Sign in to use this feature.

Years

Between: -

Subjects

remove_circle_outline
remove_circle_outline
remove_circle_outline
remove_circle_outline
remove_circle_outline
remove_circle_outline
remove_circle_outline
remove_circle_outline
remove_circle_outline

Journals

remove_circle_outline
remove_circle_outline
remove_circle_outline
remove_circle_outline
remove_circle_outline
remove_circle_outline
remove_circle_outline
remove_circle_outline
remove_circle_outline
remove_circle_outline
remove_circle_outline
remove_circle_outline
remove_circle_outline
remove_circle_outline
remove_circle_outline
remove_circle_outline
remove_circle_outline
remove_circle_outline
remove_circle_outline
remove_circle_outline
remove_circle_outline
remove_circle_outline
remove_circle_outline
remove_circle_outline
remove_circle_outline
remove_circle_outline
remove_circle_outline
remove_circle_outline

Article Types

Countries / Regions

remove_circle_outline
remove_circle_outline
remove_circle_outline
remove_circle_outline
remove_circle_outline
remove_circle_outline
remove_circle_outline

Search Results (10,690)

Search Parameters:
Keywords = insulitis

Order results
Result details
Results per page
Select all
Export citation of selected articles as:
18 pages, 5602 KB  
Article
Charge Trap and Oxygen Barrier Engineering in Voltage-Stabilizing Grafted Silicone Rubber via Multiscale Molecular Simulations
by Jing Sun, Xindong Zhao and Zhongyuan Li
Polymers 2026, 18(7), 780; https://doi.org/10.3390/polym18070780 (registering DOI) - 24 Mar 2026
Abstract
The present theoretical study proposes and unravels chemical graft modification using a novel voltage stabilizer (3-amino-5-chlorophenyl 3-fluorophenyl methanone, ACFM) to ameliorate electrical insulation performance, oxygen-resistant characteristics, and thermal stability of addition-cure silicone rubber (SiR) used for cable accessory insulation in power transmission systems. [...] Read more.
The present theoretical study proposes and unravels chemical graft modification using a novel voltage stabilizer (3-amino-5-chlorophenyl 3-fluorophenyl methanone, ACFM) to ameliorate electrical insulation performance, oxygen-resistant characteristics, and thermal stability of addition-cure silicone rubber (SiR) used for cable accessory insulation in power transmission systems. First-principles calculations demonstrate that chemically grafted ACFM introduces shallow hole and electron traps into addition-cure SiR macromolecules to respectively impede hole transport and restrict hot electron production. Through molecular dynamics and Monte Carlo simulation, the chemically grafted ACFM is verified to enhance chain segment coalescence and decrease oxygen compatibility of addition-cure SiR macromolecules due to its higher dipole moment, leading to a reduction in oxygen permeation and improvement in thermal stability of the SiR crosslinked material. It is indicated from first-principles oxidation reaction paths that chemical grafting ACFM contributes positively to the oxidative stability of addition-cure SiR. The improved abilities of charge trapping and withstanding high temperatures together with enhanced resistance to both oxygen infiltration and oxidation of the addition-cure SiR material, as unraveled on a molecular scale in this research, open an avenue for developing advanced polymer dielectrics applied in harsh environments. Full article
Show Figures

Graphical abstract

26 pages, 5205 KB  
Article
A Comprehensive Design Methodology for Temperature Control and Crack Prevention in Arch–Gravity Dams
by Hao Nie, Kaijia Yu and Jian Wang
Appl. Sci. 2026, 16(6), 3068; https://doi.org/10.3390/app16063068 - 22 Mar 2026
Abstract
Arch–gravity dams feature both arch action and large concrete volume, yet targeted research on temperature control and crack prevention for this type remains insufficient. To address this, a Two-Parameter Decision Chart Method for predicting allowable placing temperature, an Analytical–Numerical Hybrid Estimation Method for [...] Read more.
Arch–gravity dams feature both arch action and large concrete volume, yet targeted research on temperature control and crack prevention for this type remains insufficient. To address this, a Two-Parameter Decision Chart Method for predicting allowable placing temperature, an Analytical–Numerical Hybrid Estimation Method for estimating cooling durations, and the Comprehensive Cracking Risk Index (CCRI) for assessing lifecycle concrete safety are proposed, forming a complete design methodology. A case study on a proposed project using full-process simulation quantitatively evaluates the contribution of various measures in mitigating thermal stress across dam zones. Results show that without measures, the CCRI values for interior and surface concrete reach 68.9% and 38.1%, respectively. After implementing combined optimization measures targeting the control of maximum temperature, final temperature before grouting, and internal–external temperature difference throughout the entire process, both CCRI values are reduced to zero. Contribution analysis reveals distinct zonal effectiveness: for interior concrete, low-temperature placement with first-stage cooling contributes most (59.9%); for surface concrete, second- and third-stage cooling dominates (72.7%). Therefore, in practical engineering applications for temperature control and crack prevention in arch–gravity dams, a combination of measures centered on controlling the maximum temperature, optimizing the cooling process, and enhancing surface insulation should be adopted based on the characteristics of interior and surface zones, thereby improving cracking safety. Full article
Show Figures

Figure 1

16 pages, 2591 KB  
Article
Experimental and Numerical Study on Discharge Mechanisms of Section Insulators at High Altitude with Structural and Surface Coating Optimization
by Jixing Sun, Yide Liu, Dong Lei, Jiawei Wang, Tong Xing, Kun Zhang and Jiuding Tan
Coatings 2026, 16(3), 390; https://doi.org/10.3390/coatings16030390 - 22 Mar 2026
Abstract
With the rapid development of electrified railways in high-altitude regions, section insulators in catenary systems frequently experience gap breakdown and surface flashover under low atmospheric pressure conditions, posing serious threats to safe train operation. This paper investigates the discharge mechanisms of section insulators [...] Read more.
With the rapid development of electrified railways in high-altitude regions, section insulators in catenary systems frequently experience gap breakdown and surface flashover under low atmospheric pressure conditions, posing serious threats to safe train operation. This paper investigates the discharge mechanisms of section insulators in high-altitude environments and conducts research on discharge characteristics under extremely non-uniform electric fields, along with structural optimization. First, the physical mechanisms of gap discharge and surface flashover in section insulators are analyzed. A three-dimensional electric field simulation model of the section insulator is established, and numerical analysis is performed to reveal the electric field distribution characteristics. The results indicate that the electric field is predominantly concentrated at the junction between metal electrodes and insulators, as well as at the tip of the arcing horn. The local maximum field strength reaches 3.84 × 105 V/m, exceeding the corona inception field strength of air, which readily induces discharge. Subsequently, power frequency and lightning impulse discharge tests are conducted in both plain region and regions at an altitude of 4300 m. The results show that under high-altitude conditions, the power frequency breakdown voltage decreases by 28%, and the 50% lightning impulse breakdown voltage decreases by 42%. The discharge voltages under standard atmospheric conditions are obtained through correction. Finally, optimization schemes involving arcing horn structural modification and surface coating application are proposed. Adjusting the arcing horn angle to 55° and adding a grading ring structure with a radius of 70 mm reduces the local maximum field strength by 26%. After applying an RTV insulating coating, the field strength at the junction decreases by 35.9%, effectively enhancing the insulation performance of section insulators in high-altitude regions. Full article
Show Figures

Figure 1

20 pages, 39023 KB  
Article
Lightweight Insulator Defect Detection in High-Resolution UAV Imagery via System-Level Co-Design
by Yujie Zhu, Guanhua Chen, Linghao Zhang, Jiajun Zhou, Junwei Kuang and Jiangxiong Zhu
Remote Sens. 2026, 18(6), 953; https://doi.org/10.3390/rs18060953 - 21 Mar 2026
Abstract
The inspection of minuscule insulator defects from high-resolution (HR) UAV imagery presents a significant algorithmic challenge. The severe scale mismatch between HR images and low-resolution model inputs often leads to feature distortion for sparsely distributed targets. To address these issues, this paper proposes [...] Read more.
The inspection of minuscule insulator defects from high-resolution (HR) UAV imagery presents a significant algorithmic challenge. The severe scale mismatch between HR images and low-resolution model inputs often leads to feature distortion for sparsely distributed targets. To address these issues, this paper proposes an integrated data–model collaborative framework. At the data level, an offline label-guided optimal tiling (LGOT) strategy is introduced to alleviate scale mismatch by curating information-dense training tiles. At the model level, we design the semi-decoupled prior-driven detection head (SDPD-Head), which leverages evolutionary priors to stabilize the learning of microscopic spatial features. During inference, an online inference-time adaptive tiling (ITAT) strategy is used to match the spatial scale distribution between training and inference and to reduce feature loss caused by direct downscaling. Experiments on a real-world inspection dataset show that the proposed framework achieves an mAP@50 of 92.9% with 2.17 M parameters and 4.7 GFLOPs. Full article
Show Figures

Figure 1

24 pages, 4666 KB  
Article
Numerical Study on Heat Transfer Characteristics of Microchannel with Ferrofluid Under Influence of Magnetic Intensity
by Seong-Guk Hwang, Tai Duc Le and Moo-Yeon Lee
Micromachines 2026, 17(3), 383; https://doi.org/10.3390/mi17030383 - 21 Mar 2026
Abstract
Effective thermal management is critical for high-power lithium-ion batteries to mitigate excessive heat generation and ensure operational reliability. Failure to maintain a uniform temperature distribution can lead to accelerated capacity fading and severe safety risks, such as thermal runaway. In this study, a [...] Read more.
Effective thermal management is critical for high-power lithium-ion batteries to mitigate excessive heat generation and ensure operational reliability. Failure to maintain a uniform temperature distribution can lead to accelerated capacity fading and severe safety risks, such as thermal runaway. In this study, a ferrofluid-based magnetohydrodynamic (MHD) microchannel cooling system was numerically investigated to elucidate the influence of magnetic intensity, magnet geometry, and electrical boundary conditions on flow behavior and heat transfer performance for battery cooling applications. A fully coupled multiphysics model incorporating electromagnetic, fluid flow, and heat transfer phenomena was developed and validated against experimental and numerical data from the literature. The results show that increasing the applied voltage enhances current density and Lorentz force almost linearly, leading to significant flow acceleration and improved convective heat transfer. Electrical insulation effectively suppresses current leakage into the channel walls, increasing the average current density by up to 222% and the Lorentz force by more than 300%. Compared with a cylindrical magnet, a rectangular magnet provides a more uniform magnetic field distribution and stronger near-wall Lorentz forcing, resulting in superior cooling performance. Under a 4C discharge condition, the insulated rectangular magnet reduces the maximum battery temperature by approximately 30% and increases the average Nusselt number by up to 103% relative to the non-insulated case. The findings reveal the critical roles of magnetic-field-controlled flow symmetry and near-wall forcing in MHD-driven microchannels, and provide practical design guidelines for battery cooling systems with no moving mechanical parts and active electromagnetic flow control. Full article
(This article belongs to the Special Issue Complex Fluid Flows in Microfluidics)
Show Figures

Figure 1

22 pages, 11546 KB  
Article
Expanded Polystyrene for Building Insulation: Effect of Graphite and Moisture on Thermophysical Properties
by Sereno Sacchet, Giovanni Paolo Lolato, Francesco Valentini, Maurizio Grigiante and Luca Fambri
Energies 2026, 19(6), 1558; https://doi.org/10.3390/en19061558 - 21 Mar 2026
Abstract
Improving the energy efficiency of the building envelope is critical for global decarbonization, yet a gap remains in the comprehensive thermophysical characterization of carbon-enhanced Expanded Polystyrene (EPS). This study evaluates the impact of expansion ratios and moisture content on the thermal behavior of [...] Read more.
Improving the energy efficiency of the building envelope is critical for global decarbonization, yet a gap remains in the comprehensive thermophysical characterization of carbon-enhanced Expanded Polystyrene (EPS). This study evaluates the impact of expansion ratios and moisture content on the thermal behavior of two commercial EPS grades, EPS-A (12.7 ± 0.5 kg/m3) and EPS-B (16.0 ± 1.1 kg/m3), investigating the counterintuitive role of graphite (1.4–1.8 wt.%) in enhancing the thermal insulation properties. Thermal conductivity and diffusivity were independently determined via Transient Plane Source (TPS) and Heat Flow Meter (HFM) methods across a 10–50 °C range, while specific heat capacity (cp) was analyzed using HFM and Differential Scanning Calorimetry (DSC) through the sapphire comparison method and Temperature-Modulated DSC (TOPEM®). Methodologically, it was found that standard HFM protocols are unsuitable for cp determination in low-density foams, yielding an average relative error of ±29%; conversely, the sapphire comparison method provided the most reliable results in agreement with theoretical expectations. Results indicate that the efficacy of graphite as a radiative shield is closely coupled with cellular morphology, proving significantly more effective in the higher expansion grade (EPS-A, 70 wt.% open porosity) than in the denser EPS-B. Furthermore, 30-day water immersion tests revealed that the higher open porosity of EPS-A facilitates increased water uptake of 144 ± 17 wt.% (compared to 97 ± 7 wt.% for EPS-B), causing the geometric densities of the two grades to converge and fundamentally altering thermal transport mechanisms. The study concludes that accurate thermal modeling of carbon-enhanced insulation requires careful selection of testing parameters, particularly when accounting for moisture-induced degradation in high-porosity systems. Full article
Show Figures

Figure 1

11 pages, 1438 KB  
Article
Nanoscale Thin-Film Flexible Organic Field-Effect Transistors with Triple PMMA/SiO2/ZnO Gate Insulator Layers
by Sundes Fakher, Furat AI-Saymari, Mohammed Mabrook and Hameed Al-Attar
Micromachines 2026, 17(3), 382; https://doi.org/10.3390/mi17030382 - 21 Mar 2026
Abstract
Organic field-effect transistors (OFETs) incorporating a triple insulating layer of polymethyl methacrylate (PMMA), silicon dioxide (SiO2), and zinc oxide (ZnO) were successfully fabricated on glass and on flexible PET substrates. The insulating layers significantly enhanced device performance, with the OFETs achieving [...] Read more.
Organic field-effect transistors (OFETs) incorporating a triple insulating layer of polymethyl methacrylate (PMMA), silicon dioxide (SiO2), and zinc oxide (ZnO) were successfully fabricated on glass and on flexible PET substrates. The insulating layers significantly enhanced device performance, with the OFETs achieving field-effect mobility (µ) values more than twice as high as those reported in the literature. Specifically, mobility values of ~6.75 cm2/V·s were recorded on glass, ~7.14 cm2/V·s on flexible substrates before bending, and ~6.88 cm2/V·s on flexible substrates after bending. Threshold voltages (Vth) of −7 V and −9 V were estimated for the flexible OFETs before and after bending, respectively, along with a high on/off current ratio, exceeding 103 for all devices. Minimal hysteresis in the transfer and output characteristics indicated excellent, trap-free interaction between the insulating layers and the pentacene. The high dielectric constant of the PMMA/SiO2/ZnO triple insulating layers was identified as a critical factor driving the exceptional performance, stability, and low hysteresis of the OFETs. These results underscore the pivotal role of advanced insulating layers in optimizing OFET performance and durability. Full article
(This article belongs to the Section D1: Semiconductor Devices)
Show Figures

Figure 1

19 pages, 577 KB  
Article
Genetic Algorithm-Optimized CNN-BiLSTM Framework for Predicting the Remaining Useful Life of IGBT Modules
by Yukai Hao, Jiao Wu, Zhiheng Zhang, Yuanhao Wang, Tao Wang and Yujie Liang
Sensors 2026, 26(6), 1964; https://doi.org/10.3390/s26061964 - 21 Mar 2026
Abstract
To address the aging and failure issues that arise during the long-term operation of insulated gate bipolar transistors (IGBTs), this paper proposes a method for predicting their remaining useful life (RUL). The proposed method utilizes a genetic algorithm to optimize a hybrid model [...] Read more.
To address the aging and failure issues that arise during the long-term operation of insulated gate bipolar transistors (IGBTs), this paper proposes a method for predicting their remaining useful life (RUL). The proposed method utilizes a genetic algorithm to optimize a hybrid model that combines a convolutional neural network (CNN) with a bidirectional long short-term memory (BiLSTM) network. First, based on the failure mechanism of IGBTs, various commonly used RUL prediction methods are analyzed and compared. Considering that CNNs are particularly effective at extracting spatial features, while LSTMs excel at capturing long-term dependencies in time-series data, a hybrid CNN-BiLSTM model is developed for RUL prediction, with hyperparameters, including the initial learning rate, optimized using a genetic algorithm. Experimental results demonstrate that the proposed CNN-BiLSTM model achieves superior performance across all metrics compared with benchmark algorithms, and the genetic algorithm significantly accelerates the parameter optimization process and enhances the overall training efficiency. Full article
(This article belongs to the Special Issue Edge Computing for Beyond 5G and Wireless Sensor Networks)
Show Figures

Figure 1

13 pages, 1958 KB  
Article
Temporal Wettability Dynamics in Sustainable Olive Pomace Biochar Composites: A Signal-Driven and Bat Algorithm Framework
by Mehmet Ali Biberci
Processes 2026, 14(6), 999; https://doi.org/10.3390/pr14060999 - 20 Mar 2026
Abstract
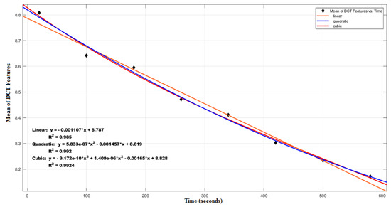
Olive pomace biochar, obtained through the pyrolysis of lignocellulosic biomass, has emerged as a sustainable and multifunctional additive for polymer composites. Its physicochemical properties, including porosity, surface area, and electrical conductivity, can be tailored by controlling feedstock type and pyrolysis conditions. Although mechanical [...] Read more.
Olive pomace biochar, obtained through the pyrolysis of lignocellulosic biomass, has emerged as a sustainable and multifunctional additive for polymer composites. Its physicochemical properties, including porosity, surface area, and electrical conductivity, can be tailored by controlling feedstock type and pyrolysis conditions. Although mechanical reinforcement and thermal stability improvements are well documented, the influence of biochar on surface-related properties such as wettability and contact angle remains insufficiently explored for environmentally relevant composite systems. In this study, epoxy-based composites containing biochar synthesized at 750 °C were evaluated in terms of their water interaction behavior by monitoring the evaporation dynamics of ultra-pure water droplets (10 μL, 0.055 mS/cm conductivity) at eight time intervals between 20 and 580 s using high-resolution digital microscopy. Image enhancement and segmentation were performed prior to Discrete Cosine Transform (DCT) analysis to describe droplet geometry in the frequency domain. Time-dependent variations in the standard deviations of DCT coefficients were optimized using the Bat Algorithm, resulting in mathematical models capable of accurately representing droplet evolution and surface–fluid interactions. The primary novelty of this study lies in the development of a hybrid experimental–computational framework that integrates droplet-based wettability measurements with signal-domain analysis and metaheuristic optimization. Unlike conventional studies focusing solely on material characterization, this approach establishes quantitative relationships between surface behavior and numerical descriptors derived from DCT and the Bat Algorithm. The proposed methodology provides a data-driven tool for predicting wettability trends in biochar-reinforced composites and supports the development of moisture-resistant materials for coatings, packaging, and thermal insulation applications within the context of sustainable composite design. Full article
(This article belongs to the Section Materials Processes)
Show Figures

Figure 1

16 pages, 2813 KB  
Article
Compact EM Wave Trapping in Low-Index-Contrast Structures with Al2O3-Based Experimental Validation
by Irem O. Alp
Photonics 2026, 13(3), 302; https://doi.org/10.3390/photonics13030302 - 20 Mar 2026
Abstract
This study presents the design of a compact low-index-contrast structure capable of trapping electromagnetic waves within a highly confined region. The energy storage performance of the geometries was enhanced using a genetic algorithm that employed a binary (present/absent) assignment of insulating cylinders. Time-domain [...] Read more.
This study presents the design of a compact low-index-contrast structure capable of trapping electromagnetic waves within a highly confined region. The energy storage performance of the geometries was enhanced using a genetic algorithm that employed a binary (present/absent) assignment of insulating cylinders. Time-domain simulations performed with MEEP were experimentally validated using precisely positioned θ-phase alumina rods, resulting in a 13 dB increase in receiver-antenna power within the microwave regime. The measurements showed a correlation exceeding 99% with the computational results over a dielectric constant range of 4.5 to 5.0. A quality factor of Q =3.6×103 was measured at 5.08 GHz in the experiment. Subsequently, machine learning techniques were applied, further increasing the Q value to approximately 104, even within such a small configuration. Furthermore, the proposed structure does not require a complete photonic bandgap; instead, relatively high-Q factors were achieved by suppressing radiation losses through a pattern of low-index dielectric rods. Full article
(This article belongs to the Section Optoelectronics and Optical Materials)
Show Figures

Figure 1

40 pages, 3155 KB  
Review
Electrifying the Future: Second- and Third-Generation Derived Oils for Transformers
by Arputhasamy Joseph Amalanathan, Susaimanickam Anto and Maciej Zdanowski
Energies 2026, 19(6), 1547; https://doi.org/10.3390/en19061547 - 20 Mar 2026
Abstract
The reliability of power transmission and distribution depends on the proper functioning of power transformers, which use conventional mineral oil as an insulating fluid. The lower fire class and biodegradability of mineral oil have led to a shift towards second-generation oils from vegetable [...] Read more.
The reliability of power transmission and distribution depends on the proper functioning of power transformers, which use conventional mineral oil as an insulating fluid. The lower fire class and biodegradability of mineral oil have led to a shift towards second-generation oils from vegetable and plant crops. Ester fluids provide a better performance in combination with solid pressboard/paper insulation, increasing the lifetime of power transformers compared to those using mineral oil. Considering the need for sustainability in the near future, second-generation oils are no longer feasible, and hence, third-generation oils derived from microalgae species are suitable alternative fuels for the energy sector. The fatty acid methyl ester (FAME) content of algae is similar to that of biodiesel, making it a suitable fluid for power transformers. A detailed overview of third-generation feedstock (algae) for power transformer applications is provided, focusing on the extraction of algal oil, in conjunction with safety precautions and its fatty acid content, and a comparison with conventional vegetable and plant-based oils is presented. Various properties of algal oil (fatty acid composition, kinematic viscosity, oxidation stability, breakdown voltage, etc.) are analyzed to assess its suitability as a transformer fluid. This review article comprehensively analyzes the current research landscape surrounding the use of algal oil as an insulating fluid in transformers. It critically evaluates both the potential advantages and the unique challenges associated with this alternative to conventional mineral oil and second-generation vegetable and plant-based oils. Full article
(This article belongs to the Special Issue Advancements in Power Transformers)
Show Figures

Figure 1

19 pages, 3901 KB  
Article
Study on the Influence of Sugarcane Bagasse Fiber on the Physical and Mechanical Properties of Lightweight Mortar
by Mo Zhou, Guimeng Ban, Qin Hu, Yuanming Luo, Jintuan Zhang, Tian Su, Zixing Chen, Wenkai Lei, Jingyun Zhang and Tong Han
Coatings 2026, 16(3), 384; https://doi.org/10.3390/coatings16030384 - 20 Mar 2026
Abstract
In the context of the “dual-carbon” targets and the development of green building materials, lightweight mortar has attracted considerable attention, owing to its low density and excellent thermal insulation properties. However, lightweight aggregates, such as vitrified microspheres, while effectively reducing mortar density, exhibit [...] Read more.
In the context of the “dual-carbon” targets and the development of green building materials, lightweight mortar has attracted considerable attention, owing to its low density and excellent thermal insulation properties. However, lightweight aggregates, such as vitrified microspheres, while effectively reducing mortar density, exhibit high porosity and weak interfacial bonding, which compromise mechanical performance. To address this issue, this study introduces sugarcane bagasse fiber (SBF) as a reinforcing material, with contents of 0%, 0.4%, 0.8%, 1.2%, and 1.6%. The effects of SBF on physical properties (consistency, density, water absorption) and mechanical properties (compressive strength, flexural strength, and tensile bond strength) were systematically evaluated. Furthermore, low-field nuclear magnetic resonance (LF-NMR) and scanning electron microscopy (SEM) were employed to analyze pore structure and interfacial transition zone (ITZ) characteristics at multiple scales. The results indicate that: (1) at low contents (0.4–0.8%), SBF was uniformly dispersed, improving matrix compactness; (2) compared with the control group, the 28-day compressive, flexural, and tensile bond strengths increased by 7.1%, 13.1%, and 25%, respectively; (3) NMR analysis revealed that the incorporation of SBF significantly increased the proportion of capillary pores, reduced total porosity, and enhanced mortar compactness, thereby improving mechanical strength; (4) fractal dimension analysis showed that contents of 0.4% and 0.8% increased structural complexity while reducing pore connectivity, leading to higher compressive strength; (5) SEM observations further demonstrated that the fibers provided bridging and anchoring effects within the ITZ, promoted the deposition of hydration products, and enhanced interfacial compactness. Full article
(This article belongs to the Section Environmental Aspects in Colloid and Interface Science)
Show Figures

Figure 1

16 pages, 2627 KB  
Article
Deep Learning-Based Calibration of a Multi-Point Thin-Film Thermocouple Array for Temperature Field Measurement
by Zewang Zhang, Shigui Gong, Jiajie Ye, Chengfei Zhang, Jun Chen, Zhixuan Su, Heng Wang, Zhichun Liu and Zhenyin Hai
Sensors 2026, 26(6), 1956; https://doi.org/10.3390/s26061956 - 20 Mar 2026
Abstract
Multi-point array thin-film thermocouples have strong potential for high-precision, wide-range temperature monitoring in applications such as aircraft engine thermal condition assessment and industrial process control. However, conventional single-point thin-film thermocouples cannot satisfy the distributed measurement requirements of large-area temperature fields, and the accuracy [...] Read more.
Multi-point array thin-film thermocouples have strong potential for high-precision, wide-range temperature monitoring in applications such as aircraft engine thermal condition assessment and industrial process control. However, conventional single-point thin-film thermocouples cannot satisfy the distributed measurement requirements of large-area temperature fields, and the accuracy of multi-point arrays is often degraded by coupling effects among sensing nodes, which hinders their engineering deployment. In this work, a multi-point array thin-film thermocouple is fabricated via precision welding, and an insulating layer is deposited on the sensor surface using electrospray atomization to establish a multi-point temperature-sensing hardware system. To compensate for coupling-induced deviations, a deep learning–based calibration method is developed: measurements from the array and reference thermocouples are synchronously collected to build the dataset, outliers are removed using the interquartile range (IQR) method, and a three-hidden-layer multilayer perceptron (MLP) is trained for each node independently using the Adam optimizer (learning rate 0.001) with an 8:2 train–test split. Performance is quantified by MAE, MSE, and R2, and the results show that the proposed approach markedly reduces measurement errors and improves the accuracy of the array thermocouples, demonstrating reliable performance and practical applicability for precise large-area temperature-field monitoring. Full article
(This article belongs to the Section Sensors Development)
Show Figures

Figure 1

21 pages, 3567 KB  
Review
Research on Thermal Insulation and Durability of Bio-Based Thermal Insulation Materials and Its Prospect of Engineering Application
by Sen Luo, Shuo Wang, Chi Hu, Lirui Feng, Haihong Fan and Hongqiang Ma
Materials 2026, 19(6), 1229; https://doi.org/10.3390/ma19061229 - 20 Mar 2026
Abstract
This study takes the relevant literature published in the past decade as the research object, screens the literature by setting clear inclusion and exclusion criteria, and systematically reviews the thermal insulation performance, durability, and prospects for engineering applications of bio-based thermal insulation materials [...] Read more.
This study takes the relevant literature published in the past decade as the research object, screens the literature by setting clear inclusion and exclusion criteria, and systematically reviews the thermal insulation performance, durability, and prospects for engineering applications of bio-based thermal insulation materials by means of qualitative integration and comparative analysis. With the advantages of low energy consumption, renewability, and biodegradability, bio-based thermal insulation materials have emerged as a green alternative to traditional thermal insulation materials. This paper systematically reviews the research progress of such materials, which are classified into two categories: natural biomass (e.g., straw bales and cork boards) and bio-based composites. The core thermal insulation indicators include thermal conductivity, thermal resistance, and thermal storage coefficient, and the performance is affected by factors such as component ratio, pore structure, temperature, and humidity. The thermal conductivity of some bio-based materials is comparable to that of expanded polystyrene (EPS) and mineral wool. In terms of durability, temperature–humidity cycling, corrosion, biological erosion, and mechanical action are the main causes of performance degradation, and composite modification can effectively improve their stability. Current engineering applications face challenges such as thermal insulation performance being susceptible to humidity, poor construction compatibility, high costs, and a lack of relevant standards. Future research should focus on the development of high-performance composite systems, the investigation of long-term durability mechanisms, the innovation of low-cost green preparation technologies, and the establishment of unified standards, so as to promote the large-scale application of bio-based thermal insulation materials in the construction industry and contribute to the achievement of carbon neutrality goals. Full article
(This article belongs to the Special Issue New Thermal Insulation Materials in Green Buildings)
Show Figures

Figure 1

21 pages, 18914 KB  
Article
Optimization Design and Experimental Testing of Sound Insulation Performance for Silent Cabins
by Li Tang, Yicheng Lu, Meiping Sheng, Zhiwei Guo and Bin Lu
Appl. Sci. 2026, 16(6), 2996; https://doi.org/10.3390/app16062996 - 20 Mar 2026
Abstract
This study investigates the sound insulation performance of an anechoic chamber, exploring the influence patterns of different multilayer material combinations on wall sound insulation characteristics. Based on sound transmission theory, a predictive model for multilayer material wall sound insulation was established. The finite [...] Read more.
This study investigates the sound insulation performance of an anechoic chamber, exploring the influence patterns of different multilayer material combinations on wall sound insulation characteristics. Based on sound transmission theory, a predictive model for multilayer material wall sound insulation was established. The finite element method was employed to simulate the sound propagation characteristics of walls and glass doors with various material combinations. After validating the simulation results through a double-room method experiment, the material combination scheme for the anechoic chamber walls and glass doors was optimized. Based on this, a 1000 mm × 1000 mm × 2300 mm soundproof room prototype was designed and constructed. Its sound insulation performance under reverberant conditions was tested using the insertion loss method and compared with simulation data. Simultaneously, a hybrid calculation method combining low-frequency finite element analysis with high-frequency statistical energy analysis enabled precise and efficient prediction of the overall sound insulation performance of the soundproof room. Research revealed that single-pane glass with thicknesses between 5 and 20 mm conformed to the mass law, with sound insulation increasing by an average of 0.8 dB per additional millimeter. The 10 mm single-pane glass emerged as the optimal choice for the soundproof room’s glass door due to its ideal thickness and excellent low-to-mid-frequency sound insulation. The optimized wall structure featured compact thickness, outstanding low-frequency sound insulation, and balanced mid-to-high-frequency performance. Simulation and experimental results for the core frequency range of 63–1000 Hz showed high consistency, which validates the reliability of the theoretical model and simulation methodology within this frequency band. The deviation of simulation results from experimental data in the frequency range above 1000 Hz is mainly caused by acoustic leakage due to experimental sealing defects, and the high-frequency simulation results are only used for trend analysis rather than conclusion support. This study identifies the optimal multi-layer material combination for soundproof rooms, providing practical material strategies for acoustic design. It also reveals the sound insulation mechanisms of multi-layer composite structures. The findings offer significant reference for optimizing soundproofing materials and structures in architectural acoustics and transportation noise control. Full article
(This article belongs to the Special Issue Novel Advances in Noise and Vibration Control)
Show Figures

Figure 1

Back to TopTop