizhe Yan
Electronics 2026, 15(3), 564; https://doi.org/10.3390/electronics15030564 - 28 Jan 2026
Abstract
This paper proposes a method based on interval linear robust optimization to address the potential impacts of multiple uncertainties on the operational security of Regional Integrated Energy Systems (RIESs). The model considers the uncertainty in user loads and renewable energy outputs and determines [...] Read more.
This paper proposes a method based on interval linear robust optimization to address the potential impacts of multiple uncertainties on the operational security of Regional Integrated Energy Systems (RIESs). The model considers the uncertainty in user loads and renewable energy outputs and determines the value ranges of related parameters through statistical analysis to characterize the boundaries of these uncertainties. To transform the stochastic disturbances into a solvable problem, the model introduces energy balance constraints under the worst-case scenario, ensuring that the system remains feasible under extreme conditions. The research framework integrates Nash bargaining theory, demand response mechanisms, and tiered carbon trading policies, constructing a cooperative game model for RIESs to minimize the overall operation cost of the alliance while providing a reasonable revenue distribution scheme. This approach aims to achieve fairness and sustainability in regional cooperation. Simulation results show that the method can effectively reduce the collaborative operation cost and improve the fairness of revenue distribution. To address potential issues of information misreporting and dishonesty in real-world scenarios, the model introduces an adjustable fraud factor in the revenue distribution process to characterize the strategy deviations of participants. Even under potential fraud risks, the mechanism can maintain an optimal revenue structure and lead the participants toward a stable fraud equilibrium, thereby enhancing the robustness and reliability of the overall collaboration. Full article
22 pages, 1147 KB  
Article
Frictional Contact of Functionally Graded Piezoelectric Materials with Arbitrarily Varying Properties
by Xiuli Liu, Kaiwen Xiao, Changyao Zhang, Xinyu Zhou, Lingfeng Gao and Jing Liu
Mathematics 2026, 14(3), 450; https://doi.org/10.3390/math14030450 - 27 Jan 2026
Abstract
This study investigates the two-dimensional (2D) steady-state frictional contact behavior of functionally graded piezoelectric material (FGPM) coatings under a high-speed rigid cylindrical punch. An electromechanical coupled contact model considering inertial effects is established, while a layered model is employed to simulate arbitrarily varying [...] Read more.
This study investigates the two-dimensional (2D) steady-state frictional contact behavior of functionally graded piezoelectric material (FGPM) coatings under a high-speed rigid cylindrical punch. An electromechanical coupled contact model considering inertial effects is established, while a layered model is employed to simulate arbitrarily varying material parameters. Based on piezoelectric elasticity theory, the steady-state governing equations for the coupled system are derived. By utilizing the transfer matrix method and the Fourier integral transform, the boundary value problem is converted into a system of coupled Cauchy singular integral equations of the first and second kinds in the frequency domain. These equations are solved semi-analytically, using the least squares method combined with an iterative algorithm. Taking a power-law gradient distribution as a case study, the effects of the gradient index, relative sliding speed, and friction coefficient on the contact pressure, in-plane stress, and electric displacement are systematically analyzed. Furthermore, the contact responses of FGPM coatings with power-law, exponential, and sinusoidal gradient profiles are compared. The findings provide a theoretical foundation for the optimal design of FGPM coatings and for enhancing their operational reliability under high-speed service conditions. Full article
30 pages, 4724 KB  
Article
How Grid Decarbonization Reshapes Distribution Transformer Life-Cycle Impacts: A Forecasting-Based Life Cycle Assessment Framework for Hydro-Dominated Grids
by Sayed Preonto, Aninda Swarnaker, Ashraf Ali Khan, Hafiz Furqan Ahmed and Usman Ali Khan
Energies 2026, 19(3), 651; https://doi.org/10.3390/en19030651 - 27 Jan 2026
Abstract
Rising global electricity demand and the expansion of distribution networks require a critical assessment of component-level greenhouse gas contributions. Distribution transformers, although indispensable, have significant life-cycle carbon impacts due to the use of materials, manufacturing, and in-service losses. This study conducts a life-cycle [...] Read more.
Rising global electricity demand and the expansion of distribution networks require a critical assessment of component-level greenhouse gas contributions. Distribution transformers, although indispensable, have significant life-cycle carbon impacts due to the use of materials, manufacturing, and in-service losses. This study conducts a life-cycle assessment of a single-phase, 75 kVA oil-immersed distribution transformer manufactured in Newfoundland, one of the provinces with the cleanest, hydro-dominated grids in Canada, and evaluates it over a 40-year lifespan. Using a cradle-to-use boundary, the analysis quantifies embodied emissions from raw material extraction, manufacturing, and transportation, alongside operational emissions derived from empirically measured no-load and load losses. All the data are collected directly during the manufacturing process, ensuring high analytical fidelity. The energy efficiency of the transformer is analyzed in MATLAB version R2023b using measured no-load and load losses to generate efficiency, load characteristics under various operating conditions. Under varying load factor scenarios and based on Newfoundland’s 2025 grid intensity of 18 g CO2e/kWh, the lifetime operational emissions are estimated to range from 0.19 t CO2e under no-load operation to 4.4 t CO2e under full-load conditions. A linear regression-based decarbonization model using Microsoft Excel projects grid intensity to reach net-zero around 2037, two years beyond the provincial target, indicating that post-2037 transformer losses will remain energetically relevant but carbon-neutral. Sensitivity analysis reveals that temporary overloading can substantially elevate lifetime emissions, emphasizing the value of smart-grid-enabled load management and optimal transformer sizing. Comparative assessment with fossil fuel-intensive provinces across Canada demonstrates the dominant influence of grid generation mix on life-cycle emissions. Additionally, refurbishment scenarios indicate up to 50% reduction in cradle-to-gate emissions through material reuse and oil reclamation. The findings establish a scalable framework for integrating grid decarbonization trajectories, life-cycle carbon modelling, and circular-economy strategies into sustainable distribution network planning and transformer asset management. Full article
(This article belongs to the Special Issue Development and Efficient Utilization of Renewable and Clean Energy)
Show Figures

Figure 1

48 pages, 1973 KB  
Review
A Review on Reverse Engineering for Sustainable Metal Manufacturing: From 3D Scans to Simulation-Ready Models
by Elnaeem Abdalla, Simone Panfiglio, Mariasofia Parisi and Guido Di Bella
Appl. Sci. 2026, 16(3), 1229; https://doi.org/10.3390/app16031229 - 25 Jan 2026
Viewed by 129
Abstract
Reverse engineering (RE) has been increasingly adopted in metal manufacturing to digitize legacy parts, connect “as-is” geometry to mechanical performance, and enable agile repair and remanufacturing. This review consolidates scan-to-simulation workflows that transform 3D measurement data (optical/laser scanning and X-ray computed tomography) into [...] Read more.
Reverse engineering (RE) has been increasingly adopted in metal manufacturing to digitize legacy parts, connect “as-is” geometry to mechanical performance, and enable agile repair and remanufacturing. This review consolidates scan-to-simulation workflows that transform 3D measurement data (optical/laser scanning and X-ray computed tomography) into simulation-ready models for structural assessment and manufacturing decisions, with an explicit focus on sustainability. Key steps are reviewed, from acquisition planning and metrological error sources to point-cloud/mesh processing, CAD/feature reconstruction, and geometry preparation for finite-element analysis (watertightness, defeaturing, meshing strategies, and boundary condition transfer). Special attention is given to uncertainty quantification and the propagation of geometric deviations into stress, stiffness, and fatigue predictions, enabling robust accept/reject and repair/replace choices. Sustainability is addressed through a lightweight reporting framework covering material losses, energy use, rework, and lead time across the scan–model–simulate–manufacture chain, clarifying when digitalization reduces scrap and over-processing. Industrial use cases are discussed for high-value metal components (e.g., molds, turbine blades, and marine/energy parts) where scan-informed simulation supports faster and more reliable decision making. Open challenges are summarized, including benchmark datasets, standardized reporting, automation of feature recognition, and integration with repair process simulation (DED/WAAM) and life-cycle metrics. A checklist is proposed to improve reproducibility and comparability across RE studies. Full article
(This article belongs to the Section Mechanical Engineering)
Show Figures

Figure 1

22 pages, 3978 KB  
Article
A Computational Framework for FFR Estimation in Right Coronary Arteries: From CFD Simulation to Clinical Validation
by Francisco P. Oliveira, Maria Fernandes, Nuno Dias Ferreira, Diogo Santos-Ferreira, Saima Mushtaq, Gianluca Pontone, Ricardo Ladeiras-Lopes, Nuno Bettencourt, Luísa C. Sousa and Sónia I. S. Pinto
Mathematics 2026, 14(3), 395; https://doi.org/10.3390/math14030395 - 23 Jan 2026
Viewed by 83
Abstract
Coronary artery disease (CAD) remains the leading cause of cardiovascular mortality worldwide. Accurate and non-invasive quantification of coronary hemodynamics, namely in the right coronary artery (RCA), is essential for clinical decision-making but remains challenging due to the complex interaction among vessel geometry, pulsatile [...] Read more.
Coronary artery disease (CAD) remains the leading cause of cardiovascular mortality worldwide. Accurate and non-invasive quantification of coronary hemodynamics, namely in the right coronary artery (RCA), is essential for clinical decision-making but remains challenging due to the complex interaction among vessel geometry, pulsatile flow, and blood rheology. This study presents and validates a transparent computational framework for non-invasive fractional flow reserve (FFR) estimation using patient-specific RCA geometries reconstructed from coronary computed tomography angiography (CCTA) using SimVascular 27-03-2023. The proposed workflow integrates realistic boundary conditions through a Womersley velocity profile and a three-element Windkessel outlet model, coupled with a viscoelastic blood rheology formulation (sPTT) implemented via user-defined functions (UDFs). This work integrates all clinically relevant conditions of invasive FFR assessment into a single patient-specific computational framework, while delivering results within a time frame compatible with clinical practice, representing a meaningful methodological advance. The methodology was applied to seven patient-specific cases, and the resulting non-invasive FFR values were compared with both invasive wire-based measurements and commercial HeartFlow® outputs (Mountain View, CA, USA). Under hyperemic conditions, the computed FFR values showed strong agreement with invasive references, with a mean relative error of 8.4% ± 6.3%, showing diagnostic consistency similar to that of HeartFlow® (8.3% ± 8.1%) for the selected dataset. These findings demonstrate the ability of the proposed CFD-based pipeline to accurately replicate physiological coronary behavior under hyperemia. This novel workflow provides a fully on-site, open-source, reproducible, and cost-effective framework. Ultimately, this study advances the clinical applicability of non-invasive CFD tools for the functional assessment of CAD, particularly in the RCA. Full article
(This article belongs to the Special Issue Computational Fluid Dynamics with Applications)
Show Figures

Figure 1

23 pages, 365 KB  
Article
Research on the Mechanism Through Which Digital Platform Capability Drives Servitization Innovation Performance in Manufacturing
by Hongbo Jiao, Liming Cheng and Guanghui Li
Sustainability 2026, 18(2), 1003; https://doi.org/10.3390/su18021003 - 19 Jan 2026
Viewed by 119
Abstract
Against the backdrop of accelerating servitization transformation in the global manufacturing sector, how digital platform capability effectively drives improvements in innovation performance has become a critical issue. Existing research mainly focuses on the instrumental attributes of digital technologies, while relatively few studies examine [...] Read more.
Against the backdrop of accelerating servitization transformation in the global manufacturing sector, how digital platform capability effectively drives improvements in innovation performance has become a critical issue. Existing research mainly focuses on the instrumental attributes of digital technologies, while relatively few studies examine their strategic role in servitization transformation, particularly the systematic explanation of the “capability–behavior–context–performance” transmission mechanism. To address this gap, this study integrates dynamic capability theory and the opportunity window theory to construct a moderated mediation model that uncovers the internal mechanisms and boundary conditions through which digital platform capability influences servitization innovation performance. Based on survey data from 237 manufacturing firms in Guangdong Province, the empirical results indicate that: (1) digital platform capability and value co-creation both exert significant positive effects on servitization innovation performance; (2) value co-creation mediates the relationship between digital platform capability and servitization innovation performance; and (3) although organizational distance was theoretically expected to function as an important contextual variable, this study does not find evidence supporting its inverted U-shaped moderating effect, suggesting that its role in digital contexts may be more complex. This study not only extends the application of dynamic capability theory and opportunity window theory in servitization innovation settings but also provides managerial insights for manufacturing firms to optimize digital platform strategies and build more resilient and sustainable innovation systems. Full article
Show Figures

Figure 1

19 pages, 3070 KB  
Article
Evaluating the Feasibility of Emission-Aware Routing in Urban Bus Systems: A Case Study in Osnabrück
by Rebecca Kose, Sina-Marie Anker, Mathias Heiker and Sandra Rosenberger
Appl. Sci. 2026, 16(2), 822; https://doi.org/10.3390/app16020822 - 13 Jan 2026
Viewed by 247
Abstract
This study quantifies energy consumption and tank-to-wheel (TTW) emissions of urban buses under varying traffic conditions and passenger loads in Osnabrück, Germany, to support emission-aware route assessment in sustainable mobility applications. Exemplary bus trajectories were modeled on a representative 6.17 km route of [...] Read more.
This study quantifies energy consumption and tank-to-wheel (TTW) emissions of urban buses under varying traffic conditions and passenger loads in Osnabrück, Germany, to support emission-aware route assessment in sustainable mobility applications. Exemplary bus trajectories were modeled on a representative 6.17 km route of line M5 (18 m articulated bus; diesel and battery-electric) within a 22.31 km2 traffic net using the Simulation of Urban MObility (SUMO) software, and were calibrated with traffic sensor data. To assess the influence of trajectories in different traffic situations, three different 90 min scenarios were compared (morning peak, noon, night). Trajectory-based energy consumption and greenhouse gas emissions were compared by using the SUMO-implemented emission models HBEFA and PHEMlight, as well as data from the literature. Both diesel and electric buses showed variations in energy consumption depending on the traffic conditions, with generally lower energy consumption for electric propulsion. Temporal differences in the TTW emissions of the diesel bus were modest, with slightly higher morning values, while spatial analysis showed PM peaks in pedestrian zones, NOx peaks during acceleration phases, and CO2 increases after stops and in low-speed areas. The results provide spatially resolved TTW factors for integration into routing applications, excluding upstream and non-exhaust processes in line with the defined system boundary. Full article
(This article belongs to the Section Transportation and Future Mobility)
Show Figures

Figure 1

17 pages, 11545 KB  
Article
Green Islands in the City: Allotment Gardens as Urban Biofilters and Cooling Spaces in Warsaw, Poland
by Marta Melon, Tomasz Dzieduszyński, Piotr Sikorski, Beata J. Gawryszewska, Maciej Lasocki and Arkadiusz Przybysz
Sustainability 2026, 18(2), 650; https://doi.org/10.3390/su18020650 - 8 Jan 2026
Viewed by 205
Abstract
Family Allotment Gardens (FAGs) represent key components of urban cooling and air-purification systems. However, research has mainly focused on their social roles and on their contributions to food production. This study quantified the capacity of FAGs in Warsaw (Poland) to provide two key [...] Read more.
Family Allotment Gardens (FAGs) represent key components of urban cooling and air-purification systems. However, research has mainly focused on their social roles and on their contributions to food production. This study quantified the capacity of FAGs in Warsaw (Poland) to provide two key ecosystem services at distances up to 300 m from their boundaries: air-pollution filtration and microclimate regulation. Measurements of particulate matter (PM1, PM2.5, PM10), air temperature and relative humidity were conducted along transects inside and outside three allotment complexes in autumn 2023, a period characterised by increased traffic emissions and elevated particulate levels. The results show a moderate but significant reduction in PM concentrations inside gardens (by about 2 µg/m3; r = 0.22–0.29) and slightly higher humidity (by 2.1%; r = −0.34). The cooling effect was weak (<0.3 °C; r = 0.06), indicating a limited spatial range under autumn conditions, though selected transects exhibited stronger local effects. The results confirm that FAGs can contribute to air purification and local climate regulation, but their effectiveness depends on vegetation structure and urban context. Strengthening their role requires integration with green-infrastructure planning and emission-reduction practices within gardens. FAGs, beyond their recreational and productive value, should be recognised as active components of urban adaptation strategies. Full article
Show Figures

Graphical abstract

24 pages, 2567 KB  
Article
Theoretical Study on Pipeline Settlement Induced by Excavation of Ultra-Shallow Buried Pilot Tunnels Based on Stochastic Media and Elastic Foundation Beams
by Caijun Liu, Yang Yang, Pu Jiang, Xing Gao, Yupeng Shen and Peng Jing
Appl. Sci. 2026, 16(2), 590; https://doi.org/10.3390/app16020590 - 6 Jan 2026
Viewed by 156
Abstract
Excavation of ultra-shallow pilot tunnels triggers surface settlement and endangers surrounding pipelines. The discontinuous settlement curve from traditional stochastic medium theory cannot be directly integrated into the foundation beam model, limiting pipeline deformation prediction accuracy. The key novelty of this study lies in [...] Read more.
Excavation of ultra-shallow pilot tunnels triggers surface settlement and endangers surrounding pipelines. The discontinuous settlement curve from traditional stochastic medium theory cannot be directly integrated into the foundation beam model, limiting pipeline deformation prediction accuracy. The key novelty of this study lies in proposing an improved coupled method tailored to ultra-shallow burial conditions: converting the discontinuous settlement solution into a continuous analytical one via polynomial fitting, embedding it into the Winkler elastic foundation beam model, and realizing pipeline settlement prediction by solving the deflection curve differential equation with the initial parameter method and boundary conditions. Four core factors affecting pipeline deformation are identified, with pilot tunnel size as the key. Shallower depth (especially 5.5 m) intensifies stratum disturbance; pipeline parameters (diameter, wall thickness, elastic modulus) significantly impact bending moment, while stratum elastic modulus has little effect on settlement. Verified by the Xueyuannanlu Station project of Beijing Rail Transit Line 13, theoretical and measured settlement trends are highly consistent, with core indicators meeting safety requirements (max theoretical/measured settlement: −10.9 mm/−8.6 mm < 30 mm; max rotation angle: −0.066° < 0.340°). Errors (max 5.1 mm) concentrate at the pipeline edge, and conservative theoretical values satisfy engineering safety evaluation demands. Full article
Show Figures

Figure 1

24 pages, 18607 KB  
Article
Robust Object Detection in Adverse Weather Conditions: ECL-YOLOv11 for Automotive Vision Systems
by Zhaohui Liu, Jiaxu Zhang, Xiaojun Zhang and Hongle Song
Sensors 2026, 26(1), 304; https://doi.org/10.3390/s26010304 - 2 Jan 2026
Viewed by 626
Abstract
The rapid development of intelligent transportation systems and autonomous driving technologies has made visual perception a key component in ensuring safety and improving efficiency in complex traffic environments. As a core task in visual perception, object detection directly affects the reliability of downstream [...] Read more.
The rapid development of intelligent transportation systems and autonomous driving technologies has made visual perception a key component in ensuring safety and improving efficiency in complex traffic environments. As a core task in visual perception, object detection directly affects the reliability of downstream modules such as path planning and decision control. However, adverse weather conditions (e.g., fog, rain, and snow) significantly degrade image quality—causing texture blurring, reduced contrast, and increased noise—which in turn weakens the robustness of traditional detection models and raises potential traffic safety risks. To address this challenge, this paper proposes an enhanced object detection framework, ECL-YOLOv11 (Edge-enhanced, Context-guided, and Lightweight YOLOv11), designed to improve detection accuracy and real-time performance under adverse weather conditions, thereby providing a reliable solution for in-vehicle perception systems. The ECL-YOLOv11 architecture integrates three key modules: (1) a Convolutional Edge-enhancement (CE) module that fuses edge features extracted by Sobel operators with convolutional features to explicitly retain boundary and contour information, thereby alleviating feature degradation and improving localization accuracy under low-visibility conditions; (2) a Context-guided Multi-scale Fusion Network (AENet) that enhances perception of small and distant objects through multi-scale feature integration and context modeling, improving semantic consistency and detection stability in complex scenes; and (3) a Lightweight Shared Convolutional Detection Head (LDHead) that adopts shared convolutions and GroupNorm normalization to optimize computational efficiency, reduce inference latency, and satisfy the real-time requirements of on-board systems. Experimental results show that ECL-YOLOv11 achieves mAP@50 and mAP@50–95 values of 62.7% and 40.5%, respectively, representing improvements of 1.3% and 0.8% over the baseline YOLOv11, while the Precision reaches 73.1%. The model achieves a balanced trade-off between accuracy and inference speed, operating at 237.8 FPS on standard hardware. Ablation studies confirm the independent effectiveness of each proposed module in feature enhancement, multi-scale fusion, and lightweight detection, while their integration further improves overall performance. Qualitative visualizations demonstrate that ECL-YOLOv11 maintains high-confidence detections across varying motion states and adverse weather conditions, avoiding category confusion and missed detections. These results indicate that the proposed framework provides a reliable and adaptable foundation for all-weather perception in autonomous driving systems, ensuring both operational safety and real-time responsiveness. Full article
(This article belongs to the Section Sensing and Imaging)
Show Figures

Figure 1

19 pages, 6978 KB  
Article
Los Angeles Wildfires 2025: Satellite-Based Emissions Monitoring and Air-Quality Impacts
by Konstantinos Michailidis, Andreas Pseftogkas, Maria-Elissavet Koukouli, Christodoulos Biskas and Dimitris Balis
Atmosphere 2026, 17(1), 50; https://doi.org/10.3390/atmos17010050 - 31 Dec 2025
Viewed by 535
Abstract
In January 2025, multiple wildfires erupted across the Los Angeles region, fueled by prolonged dry conditions and intense Santa Ana winds. Southern California has faced increasingly frequent and severe wildfires in recent years, driven by prolonged drought, high temperatures, and the expanding wildland–urban [...] Read more.
In January 2025, multiple wildfires erupted across the Los Angeles region, fueled by prolonged dry conditions and intense Santa Ana winds. Southern California has faced increasingly frequent and severe wildfires in recent years, driven by prolonged drought, high temperatures, and the expanding wildland–urban interface. These fires have caused major loss of life, extensive property damage, mass evacuations, and severe air-quality decline in this densely populated, high-risk region. This study integrates passive and active satellite observations to characterize the spatiotemporal and vertical distribution of wildfire emissions and assesses their impact on air quality. TROPOMI (Sentinel-5P) and the recently launched TEMPO geostationary instrument provide hourly high temporal-resolution mapping of trace gases, including nitrogen dioxide (NO2), carbon monoxide (CO), formaldehyde (HCHO), and aerosols. Vertical column densities of NO2 and HCHO reached 40 and 25 Pmolec/cm2, respectively, representing more than a 250% increase compared to background climatological levels in fire-affected zones. TEMPO’s unique high-frequency observations captured strong diurnal variability and secondary photochemical production, offering unprecedented insights into plume evolution on sub-daily scales. ATLID (EarthCARE) lidar profiling identified smoke layers concentrated between 1 and 3 km altitude, with optical properties characteristic of fresh biomass burning and depolarization ratios indicating mixed particle morphology. Vertical profiling capability was critical for distinguishing transported smoke from boundary-layer pollution and assessing radiative impacts. These findings highlight the value of combined passive–active satellite measurements in capturing wildfire plumes and the need for integrated monitoring as wildfire risk grows under climate change. Full article
Show Figures

Figure 1

16 pages, 7296 KB  
Article
Contemplation of Fluid Behavior and CO2 Concentration According to Vortex Movement of Air–CO2 Mixture Inside a Tube Based on Schlieren Method
by Wonjun Seo, Seokyeon Im and Jinwon Yun
Appl. Sci. 2026, 16(1), 435; https://doi.org/10.3390/app16010435 - 31 Dec 2025
Viewed by 228
Abstract
To address the issue of climate change caused by greenhouse gases, extensive research has been conducted on technologies for separating and capturing carbon dioxide. This study aimed to investigate the internal flow behavior and relative spatial distribution of CO2-related features inside [...] Read more.
To address the issue of climate change caused by greenhouse gases, extensive research has been conducted on technologies for separating and capturing carbon dioxide. This study aimed to investigate the internal flow behavior and relative spatial distribution of CO2-related features inside a vortex tube using the Schlieren method. Due to the presence of numerous components in a typical counter-flow vortex tube that may cause optical refraction along the measurement path, a simplified tube with a single nozzle was designed and manufactured for the experiments. The experiments consisted of CO2 single-phase flow and air–CO2 mixture flow tests. Images captured during the experiments were processed using Gaussian filtering and background correction to enhance the visibility of boundary layers and internal flow structures. Based on the pixel intensity values of the processed Schlieren images, relative intensity distributions associated with CO2-related flow behavior inside the tube were estimated and visualized. The experimental results revealed that, in both CO2 single-phase and air–CO2 mixture flows, regions of relatively high Schlieren intensity consistently appeared at specific locations within the tube. These observations indicate that the internal flow structure and relative distribution patterns are sensitive to the local flow features near the nozzle region under the tested conditions. The temporal evolution of the normalized Schlieren pixel intensity and its standard deviation was quantitatively evaluated, in a relative sense, to characterize the development of vortex flow structures under different operating conditions. The proposed visualization and analysis framework provides a systematic qualitative approach, supported by relative quantitative indicators, for investigating vortex-induced flow behavior. This framework may serve as a foundation for future studies that integrate complementary diagnostics and numerical analyses to further explore the vortex-based gas separation mechanism. Full article
Show Figures

Figure 1

26 pages, 2448 KB  
Review
Green Aerogels for Atmospheric Water Harvesting: A PRISMA-Guided Systematic Review of Bio-Derived Materials and Pathways to 2035
by Ghassan Sonji, Nada Sonji, Afaf El Katerji and Mohamad Rahal
Polymers 2026, 18(1), 108; https://doi.org/10.3390/polym18010108 - 30 Dec 2025
Viewed by 361
Abstract
Atmospheric water harvesting (AWH) offers a decentralized and renewable solution to global freshwater scarcity. Bio-derived and hybrid aerogels, characterized by ultra-high porosity and hierarchical pore structures, show significant potential for high water uptake and energy-efficient, low-temperature regeneration. This PRISMA-guided systematic review synthesizes evidence [...] Read more.
Atmospheric water harvesting (AWH) offers a decentralized and renewable solution to global freshwater scarcity. Bio-derived and hybrid aerogels, characterized by ultra-high porosity and hierarchical pore structures, show significant potential for high water uptake and energy-efficient, low-temperature regeneration. This PRISMA-guided systematic review synthesizes evidence on silica, carbon, MOF-integrated, and bio-polymer aerogels, emphasizing green synthesis and circular design. Our analysis shows that reported water uptake reaches up to 0.32 g·g−1 at 25% relative humidity (RH) and 3.5 g·g−1 at 90% RH under static laboratory conditions. Testing protocols vary significantly across studies, and dynamic testing typically reduces these values by 20–30%. Ambient-pressure drying and solar-photothermal integration enhance sustainability, but performance remains highly dependent on device architecture and thermal management. Techno-economic models estimate water costs from USD 0.05 to 0.40 per liter based on heterogeneous assumptions and system boundaries. However, long-term durability and real-world environmental stressor data are severely underreported. Bridging these gaps is essential to move from lab-scale promise to scalable, commercially viable deployment. We propose a strategic roadmap toward 2035, highlighting the need for improved material stability, standardized testing protocols, and comprehensive life cycle assessments to ensure the global viability of green aerogel technologies. Full article
(This article belongs to the Section Circular and Green Sustainable Polymer Science)
Show Figures

Graphical abstract

16 pages, 1829 KB  
Article
Static Voltage Stability Assessment of Electricity Networks Using an Enhanced Line-Based Index
by Zhiquan Zhou, Ashish P. Agalgaonkar and Kashem M. Muttaqi
Energies 2026, 19(1), 177; https://doi.org/10.3390/en19010177 - 29 Dec 2025
Viewed by 288
Abstract
High penetration of renewable energy sources complicates static voltage stability assessment, as conventional line-based indices are typically derived under restrictive assumptions, such as neglecting voltage-angle differences or decoupling active and reactive power effects, which may lead to inaccurate proximity signals under RES-rich operating [...] Read more.
High penetration of renewable energy sources complicates static voltage stability assessment, as conventional line-based indices are typically derived under restrictive assumptions, such as neglecting voltage-angle differences or decoupling active and reactive power effects, which may lead to inaccurate proximity signals under RES-rich operating conditions. The proposed research study develops an enhanced voltage stability index (EVSI) from a two-port π line model that explicitly retains line impedance, active and reactive power terms, and voltage-angle difference between the sending and receiving ends; secure system operation satisfies EVSI < 1. Unlike classical indices, EVSI preserves the coupled physical interactions most relevant to voltage collapse while maintaining a closed-form structure suitable for online monitoring. EVSI is evaluated in a coupled transmission–distribution setting with solar photovoltaic-based distributed generation under varying penetration levels and loadings, using PV-curve nose points as collapse references, and benchmarked against classical indices. Across scenarios, EVSI remains closest to unity at the nose point, accurately tracing the collapse boundary and consistently identifying weak buses, whereas the traditional indices exhibit dispersed values and sensitivity to operating assumptions. The proposed results indicate that EVSI offers a reliable and computationally convenient indicator for online assessment and early warning of voltage instability in renewable-integrated, coupled transmission–distribution networks. Full article
(This article belongs to the Section A: Sustainable Energy)
Show Figures

Figure 1

Back to TopTop