Next Article in Journal
New Convergence Theorems for Pseudomonotone Variational Inequality on Hadamard Manifolds
Next Article in Special Issue
Noether Symmetry Analysis of the Klein–Gordon and Wave Equations in Bianchi I Spacetime
Previous Article in Journal
Private Set Intersection Based on Lightweight Oblivious Key-Value Storage Structure
 
 
Font Type:
Arial Georgia Verdana
Font Size:
Aa Aa Aa
Line Spacing:
Column Width:
Background:
Article

Dynamics of Particles with Electric Charge and Magnetic Dipole Moment near Schwarzschild-MOG Black Hole

by
Sardor Murodov
1,2,3,
Javlon Rayimbaev
4,5,6,7,
Bobomurat Ahmedov
1,8,9,* and
Abdullo Hakimov
10
1
Institute of Fundamental and Applied Research, National Research University TIIAME, Kori Niyoziy 39, Tashkent 100000, Uzbekistan
2
Uzbekistan-Finland Pedagogical Institute, Spitamen Shokh Str. 166, Samarkand 140100, Uzbekistan
3
Department of Theoretical Physics, Samarkand State University, Samarkand 140104, Uzbekistan
4
School of Mathematics and Natural Sciences, New Uzbekistan University, Mustaqillik Ave. 54, Tashkent 100007, Uzbekistan
5
School of Engineering, Central Asian University, Tashkent 111221, Uzbekistan
6
Faculty of Computer Engineering, University of Tashkent for Applied Sciences, Gavhar Str. 1, Tashkent 100149, Uzbekistan
7
Power Engineering Faculty, Tashkent State Technical University, Tashkent 100095, Uzbekistan
8
Institute of Theoretical Physics, National University of Uzbekistan, Tashkent 100174, Uzbekistan
9
Ulugh Beg Astronomical Institute, Astronomy Str. 33, Tashkent 100052, Uzbekistan
10
Department of Applied Mathematics, Samarkand International University of Technology, 270 Spitamen Avenue, Samarkand 140100, Uzbekistan
*
Author to whom correspondence should be addressed.
Symmetry 2023, 15(11), 2084; https://doi.org/10.3390/sym15112084
Submission received: 7 October 2023 / Revised: 13 November 2023 / Accepted: 16 November 2023 / Published: 19 November 2023
(This article belongs to the Special Issue Noether and Space-Time Symmetries in Physics—Volume Ⅱ)

Abstract

:
The study of electromagnetic interactions among test particles with electric charges and magnetic dipole moments is of great significance when examining the dynamics of particles within strong gravitational fields surrounding black holes. In this work, we focus on investigating the dynamics of particles possessing both electric charges and magnetic dipole moments in the spacetime of a Schwarzschild black hole within the framework of modified gravity (MOG), denoted as a Schwarzschild-MOG black hole. Our approach begins by offering a solution to Maxwell’s equations for the angular component of the electromagnetic four potentials within Schwarzschild-MOG spacetime. Subsequently, we derive the equations of motion and establish the effective potential for particles engaged in circular motion. This is achieved using a hybrid formulation of the Hamilton–Jacobi equation, encompassing interactions between electric charges and magnetic dipole moments, the external magnetic field (assumed to be asymptotically uniform), and interactions between the particles and the MOG field. Furthermore, we investigate the impacts of these three types of interactions on critical parameters, including the radius of innermost stable circular orbits (ISCOs), as well as the energy and angular momentum of particles when situated at their respective ISCOs. Finally, a detailed analysis concerning the effects of these interactions on the center-of-mass energy is presented in collisions involving neutral, electrically charged, and magnetized particles.

1. Introduction

The present theory and observations confirm that our universe consists of 73% dark energy, 23% dark matter, and the remaining 4% ordinary matter [1,2]. However, there is no unique and complete theory that describes dark matter and dark energy (gravitational) physics. In fact, general relativity (GR) is a classical gravitational theory that is well-tested in weak gravitational field regimes and, at the moment, has started to be experimentally and observationally verified in the strong field regime. Unfortunately, GR, as classical theory, has a singularity problem that the theory itself cannot explain or avoid. However, mathematically, the problem can be avoided by modifying GR with non-linear electrodynamic, scalar, and quantum fields.
In particular, J. Moffat [3] proposed a new approach to modify GR that promises models of gravity that may build the unified theory of gravity. Actually, it contains a massive scalar field, which is referred to as scalar–tensor–vector gravity (STVG).
This approach was presented in order to avoid the break-down of spacetime around black holes at short distances in the frame of the modified gravity (MOG) theory in terms of the massive vector field, which has a source scalar charge Q = α G M , where G is the Newtonian constant, M is the total mass of the black hole, and α is the coupling parameter, the so-called MOG parameter. This term has an additional force with a repulsive nature and is significant at the quantum level. There are several black hole solutions that have been obtained in MOG gravity.
For instance, non-rotating and rotating black hole solutions have been obtained in Ref. [4]. The effects of the STVG field on the dynamics of test particles and the stability of their circular orbits around Schwarzschild-MOG black holes have been explored in the presence and absence of external magnetic fields [5,6]. Solar system tests have also been successfully analyzed in Ref. [3] and galaxy rotation curves [7,8], testing MOG using data from X-ray observations of galaxies [9] and S2 star motion [10,11], shadows of black holes [4,12], thermodynamic properties [13], supernovae [14], gravitational lensing [15], quasinormal modes [16], and gravitational waves in MOG [17,18] have been extensively studied. The different properties of the spacetime around black holes in MOG have been explored in Refs. [19,20,21,22,23,24].
Electrically charged and magnetized particle dynamics have been well studied in the spacetime of different black holes immersed in external magnetic fields.
Schwarzschild-MOG black holes are an intriguing extension of the classic Schwarzschild black holes, introducing deviations from the predictions of general relativity [25]. These deviations have profound implications for the stability of black holes and their associated spacetime geometry. Understanding the linear stability of Schwarzschild-MOG black holes is of paramount importance, as it sheds light on the consequences of modified gravity theories in the context of black hole physics [5].
In our recent work [26], we have investigated the dynamics of a test particle with an electric charge and magnetic dipole moment around a magnetized Schwarzschild black hole. It is shown that slowly rotating magnetized neutron stars and white dwarfs can be interpreted as such particles (the interaction between the spin of the astrophysical objects and the curved spacetime is small enough to neglect it).
The objective of this study is to explore the behavior of charged particles possessing dipole moments in the vicinity of Schwarzschild black holes in the MOG. We also consider the interaction between these particles and the STVG field. The organization of the paper is as follows:
  • Section 2: In this section, we provide a brief introduction to a spherically symmetric nonrotating black hole solution within the context of modified gravity. We also describe the characteristics of the external magnetic fields surrounding these black holes.
  • Section 3: This section is dedicated to the derivation of the effective potential that governs the circular motion of particles and the investigation of the ISCOs associated with their motion.
  • Section 4: In this section, we delve into the examination of critical angular momentum and the center-of-mass energy pertaining to charged, neutral, and magnetized particles.
  • Section 5: Finally, in this concluding section, we summarize the key findings and results obtained throughout the study.
Throughout the paper, we adopt geometrized units, where the speed of light “c” and the gravitational Newtonian constant “ G N ” are set to 1. We use Latin indices to run in the range from 0 to 3.

2. Schwarzschild Black Holes in MOG

The gravitational field action in the STVG theory includes GR S G , matter (pressureless) S M , vector field S ϕ , and scalar field S S terms [13]:
S = S G + S ϕ + S S + S M ,
where
S G = 1 16 π 1 G ( R + 2 Λ ) g d 4 x ,
S ϕ = 1 4 π K + V ( ϕ μ ) g d 4 x ,
S S = 1 G 1 2 g α β α G β G G 2 + α μ β μ μ 2 V G ( G ) G 2 V μ ( μ ) μ 2 g d 4 x ,
S M = ρ u μ u μ + Q u μ ϕ μ g d 4 x + J μ ϕ μ ,
where R = g μ ν R μ ν is the Ricci scalar, Λ is the cosmological constant, g det | g μ ν | is the determinant of the metric tensor, α is the covariant derivation. V ( G ) and V ( μ ) represent potentials associated with the two scalar fields, G and μ , respectively. V ( ϕ μ ) is the potential of the vector field ϕ μ corresponding to the self-interaction of the field, K is the kinetic term for the field ϕ μ , which is read as
4 K = B μ ν B μ ν ,
where B μ ν = μ ϕ ν ν ϕ μ . The covariant current density is introduced and defined as follows:
J μ = κ T M μ ν u ν .
In the given context, the energy–momentum tensor for matter, denoted T M μ ν , is defined with the parameter κ = α G N , where α = ( G G N ) / G N represents a parameter characterizing the scalar field. Here, G N stands for the Newtonian gravitational constant. Q is the gravitational source charge, Q = α G N M .
The timelike velocity vector is denoted as u μ = d x μ / d τ , where τ signifies the proper time along a timelike geodesic. The energy–momentum tensor for perfect fluid matter is expressed as:
T M μ ν = ( ρ M + p M ) u μ u ν p M g μ ν ,
where ρ M represents the density of matter, and p M denotes the pressure of matter. From Equations (7) and (8), using u μ u μ = 1 , we obtain
J μ = k ρ M u μ .
For the matter-free and pressureless MOG field ( T M μ ν = 0 ) in the asymptotically flat (zero-cosmological constant) spacetime, the field equation takes the form
G μ ν = 8 π G c 4 T μ ν ϕ ,
where T μ ν ϕ is the tensor of massive-vector field. The observational data from galaxy and cluster dynamics show that the mass of the particles of the field ϕ is about m ϕ = 2.6 × 10 28 eV, and it is almost zero [7]. One may assume that the vector field is an analog of the electromagnetic field, and its field tensor is defined as
T μ ν ϕ = 1 4 π ( B μ α B ν α 1 4 g μ ν B α β B α β )
with
μ B μ ν = 0 ,
α B μ ν + ν B μ α + μ B α ν = 0 .
The above assumptions imply that the potential term of the action S ϕ is zero ( V ( ϕ μ ) = ( 1 / 2 ) μ ϕ μ ϕ μ = 0 ), so it has only kinetic term, and one may consider the kinetic term as a function of the massive-vector field invariant B = B μ ν B μ ν as K = f ( B ) . The Schwarzschild-MOG black hole solution is obtained with the simple approximation K = B .
The geometry around a Schwarzschild black hole spacetime in MOG is obtained as in following the line element [4]
d s 2 = Δ ( r ) r 2 d t 2 + r 2 Δ ( r ) d r 2 + r 2 ( d θ 2 + sin 2 θ d ϕ 2 ) ,
where
Δ ( r ) = r 2 2 ( 1 + α ) M r + α ( 1 + α ) M 2 .
The Schwarzschild-MOG black hole has two horizons, which can be found by solving the equation Δ ( r ) = 0 , as
r ± / M = 1 + α ± 1 + α .
Moreover, when α = 0 , the metric (14) defines the pure Schwarzschild spacetime in GR, and at α = 1 it turns to Minkowski spacetime in Newtonian.

Magnetization of Schwarzschild-MOG Black Holes

In realistic astrophysical cases, magnetic field configurations near black holes are very complex due to ionized accretion disk dynamics.
The simple approach for obtaining an analytical expression for an external magnetic field’s non-zero components around a Schwarzschild black hole is Wald’s one [27] and the following exact analytical expression for the electromagnetic vector potential
A ϕ = 1 2 B 0 r 2 sin 2 θ .
This expression is derived for the Schwarzschild black hole spacetime under the assumption that a Schwarzschild-MOG black hole is situated within an external magnetic field that is asymptotically uniform, where B 0 represents the magnetic field’s value at infinity. It is worth noting that Equation (17) satisfies the Maxwell equations
1 g μ ( g F μ ν ) = 0 , F μ ν = A ν , μ A μ , ν .
For example, in Ref. [6], the vector potential’s expression is presented in the standard form
A ϕ = 1 2 B 0 ψ ( r ) sin 2 θ .
In the provided context, ψ ( r ) is a radial function that is determined as a solution to the Maxwell equation, Equation (18). In the GR limit at α = 0 , the function ψ ( r ) = r 2 .
The exact analytical solution of the Maxwell equation for A ϕ in the Schwarzschild-MOG black hole spacetime is found by inserting Equation (19) into Equation (18) in the following form:
A ϕ = 1 2 B 0 r 2 α ( α + 1 ) M 2 sin 2 θ .
The strength of the external magnetic field in the curved spacetime is calculated using the expression
B α = 1 2 η α β σ μ F β σ w μ ,
where w μ is four-velocities of an observer, the symbol η α β σ γ is the pseudo-tensorial representation of the Levi-Civita symbol, denoted as ϵ α β σ γ . It is characterized by the following form:
η α β σ γ = g ϵ α β σ γ , η α β σ γ = 1 g ϵ α β σ γ .
The Levi-Civita symbol is ϵ 0123 = 1 for even permutations, and it is −1 for odd permutations.
The magnetic field’s components in an orthonormal coordinate system can be represented by utilizing the electromagnetic field tensor in the following form:
B i ^ = 1 2 ϵ i j k g j j g k k F j k = 1 2 ϵ i j k g j j g k k F j k .
Consequently, the non-zero components of the external magnetic field, as observed by a proper observer with the four-velocity w proper μ = ( 1 / g t t , 0 , 0 , 0 ) , can be obtained through the appropriate calculations
B r ^ = B 0 1 + α ( α + 1 ) M 2 r 2 cos θ , B θ ^ = g t t B 0 sin θ .

3. Motion of Particles with Electrical Charge and Magnetic Dipole Moment Particles in the Schwarzschild-MOG Spacetime

The equations of motion of an electrically charged particle possessing a magnetic dipole moment orbiting a magnetized Schwarzschild black hole in STVG are described using the following hybrid form of the Hamilton–Jacobi equation, which takes into account the massive particle and the STV field interactions, providing insights into the motion of such particles in the presence of an external uniform magnetic field and the accompanying gravitational field of the black hole.
g μ ν S x μ + e A μ + q ˜ Φ μ S x ν + e A ν + q ˜ Φ ν = m 1 2 U 2 ,
where e is the electric charge of the particles having mass m, q ˜ = α m is a parameter that describes the interaction between massive particles and the STV field, ϕ α is the associated vector potential, the term U = D α β F α β accounts for the interaction between the magnetic dipole moment of the particle and the external magnetic field. This interaction term is responsible for describing how the magnetic dipole moment influences the particle’s motion in the presence of a magnetic field. D α β and F α β are the polarization tensors and the electromagnetic field, respectively. The expression for the tensor D α β has the form [28]:
D α β = η α β σ ν u σ μ ν , D α β u β = 0 ,
μ ν represents the four-dipole moment vector of the particle, while u ν denotes the four-velocities of test particles, with respect to the frame of an observer following the particle’s proper time.
The associated four-potentials of the vector field is [10]
ϕ μ = α M r 1 , 0 , 0 , 0 .
The electromagnetic field tensor is expressed in terms of the electric field components E α and magnetic field components B α , as given by
F α β = u [ α E β ] η α β σ γ u σ B γ .
According to the condition provided in Equation (26), the product of the polarization and electromagnetic tensors for a proper observer is defined as:
U = 2 μ α ^ B α ^ = 2 μ B 0 Δ ( r ) r .
For the subsequent analysis, it is assumed that the components of the dipole moment are μ α = ( 0 , 0 , μ θ , 0 ) , consistently aligned with the magnetic field lines and perpendicular to the equatorial plane.
One may derive equations of motion using the Lagrangian taking into account MOG interaction [10]
L = 1 2 g μ ν u μ u ν + q A μ u μ + q ˜ m ϕ μ u μ ,
where the specific charge of the test particles is q = e / m .
The integrals of motion for electrically charged particles with magnetic dipole moment can be found using the time translation and the rotational symmetry of the geometry, which corresponds to the conserved quantities that can be calculated using the Killing vectors
ξ ( t ) μ μ = t , ξ ( ϕ ) μ μ = ϕ ,
here, ξ ( t ) μ = ( 1 , 0 , 0 , 0 ) and ξ ( ϕ ) μ = ( 0 , 0 , 0 , 1 ) , and the corresponding conserved quantities are the specific energy E = E / m of the moving particle and its angular momentum L = L / m . Consequently, t ˙ and ϕ ˙ take the form
t ˙ = r 2 Δ ( r ) E α M r ,
ϕ ˙ = L r 2 ω 1 α ( 1 + α ) M 2 r 2 .
Consequently, the motion of electrically charged particles possessing magnetic dipole moments as they orbit the magnetized Schwarzschild-MOG black hole within the equatorial plane (i.e., θ = π / 2 and θ ˙ = 0 ) is governed by the following action:
S = E t + L ϕ + S r .
Then, we can derive the equation for the radial coordinate using the Hamilton–Jacobi Equation (25) and the obtained integrals of motions along t and ϕ coordinates (32) and (33) as
r ˙ 2 = E α M r 2 Δ ( r ) r 2 1 β Δ ( r ) r 2 + L r + ω r 1 α ( 1 + α ) M 2 r 2 2 ,
where ω = e B 0 / ( 2 m ) is the magnetic parameter describing the interaction between electric charge and the external magnetic field.
In consideration, we express the variables separately in the Hamilton–Jacobi equation. Subsequently, the radial motion of the particle can be defined as follows:
r ˙ 2 = E V eff + ( r ) E V eff ( r ) ,
where V eff ± ( r ) is the circular motion of charged magnetized particles and has the form
V eff ± ( r ) = α M r ± Δ ( r ) r 2 1 β Δ ( r ) r 2 + L r + ω r 1 α ( 1 + α ) M 2 r 2 2 .
In our further analyses, we have chosen the effective potential as V eff ( r ) = V eff + ( r ) because V eff ( r ) < 0 .
In the provided equation, L = L / m represents the specific angular momentum of the particles, while β = μ B 0 / ( 2 m ) denotes the magnetic coupling parameter, which characterizes the magnetic interaction between the magnetic dipole moment of the particles and external magnetic fields.
The radial behavior of the effective potential for the circular motion of charged particles with magnetic dipole moments around Schwarzschild black holes in modified gravity is examined in Figure 1 for various values of the parameters α , β , and ω . These profiles are compared to the Schwarzschild black hole case for reference. Notably, it is observed that, in the presence of the MOG field, the maximum of the effective potential decreases due to the negative interaction energy between test particles and the STV field. Moreover, the maximum either increases or decreases due to the presence of electromagnetic interaction between the electric charge and the magnetic field, depending on whether ω is positive or negative. Lastly, the presence of a magnetic interaction between the magnetic field and the magnetic dipole of the particles leads to a significant decrease in their effective potential.

3.1. Circular Orbits

Along circular orbits, there is (no radial motion) no radial forces or the existing forces compensate each other at the corresponding values of the angular momentum of the particles.
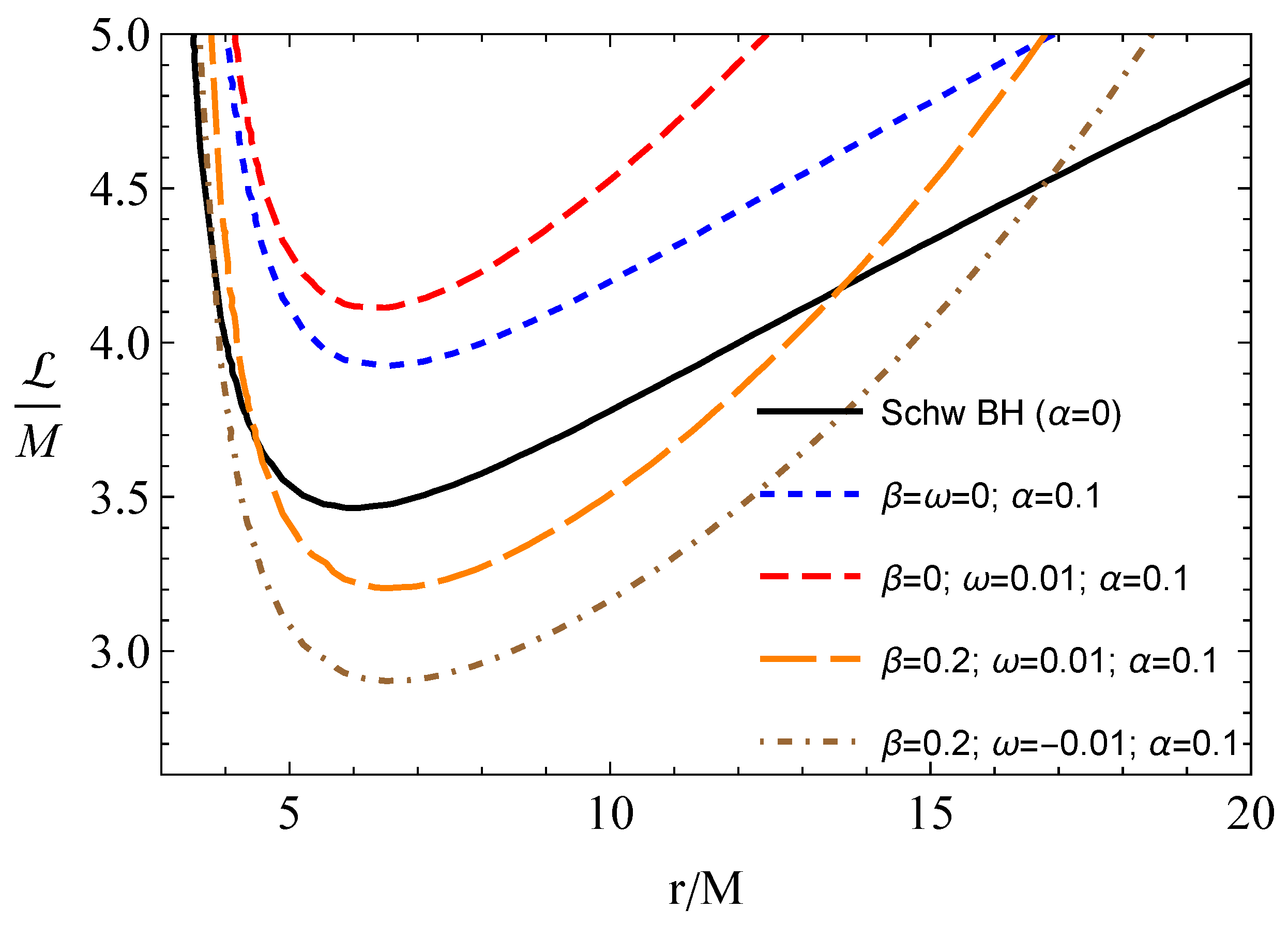
The circularity of the orbits for test-charged magnetized particles orbiting a magnetized black hole can be studied by considering the conditions V eff = E and V eff = 0 , where the prime indicates a partial derivative with respect to the radial coordinate. By solving these conditions, one can determine the angular momentum of the particles that corresponds to circular orbits. This angular momentum value provides insights into the characteristics of these circular trajectories.
Figure 2 displays the specific angular momentum of charged, magnetized particles in motion around a Schwarzschild black hole in modified gravity. The figure depicts various values of the parameters α , β , and ω . Notably, it is evident from the figure that the minimum angular momentum increases significantly in the presence of the MOG field parameter α , and the distance at which this minimum occurs extends farther from the central object (as indicated by the black solid and blue dashed lines). Similarly, the angular momentum also increases with positive values of the magnetic coupling parameter ω . Conversely, when ω is negative, the presence of the magnetic interaction parameter β results in a decrease in the minimum angular momentum. These findings provide insights into the effects of different parameters on the angular momentum of particles in circular motion around a black hole.

3.2. Innermost Stable Circular Orbits

Solving condition V eff = 0 with respect to r helps to find the orbits where the effective potential has extreme values. The circular orbits become stable where the effective potential is minimal. Thus, if V eff ( r ) < 0 , the orbits are unstable, and all stable circular orbits satisfy condition r r V eff ( r ISCO ) > 0 while satisfies r r V eff ( r ISCO ) = 0 . The importance of the ISCO around black holes is connected with the inner edge of the accretion disk. Interestingly, when test particles are in their Keplerian accretion disk, they fall down into the central black hole and extract some amount of energy, which may convert to both electromagnetic and gravitational radiation under certain conditions. The energy released through the radiation can be determined by the difference between the rest of the energy of the particle (measured by a suitable observer) and the ISCO energy of the particles ( E ISCO ). Consequently, the efficiency of the energy release from the accretion disk has the following form [29]:
η = 1 E | r = r ISCO .
Below, we analyze the effects of the STV field on the radius of ISCO of test particles, their energy and angular momentum at the orbits, and the energy efficiency for different values of magnetic coupling and magnetic interaction parameters between the magnetic field and electric charge and magnetic dipole moment of the particles, respectively.
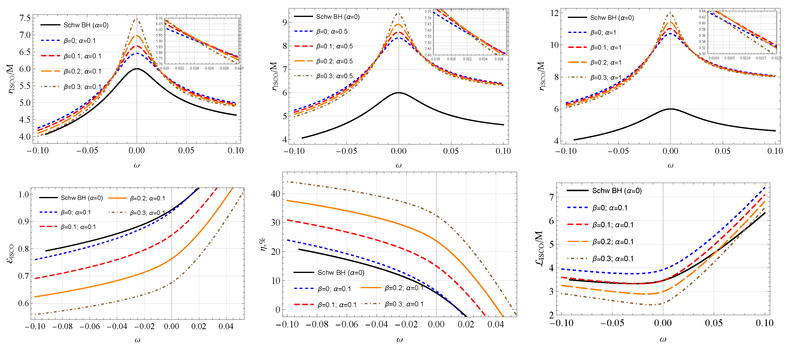
In Figure 3, several key parameters associated with particles in the innermost stable circular orbit (ISCO) are depicted as functions of the MOG field parameter α for different values of the parameters β and ω , as follows:
  • ISCO radius ( r ISCO ): It can be observed that an increase in the value of α results in a quasi-linear reduction in the ISCO radius ( r ISCO ). This effect is enhanced by the presence of the MOG field. Additionally, the presence of electric charge and magnetic field interaction with ω = 0.01 leads to a slight decrease in the ISCO radius, as indicated by the blue dashed line. When the magnetic dipole of the particles is involved with β = 0.1 , the radius exhibits a slight increase.
  • Angular momentum at ISCO ( L ISCO ): The angular momentum of particles at the ISCO increases due to the presence of a centripetal magnetic interaction force. Similarly, the MOG field amplifies the effect of this force. However, when the magnetic interaction involves the magnetic dipole of the particles, the angular momentum decreases, signifying a centrifugal magnetic interaction force. Moreover, when ω < 0 , the angular momentum experiences a significant decrease.
  • Energy at ISCO ( E ISCO ): The energy at the ISCO reduces with an increase in the positive values of the parameters α and β and with negative values of ω . This behavior is linked to the interactions and forces acting on the particles in the vicinity of the ISCO.
These findings offer a comprehensive understanding of the impact of various parameters on the ISCO and associated particle characteristics.
In Figure 4, a detailed analysis is presented, illustrating the radial changes in L I S C O and E I S C O , as well as the energy efficiency, on the ISCO radius. These analyses are carried out for different values of STVG and magnetic interaction parameters. The following observations can be made:
  • Angular momentum and energy at ISCO: For ω > 0 , there is an increase in angular momentum and a decrease in energy for the particles at the ISCO. On the contrary, in the cases of negative ω and when β is present, these trends reverse.
  • Energy efficiency: Energy efficiency exhibits a positive correlation with ω > 0 (an increase in efficiency) and a negative correlation with negative ω (a decrease in efficiency). The presence of β leads to the opposing trends in energy efficiency.
These findings provide insights into how the values of STVG and magnetic interaction parameters affect the angular momentum, energy, and energy efficiency of particles at the ISCO, as well as their ISCO radius.
Figure 5 displays the relationship between the ISCO radius of the test particles and the magnetic coupling parameter ω . This relationship is shown for various values of the parameters β and α . The following observations can be made:
  • Impact of α and β : Increasing the values of α and β leads to an increase in the ISCO radius.
  • Effect of ω : Both positive and negative values of ω result in a reduction in the ISCO radius.
  • Degeneracy: A zoomed-in section of the figure reveals that different combinations of β and ω may provide the same ISCO radius for a given value of α . This indicates the existence of degenerate solutions, where different parameter values can lead to identical ISCO radii.
These results shed light on the complex interplay between the parameters α , β , and ω in determining the ISCO radius for charged, magnetized test particles.

4. Particle Collisions near Magnetized Schwarzschild MOG Black Holes

The estimation of the total energy released by various processes occurring in the vicinity of black holes is essential for understanding why active galactic nuclei (AGN) exhibit a luminosity on the order of 10 45 erg/s, which is believed to be sourced by candidates of supermassive black holes.
Several physical models have been proposed as energy extraction mechanisms from black holes. For the first time, Penrose proposed a simple mechanism [30] by which a particle coming into the ergosphere around a rotating Kerr black hole decays by two particles: one of the parts falls into the black hole, and the other one goes to infinity, taking more energy than the initial one. This mechanism has been developed in works in the literature (for example, [31,32]).
Banados, Silk, and West (BSW) [33,34] have considered collisions of particles near a black hole horizon as an energy extraction model, and the model has also been developed in [34,35,36,37,38,39,40,41,42,43,44,45]. The study demonstrates that the efficiency of the extracted energy from the central black hole has higher values in instances of head-on collisions. In such cases, a larger fraction of the energy involved in the collision can be released from the black hole, making head-on collisions a more efficient mechanism for energy extraction.
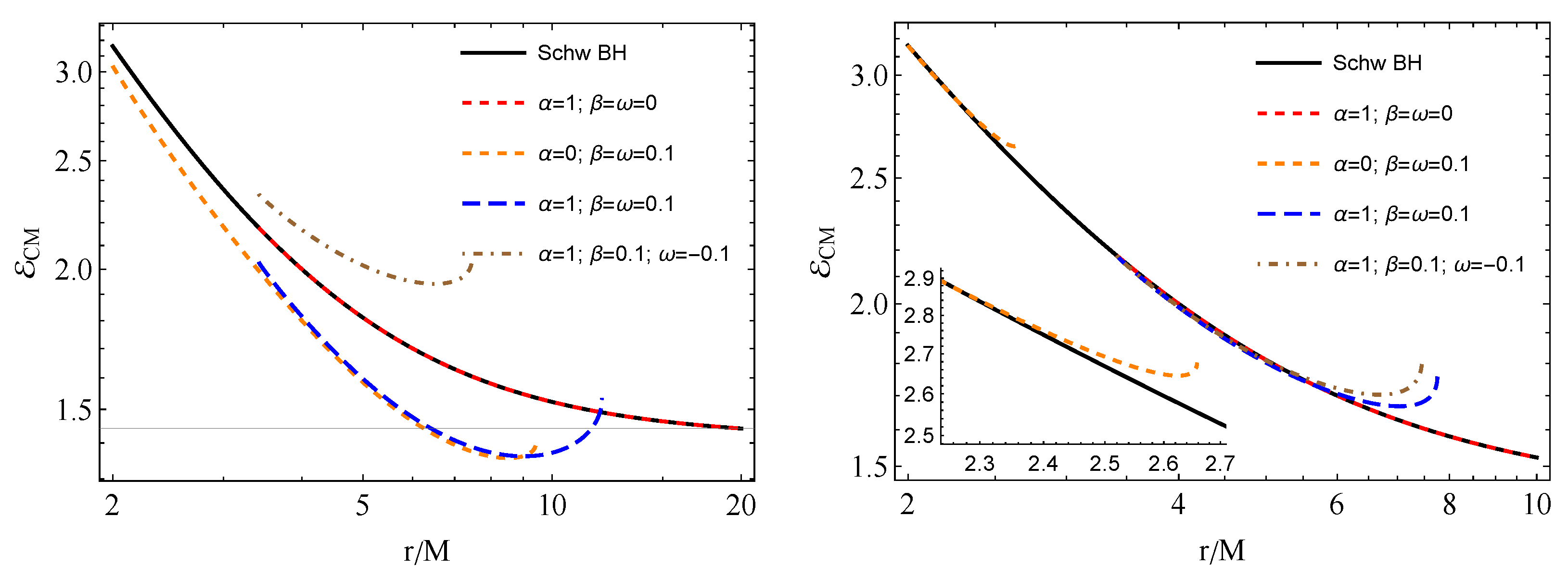
In this study, we investigate the collisions of test particles, which can be electrically charged, neutral, or magnetized, within the spacetime of a magnetized Schwarzschild black hole (BH) in the context of modified gravity. To calculate the center-of-mass energy E cm for these colliding particles, we utilize the general expression as provided in reference [33]:
1 g 00 E cm , 0 , 0 , 0 = m 1 u 1 μ + m 2 u 2 ν ,
where u i μ and m i are the four-velocity and mass of ith particle ( i = 1 , 2 ). One can obtain the expression for E cm using the normalization condition g μ ν u μ u ν = 1 in the form
E c m 2 m 1 m 2 = m 1 2 + m 2 2 m 1 m 2 2 g μ ν u 1 μ u 2 ν .
In our further analyses, we consider the simple cases in the masses m 1 = m 2 = m .

4.1. Critical Angular Momentum of Colliding Particles

In fact, the center-of-mass energy in the collisions of the particles takes its maximum value in close orbits near the horizon. The radial velocity of colliding particles satisfies the condition r ˙ 2 0 , which is a function of the angular momentum r ˙ 2 ( L ) and the other parameters. As the angular momentum increases, the radial velocity decreases. When the angular momentum takes a critical value, the radial velocity and its first derivation along r become zero: r ˙ = 0 and r ( r ˙ 2 ) = 0 . We will numerically solve the system of equations in complicated form.
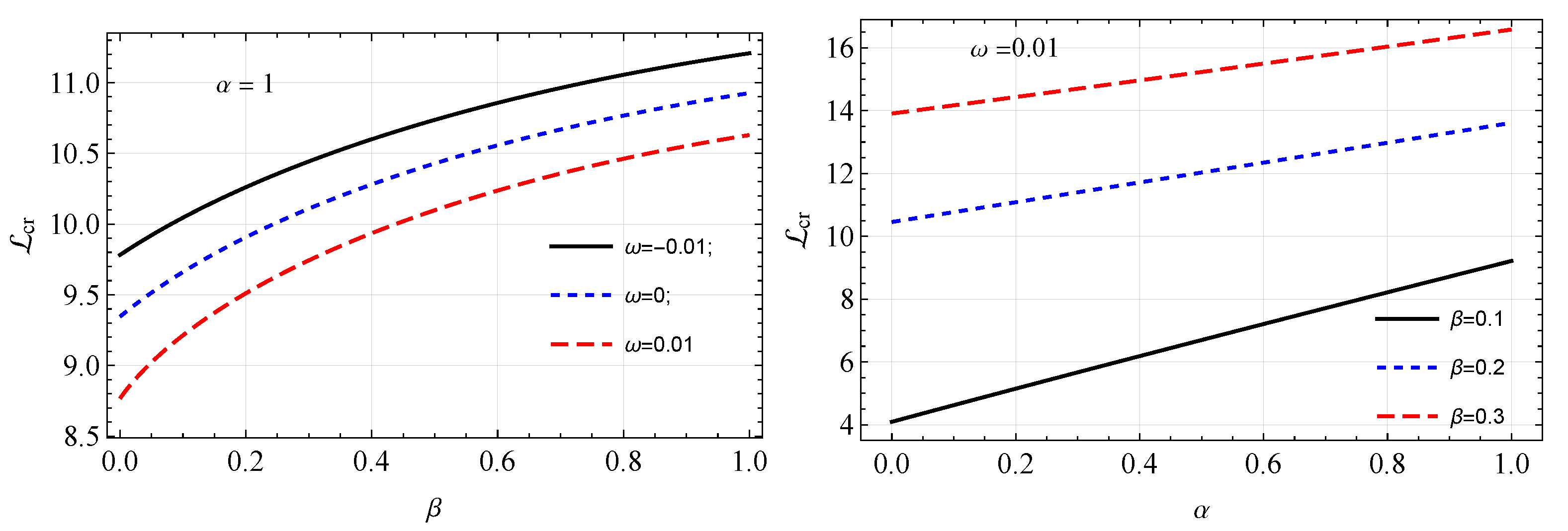
In Figure 6, we show the dependence of the critical angular momentum of charged and magnetized particles on the parameters α and β for different values of ω . One can see from the figure that negative (positive) values of ω cause a decrease in the angular momentum, while the MOG field parameter β and the magnetized one β cause an increase.

4.1.1. Case I

First, we consider collisions of neutral particles with (i) neutral, (ii) electrically charged, (iii) magnetized, and (iv) charged-magnetized ones.
The equations of motion, Equations (32)–(35), turn to neutral particles’ ones in the case of β = ω = 0 .
Figure 7 shows the radial profiles of E C M from collision tests of electrically neutral particles with neutral (black and red-dashed lines), electrically charged (top left panel), magnetized (top right panel), and charged-magnetized particles (bottom panel). The energy is almost the same in MOG at α = 1 and GR for electrically neutral particle collisions. However, it differs sufficiently for charged particles with ω = ± 0.1 . It is observed that in the Schwarzchild case, the collision of charged particles can occur near the horizon (see the orange-dashed line in the top left panel), and a bit far from the horizon, the collision does not happen due to the repulsive behavior of Lorentz force. However, the collision occurs at some range far from the horizon of the Schwarzschild MOG black hole with a lower center-of-mass energy than the Schwarzschild black hole in GR when ω > 0 , while for negative ω , the energy is sufficiently small in the GR case. Meanwhile, in the case of neutral particle collisions, E c m is the same as in GR. Also, an increase in β causes a decrease in energy.

4.1.2. Case II

Here, we consider collisions of electrically magnetized particles with (i) neutral, (ii) electrically charged, and (iii) charged-magnetized particles.
In Figure 8, we show the radial behavior of the center-of-mass energy in the collision of magnetized particles with electrically charged particles (left panel) and the collisions of electrically charged particles and charged magnetized particles (right panel). In this figure, we consider the magnetic interaction parameters of both particles to be the same; that is, the particles have a magnetic dipole moment, and the second one has an electric charge that satisfies the same value of the magnetic interactions ω = β . Similar effects of β on the center-of-mass energy can be observed, as we can see in Figure 7. However, in the case of collisions of magnetized and charged particles, the combined effects of the ω and β of the particles differ from the previous one. In other words, in cases where the second particle has a negatively charged ω , the energy increases with respect to the energy of the collisions of neutral particles, while the energy decreases from the effect of negatively charged particle collisions. Moreover, the energy has a minimum at a point from where it starts to increase again, at which the magnetic interaction energies increase radially, and then the energy curve disappears due to the dominant effect of magnetic interactions. The distance where the energy has a minimum point increases with the growth of α and ω . In the case of electrically charged and charged-magnetized particle collisions, the magnetic interaction effects on the center-of-mass energy are weaker due to the combined effects of MOG and magnetic interactions with the electric charge and magnetic dipole moment. As usual, collisions between charged and magnetized particles do not occur at far distances under the effects of repulsive Lorentz forces. The distance is also dependent on α ; with higher values of α , the distance is greater. Similarly, the distance also becomes slightly longer for the particles that have higher ω and β .

4.1.3. Case III

Here, we consider the following cases of collisions of magnetized particles and (i) electrically neutral, (ii) charged-magnetized, and (iii) magnetized particles.
It is observed that the center-of-mass energy decreases slightly as both the MOG field and magnetic interaction parameters increase in magnetized–magnetized particle collisions (see left panel of Figure 9). In this figure, we take the same value for the magnetic interaction parameters of the two colliding particles, β = 0.1 . Also, it is seen that E c m increases (decreases) when the value of ω is positive (negative).

5. Conclusions

In this study, we explored the impact of (electro)magnetic interactions involving test charged particles and magnetized particles on the motion of particles within intense gravitational fields surrounding Schwarzschild black holes. The context of our investigation lies within the modified gravity framework proposed by J. Moffat [3]. Specifically, we examined the dynamics of particles possessing both an electric charge and a magnetic dipole moment within the spacetime of Schwarzschild-MOG (modified gravity) black holes. Additionally, we presented a solution to Maxwell’s equations for the angular component of the electromagnetic four potential within Schwarzschild-MOG spacetime.
We have derived equations of motion and an effective potential governing the circular motion of these particles. This was achieved by employing a hybrid version of the Hamilton–Jacobi equation, which incorporates interactions involving both an electric charge and a magnetic dipole moment with an externally assumed asymptotically uniform magnetic field. Additionally, we considered the interaction between the particles and the MOG (modified gravity) field. We have also found that the effective potential for neutral particles in the presence of an MOG field decreases, while at large distances, the potential matches with the GR case, which means that the MOG field effects in Moffat’s model disappear at large distances. Also, the MOG field effects enhance the effects of magnetic interactions on the effective potential.
Also, we have studied the behaviors of ISCO’s radius and the energy and angular momentum of charged and magnetized particles at ISCOs, together with the energy efficiency under the effects of magnetic and MOG field interactions. It was found that an increase in α reduces with increasing r ISCO and L ISCO quasi-linearly, and the presence of electric charge and magnetic field interaction parameter ω causes a slight decrease in the ISCO radius. Also, it was shown that the MOG field interaction enhances the effects of the magnetic interaction on ISCO, while the presence of the magnetic dipole of the particle increases the radius slightly. The angular momentum of the particles at ISCO increases in the presence of centripetal magnetic interaction forces. Similarly, the MOG field enhances the interaction force effect. However, the magnetic interaction with the magnetic dipole of the particles decreases the momentum, which means that, in this case, the magnetic interaction force is centrifugal. Also, when ω < 0 , the angular momentum sufficiently decreases. The energy in ISCO decreases with an increase in the parameters α and β , which are positive values and negative values of ω .
Finally, in Section 4, we have presented analyses of the center-of-mass energy of collisions of neutral, electrically charged, and magnetized particles in various scenarios in detail.
It was shown that the collision of charged particles can occur near the horizon, but far from the horizon, the collision does not happen due to the repulsive behavior of Lorentz force. However, the collision occurs in a range far from the horizon of the Schwarzschild MOG black hole with a lower center-of-mass energy than the Schwarzschild black hole in GR when ω > 0 , while for negative ω , the energy is sufficiently small in the GR case. Meanwhile, in the case of neutral particle collisions, E c m is the same as GR.
We have fixed the magnetic interaction parameters of both particles to be the same, ω = β . In the case of collisions of magnetized and charged particles, it was found that the combined effects of ω and β of the particles differ from the previous one.
Moreover, the energy has a minimum point from which it starts to increase again, at which the magnetic interaction energies increase radially, and then the energy curve disappears due to the dominant effect of magnetic interactions. The distance where the energy is at its minimum increases with the growth of α and ω . In the case of electrically charged and charged-magnetized particle collisions, the magnetic interaction effects on the center-of-mass energy are weaker because of the combined effects of MOG and magnetic interactions with electric charge and magnetic dipole moment. As usual, collisions between charged and magnetized particles do not occur at great distances due to the effects of repulsive Lorentz forces. The distance is also dependent on α ; for higher values of α , the distance is great. Similarly, it also shifts slightly further out for the particles that have higher ω and β .

Author Contributions

Conceptualization: J.R. and S.M.; Methodology: J.R.; Software: J.R., A.H. and S.M.; Validation: B.A.; Formal Analysis: J.R., B.A., S.M. and A.H.; Investigation: B.A. and J.R. All authors have reviewed and approved the final version of the manuscript for publication.

Funding

This research received no external funding.

Data Availability Statement

Data are contained within the article.

Acknowledgments

J.R. and B.A. acknowledges Silesian University in Opava for hospitality.

Conflicts of Interest

The authors declare no conflict of interest.

References

  1. Caldwell, R.; Kamionkowski, M. Cosmology: Dark matter and dark energy. Nature 2009, 458, 587–589. [Google Scholar] [CrossRef]
  2. Aalseth, C.E.; Barbeau, P.S.; Bowden, N.S.; Cabrera-Palmer, B.; Colaresi, J.; Collar, J.I.; Dazeley, S.; De Lurgio, P.; Fast, J.E.; Fields, N.; et al. Results from a Search for Light-Mass Dark Matter with a P-type Point Contact Germanium Detector. Phys. Rev. Lett. 2011, 106, 131301. [Google Scholar] [CrossRef] [PubMed]
  3. Moffat, J.W. Scalar tensor vector gravity theory. J. Cosmol. Astropart. Phys. 2006, 2006, 004. [Google Scholar] [CrossRef]
  4. Moffat, J.W. Black holes in modified gravity (MOG). Eur. Phys. J. C 2015, 75, 175. [Google Scholar] [CrossRef]
  5. Hussain, S.; Jamil, M. Timelike geodesics of a modified gravity black hole immersed in an axially symmetric magnetic field. Phys. Rev. D 2015, 92, 043008. [Google Scholar] [CrossRef]
  6. Boboqambarova, M.; Turimov, B.; Abdujabbarov, A. Particle motion around Schwarzschild-MOG black hole. Mod. Phys. Lett. A 2023, 38, 2350071. [Google Scholar] [CrossRef]
  7. Moffat, J.W.; Rahvar, S. The MOG weak field approximation and observational test of galaxy rotation curves. Mon. Not. R. Astron. Soc. 2013, 436, 1439–1451. [Google Scholar] [CrossRef]
  8. Moffat, J.W.; Toth, V.T. Rotational velocity curves in the Milky Way as a test of modified gravity. Phys. Rev. D 2015, 91, 043004. [Google Scholar] [CrossRef]
  9. Moffat, J.W.; Rahvar, S. The MOG weak field approximation-II. Observational test of Chandra X-ray clusters. Mon. Not. R. Astron. Soc. 2014, 441, 3724–3732. [Google Scholar] [CrossRef]
  10. Turimov, B.V. Comment on “Orbital precession of the S2 star in scalar-tensor-vector gravity”. Mon. Not. R. Astron. Soc. 2022, 516, 434–436. [Google Scholar] [CrossRef]
  11. Della Monica, R.; de Martino, I.; de Laurentis, M. Orbital precession of the S2 star in Scalar-Tensor-Vector Gravity. Mon. Not. R. Astron. Soc. 2022, 510, 4757–4766. [Google Scholar] [CrossRef]
  12. Moffat, J.W. Modified gravity black holes and their observable shadows. Eur. Phys. J. 2015, 75, 130. [Google Scholar] [CrossRef]
  13. Mureika, J.R.; Moffat, J.W.; Faizal, M. Black hole thermodynamics in MOdified Gravity (MOG). Phys. Lett. B 2016, 757, 528–536. [Google Scholar] [CrossRef]
  14. Wondrak, M.F.; Nicolini, P.; Moffat, J.W. Superradiance in modified gravity (MOG). J. Cosmol. Astropart. Phys. 2018, 2018, 021. [Google Scholar] [CrossRef]
  15. Moffat, J.W.; Toth, V.T. The bending of light and lensing in modified gravity. Mon. Not. R. Astron. Soc. 2009, 397, 1885–1892. [Google Scholar] [CrossRef]
  16. Manfredi, L.; Mureika, J.; Moffat, J. Quasinormal modes of modified gravity (MOG) black holes. Phys. Lett. B 2018, 779, 492–497. [Google Scholar] [CrossRef]
  17. De Laurentis, M.; Porth, O.; Bovard, L.; Ahmedov, B.; Abdujabbarov, A. Constraining alternative theories of gravity using GW150914 and GW151226. Phys. Rev. D 2016, 94, 1240l38. [Google Scholar] [CrossRef]
  18. Chowdhury, S.R.; Khlopov, M. Gravitational waves in the modified gravity. arXiv 2021, arXiv:2111.07704. [Google Scholar]
  19. Pradhan, P. Area (or entropy) products in modified gravity and Kerr-MG/CFT correspondence. Eur. Phys. J. Plus 2018, 133, 187. [Google Scholar] [CrossRef]
  20. Pradhan, P. Study of energy extraction and epicyclic frequencies in Kerr-MOG (modified gravity) black hole. Eur. Phys. J. C 2019, 79, 401. [Google Scholar] [CrossRef]
  21. Kolos, M.; Shahzadi, M.; Stuchlík, Z. Quasi-periodic oscillations around Kerr-MOG black holes. Eur. Phys. J. C 2020, 80, 133. [Google Scholar] [CrossRef]
  22. Sharif, M.; Shahzadi , M. Particle dynamics near Kerr-MOG black hole. Eur. Phys. J. C 2017, 77, 363. [Google Scholar] [CrossRef]
  23. Shojai, F.; Cheraghchi, S.; Bouzari Nezhad, H. On the gravitational instability in the Newtonian limit of MOG. Phys. Lett. B 2017, 770, 43–49. [Google Scholar] [CrossRef]
  24. Turimov, B.; Alibekov, H.; Tadjimuratov, P.; Abdujabbarov, A. Gravitational synchrotron radiation and Penrose process in STVG theory. Phys. Lett. B 2023, 843, 138040. [Google Scholar] [CrossRef]
  25. Bambi, C.; Modesto, L. Rotating regular black holes. Phys. Lett. B 2013, 721, 329–334. [Google Scholar] [CrossRef]
  26. Rayimbaev, J.; Shaymatov, S.; Abdulxamidov, F.; Ahmedov, S.; Begmatova, D. Magnetized Particles with Electric Charge around Schwarzschild Black Holes in External Magnetic Fields. Universe 2023, 9, 135. [Google Scholar] [CrossRef]
  27. Wald, R.M. Black hole in a uniform magnetic field. Phys. Rev. D 1974, 10, 1680–1685. [Google Scholar] [CrossRef]
  28. de Felice, F.; Sorge, F. Magnetized orbits around a Schwarzschild black hole. Class. Quantum Grav. 2003, 20, 469–481. [Google Scholar] [CrossRef]
  29. Novikov, I.D.; Thorne, K.S. Astrophysics of black holes. In Black Holes (Les Astres Occlus); Dewitt, C., Dewitt, B.S., Eds.; Gordon and Breach: Philadelphia, PA, USA, 1973; pp. 343–450. [Google Scholar]
  30. Penrose, R. Gravitational Collapse: The Role of General Relativity. Nuovo C. Riv. Ser. 1969, 1, 252. [Google Scholar]
  31. Wagh, S.M.; Dhurandhar, S.V.; Dadhich, N. Revival of the Penrose process for astrophysical applications. Astrophys J. 1985, 290, 12–14. [Google Scholar] [CrossRef]
  32. Dadhich, N.; Tursunov, A.; Ahmedov, B.; Stuchlík, Z. The distinguishing signature of magnetic Penrose process. Mon. Not. R. Astron. Soc. 2018, 478, L89–L94. [Google Scholar] [CrossRef]
  33. Bañados, M.; Silk, J.; West, S.M. Kerr Black Holes as Particle Accelerators to Arbitrarily High Energy. Phys. Rev. Lett. 2009, 103, 111102. [Google Scholar] [CrossRef] [PubMed]
  34. Bañados, M.; Hassanain, B.; Silk, J.; West, S.M. Emergent flux from particle collisions near a Kerr black hole. Phys. Rev. D 2011, 83, 023004. [Google Scholar] [CrossRef]
  35. Harada, T.; Kimura, M. Collision of an innermost stable circular orbit particle around a Kerr black hole. Phys. Rev. D 2011, 83, 024002. [Google Scholar] [CrossRef]
  36. Wei, S.W.; Liu, Y.X.; Guo, H.; Fu, C.E. Charged spinning black holes as particle accelerators. Phys. Rev. D 2010, 82, 103005. [Google Scholar] [CrossRef]
  37. Zaslavskii, O.B. Acceleration of particles as a universal property of rotating black holes. Phys. Rev. D 2010, 82, 083004. [Google Scholar] [CrossRef]
  38. Zaslavskii, O.B. Acceleration of particles by nonrotating charged black holes? Sov. J. Exp. Theor. Phys. Lett. 2011, 92, 571–574. [Google Scholar] [CrossRef]
  39. Zaslavskii, O.B. Acceleration of particles by black holes—A general explanation. Class. Quantum Grav. 2011, 28, 105010. [Google Scholar] [CrossRef]
  40. Kimura, M.; Nakao, K.I.; Tagoshi, H. Acceleration of colliding shells around a black hole: Validity of the test particle approximation in the Banados-Silk-West process. Phys. Rev. D 2011, 83, 044013. [Google Scholar] [CrossRef]
  41. Igata, T.; Harada, T.; Kimura, M. Effect of a weak electromagnetic field on particle acceleration by a rotating black hole. Phys. Rev. D 2012, 85, 104028. [Google Scholar] [CrossRef]
  42. Frolov, V.P. Weakly magnetized black holes as particle accelerators. Phys. Rev. D 2012, 85, 024020. [Google Scholar] [CrossRef]
  43. Atamurotov, F.; Ahmedov, B.; Shaymatov, S. Formation of black holes through BSW effect and black hole-black hole collisions. Astrophys. Space Sci. 2013, 347, 277–281. [Google Scholar] [CrossRef]
  44. Liu, C.; Chen, S.; Ding, C.; Jing, J. Particle acceleration on the background of the Kerr-Taub-NUT spacetime. Phys. Lett. B 2011, 701, 285–290. [Google Scholar] [CrossRef]
  45. Stuchlík, Z.; Hledík, S.; Truparová, K. Evolution of Kerr superspinars due to accretion counterrotating thin discs. Class. Quantum Grav. 2011, 28, 155017. [Google Scholar] [CrossRef]
Figure 1. The radial profiles of the effective potential describe the behavior of charged, magnetized particles engaged in circular motion around Schwarzschild-MOG black holes. These profiles are presented for various values of the parameters α , β , and ω , offering insights into how these parameters influence the particle’s motion.
Figure 1. The radial profiles of the effective potential describe the behavior of charged, magnetized particles engaged in circular motion around Schwarzschild-MOG black holes. These profiles are presented for various values of the parameters α , β , and ω , offering insights into how these parameters influence the particle’s motion.
Symmetry 15 02084 g001
Figure 2. Angular momentum of test-charged magnetized particles orbiting Schwarzschild-MOG black holes for various values of α , β , and ω parameters.
Figure 2. Angular momentum of test-charged magnetized particles orbiting Schwarzschild-MOG black holes for various values of α , β , and ω parameters.
Symmetry 15 02084 g002
Figure 3. The dependence of ISCO radius (top left), angular momentum (top right), and energy (bottom left) of the particles at ISCO and the energy efficiency, η , (bottom right) from the MOG field parameter, α .
Figure 3. The dependence of ISCO radius (top left), angular momentum (top right), and energy (bottom left) of the particles at ISCO and the energy efficiency, η , (bottom right) from the MOG field parameter, α .
Symmetry 15 02084 g003
Figure 4. The relationships between the ISCO radius and the angular momentum and energy of the particles at ISCO and the energy efficiency.
Figure 4. The relationships between the ISCO radius and the angular momentum and energy of the particles at ISCO and the energy efficiency.
Symmetry 15 02084 g004
Figure 5. The ISCO radius as function of ω for the different values of β and α .
Figure 5. The ISCO radius as function of ω for the different values of β and α .
Symmetry 15 02084 g005
Figure 6. The critical value of the angular momentum as a function of α and β .
Figure 6. The critical value of the angular momentum as a function of α and β .
Symmetry 15 02084 g006
Figure 7. Radial dependence of the center-of-mass energy of collisions of neutral particles with neutral (black and red-dashed lines), electrically charged (top left panel), magnetized (top right panel), and charged-magnetized particles (bottom panel).
Figure 7. Radial dependence of the center-of-mass energy of collisions of neutral particles with neutral (black and red-dashed lines), electrically charged (top left panel), magnetized (top right panel), and charged-magnetized particles (bottom panel).
Symmetry 15 02084 g007
Figure 8. The same figure as Figure 7, but for the collisions of magnetized particles with electrically charged particles (left panel) and electrically charged particles with charged-magnetized particles (right panel).
Figure 8. The same figure as Figure 7, but for the collisions of magnetized particles with electrically charged particles (left panel) and electrically charged particles with charged-magnetized particles (right panel).
Symmetry 15 02084 g008
Figure 9. The same figure as Figure 7, but for the collision of two magnetized particles (left panel) and magnetized particles with charged-magnetized particles (right panel).
Figure 9. The same figure as Figure 7, but for the collision of two magnetized particles (left panel) and magnetized particles with charged-magnetized particles (right panel).
Symmetry 15 02084 g009
Disclaimer/Publisher’s Note: The statements, opinions and data contained in all publications are solely those of the individual author(s) and contributor(s) and not of MDPI and/or the editor(s). MDPI and/or the editor(s) disclaim responsibility for any injury to people or property resulting from any ideas, methods, instructions or products referred to in the content.

Share and Cite

MDPI and ACS Style

Murodov, S.; Rayimbaev, J.; Ahmedov, B.; Hakimov, A. Dynamics of Particles with Electric Charge and Magnetic Dipole Moment near Schwarzschild-MOG Black Hole. Symmetry 2023, 15, 2084. https://doi.org/10.3390/sym15112084

AMA Style

Murodov S, Rayimbaev J, Ahmedov B, Hakimov A. Dynamics of Particles with Electric Charge and Magnetic Dipole Moment near Schwarzschild-MOG Black Hole. Symmetry. 2023; 15(11):2084. https://doi.org/10.3390/sym15112084

Chicago/Turabian Style

Murodov, Sardor, Javlon Rayimbaev, Bobomurat Ahmedov, and Abdullo Hakimov. 2023. "Dynamics of Particles with Electric Charge and Magnetic Dipole Moment near Schwarzschild-MOG Black Hole" Symmetry 15, no. 11: 2084. https://doi.org/10.3390/sym15112084

APA Style

Murodov, S., Rayimbaev, J., Ahmedov, B., & Hakimov, A. (2023). Dynamics of Particles with Electric Charge and Magnetic Dipole Moment near Schwarzschild-MOG Black Hole. Symmetry, 15(11), 2084. https://doi.org/10.3390/sym15112084

Note that from the first issue of 2016, this journal uses article numbers instead of page numbers. See further details here.

Article Metrics

Back to TopTop