Sign in to use this feature.

Years

Between: -

Subjects

remove_circle_outline
remove_circle_outline
remove_circle_outline
remove_circle_outline
remove_circle_outline

Journals

Article Types

Countries / Regions

Search Results (32)

Search Parameters:
Keywords = innermost stable circular orbits

Order results
Result details
Results per page
Select all
Export citation of selected articles as:
29 pages, 12260 KB  
Article
Equilibrium Points and Periodic Orbits in the Circular Restricted Synchronous Three-Body Problem with Radiation and Mass Dipole Effects: Application to Asteroid 2001SN263
by Aguda Ekele Vincent, Jagadish Singh, George A. Tsirogiannis and Vassilis S. Kalantonis
Mathematics 2025, 13(7), 1150; https://doi.org/10.3390/math13071150 - 31 Mar 2025
Cited by 1 | Viewed by 1013
Abstract
This study numerically explores the dynamics of the photogravitational circular restricted three-body problem, where an infinitesimal particle moves under the gravitational influence of two primary bodies connected by a massless rod. These primary masses revolve in circular orbits around their common center of [...] Read more.
This study numerically explores the dynamics of the photogravitational circular restricted three-body problem, where an infinitesimal particle moves under the gravitational influence of two primary bodies connected by a massless rod. These primary masses revolve in circular orbits around their common center of mass, which remains fixed at the origin of the coordinate system. The distance between the two masses remains constant, independent of their rotation period. The third body, being infinitesimally small compared to the primary masses, has a negligible effect on their motion. The primary mass is considered as a radiating body, while the secondary is modeled as an elongated one comprising two hypothetical point masses separated by a fixed distance. The analysis focuses on determining the number, location, and stability of equilibrium points, as well as examining the structure of zero-velocity curves under the influence of system parameters such as mass and force ratio, radiation pressure and geometric configuration of the secondary body. The system is found to allow up to six equilibria: four collinear and two non-collinear. Their number and positions are significantly affected by variations in the system’s parameters. Stability analysis reveals that the two non-collinear equilibrium points can exhibit stability under specific parameter configurations, while the four collinear points are typically unstable. An exception is the innermost collinear equilibrium point, which can be stable for certain parameter values. Our numerical investigation on periodic orbits around the collinear equilibrium points of the asteroid triple-system 2001SN263 show that a variation, either to the values of radiation or the force ratio parameters, influence their special characteristics such as period and stability. Also, their continuation in the space of initial conditions shows that all families terminate naturally at collision orbits with either the primary or the secondary. Full article
(This article belongs to the Section C2: Dynamical Systems)
Show Figures

Figure 1

8 pages, 285 KB  
Article
Implications of the Spin-Induced Accretion Disk Truncation on the X-ray Binary Broadband Emission
by Theodora Papavasileiou, Odysseas Kosmas and Theocharis Kosmas
Particles 2024, 7(4), 879-886; https://doi.org/10.3390/particles7040052 - 1 Oct 2024
Cited by 2 | Viewed by 1481
Abstract
Black hole X-ray binary systems consist of a black hole accreting mass from its binary companion, forming an accretion disk. As a result, twin relativistic plasma ejections (jets) are launched towards opposite and perpendicular directions. Moreover, multiple broadband emission observations from X-ray binary [...] Read more.
Black hole X-ray binary systems consist of a black hole accreting mass from its binary companion, forming an accretion disk. As a result, twin relativistic plasma ejections (jets) are launched towards opposite and perpendicular directions. Moreover, multiple broadband emission observations from X-ray binary systems range from radio to high-energy gamma rays. The emission mechanisms exhibit thermal origins from the disk, stellar companion, and non-thermal jet-related components (i.e., synchrotron emission, inverse comptonization of less energetic photons, etc.). In many attempts at fitting the emitted spectra, a static black hole is often assumed regarding the accretion disk modeling, ignoring the Kerr metric properties that significantly impact the geometry around the usually rotating black hole. In this work, we study the possible implications of the spin inclusion in predictions of the X-ray binary spectrum. We mainly focus on the most significant aspect inserted by the Kerr geometry, the innermost stable circular orbit radius dictating the disk’s inner boundary. The outcome suggests a higher-peaked and hardened X-ray spectrum from the accretion disk and a substantial increase in the inverse Compton component of disk-originated photons. Jet-photon absorption is also heavily affected at higher energy regimes dominated by hadron-induced emission mechanisms. Nevertheless, a complete investigation requires the full examination of the spin contribution and the resulting relativistic effects beyond the disk truncation. Full article
Show Figures

Figure 1

16 pages, 1466 KB  
Article
Orbital Precession in Janis–Newman–Winicour Spacetime
by Bobur Turimov, Khurshid Karshiboev, Ahmadjon Abdujabbarov, Samik Mitra and Shavkat Karshiboev
Galaxies 2024, 12(5), 58; https://doi.org/10.3390/galaxies12050058 - 28 Sep 2024
Cited by 3 | Viewed by 2140
Abstract
We have investigated the Janis–Newman–Winicour spacetime through three fundamental tests of theories of gravity, namely, gravitational lensing, perihelion shift, and redshift due to gravitational force. Focusing initially on the circular motion of a massive particle within the equatorial plane, the analysis disregards external [...] Read more.
We have investigated the Janis–Newman–Winicour spacetime through three fundamental tests of theories of gravity, namely, gravitational lensing, perihelion shift, and redshift due to gravitational force. Focusing initially on the circular motion of a massive particle within the equatorial plane, the analysis disregards external scalar field interactions. The Janis–Newman–Winicour (JNW) spacetime’s unique parameters, mass (M) and the scalar parameter (n), are examined, revealing an intriguing relationship between the innermost stable circular orbit position of the test particle and the scalar field parameter. The study also explores photon motion around a gravitational object in JNW spacetime, revealing the expansion of the photon sphere alongside a diminishing shadow, influenced by the external scalar field. Despite these complexities, gravitational bending of light remains consistent with general relativity predictions. The investigation extends to perihelion precession, where the trajectory of a massive particle in JNW spacetime exhibits eccentricity-dependent shifts, distinguishing it from Schwarzschild spacetime. Finally, oscillatory motion of massive particles in JNW spacetime is explored, providing analytical expressions for epicyclic frequencies using perturbation methods. The study concludes with the application of MCMC analyses to constrain the JNW spacetime parameters based on observational data. Full article
Show Figures

Figure 1

16 pages, 1672 KB  
Article
Charged Particles Orbiting Charged Black-Bounce Black Holes
by Sardor Murodov, Kodir Badalov, Javlon Rayimbaev, Bobomurat Ahmedov and Zdeněk Stuchlík
Symmetry 2024, 16(1), 109; https://doi.org/10.3390/sym16010109 - 16 Jan 2024
Cited by 13 | Viewed by 3264
Abstract
The detailed and comprehensive analysis of radiation processes in accretion disks consisting of electrically charged particles around black holes may provide powerful information about the spacetime geometry of the central black hole. We investigate the circular orbits of electrically charged particles around an [...] Read more.
The detailed and comprehensive analysis of radiation processes in accretion disks consisting of electrically charged particles around black holes may provide powerful information about the spacetime geometry of the central black hole. We investigate the circular orbits of electrically charged particles around an electrically charged black-bounce Reissner–Nordström (RN) black hole, known as an RN Simpson–Visser (SV) black hole. We also study the profiles of the innermost stable circular orbits (ISCOs), energy, and angular momentum of the particles in their ISCOs, as well as the efficiency of energy release processes in the accretion disk in the Novikov–Thorne model. Finally, we calculate and study the effects of the black-bounce parameter as well as the black-hole charge on the intensity of the radiation of ultrarelativistic charged particles orbiting the charged RN SV black hole along circular orbits and falling into the black hole. It is observed that the black-bounce parameter essentially decreases the ISCO radius, and consequently the energy extraction and intensity of electromagnetic radiation. Full article
Show Figures

Figure 1

16 pages, 1418 KB  
Article
Dynamics of Particles with Electric Charge and Magnetic Dipole Moment near Schwarzschild-MOG Black Hole
by Sardor Murodov, Javlon Rayimbaev, Bobomurat Ahmedov and Abdullo Hakimov
Symmetry 2023, 15(11), 2084; https://doi.org/10.3390/sym15112084 - 19 Nov 2023
Cited by 15 | Viewed by 2138
Abstract
The study of electromagnetic interactions among test particles with electric charges and magnetic dipole moments is of great significance when examining the dynamics of particles within strong gravitational fields surrounding black holes. In this work, we focus on investigating the dynamics of particles [...] Read more.
The study of electromagnetic interactions among test particles with electric charges and magnetic dipole moments is of great significance when examining the dynamics of particles within strong gravitational fields surrounding black holes. In this work, we focus on investigating the dynamics of particles possessing both electric charges and magnetic dipole moments in the spacetime of a Schwarzschild black hole within the framework of modified gravity (MOG), denoted as a Schwarzschild-MOG black hole. Our approach begins by offering a solution to Maxwell’s equations for the angular component of the electromagnetic four potentials within Schwarzschild-MOG spacetime. Subsequently, we derive the equations of motion and establish the effective potential for particles engaged in circular motion. This is achieved using a hybrid formulation of the Hamilton–Jacobi equation, encompassing interactions between electric charges and magnetic dipole moments, the external magnetic field (assumed to be asymptotically uniform), and interactions between the particles and the MOG field. Furthermore, we investigate the impacts of these three types of interactions on critical parameters, including the radius of innermost stable circular orbits (ISCOs), as well as the energy and angular momentum of particles when situated at their respective ISCOs. Finally, a detailed analysis concerning the effects of these interactions on the center-of-mass energy is presented in collisions involving neutral, electrically charged, and magnetized particles. Full article
(This article belongs to the Special Issue Noether and Space-Time Symmetries in Physics—Volume Ⅱ)
Show Figures

Figure 1

13 pages, 1191 KB  
Article
Quasiperiodic Oscillations and Dynamics of Test Particles around Regular-Kiselev Black Holes
by Javlon Rayimbaev, Nozima Juraeva, Malika Khudoyberdiyeva, Ahmadjon Abdujabbarov and Mardon Abdullaev
Galaxies 2023, 11(6), 113; https://doi.org/10.3390/galaxies11060113 - 16 Nov 2023
Cited by 16 | Viewed by 2248
Abstract
Testing gravity theories combining (massive and massless) scalar & electrodynamic fields become the most important issue in relativistic astrophysics using data from, black hole observations. In the present work, we first show a spherically symmetric black hole solution in general relativity coupling to [...] Read more.
Testing gravity theories combining (massive and massless) scalar & electrodynamic fields become the most important issue in relativistic astrophysics using data from, black hole observations. In the present work, we first show a spherically symmetric black hole solution in general relativity coupling to generic-type nonlinear electrodynamics (NED) together with the quintessential field. We also obtain possible values for the parameters of the quintessential field and NED charge in the black hole environment for different values of degree of nonlinearity. Also, event horizon properties and scalar invariants of the black hole spacetime are studied. We investigate the equatorial motion of test particles around the regular-Kiselev black holes and study the combined effects of quintessential field and the NED charge of the black hole on particle angular momentum together with its energy at their circular orbits as well as their innermost circular stable orbits (ISCOs) and compared the obtained results with Reissner-Nordström black hole (RN BH) case. Moreover, we study particle oscillations along the orbits above than ISCO and applications to quasiperiodic oscillations (QPOs) where we obtain constrain values for the quintessential parameter and black hole mass charge parameters using observational QPO data from microquasars. Full article
Show Figures

Figure 1

15 pages, 4222 KB  
Review
X-ray Spectroscopic Study of Low-Mass X-ray Binaries: A Review of Recent Progress via the Example of GX 339-4
by Gábor Pszota and Endre Kovács
Universe 2023, 9(9), 404; https://doi.org/10.3390/universe9090404 - 4 Sep 2023
Cited by 2 | Viewed by 1832
Abstract
Low-mass X-ray binaries (LMXB) serve as natural laboratories, where the predictions of general relativity can be tested in the strong field regime. The primary object of such sources can be a neutron star (NS) or a black hole (BH), and this object captures [...] Read more.
Low-mass X-ray binaries (LMXB) serve as natural laboratories, where the predictions of general relativity can be tested in the strong field regime. The primary object of such sources can be a neutron star (NS) or a black hole (BH), and this object captures material from the secondary object through the inner Lagrange point via a process called Roche lobe overflow. Because of the angular momentum of the infalling matter, an accretion disk is formed, in which viscous effects transport the angular momentum radially outward. In the high/soft state of these sources, the accretion disk can extend all the way to the innermost stable circular orbit (ISCO); therefore, when the primary object is a BH, its X-ray spectrum contains information about the region very close to the event horizon. This paper aims to review the theoretical and observational works related to the X-ray spectroscopy of such sources via the example of GX 339-4, which is one of the most well-known and well-studied LMXBs. Full article
(This article belongs to the Section Compact Objects)
Show Figures

Figure 1

18 pages, 1196 KB  
Article
Test Particles and Quasiperiodic Oscillations around Gravitational Aether Black Holes
by Javlon Rayimbaev, Farrux Abdulxamidov, Sardor Tojiev, Ahmadjon Abdujabbarov and Farhod Holmurodov
Galaxies 2023, 11(5), 95; https://doi.org/10.3390/galaxies11050095 - 1 Sep 2023
Cited by 18 | Viewed by 2360
Abstract
This paper is devoted to the analysis of the dynamics of test particles in the vicinity of a black hole within the framework of a gravitational aether model. First, we explored the structure of spacetime by analyzing the curvature scalars. Then, we studied [...] Read more.
This paper is devoted to the analysis of the dynamics of test particles in the vicinity of a black hole within the framework of a gravitational aether model. First, we explored the structure of spacetime by analyzing the curvature scalars. Then, we studied particle dynamics around a black hole using the Hamilton–Jacobi equation.The influence of the aether on the effective potential of the radial motion of test particles around the black hole has been investigated. The dependence of the innermost stable circular orbits (ISCO) on the aether parameter has also been investigated. We also considered particle collision near the black hole in the presence of aether, and studied the fundamental frequencies of the orbital motion of the test particles around the black hole in the presence of aether. Further, we applied the obtained results to the analysis of the upper and lower frequencies of twin-peaked quasiperiodic oscillations (QPOs) occurring near black holes. Finally, we use theoretical and numerical results to obtain constraints on model parameters using observation data in QPO. Full article
Show Figures

Figure 1

14 pages, 1219 KB  
Article
Quasiperiodic Oscillations and Dynamics of Test Particles around Quasi- and Non-Schwarzschild Black Holes
by Sardor Murodov, Javlon Rayimbaev, Bobomurat Ahmedov and Eldor Karimbaev
Universe 2023, 9(9), 391; https://doi.org/10.3390/universe9090391 - 29 Aug 2023
Cited by 16 | Viewed by 2051
Abstract
One of the open problems in black hole physics is testing spacetime around black holes through astrophysical observations in the strong field regime. In fact, black holes cannot produce radiation themselves in the electromagnetic spectrum. However, a black hole’s gravity plays an important [...] Read more.
One of the open problems in black hole physics is testing spacetime around black holes through astrophysical observations in the strong field regime. In fact, black holes cannot produce radiation themselves in the electromagnetic spectrum. However, a black hole’s gravity plays an important role in the production of the radiation of the accretion disc around it. One may obtain valuable information from the electromagnetic radiation of accretion discs about the gravitational properties of the spacetime around black holes. In this work, we study particle dynamics in the spacetime of quasi- and non-Schwarzschild black holes. We compare the gravitational effects of the spacetime deformation parameters of both black hole solutions on the innermost stable circular orbit (ISCO) radius, position, energy, and angular momentum of test particles at the ISCO, together with the energy efficiency of the accretion disc in the thin Novikov–Thorn model. Furthermore, we study the frequencies of particle oscillations in the radial and angular directions along circular stable orbits around both deformed black holes. Furthermore, we investigate quasiperiodic oscillations around the black holes in the relativistic precession model. We show the dependence of the deviation parameters on the orbits of twin peak QPOs with the frequency ratio 3:2. In the obtained results, we compare the gravitational effects of deviation parameters with the spin of a rotating Kerr black hole. Finally, we obtain constraints on the values of the deviation parameter of the spacetime around the black hole at the center of the microquasars GRO J1655-40 and GRS 1915-105 and their mass, using the χ2 method. Full article
(This article belongs to the Collection Open Questions in Black Hole Physics)
Show Figures

Figure 1

15 pages, 648 KB  
Article
Properties of Spherically Symmetric Black Holes in the Generalized Brans–Dicke Modified Gravitational Theory
by Mou Xu, Jianbo Lu, Shining Yang and Hongnan Jiang
Entropy 2023, 25(5), 814; https://doi.org/10.3390/e25050814 - 18 May 2023
Cited by 4 | Viewed by 2306
Abstract
The many problems faced by the theory of general relativity (GR) have always motivated us to explore the modified theory of GR. Considering the importance of studying the black hole (BH) entropy and its correction in gravity physics, we study the correction of [...] Read more.
The many problems faced by the theory of general relativity (GR) have always motivated us to explore the modified theory of GR. Considering the importance of studying the black hole (BH) entropy and its correction in gravity physics, we study the correction of thermodynamic entropy for a kind of spherically symmetric black hole under the generalized Brans–Dicke (GBD) theory of modified gravity. We derive and calculate the entropy and heat capacity. It is found that when the value of event horizon radius r+ is small, the effect of the entropy-correction term on the entropy is very obvious, while for larger values r+, the contribution of the correction term on entropy can be almost ignored. In addition, we can observe that as the radius of the event horizon increases, the heat capacity of BH in GBD theory will change from a negative value to a positive value, indicating that there is a phase transition in black holes. Given that studying the structure of geodesic lines is important for exploring the physical characteristics of a strong gravitational field, we also investigate the stability of particles’ circular orbits in static spherically symmetric BHs within the framework of GBD theory. Concretely, we analyze the dependence of the innermost stable circular orbit on model parameters. In addition, the geodesic deviation equation is also applied to investigate the stable circular orbit of particles in GBD theory. The conditions for the stability of the BH solution and the limited range of radial coordinates required to achieve stable circular orbit motion are given. Finally, we show the locations of stable circular orbits, and obtain the angular velocity, specific energy, and angular momentum of the particles which move in circular orbits. Full article
(This article belongs to the Special Issue Advances in Black Hole Thermodynamics)
Show Figures

Figure 1

22 pages, 1271 KB  
Article
Magnetized Particles with Electric Charge around Schwarzschild Black Holes in External Magnetic Fields
by Javlon Rayimbaev, Sanjar Shaymatov, Farrux Abdulxamidov, Saidmuhammad Ahmedov and Dilfuza Begmatova
Universe 2023, 9(3), 135; https://doi.org/10.3390/universe9030135 - 6 Mar 2023
Cited by 10 | Viewed by 2739
Abstract
We investigate the dynamics of test particles endowed with both electric charge and a magnetic dipole moment around a Schwarzschild black hole (BH) immersed in an externally asymptotically uniform magnetic field. We further analyse the effective potential and specific angular momentum and energy [...] Read more.
We investigate the dynamics of test particles endowed with both electric charge and a magnetic dipole moment around a Schwarzschild black hole (BH) immersed in an externally asymptotically uniform magnetic field. We further analyse the effective potential and specific angular momentum and energy of the particles. Furthermore, we show that the upper limit for magnetic interaction parameter β increases with increasing cyclotron frequency ωB, while the radius of the innermost stable circular orbit (ISCO) for charged test particles decreases for the upper value of β=βupper. Furthermore, we show that the energy efficiency released from the BH increases up to about 90% due to the presence of the magnetic dipole moment of the test particle. We explore a degeneracy between the spin parameter of rotating Kerr BH and the magnetic parameter for the values of the ISCO radius and energy efficiency. We study in detail the centre of mass energy for collisions of charged and magnetized particles in the environment surrounding the Schwarzchild BH. Finally, as an astrophysical application, we explore the magnetized parameter and cyclotron frequency numerically for a rotating magnetized neutron star. Interestingly, we show that the corresponding values of the above-mentioned parameters for the magnetar PSR J1745-2900 that orbits around the supermassive black hole (SMBH) that exists at the centre of the Milky Way galaxy are ωB5 and β0.67, respectively, for the magnetic field is about 10 G. Full article
(This article belongs to the Special Issue Galactic Center with Gravity)
Show Figures

Figure 1

16 pages, 1366 KB  
Article
Space-Time Properties of Extreme RN Black Holes in Static Triangular Distribution
by Gangqi Shen, Yu Wang and Houjun Lü
Symmetry 2023, 15(2), 505; https://doi.org/10.3390/sym15020505 - 14 Feb 2023
Cited by 2 | Viewed by 2131
Abstract
We studied the space-time properties of the triangular symmetric black hole in the case of extreme RN black hole. Because the neutral test particle is only affected by space-time in the curved space-time, we chose the triangular symmetric black hole as the model [...] Read more.
We studied the space-time properties of the triangular symmetric black hole in the case of extreme RN black hole. Because the neutral test particle is only affected by space-time in the curved space-time, we chose the triangular symmetric black hole as the model with which to study the motion of the test particle in this case. The curvature tensor and curvature scalar were calculated by giving the metric and the Christoffel Symbol, and then the kinematics equation of the test particle was obtained and analyzed by using these quantities. Then we analyzed the relationship between the coordinate distance and the inherent distance, the relationship between the coordinate time and the inherent time, the inherent velocity and the coordinate velocity of light, and then verified the correctness of general relativity. Next, the one-dimensional effective potential and two-dimensional effective potential of the system under different separation distances were analyzed. Finally, we analyzed and explored the innermost stable circular orbit, calculated all the Lagrange points under this model, and expounded some applications of circular orbit in astrophysics. Full article
(This article belongs to the Special Issue Symmetry in Gravity Research)
Show Figures

Graphical abstract

19 pages, 1050 KB  
Review
Orbits of Particles and Photons around Regular Rotating Black Holes and Solitons
by Irina Dymnikova and Anna Dobosz
Symmetry 2023, 15(2), 273; https://doi.org/10.3390/sym15020273 - 18 Jan 2023
Cited by 2 | Viewed by 2567
Abstract
We briefly overview the basic properties and generic behavior of circular equatorial particle orbits and light rings around regular rotating compact objects with dark energy interiors, which are described by regular metrics of the Kerr–Schild class and include rotating black holes and self-gravitating [...] Read more.
We briefly overview the basic properties and generic behavior of circular equatorial particle orbits and light rings around regular rotating compact objects with dark energy interiors, which are described by regular metrics of the Kerr–Schild class and include rotating black holes and self-gravitating spinning solitons replacing naked singularities. These objects have an internal de Sitter vacuum disk and can have two types of dark interiors, depending on the energy conditions. The first type reduces to the de Sitter disk, the second contains a closed de Sitter surface and an S surface with the de Sitter disk as the bridge and an anisotropic phantom fluid in the regions between the S surface and the disk. In regular geometry, the potentials decrease from V(r) to their minima, which ensures the existence of the innermost stable photon and particle orbits that are essential for processes of energy extraction occurring within the ergoregions, which for the second type of interiors contain the phantom energy. The innermost orbits provide a diagnostic tool for investigation of dark interiors of de Sitter–Kerr objects. They include light rings which confine these objects and ensure the most informative observational signature for rotating black holes presented by their shadows. Full article
(This article belongs to the Special Issue Symmetry/Asymmetry: Feature Review Papers)
Show Figures

Figure 1

11 pages, 477 KB  
Article
Electromagnetic Fields around Black Holes in Einstein Æther Gravity
by Javlon Rayimbaev, Bobomurat Ahmedov and Eldor Karimbaev
Symmetry 2022, 14(9), 1809; https://doi.org/10.3390/sym14091809 - 1 Sep 2022
Cited by 2 | Viewed by 2061
Abstract
Axial symmetry and stationary properties of spacetime allow to find exact analytical solutions of differential equations describing fields and particles in a gravitational background. The present work is mainly devoted to derivation of exact solutions of Maxwell’s equations for magnetic fields generated by [...] Read more.
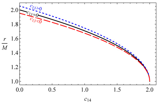
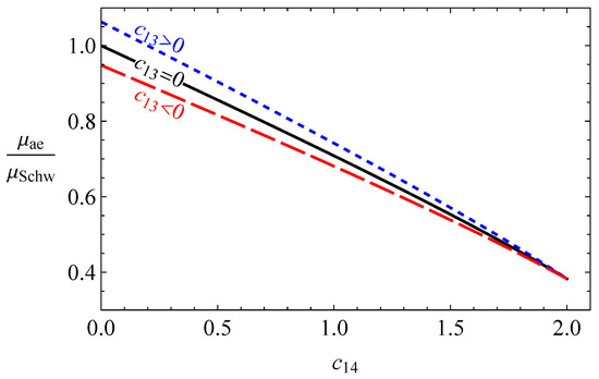
Axial symmetry and stationary properties of spacetime allow to find exact analytical solutions of differential equations describing fields and particles in a gravitational background. The present work is mainly devoted to derivation of exact solutions of Maxwell’s equations for magnetic fields generated by current loops around static black holes (BHs) in Einstein-aether gravity based on the spacetime symmetries in both regions: (i) interior and (ii) exterior to the current loop for a proper observer. The spacetime symmetries are applied in separating variables to solve the second order ordinary differential equation for vector potential of electromagnetic field and the equations of motion of test particles around the aether BH. We also study effects of the aether field on innermost stable circular orbits (ISCOs) of the test particles assuming the current loop position is placed there. It is obtained that the ISCO radius, as well as dipole magnetic moment of the current loop decrease with the increase of the aether parameter c14. Moreover, the performed analysis indicates that the aether field causes a decrease in the magnetic field inside and outside the current loop due to the change of its position. Full article
(This article belongs to the Section Physics)
Show Figures

Figure 1

9 pages, 1032 KB  
Article
Radiation Properties of the Accretion Disk around a Black Hole Surrounded by PFDM
by Bakhtiyor Narzilloev and Bobomurat Ahmedov
Symmetry 2022, 14(9), 1765; https://doi.org/10.3390/sym14091765 - 24 Aug 2022
Cited by 35 | Viewed by 3499
Abstract
The thermal radiation properties of the accretion disk around a non-rotating black hole with a perfect fluid dark matter (PFDM) environment are investigated. A non-rotating black hole surrounded by perfect fluid dark matter together with a classical geometrically thin but optically thick Novikov–Thorne [...] Read more.
The thermal radiation properties of the accretion disk around a non-rotating black hole with a perfect fluid dark matter (PFDM) environment are investigated. A non-rotating black hole surrounded by perfect fluid dark matter together with a classical geometrically thin but optically thick Novikov–Thorne disk is selected as a system to be analyzed. It is observed that the perfect fluid dark matter strengthens the gravitational field, which leads to both the increase of the radii of the event horizon and the innermost stable circular orbit (ISCO). However, for the flux of the radiant energy over the accretion disk, the maximum flux is reduced and shifted outwards the central object under the influence of the perfect fluid dark matter. The dependence of the thermal profile of the disk on the radial coordinate and the intensity of perfect fluid dark matter shows analogous behavior. It has been demonstrated that the radiative efficiency of the accretion disk is increased from ∼6% up to ∼20% with the increase in the intensity of the surrounding perfect fluid dark matter. The thermal spectra of the accretion disk has also been explored, which is shifted towards the lower frequencies (corresponding to the gravitational redshift of the electromagnetic radiation coming from the disk) with the increase in the intensity of the perfect fluid dark matter. Full article
(This article belongs to the Section Physics)
Show Figures

Figure 1

Back to TopTop