Sign in to use this feature.

Years

Between: -

Subjects

remove_circle_outline
remove_circle_outline
remove_circle_outline
remove_circle_outline
remove_circle_outline
remove_circle_outline
remove_circle_outline
remove_circle_outline
remove_circle_outline

Journals

Article Types

Countries / Regions

Search Results (50)

Search Parameters:
Keywords = in situ thermal desorption

Order results
Result details
Results per page
Select all
Export citation of selected articles as:
18 pages, 4980 KB  
Article
Boosted NH3 Selective Catalytic Oxidation Activity over V-Pt-Ti Catalysts: Insight into Preparation Method Effects
by Yu Gao, Lipeng Wang, Kun Li and Yongbo Ji
Materials 2026, 19(1), 194; https://doi.org/10.3390/ma19010194 - 5 Jan 2026
Viewed by 170
Abstract
In this work, V-Pt-Ti catalysts were synthesized employing impregnation (IP), precipitation (PC), sol-gel (SG), thermal decomposition (TD), and hydrothermal (HD) methods. A systematic study has been carried out to investigate impacts of various preparation methods on the performance of NH3 selective catalytic [...] Read more.
In this work, V-Pt-Ti catalysts were synthesized employing impregnation (IP), precipitation (PC), sol-gel (SG), thermal decomposition (TD), and hydrothermal (HD) methods. A systematic study has been carried out to investigate impacts of various preparation methods on the performance of NH3 selective catalytic oxidation (SCO) at temperatures from 150 °C to 450 °C. N2 adsorption/desorption, XPS, XRD, H2-TPR, NH3-TPD, O2-TPD, SEM, TEM, and in situ DRIFTS were adopted to characterize the physico-chemical property of V-Pt-Ti catalysts. The results suggested that V-Pt-Ti catalysts synthesized by precipitation methods (denoted as VPT-PC) exhibited notably better SCO performance across the 150–450 °C temperature range compared with those produced by impregnation (IP), sol-gel (SG), thermal decomposition (TD), and hydrothermal (HD) methods. The outstanding performance of the VPT-PC catalyst could be ascribed to its larger surface area, higher relative contents of Pt0, V5+, and Oα, more abundant surface acid sites, and better redox property. In situ DRIFTS results suggested that NO2 species could participate in NH3 oxidation reaction on the surface of the VPT-PC catalyst, which was beneficial for improving the SCO activity. Full article
(This article belongs to the Section Catalytic Materials)
Show Figures

Figure 1

21 pages, 3538 KB  
Article
Research on the Combined Treatment of Composite Organic-Contaminated Soil Using Diversion-Type Ultra-High-Temperature Pyrolysis and Chemical Oxidation
by Shuyuan Xing, Xianglong Duan and Minquan Feng
Sustainability 2025, 17(23), 10807; https://doi.org/10.3390/su172310807 - 2 Dec 2025
Viewed by 310
Abstract
Remediating complex-contaminated soils demands the synergistic optimization of efficiency, cost-effectiveness, and carbon emission reduction. Currently, ultra-high-temperature thermal desorption technology is mature in terms of principle and laboratory-scale performance; however, ongoing efforts are focusing on achieving stable, efficient, controllable, and cost-optimized operation in large-scale [...] Read more.
Remediating complex-contaminated soils demands the synergistic optimization of efficiency, cost-effectiveness, and carbon emission reduction. Currently, ultra-high-temperature thermal desorption technology is mature in terms of principle and laboratory-scale performance; however, ongoing efforts are focusing on achieving stable, efficient, controllable, and cost-optimized operation in large-scale engineering applications. To address this gap, this study aimed to (1) verify the energy efficiency and economic benefits of removing over 98% of target pollutants at a 7.5 × 104 m3 contaminated site and (2) elucidate the mechanisms underlying parallel scale–technology dual-factor cost reduction and energy–carbon–cost optimization, thereby accumulating case experience and data support for large-scale engineering deployment. To achieve these objectives, a “thermal stability–chemical oxidizability” classification criterion was developed to guide a parallel remediation strategy, integrating ex situ ultra-high-temperature thermal desorption (1000 °C) with persulfate-based chemical oxidation. This strategy was implemented at a 7.5 × 104 m3 large-scale site, delivering robust performance: the total petroleum hydrocarbon (TPH) and pentachlorophenol (PCP) removal efficiencies exceeded 99%, with a median removal rate of 98% for polycyclic aromatic hydrocarbons (PAHs). It also provided a critical operational example of a large-scale engineering application, demonstrating a daily treatment capacity of 987 m3, a unit remediation cost of 800 CNY·m−3, and energy consumption of 820 kWh·m−3, outperforming established benchmarks reported in the literature. A net reduction of 2.9 kilotonnes of CO2 equivalent (kt CO2e) in greenhouse gas emissions was achieved, which could be further enhanced with an additional 8.8 kt CO2e by integrating a hybrid renewable energy system (70% photovoltaic–molten salt thermal storage + 30% green power). In summary, this study establishes a “high-temperature–parallel oxidation–low-carbon energy” framework for the rapid remediation of large-scale multi-contaminant sites, proposes a feasible pathway toward developing a soil carbon credit mechanism, and fills a critical gap between laboratory-scale success and large-scale engineering applications of ultra-high-temperature remediation technologies. Full article
Show Figures

Figure 1

17 pages, 4446 KB  
Article
Study on Production System Optimization and Productivity Prediction of Deep Coalbed Methane Wells Considering Thermal–Hydraulic–Mechanical Coupling Effects
by Sukai Wang, Yonglong Li, Wei Liu, Siyu Zhang, Lipeng Zhang, Yan Liang, Xionghui Liu, Quan Gan, Shiqi Liu and Wenkai Wang
Processes 2025, 13(10), 3090; https://doi.org/10.3390/pr13103090 - 26 Sep 2025
Viewed by 601
Abstract
Deep coalbed methane (CBM) resources possess significant potential. However, their development is challenged by geological characteristics such as high in situ stress and low permeability. Furthermore, existing production strategies often prove inadequate. In order to achieve long-term stable production of deep coalbed methane [...] Read more.
Deep coalbed methane (CBM) resources possess significant potential. However, their development is challenged by geological characteristics such as high in situ stress and low permeability. Furthermore, existing production strategies often prove inadequate. In order to achieve long-term stable production of deep coalbed methane reservoirs and increase their final recoverable reserves, it is urgent to construct a scientific and reasonable drainage system. This study focuses on the deep CBM reservoir in the Daning-Jixian Block of the Ordos Basin. First, a thermal–hydraulic–mechanical (THM) multi-physics coupling mathematical model was constructed and validated against historical well production data. Then, the model was used to forecast production. Finally, key control measures for enhancing well productivity were identified through production strategy adjustment. The results indicate that controlling the bottom-hole flowing pressure drop rate at 1.5 times the current pressure drop rate accelerates the early-stage pressure drop, enabling gas wells to reach the peak gas production earlier. The optimized pressure drop rates for each stage are as follows: 0.15 MPa/d during the dewatering stage, 0.057 MPa/d during the gas production rise stage, 0.035 MPa/d during the stable production stage, and 0.01 MPa/d during the production decline stage. This strategy increases peak daily gas production by 15.90% and cumulative production by 3.68%. It also avoids excessive pressure drop, which can cause premature production decline during the stable phase. Consequently, the approach maximizes production over the entire life cycle of the well. Mechanistically, the 1.5× flowing pressure drop offers multiple advantages. Firstly, it significantly shortens the dewatering and production ramp-up periods. This acceleration promotes efficient gas desorption, increasing the desorbed gas volume by 1.9%, and enhances diffusion, yielding a 39.2% higher peak diffusion rate, all while preserving reservoir properties. Additionally, this strategy synergistically optimizes the water saturation and temperature fields, which mitigates the water-blocking effect. Furthermore, by enhancing coal matrix shrinkage, it rebounds permeability to 88.9%, thus avoiding stress-induced damage from aggressive extraction. Full article
Show Figures

Figure 1

24 pages, 14126 KB  
Article
Stress-Barrier-Responsive Diverting Fracturing: Thermo-Uniform Fracture Control for CO2-Stimulated CBM Recovery
by Huaibin Zhen, Ersi Gao, Shuguang Li, Tengze Ge, Kai Wei, Yulong Liu and Ao Wang
Processes 2025, 13(9), 2855; https://doi.org/10.3390/pr13092855 - 5 Sep 2025
Viewed by 554
Abstract
Chinese coalbed methane (CBM) reservoirs exhibit characteristically low recovery rates due to adsorbed gas dominance and “three-low” properties (low permeability, low pressure, and low saturation). CO2 thermal drive (CTD) technology addresses this challenge by leveraging dual mechanisms—thermal desorption and displacement to enhance [...] Read more.
Chinese coalbed methane (CBM) reservoirs exhibit characteristically low recovery rates due to adsorbed gas dominance and “three-low” properties (low permeability, low pressure, and low saturation). CO2 thermal drive (CTD) technology addresses this challenge by leveraging dual mechanisms—thermal desorption and displacement to enhance production; however, its effectiveness necessitates uniform fracture networks for temperature field homogeneity—a requirement unmet by conventional long-fracture fracturing. To bridge this gap, a coupled seepage–heat–stress–fracture model was developed, and the temperature field evolution during CTD in coal under non-uniform fracture networks was determined. Integrating multi-cluster fracture propagation with stress barrier and intra-stage stress differential characteristics, a stress-barrier-responsive diverting fracturing technology meeting CTD requirements was established. Results demonstrate that high in situ stress and significant stress differentials induce asymmetric fracture propagation, generating detrimental CO2 channeling pathways and localized temperature cold islands that drastically reduce CTD efficiency. Further examination of multi-cluster fracture dynamics identifies stress shadow effects and intra-stage stress differentials as primary controlling factors. To overcome these constraints, an innovative fracture network uniformity control technique is proposed, leveraging synergistic interactions between diverting parameters and stress barriers through precise particle size gradation (16–18 mm targeting toe obstruction versus 19–21 mm sealing heel), optimized pumping displacements modulation (6 m3/min enhancing heel efficiency contrasted with 10 m3/min improving toe coverage), and calibrated diverting concentrations (34.6–46.2% ensuring uniform cluster intake). This methodology incorporates dynamic intra-stage adjustments where large-particle/low-rate combinations suppress toe flow in heel-dominant high-stress zones, small-particle/high-rate approaches control heel migration in toe-dominant high-stress zones, and elevated concentrations (57.7–69.2%) activate mid-cluster fractures in central high-stress zones—collectively establishing a tailored framework that facilitates precise flow regulation, enhances thermal conformance, and achieves dual thermal conduction and adsorption displacement objectives for CTD applications. Full article
(This article belongs to the Special Issue Coalbed Methane Development Process)
Show Figures

Figure 1

12 pages, 2897 KB  
Article
Dual Effects of In Situ Coal Combustion on CaO Pellets for CO2 Capture: High-Temperature Sintering and Ash Stabilization
by Yun Long, Changqing Wang, Ruichang Xu, Lei Liu, Pengxin Zeng, Zijian Zhou and Minghou Xu
Int. J. Mol. Sci. 2025, 26(17), 8535; https://doi.org/10.3390/ijms26178535 - 2 Sep 2025
Viewed by 648
Abstract
High-temperature CaO-based CO2 capture technology, energized by in situ coal combustion, exhibits substantial promise owing to its high energy efficiency, strong compatibility, and maturity. However, sorbent deactivation mechanisms under complex coal combustion conditions, particularly for industrially required pelletized sorbents, are unclear. Pelletized [...] Read more.
High-temperature CaO-based CO2 capture technology, energized by in situ coal combustion, exhibits substantial promise owing to its high energy efficiency, strong compatibility, and maturity. However, sorbent deactivation mechanisms under complex coal combustion conditions, particularly for industrially required pelletized sorbents, are unclear. Pelletized sorbents were co-fired with four representative coals (differing in Na-K, S, and Al-Si content) in this study. Key factors were decoupled, and two competing mechanisms were revealed: (1) High-temperature sintering deactivation: Single co-firing triggers localized overheating (>900 °C), causing severe sintering and pore collapse. This reduces the specific surface area by 29% and pore volume by 50%, occludes meso-/macropores, and leads to a significant drop in initial CO2 capture capacity to 0.266–0.297 g/g. Coal types and minor residual surface impurities (<1.7%) are secondary factors. (2) Si-Al ash stabilization: During repeated co-firing (1–9 cycles), Si-Al ash components enrich on sorbents (0.1–7.6%), forming a thermally protective layer. After 20 adsorption–desorption cycles, the CO2 capture capacity loss drops from 17.6% to 3.9%, improving cycle stability. These findings clarify these dual mechanisms, providing a theoretical basis for system optimization and highlighting precise control of the combustion temperature field as critical for industrial deployment. Full article
Show Figures

Figure 1

16 pages, 2664 KB  
Article
Preparation of CeXMn1−XO2 Catalysts with Strong Mn-Ce Synergistic Effect for Catalytic Oxidation of Toluene
by Zhuoxuan Zhou, Yanxuan Wang, Mingkun Cao, Zhengqi He, Rong Qiao, Fukun Bi, Yuxin Wang and Xiaodong Zhang
Materials 2025, 18(16), 3809; https://doi.org/10.3390/ma18163809 - 13 Aug 2025
Cited by 18 | Viewed by 1100
Abstract
A series of Ce-doped α-MnO2 catalysts (CeXMn1−XO2, x = 0.04, 0.07, 0.10) were synthesized by a simple in situ hydrothermal method. It was confirmed by characterization methods such as XRD, Raman, N2 adsorption–desorption and SEM [...] Read more.
A series of Ce-doped α-MnO2 catalysts (CeXMn1−XO2, x = 0.04, 0.07, 0.10) were synthesized by a simple in situ hydrothermal method. It was confirmed by characterization methods such as XRD, Raman, N2 adsorption–desorption and SEM confirmed that the introduction of Ce significantly regulated the microstructure of α-MnO2, specifically manifested as the reduction in grain size, the increase in defect sites, the increase in Mn-O bond length and altered morphological structure. H2-TPR, O2-TPD and XPS analyses further revealed the strong interaction between Mn and Ce, accompanied by significant electron transfer (Ce3+ + Mn4+ → Ce4+ + Mn3+), thereby promoting the formation of Mn3+ species. In the test of toluene catalytic oxidation performance, Ce0.07Mn0.93O2 exhibited the most excellent catalytic activity (T100 = 280 °C), while also having good thermal stability and water resistance. Furthermore, the degradation pathways of toluene were analyzed by TD-GC-MS technology: Toluene → Benzene → Benzaldehyde → Maleic anhydride → CO2 and H2O. Full article
Show Figures

Figure 1

16 pages, 4723 KB  
Article
The Effect of the Fiber Diameter, Epoxy-to-Amine Ratio, and Degree of PVA Saponification on CO2 Adsorption Properties of Amine-Epoxy/PVA Nanofibers
by Chisato Okada, Zongzi Hou, Hiroaki Imoto, Kensuke Naka, Takeshi Kikutani and Midori Takasaki
Polymers 2025, 17(14), 1973; https://doi.org/10.3390/polym17141973 - 18 Jul 2025
Viewed by 716
Abstract
Achieving carbon neutrality requires not only reducing CO2 emissions but also capturing atmospheric CO2. Direct air capture (DAC) using amine-based adsorbents has emerged as a promising approach. In this study, we developed amine-epoxy/poly(vinyl alcohol) (AE/PVA) nanofibers via electrospinning and in [...] Read more.
Achieving carbon neutrality requires not only reducing CO2 emissions but also capturing atmospheric CO2. Direct air capture (DAC) using amine-based adsorbents has emerged as a promising approach. In this study, we developed amine-epoxy/poly(vinyl alcohol) (AE/PVA) nanofibers via electrospinning and in situ thermal polymerization. PVA was incorporated to enhance spinnability, and B-staging of AE enabled fiber formation without inline heating. We systematically investigated the effects of electrospinning parameters, epoxy-to-amine ratios (E/A), and the degree of PVA saponification on CO2 adsorption performance. Thinner fibers, obtained by adjusting spinning conditions, exhibited faster adsorption kinetics due to increased surface area. Varying the E/A revealed a trade-off between adsorption capacity and low-temperature desorption efficiency, with secondary amines offering a balanced performance. Additionally, highly saponified PVA improved thermal durability by minimizing side reactions with amines. These findings highlight the importance of optimizing fiber morphology, chemical composition, and polymer properties to enhance the performance and stability of AE/PVA nanofibers for DAC applications. Full article
(This article belongs to the Section Circular and Green Sustainable Polymer Science)
Show Figures

Figure 1

19 pages, 7532 KB  
Article
Controls on the Hydrocarbon Production in Shale Gas Condensate Reservoirs of Rift Lake Basins
by Yaohua Li, Caiqin Bi, Chao Fu, Yinbo Xu, Yuan Yuan, Lihua Tong, Yue Tang and Qianyou Wang
Processes 2025, 13(6), 1868; https://doi.org/10.3390/pr13061868 - 13 Jun 2025
Viewed by 837
Abstract
The production of gas and condensate from liquid-rich shale reservoirs, particularly within heterogeneous lacustrine systems, remains a critical challenge in unconventional hydrocarbon exploration due to intricate multiphase hydrocarbon partitioning, including gases (C1–C2), volatile liquids (C3–C7), [...] Read more.
The production of gas and condensate from liquid-rich shale reservoirs, particularly within heterogeneous lacustrine systems, remains a critical challenge in unconventional hydrocarbon exploration due to intricate multiphase hydrocarbon partitioning, including gases (C1–C2), volatile liquids (C3–C7), and heavier liquids (C7+). This study investigates a 120-meter-thick interval dominated by lacustrine deposits from the Lower Cretaceous Shahezi Formation (K1sh) in the Songliao Basin. This interval, characterized by high clay mineral content and silicate–pyrite laminations, was examined to identify the factors controlling hybrid shale gas condensate systems. We proposed the Hybrid Shale Condensate Index (HSCI), defined as the molar ratios of (C1–C7)/C7+, to categorize fluid phases and address shortcomings in traditional GOR/API ratios. Over 1000 samples were treated by geochemical pyrolysis logging, X-ray fluorescence (XRF) spectrum element logging, SEM-based automated mineralogy, and in situ gas desorption, revealing four primary controls: (1) Thermal maturity thresholds. Mature to highly mature shales exhibit peak condensate production and the highest total gas content (TGC), with maximum gaseous and liquid hydrocarbons at Tmax = 490 °C. (2) Lithofacies assemblage. Argillaceous shales rich in mixed carbonate and clay minerals exhibit an intergranular porosity of 4.8 ± 1.2% and store 83 ± 7% of gas in intercrystalline pore spaces. (3) Paleoenvironmental settings. Conditions such as humid climate, saline water geochemistry, anoxic bottom waters, and significant input of volcanic materials promoted organic carbon accumulation (TOC reaching up to 5.2 wt%) and the preservation of organic-rich lamination. (4) Laminae and fracture systems. Silicate laminae account for 78% of total pore space, and pyrite laminations form interconnected pore networks conducive to gas storage. These findings delineate the “sweet spots” for unconventional hydrocarbon reservoirs, thereby enhancing exploration for gas condensate in lacustrine shale systems. Full article
(This article belongs to the Special Issue Recent Advances in Hydrocarbon Production Processes from Geoenergy)
Show Figures

Figure 1

14 pages, 7709 KB  
Article
Three-Dimensional Numerical Simulation of Effective Thermal Conductivity and Fractal Dimension of Non-Aqueous Phase Liquid-Contaminated Soils at Mesoscopic Scale
by Shuai Gao, Wenbin Zhang, Caiping Hu, Xingjun Wang, Lin Ge, Yan Li, Baoshuai Li and Yalu Han
Processes 2025, 13(5), 1456; https://doi.org/10.3390/pr13051456 - 9 May 2025
Viewed by 774
Abstract
In situ thermal desorption is one of the most promising remediation techniques for soils contaminated with non-aqueous phase liquids (NAPLs), but its remediation efficiency is limited by the thermal conductivity (k) of NAPL-contaminated soils. The fractal dimension is an important factor [...] Read more.
In situ thermal desorption is one of the most promising remediation techniques for soils contaminated with non-aqueous phase liquids (NAPLs), but its remediation efficiency is limited by the thermal conductivity (k) of NAPL-contaminated soils. The fractal dimension is an important factor affecting k. To systematically study the influence of the fractal dimension on k, firstly, this research establishes a three-dimensional numerical model of NAPL-contaminated soils and calculates its k. Subsequently, the reliability of the numerical simulation results is verified through experiments. Combining the numerical simulation method with Hausdorff fractal theory, we explored the relationship between the fractal dimension and k. This research shows that k decreases with increasing porosity and increases with increasing saturation. The liquid phase can form a “liquid bridge” between solid phases, greatly shortening the path of heat flux and increasing k. k is more affected by porosity. With the increase in porosity, the pore fractal dimension and liquid phase fractal dimension of NAPL-contaminated soils increase, while the solid phase fractal dimension and pore curvature fractal dimension decrease. The fractal dimension of the liquid phase increases with the increase in NAPL content. k increases with the increase in the solid phase fractal dimension, liquid phase fractal dimension, and pore curvature fractal dimension and decreases with the increase in the pore fractal dimension. This study provides a basis for the investigation of the thermal conductivity of NAPL-contaminated soils and the development of in situ thermal desorption technology. Full article
(This article belongs to the Section Chemical Processes and Systems)
Show Figures

Figure 1

20 pages, 6530 KB  
Article
Electron Beam Irradiation Modified UiO-66 Supported Pt Catalysts for Low-Temperature Ethyl Acetate Catalytic Degradation
by Jiani Chen, Yanxuan Wang, Jianghua Huang, Shuting Ma, Yiyang Zhang, Fukun Bi and Xiaodong Zhang
Catalysts 2025, 15(3), 220; https://doi.org/10.3390/catal15030220 - 26 Feb 2025
Cited by 24 | Viewed by 1613
Abstract
Nowadays, volatile organic compounds (VOCs) increasingly jeopardize ecosystem sustainability and human well-being. In this study, UiO-66 and its different electron beam (EB) irradiation doses (100, 300, 500 kGy) modified materials supported Pt catalysts, Pt/UiO-66 and Pt/UiO-66-X (X = 100, 300, and 500, representing [...] Read more.
Nowadays, volatile organic compounds (VOCs) increasingly jeopardize ecosystem sustainability and human well-being. In this study, UiO-66 and its different electron beam (EB) irradiation doses (100, 300, 500 kGy) modified materials supported Pt catalysts, Pt/UiO-66 and Pt/UiO-66-X (X = 100, 300, and 500, representing the irradiation doses), were synthesized, and a series of characterizations were conducted on the samples. On this basis, the effectiveness of these catalysts was evaluated through the degradation of ethyl acetate. The study findings indicated that the sample irradiated at 100 kGy demonstrated superior catalytic performance. Thereafter, extensive tests with regard to water resistance, stability, and cycle performance indicated that the Pt/UiO-66-100 catalyst was characterized by satisfactory reusability and catalytic stability, even when faced with high heat and humidity. Further work with in situ diffuse reflectance infrared Fourier transform spectroscopy (DRIFTS) and thermal desorption–gas chromatography–mass spectrometry (TD-GC–MS) uncovered the process of degradation of ethyl acetate. This research provides a guideline for the design of high-performance VOC degradation catalysts through EB modification. Full article
(This article belongs to the Special Issue Insight into Catalysis for Air Pollution Control)
Show Figures

Figure 1

17 pages, 3930 KB  
Article
Impact of Soil Type and Moisture Content on Microwave-Assisted Remediation of Hydrocarbon-Contaminated Soil
by Jun Xu, Songtao Liu and Chuanmin Chen
Sustainability 2025, 17(1), 101; https://doi.org/10.3390/su17010101 - 27 Dec 2024
Cited by 2 | Viewed by 1677
Abstract
Volatile and semi-volatile compounds, such as petroleum hydrocarbons and equipment lubricating oils, often contaminate soil due to accidents, posing significant ecological and health risks. Traditional soil remediation methods, such as thermal desorption and bioremediation, are time-consuming and resource-intensive, prompting researchers to explore more [...] Read more.
Volatile and semi-volatile compounds, such as petroleum hydrocarbons and equipment lubricating oils, often contaminate soil due to accidents, posing significant ecological and health risks. Traditional soil remediation methods, such as thermal desorption and bioremediation, are time-consuming and resource-intensive, prompting researchers to explore more efficient alternatives. This study investigates the effectiveness of an in situ reactor for microwave-assisted soil remediation, specifically focusing on the impact of soil type and moisture content on pollutant removal efficiency. The reactor, designed to operate within a modified household microwave oven, provides direct microwave irradiation to the soil surface, enabling precise control of heating conditions. Experiments were conducted using soil samples of varying particle sizes and moisture levels under standardized conditions (1000 W microwave power, 2.45 GHz frequency). The results show that moisture content plays a critical role in pollutant removal efficiency, with an optimal moisture content of 10 wt % enhancing microwave absorption and energy transfer, thus improving pollutant recovery. In comparison with traditional resistive heating, microwave heating achieved a faster temperature rise and higher final temperatures, significantly improving pollutant removal efficiency in a shorter time frame. This study highlights the advantages of microwave heating, including its superior energy efficiency, faster pollutant volatilization, and the potential for optimized soil remediation in real-world applications. These findings provide valuable insights for the development of more sustainable and efficient soil remediation technologies. Full article
Show Figures

Figure 1

12 pages, 2056 KB  
Article
Three-Dimensional Zeolitic Imidazolate Framework-8 as Sorbent Integrated with Active Capillary Plasma Mass Spectrometry for Rapid Assessment of Low-Level Wine and Grape Quality-Related Volatiles
by Morphy C. Dumlao, Liang Jiang, Saroj Kumar Bhattacharyya, William A. Donald, Christopher C. Steel and Leigh M. Schmidtke
Molecules 2024, 29(24), 6053; https://doi.org/10.3390/molecules29246053 - 23 Dec 2024
Cited by 1 | Viewed by 1456
Abstract
The most commonly used methods to chemically assess grape and wine quality with high sensitivity and selectivity require lengthy analysis time and can be resource intensive. Here, we developed a rapid and non-destructive method that would help in grading and decision support. In [...] Read more.
The most commonly used methods to chemically assess grape and wine quality with high sensitivity and selectivity require lengthy analysis time and can be resource intensive. Here, we developed a rapid and non-destructive method that would help in grading and decision support. In this work, we demonstrate that integrating a three-dimensional (3D) material for volatile sampling with mass spectrometry detection can be used to sample grapes for phytosanitary, quality or smoke-taint assessments at low levels of marker compounds. An efficient zeolitic imidazolate framework-8 (ZIF-8) material was synthesised in situ on nickel foam (NF), taking advantage of its ultrahigh surface area, structural diversity, and functionality as an emerging nanostructured material for preconcentrating low-level wine and grape quality-related volatiles. When used as a sorbent in thermal desorption tubes and coupled directly to active capillary mass spectrometry, the average signal across the selected analytes increased by ~50% as compared to Tenax TA, a commercially available polymer, in a measurement that takes less than two minutes. The first integration of 3D materials into mass spectrometry opens new possibilities for developing new material architecture with enhanced selectivity of next-generation multifunctional instrumentation for volatile analysis and product quality assessment. Full article
(This article belongs to the Special Issue Metal Organic Frameworks: Synthesis and Application, 3rd Edition)
Show Figures

Figure 1

14 pages, 12119 KB  
Article
Effect of Hydrogen on Tensile Properties and Fracture Behavior of Two High-Strength American Petroleum Institute Linepipe Steels
by Dong-Kyu Oh, Min-Seop Jeong, Seung-Hyeok Shin and Byoungchul Hwang
Metals 2024, 14(12), 1397; https://doi.org/10.3390/met14121397 - 6 Dec 2024
Cited by 3 | Viewed by 2149
Abstract
This study explored the influence of hydrogen on the tensile properties and fracture behavior of high-strength API X70 and X80 linepipe steels with bainitic microstructures under varying hydrogen charging conditions. The X70 steel exhibited a ferritic microstructure with some pearlite, while the X80 [...] Read more.
This study explored the influence of hydrogen on the tensile properties and fracture behavior of high-strength API X70 and X80 linepipe steels with bainitic microstructures under varying hydrogen charging conditions. The X70 steel exhibited a ferritic microstructure with some pearlite, while the X80 steel showed a bainitic microstructure and fine pearlite due to the addition of molybdenum. Slow strain rate tests (SSRTs) were conducted using both electrochemical ex situ and in situ hydrogen charging methods subjected to different current densities. The SSRT results showed that in situ hydrogen-charged SSRT, performed at current densities above 1 A/m2, led to more pronounced hydrogen embrittlement compared to ex situ hydrogen-charged SSRT. This occurred because hydrogen was continuously supplied during deformation, exceeding the critical concentration even in the center regions, leading to quasi-cleavage fractures marked by localized cleavage and tearing ridges. Thermal desorption analysis (TDA) confirmed that a greater amount of hydrogen was trapped at dislocations during in situ hydrogen-charged SSRT, intensifying hydrogen embrittlement, even with a shorter hydrogen charging duration. These findings highlight the importance of selecting appropriate hydrogen charging methods and understanding the hydrogen embrittlement behavior of linepipe steels. Full article
(This article belongs to the Special Issue Hydrogen Embrittlement of Metals and Alloys)
Show Figures

Figure 1

14 pages, 2688 KB  
Article
CO Oxidation over Cu/Ce Binary Oxide Prepared via the Solvothermal Method: Effects of Cerium Precursors on Properties and Catalytic Behavior
by Wen Jin, Yanmin Liu, Hongyan Xue, Jun Yu and Dongsen Mao
Catalysts 2024, 14(12), 856; https://doi.org/10.3390/catal14120856 - 25 Nov 2024
Cited by 2 | Viewed by 1405
Abstract
Cu/Ce binary oxides were prepared via the one-pot solvothermal method, and the effects of different cerium precursors (cerium nitrate and cerium ammonium nitrate) on the catalytic activity and resistance to water vapor or CO2 of the prepared samples for low-temperature CO oxidation [...] Read more.
Cu/Ce binary oxides were prepared via the one-pot solvothermal method, and the effects of different cerium precursors (cerium nitrate and cerium ammonium nitrate) on the catalytic activity and resistance to water vapor or CO2 of the prepared samples for low-temperature CO oxidation reaction were investigated. The physicochemical characteristics of the catalysts were characterized via thermal analyses (TG-DSC), X-ray diffraction (XRD), Raman spectroscopy, N2 adsorption/desorption, inductively coupled plasma-atomic emission spectrometry (ICP-AES), X-ray photoelectron spectroscopy (XPS), in situ diffuse reflectance infrared Fourier transform spectroscopy (in situ DRIFTs), and temperature-programmed reduction with H2 (H2-TPR). The results indicated that the CuO/CeO2 catalyst (CC-N) prepared with cerium nitrate showed higher activity for low-temperature CO oxidation, which can be ascribed to its larger specific surface area and pore volume, higher amounts of highly dispersed CuO species with strong interaction with CeO2, Cu+ species, and more active surface oxygen species, compared with the counterpart prepared with cerium ammonium nitrate (CC-NH). Furthermore, the CC-N catalyst also exhibited better resistance to CO2 poisoning than CC-NH. Full article
(This article belongs to the Special Issue Featured Papers in “Environmental Catalysis” Section)
Show Figures

Figure 1

20 pages, 6807 KB  
Article
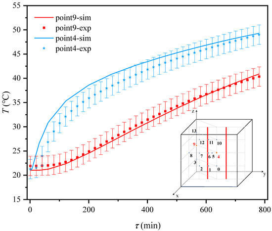
In Situ Conductive Heating for Thermal Desorption of Volatile Organic-Contaminated Soil Based on Solar Energy
by Mei Wang, Deyang Kong, Lang Liu, Guoming Wen and Fan Zhang
Sustainability 2024, 16(19), 8565; https://doi.org/10.3390/su16198565 - 2 Oct 2024
Cited by 4 | Viewed by 2144
Abstract
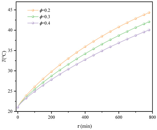
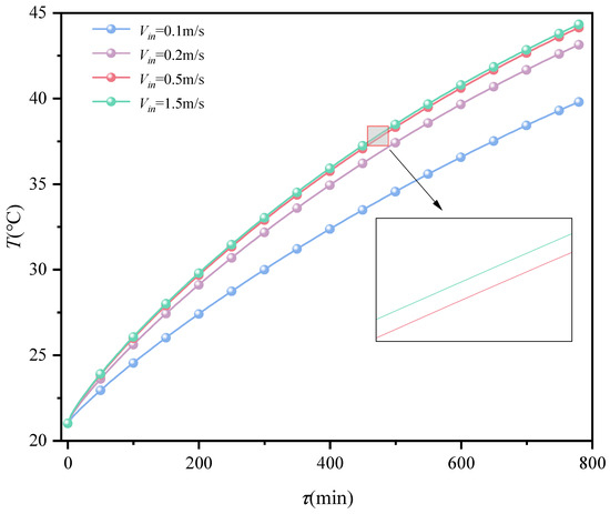
A novel conductive heating method using solar energy for soil remediation was introduced in this work. Contaminated industrial heritage sites will affect the sustainable development of the local ecological environment and the surrounding air environment, and frequent exposure will have a negative impact [...] Read more.
A novel conductive heating method using solar energy for soil remediation was introduced in this work. Contaminated industrial heritage sites will affect the sustainable development of the local ecological environment and the surrounding air environment, and frequent exposure will have a negative impact on human health. Soil thermal desorption is an effective means to repair contaminated soil, but thermal desorption is accompanied by a large amount of energy consumption and secondary pollution. Therefore, a trough solar heat collection desorption system (TSHCDS) is proposed, which is applied to soil thermal desorption technology. The effects of different water inlet temperature, water inlet velocity and soil porosity on the evolution of soil temperature field were discussed. The temperature field of contaminated soil can be numerically simulated, and a small experimental platform is built to verify the accuracy of the numerical model for simulation research. It is concluded that the heating effect is the best when the water entry temperature is the highest, at 70 °C, and the temperature of test point 4 is increased by 50.71% and 1.42%, respectively. When the inlet water flow rate is increased from 0.1 m/s to 0.2 m/s, the heating effect is significantly improved; when the inlet water flow rate is increased from 0.5 m/s to 1.5 m/s, the heating effect is not significantly improved. Therefore, when the flow rate is greater than a certain value, the heating effect is not significantly improved. The simulation analysis of soil with different porosity shows that larger porosity will affect the thermal diffusivity, which will make the heat transfer effect worse and reduce the heating effect. The effects of soil temperature distribution on the removal of petroleum hydrocarbon C6–C9 and trichloroethylene (TCE) were studied. The results showed that in the thermal desorption process of petroleum hydrocarbon C6–C9-contaminated soil, the removal rate of pollutants increased significantly when the average soil temperature reached 80 °C. In the thermal desorption of trichloroethylene-contaminated soil, when the thermal desorption begins, the soil temperature rises rapidly and reaches the target temperature, and a large number of pollutants are removed. At the end of thermal desorption, the removal of both types of pollutants reached the target repair value. This study provides a new feasible method for soil thermal desorption. Full article
Show Figures

Figure 1

Back to TopTop