Sign in to use this feature.

Years

Between: -

Subjects

remove_circle_outline
remove_circle_outline
remove_circle_outline
remove_circle_outline
remove_circle_outline
remove_circle_outline
remove_circle_outline
remove_circle_outline
remove_circle_outline

Journals

remove_circle_outline
remove_circle_outline
remove_circle_outline
remove_circle_outline
remove_circle_outline
remove_circle_outline
remove_circle_outline
remove_circle_outline
remove_circle_outline
remove_circle_outline
remove_circle_outline
remove_circle_outline
remove_circle_outline
remove_circle_outline
remove_circle_outline
remove_circle_outline
remove_circle_outline

Article Types

Countries / Regions

remove_circle_outline
remove_circle_outline
remove_circle_outline
remove_circle_outline
remove_circle_outline

Search Results (941)

Search Parameters:
Keywords = identity as a service

Order results
Result details
Results per page
Select all
Export citation of selected articles as:
22 pages, 404 KB  
Article
Community-for-Care: An Integrated Response to Informal Post-Caregivers
by Catarina Inês Costa Afonso, Ana Spínola Madeira, Alcinda Reis and Susana Magalhães
Healthcare 2025, 13(24), 3318; https://doi.org/10.3390/healthcare13243318 - 18 Dec 2025
Abstract
Background/Objectives: Informal caregivers play a crucial role in healthcare, but when caregiving ends the “post-caregivers” often remain invisible and unsupported. Post-caregivers face needs such as reconstructing their identity and finding space and time to grieve. This study aimed to design a support network [...] Read more.
Background/Objectives: Informal caregivers play a crucial role in healthcare, but when caregiving ends the “post-caregivers” often remain invisible and unsupported. Post-caregivers face needs such as reconstructing their identity and finding space and time to grieve. This study aimed to design a support network for informal post-caregivers by exploring perceptions of diverse stakeholders. Methods: A qualitative inductive study was conducted using three focus groups (n = 15; ages 35–70; 12 women, 3 men) held online between June and July 2023. Participants included palliative care team members, home support professionals, general practitioners, informal caregivers, post-caregivers, and members of civil society. A semi-structured guide was used, and narratives were analyzed with a Narrative Medicine-informed approach and thematic analysis. Results: Community-For-Care emerged as an overarching and distinctive concept that, while aligned with the ethos of Compassionate Communities, specifically addresses the transition after caregiving ends, a phase largely absent from existing models. It symbolizes the “living forces of the community” mobilized to accompany informal post-caregivers through identity reconstruction, bereavement, and reintegration. Three interrelated thematic axes structure this concept: (1) Compassion Axis—emphasizing a compassionate community that values caregiving; (2) Coordinated Action Axis—highlighting coordinated, continuous support across healthcare and community services; and (3) Care Literacy Axis—underscoring education and training for caregivers, post-caregivers, and professionals. These axes dynamically interact to empower post-caregivers and stitch the holes in the support network. Conclusions: A community-centered, post-caregiver-focused framework such as Community-For-Care offers a novel extension of compassionate communities by directly addressing the loneliness, identity rupture, and invisibility that often characterize the transition after caregiving. Reinforcing compassion, coordinated action, and care literacy can enable communities to better acknowledge the contributions and ongoing needs of post-caregivers, supporting their emotional recovery, social reintegration, and reconstruction of daily life. By integrating these three axes into community practice, the model introduces a post-care-specific structure that can enhance well-being, reduce preventable health decline, and relieve pressure on formal services by mobilizing local, civic, and relational assets. Full article
Show Figures

Figure 1

14 pages, 1549 KB  
Article
Temporal Dynamics of Harmful Speech in Chatbot–User Dialogues: A Comparative Study of LLM and Chit-Chat Systems
by Ohseong Kwon, Hyobeen Yoon, Hyojin Chin and Jisung Park
Appl. Sci. 2025, 15(24), 13185; https://doi.org/10.3390/app152413185 - 16 Dec 2025
Abstract
Harmful language in conversational AI poses distinct safety and governance challenges, as Large Language Model (LLM) chatbots interact in private, one-to-one settings. Understanding the types of harm and their temporal concentration is crucial for responsible deployment and time-aware moderation. This study investigates the [...] Read more.
Harmful language in conversational AI poses distinct safety and governance challenges, as Large Language Model (LLM) chatbots interact in private, one-to-one settings. Understanding the types of harm and their temporal concentration is crucial for responsible deployment and time-aware moderation. This study investigates the types and diurnal dynamics of harmful speech, comparing patterns between play-oriented chit-chat and task-oriented LLM services.We analyze two large-scale, real-world English corpora: a chit-chat service (SimSimi; 8.7 M utterances) and an LLM service (WildChat; 610 K utterances). Using the Perspective API for multi-label classification (Toxicity, Profanity, Insult, Identity Attack, Threat), we estimate the incidence of harm categories and compare their distribution across five dayparts. Our analysis shows that harmful speech is significantly more prevalent in the chit-chat context than in the LLM service. Across both platforms, Toxicity and Profanity are the dominant categories. Temporally, harmful speech concentrates most frequently during the dawn daypart. We contribute an empirical baseline on how harm varies by chatbot modality and time of day, offering practical guidance for designing dynamic, platform-specific moderation policies. Full article
Show Figures

Figure 1

18 pages, 495 KB  
Article
Evidence of Workplace Politics Undermining Knowledge Sharing and Sustainability
by Ruxandra Bejinaru, Faisal Mahmood, Maria Saleem and Antonio Ariza-Montes
Sustainability 2025, 17(24), 11263; https://doi.org/10.3390/su172411263 - 16 Dec 2025
Abstract
The present research examines how employees perceive their firms’ CSR initiatives that ultimately translate into desired attitudes and behaviors, i.e., employee environmental commitment (EEC) and knowledge sharing (KS) at the workplace, by underpinning social identity theory. However, when do undesired working conditions, i.e., [...] Read more.
The present research examines how employees perceive their firms’ CSR initiatives that ultimately translate into desired attitudes and behaviors, i.e., employee environmental commitment (EEC) and knowledge sharing (KS) at the workplace, by underpinning social identity theory. However, when do undesired working conditions, i.e., Perception of Politics (POP), adversely influence these desired outcomes? We deliberately selected 45 firms in the services and manufacturing sectors of Pakistan operating in larger metropolitan cities and prevalent tourist destinations, and actively participating in CSR activities. Thereafter, three self-administered surveys were conducted by employing a time-lagged design with two temporal breaks. A total of 655 surveys were distributed among middle managers across selected firms. Accordingly, it is found that employees who strongly identify with their organizations tend to align their personal values with organizational sustainability efforts and actively participate in environmentally responsible practices. They also demonstrate a greater willingness to share knowledge and enhance the organization’s collective intelligence. However, when employees perceive a high level of political behavior within the organization, their trust in its ethical standards diminishes, leading to various negative attitudes and behaviors in the workplace. This research contributed in two ways to the existing literature: (a) by examining the employees’ understandings of firms’ CSR engagements and their trickle-down effect on EEC and KS, (b) and studying when POP adversely effects the above relationship. Full article
Show Figures

Figure 1

30 pages, 15172 KB  
Article
Traditional Agrarian Landscapes and Climate Resilience in the Rural–Urban Transition Between the Sierra de las Nieves and the Western Costa del Sol (Andalusia, Spain)
by Hugo Castro Noblejas and Álvaro Daniel Rodríguez Escudero
Geographies 2025, 5(4), 78; https://doi.org/10.3390/geographies5040078 - 16 Dec 2025
Abstract
The study examines the recent transformation of traditional agricultural landscapes in the transition zone between Sierra de las Nieves and the Western Costa del Sol (Andalusia, Spain), one of the European regions where urban development pressure has reached its peak in replacing agricultural [...] Read more.
The study examines the recent transformation of traditional agricultural landscapes in the transition zone between Sierra de las Nieves and the Western Costa del Sol (Andalusia, Spain), one of the European regions where urban development pressure has reached its peak in replacing agricultural land with residential and tourism uses. Through a diachronic analysis of historical orthophotos (1956–2025), statistical sources (Agricultural Census, SIGPAC), and fieldwork, land-use changes and their impact on ecological functionality and territorial resilience are quantified. Results reveal a widespread loss of agricultural land—exceeding 68% overall—particularly severe in Benahavís, where more than 70% of farmland has disappeared, largely converted to urban areas. In contrast, in Istán and Ojén, the predominant trend is the renaturalization of abandoned agricultural land. These dynamics illustrate a coastal–inland territorial model that epitomizes the Mediterranean “territorial consumption” process, in which tourism-driven urbanization fragments traditional agroforestry mosaics. The study concludes that, despite their regression, traditional agricultural landscapes continue to play a key role in water regulation, soil conservation, and wildfire risk mitigation. Their restoration and maintenance are proposed as a replicable strategy for climate change adaptation and for reconciling territorial sustainability with economic development in other Mediterranean regions under intense urban pressure. Full article
Show Figures

Figure 1

38 pages, 6341 KB  
Article
Nonlinear Perceptual Thresholds and Trade-Offs of Visual Environment in Historic Districts: Evidence from Street View Images in Shanghai
by Zhanzhu Wang, Weiying Zhang and Yongming Huang
Sustainability 2025, 17(24), 11075; https://doi.org/10.3390/su172411075 - 10 Dec 2025
Viewed by 159
Abstract
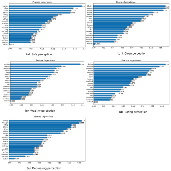
Historic districts, as important spatial units that carry urban cultural memory and everyday social life, play a crucial role in shaping residents’ spatial identity, emotional attachment, and perceptual experience. Although quantitative research on built environments and perception has advanced considerably in recent years, [...] Read more.
Historic districts, as important spatial units that carry urban cultural memory and everyday social life, play a crucial role in shaping residents’ spatial identity, emotional attachment, and perceptual experience. Although quantitative research on built environments and perception has advanced considerably in recent years, the mechanisms through which perception is formed in historic districts, particularly the nonlinear threshold effects and perceptual trade-off patterns that arise under conditions of high-density and mixed land use, remain insufficiently examined. To address this gap, this study develops an analytical framework that integrates spatial attributes with multidimensional subjective perceptions. Focusing on six historic districts in central Shanghai, the study combines micro-scale environmental indicators extracted from street-view imagery, POI data, and public perceptual evaluations and employs an XGBoost model to identify the nonlinear response patterns, threshold effects, and perceptual trade-offs across seven perceptual dimensions. The results show that natural elements such as visual greenery and sky openness generate significant threshold-based enhancement effects, and once reaching a certain level of visibility, they substantially increase positive perceptions including beauty, safety, and cleanliness. By contrast, commercial and traffic-related facilities exhibit dual and competing perceptual influences. Moderate densities enhance liveliness, whereas high concentrations tend to induce perceptual fatigue and intensify negative emotional responses. Overall, perceptual quality in historic districts does not arise from linear accumulation but is shaped by dynamic perceptual trade-offs among natural features, functional elements, and cultural symbolism. Overall, the study reveals the coupling mechanism between spatial renewal and perceptual experience amid the pressures of urban modernization. It also demonstrates that increasing visible greenery (e.g., planting street trees, incorporating micro-green spaces, improving façade greening), enhancing street openness (e.g., optimizing view corridors, reducing visual obstruction, implementing moderate setback adjustments), guiding a moderate mix and spatial distribution of commercial and service functions, and strengthening the perceptibility of cultural landscape elements (e.g., façade restoration, streetscape coordination, and improved signage systems) are concrete and effective planning and design actions for improving landscape quality and enhancing the experiential quality of historic districts. Full article
(This article belongs to the Section Tourism, Culture, and Heritage)
Show Figures

Figure 1

27 pages, 2737 KB  
Systematic Review
Exploring Determinants and Theoretical Underpinnings of Revisit Intention in Tourism: A PRISMA-Based Systematic Literature Review
by Ari Respati, Andriani Kusumawati, Edy Yulianto and Agung Nugroho Luthfi Imam Fahrudi
Sustainability 2025, 17(24), 11044; https://doi.org/10.3390/su172411044 - 10 Dec 2025
Viewed by 412
Abstract
This study aims to identify the variables that influence revisit intention and the theories most frequently employed in related research. This research adopts a systematic literature review (SLR) following the PRISMA 2020 guidelines, encompassing the identification, screening, and synthesis of articles from the [...] Read more.
This study aims to identify the variables that influence revisit intention and the theories most frequently employed in related research. This research adopts a systematic literature review (SLR) following the PRISMA 2020 guidelines, encompassing the identification, screening, and synthesis of articles from the Scopus, ScienceDirect, and Emerald databases. The results indicate that customer satisfaction, destination image, experience, and service quality emerge as the most dominant variables. At the same time, constructs such as electronic word-of-mouth (e-WOM), place identity, and accessibility receive comparatively little scholarly attention. Moreover, the Theory of Planned Behavior constitutes the most commonly applied theoretical framework, followed by the stimulus-organism-response (SOR) model, the Theory of Reasoned Action (TRA), and Cognitive Appraisal Theory. These findings reveal research gaps that provide a foundation for future conceptual model development. The study offers both theoretical and practical contributions toward strengthening strategies for fostering tourist loyalty. Full article
Show Figures

Figure 1

34 pages, 4998 KB  
Article
Resisting Memorization-Based APT Attacks Under Incomplete Information in DDHR Architecture: An Entropy-Heterogeneity-Aware RL-Based Scheduling Approach
by Xinghua Wu, Mingzhe Wang, Xiaolin Chang, Chao Li, Yixiang Wang, Bo Liang and Shengjiang Deng
Entropy 2025, 27(12), 1238; https://doi.org/10.3390/e27121238 - 7 Dec 2025
Viewed by 170
Abstract
The rapid advancement of artificial technology is giving rise to new forms of cyber threats like memorization-based APT attacks, which not only pose significant risks to critical infrastructure but also present serious challenges to conventional security architectures. As a crucial service information system [...] Read more.
The rapid advancement of artificial technology is giving rise to new forms of cyber threats like memorization-based APT attacks, which not only pose significant risks to critical infrastructure but also present serious challenges to conventional security architectures. As a crucial service information system in railway passenger stations, the Railway Passenger Service System (RPSS) is particularly vulnerable due to its widespread terminal distribution and large attack surface. This paper focuses on two key challenges within the RPSS Cloud Center’s Double-Layer Dynamic Heterogeneous Redundancy (DDHR) architecture under such attacks: (i) the inability to accurately estimate redundant executor scheduling time, and (ii) the absence of an intelligent defense scheduling method capable of countering memorization-based attacks within a unified and quantifiable environment. To address these issues, we first establish the problem formulation of optimizing defender’s payoff under incomplete information, which applies information entropy of DDHR redundant executors to reflect attacking and defending behaviors. Then a method of estimating attacking time is proposed in order to overcome the difficulty in determining scheduling time due to incomplete information. Finally, we introduce the PPO_HE approach—a Proximal Policy Optimization (PPO) algorithm enhanced with quantifiable information Entropy and Heterogeneity of DDHR redundant executors. Extensive experiments were conducted for evaluation in terms of the two entropy-related metrics: information entropy decay amount and information entropy decay rate. Results demonstrate that the PPO_EH approach achieves the highest efficiency per scheduling operation in countering attacks and provides the longest resistance time against memorization-based attacks under identical initial information entropy conditions. Full article
(This article belongs to the Section Multidisciplinary Applications)
Show Figures

Figure 1

27 pages, 832 KB  
Systematic Review
Sustainable Career Transitions and Mental Health Support in Elite Sport: A Systematic Review of Evidence and Practices
by Francesca Di Rocco, Cristian Romagnoli, Simone Ciaccioni, Laura Capranica, Elvira Padua and Flavia Guidotti
Sports 2025, 13(12), 438; https://doi.org/10.3390/sports13120438 - 5 Dec 2025
Viewed by 649
Abstract
The present systematic review aims to provide a comprehensive synthesis of evidence and practices regarding sustainable career transitions in elite sport. Following PRISMA guidelines, an extensive literature search was conducted in SPORTDiscus (EBSCOhost), PsycINFO, Scopus, Web of Science, and Google Scholar databases, resulting [...] Read more.
The present systematic review aims to provide a comprehensive synthesis of evidence and practices regarding sustainable career transitions in elite sport. Following PRISMA guidelines, an extensive literature search was conducted in SPORTDiscus (EBSCOhost), PsycINFO, Scopus, Web of Science, and Google Scholar databases, resulting in 117 manuscripts, published from January 2015 to May 2025, and meeting the defined inclusion criteria. The review focused on mental health, dual-career pathways, transition readiness, and identity-related issues among elite athletes, Olympians, and Paralympians. Methodologies included qualitative, quantitative, and mixed-methods designs, with multisport and mixed-gender samples prevailing. The most commonly used instruments were semi-structured interviews and surveys. The main findings highlighted the centrality of mental health support, the role of dual-career planning, and the importance of proactive identity negotiation. Despite growing research interest, significant gaps persist in access to psychological support, structured transition planning, and dual-career strategies, with notable inconsistencies across countries and sports. The review emphasizes the necessity for integrated, multidimensional guidance, culturally sensitive psychological services, and flexible educational pathways to promote athlete well-being and sustainable post-sport careers. These insights are intended to inform the implementation of the ERASMUS+ funded PORTAL project, supporting evidence-based interventions and the development of resources such as an online platform and Real-Life Transition Officers to enhance the transition experiences of elite athletes. Full article
Show Figures

Figure 1

28 pages, 2694 KB  
Article
Outdoor Learning in Belgium and Türkiye: Cultural Heritage Sensitivity and Sustainability
by Genç Osman İlhan, Ahmet Tokmak and Veysi Aktaş
Sustainability 2025, 17(23), 10849; https://doi.org/10.3390/su172310849 - 3 Dec 2025
Viewed by 389
Abstract
In educational settings, the transfer of knowledge to daily life and the permanence of learning outcomes are essential goals. In this context, Outdoor Learning (OL) has gained growing attention as an approach that connects students with real-life experiences. This study compares OL practices [...] Read more.
In educational settings, the transfer of knowledge to daily life and the permanence of learning outcomes are essential goals. In this context, Outdoor Learning (OL) has gained growing attention as an approach that connects students with real-life experiences. This study compares OL practices in Türkiye and Belgium, examining their impact on educational sustainability and cultural heritage awareness through multiple stakeholder perspectives. Using a qualitative case study design with a holistic multiple-case approach, data were collected through field observations and semi-structured interviews conducted between January and June 2025. The research included five OL activities in Türkiye and six in Belgium, involving students, teachers, administrators, and external observers. Data were analyzed using descriptive and content analysis. The findings show that OL fosters environmental awareness, respect for cultural heritage, local–European identity, collaboration, and responsibility, while enhancing learning retention and motivation. In Belgium, OL is implemented systematically within educational programs, whereas in Türkiye it is expanding rapidly under new policy guidelines. However, challenges such as large class sizes, safety concerns, logistics, and financial limitations hinder consistent practice. The study concludes that OL should be organically integrated into curricula, supported by in-service teacher training and institutional financial–logistical frameworks to ensure sustainable and meaningful implementation. Full article
(This article belongs to the Section Sustainable Education and Approaches)
Show Figures

Figure 1

26 pages, 791 KB  
Review
Utopia or Dystopia? Measuring the Effects of Platform Labour on Workers: A Literature Overview
by Yi Zhang, Chan Liu and Maofu Wang
Sustainability 2025, 17(23), 10830; https://doi.org/10.3390/su172310830 - 3 Dec 2025
Viewed by 602
Abstract
This study provides a structured and differentiated review of the literature on platform labour from the workers’ perspective, examining how platform-mediated work affects multiple dimensions of workers’ employment conditions and well-being as well as their subjective experiences. Platform labour is a new form [...] Read more.
This study provides a structured and differentiated review of the literature on platform labour from the workers’ perspective, examining how platform-mediated work affects multiple dimensions of workers’ employment conditions and well-being as well as their subjective experiences. Platform labour is a new form of work where companies create online platforms which match consumers with service providers, thereby providing workers with a new type of employment opportunity, casually referred to as “being your own boss”, accompanied by a certain degree of flexibility and autonomy. However, it is important to note that this flexibility and autonomy is limited by factors such as algorithmic management, and it has also led to the spread of increased precarity and social inequality. Existing studies highlight that these effects vary substantially across types of platforms, worker groups and socio-institutional contexts. The subjective experience of platform workers is neither an absolute “good” nor “bad” experience, but is a function of their own unique work and life experiences and personal needs. Based on these themes, we suggest that attention to the needs of different groups of platform workers, their diverse identities and interests, and to labour equity and social protection is key to the sustainable development of the platform economy. Future research could further prioritise cross-regional differences, algorithmic governance (including emerging technologies), the effectiveness of regulatory and organisational innovations in advancing labour equity and social protection, and the long-term, intersectional effects of platform labour, with a view to promoting a more inclusive and sustainable platform ecosystem. Full article
Show Figures

Figure 1

16 pages, 318 KB  
Article
Efficient Traceable Oblivious Transfer Schemes with Aceess Control
by Weiwei Liu, Yankang Zhang, Kunhao Yang and Binghao Fu
Symmetry 2025, 17(12), 2066; https://doi.org/10.3390/sym17122066 - 3 Dec 2025
Viewed by 168
Abstract
In light of the rapid advancement of information technology, data privacy and security have emerged as critical societal concerns. There is an urgent need for the effective implementation of data access control and traceability mechanisms regarding the management of sensitive information.To address this [...] Read more.
In light of the rapid advancement of information technology, data privacy and security have emerged as critical societal concerns. There is an urgent need for the effective implementation of data access control and traceability mechanisms regarding the management of sensitive information.To address this issue, this paper presents an efficient traceable Oblivious Transfer with Access Control (AC-TOT) scheme that integrates traceability and access control mechanisms, with its core design rooted in cryptographic symmetry principles—specifically leveraging the symmetric properties of bilinear pairings to achieve consistent bidirectional verification of security parameters between protocol participants. Our scheme could ensure that only authorized users can access services from the server in a privacy-preserving manner, with the server being aware solely of the number of accessible services while remaining oblivious to their specific content. Furthermore, the scheme permits recipients to access services without undergoing identity verification, thereby mitigating the risk of personal information disclosure. The security analysis demonstrates that the proposed scheme effectively prevents user abuse and enables the sender to trace improper behaviors. Full article
(This article belongs to the Section Mathematics)
15 pages, 1580 KB  
Article
Assessment of the Service Life of Polyethylene Pipes with Controlled Defects Using Internal Pressure Test
by Ioana-Daniela Manu, Marius Gabriel Petrescu, Cătălin Blag and Ramadan Ibrahim Naim
Materials 2025, 18(23), 5407; https://doi.org/10.3390/ma18235407 - 30 Nov 2025
Viewed by 245
Abstract
Controlled geometry defects can be volumetric defects, usually located on the outer surface of the pipe, having different orientations and lengths and identical depths. This type of defect corresponds to the type obtained using a damage mechanism, as presented by API 579-1/ASME FFS-1, [...] Read more.
Controlled geometry defects can be volumetric defects, usually located on the outer surface of the pipe, having different orientations and lengths and identical depths. This type of defect corresponds to the type obtained using a damage mechanism, as presented by API 579-1/ASME FFS-1, Part 9, called crack-type defects. The research presented in this paper was intended to evaluate the influence of controlled defects on the strength of an HDPE water pipe, PE100 (Ø 90 × 5.4), SDR 17, PN 10 bar, subjected to internal pressure. The methods applied were the internal pressure test and numerical simulation. The article’s main findings were the critical pressure Pcr, the critical time tcr, the critical depth of defect acr, and the remaining service life t. The remaining service life was approximately 83 years for the pipe with a defect oriented circumferentially, and 69 years for the pipe with a defect oriented longitudinally. Full article
Show Figures

Figure 1

37 pages, 7448 KB  
Article
Phygital Enjoyment of the Landscape: Walkability and Digital Valorisation of the Phlegraean Fields
by Ivan Pistone, Antonio Acierno and Alessandra Pagliano
Sustainability 2025, 17(23), 10729; https://doi.org/10.3390/su172310729 - 30 Nov 2025
Viewed by 274
Abstract
The contemporary landscape is characterised by overlapping values and pressures, where ecosystem services and cultural spaces are used by diverse categories of users. In fragile contexts such as the Phlegraean Fields in Italy, the exponential growth of mass tourism has intensified the anthropogenic [...] Read more.
The contemporary landscape is characterised by overlapping values and pressures, where ecosystem services and cultural spaces are used by diverse categories of users. In fragile contexts such as the Phlegraean Fields in Italy, the exponential growth of mass tourism has intensified the anthropogenic impacts, exacerbated by limited landscape awareness among local communities. Thus, walkability fosters direct exploration, while experiential transects provide a lens to read ecological, cultural, and perceptual layers of places. Together with digital storytelling, these approaches converge in a phygital approach that enriches physical experience without supplanting it. The study covered approximately 115 km of routes across five municipalities, combining road audits, an 11-item survey, participatory mapping, and ArcGIS StoryMaps. Results showed a structurally complex and functionally fragile mobility system: sidewalks are discontinuous, lighting insufficient, less than one quarter of the network is fully pedestrian, and cycling facilities are almost absent. At the same time, digital layers diversified routes and supported situated learning. By integrating geo-spatial analysis and phygital tools, the research demonstrates a replicable strategy to enhance the awareness and sustainable enjoyment of complex landscapes. The present research is part of the PNRR project Changes ‘PE5Changes_Spoke1-WP4-Historical Landscapes Traditions and Cultural Identities’. Full article
Show Figures

Figure 1

32 pages, 2170 KB  
Article
School Renovation Impact on IAQ and Embodied Carbon: A Comparative Field Study with Statistical and LCA Insights
by Paulius Vestfal and Lina Seduikyte
Buildings 2025, 15(23), 4341; https://doi.org/10.3390/buildings15234341 - 28 Nov 2025
Viewed by 183
Abstract
Indoor air quality (IAQ) in schools is directly linked to student health, comfort, and performance, while renovation strategies are increasingly assessed for their embodied carbon impacts alongside energy savings. However, little is known about how renovation affects both IAQ and embodied emissions in [...] Read more.
Indoor air quality (IAQ) in schools is directly linked to student health, comfort, and performance, while renovation strategies are increasingly assessed for their embodied carbon impacts alongside energy savings. However, little is known about how renovation affects both IAQ and embodied emissions in real school settings. This study hypothesized that renovation improves thermal stability but may not ensure compliance with IAQ standards, while introducing additional embodied carbon from new materials. To test this, two architecturally identical Lithuanian schools, one renovated, one non-renovated, were compared during the transition from heating to cooling season. IAQ monitoring focused on carbon dioxide (CO2), temperature, and relative humidity, and a life cycle assessment (LCA) was used to evaluate the additional embodied carbon of renovation materials, since energy-focused upgrades like insulation and new windows can improve indoor comfort but also increase material-related emissions. Results showed that renovation improved temperature stability and reduced sensitivity to outdoor conditions, but both schools frequently exceeded recommended CO2 thresholds during lessons. The LCA showed notable embodied carbon impacts from façade insulation and window replacement (A1-A3 stages), highlighting a trade-off between material use and comfort gains, though long-term operational savings may offset these initial emissions over the building service life. The results underline the importance of renovation that brings together thermal comfort and CO2 performance and embodied carbon reduction to create both healthy and sustainable learning environments. Full article
(This article belongs to the Collection Sustainable Buildings in the Built Environment)
Show Figures

Figure 1

43 pages, 5836 KB  
Review
Defending the Distributed Skies: A Comprehensive Literature Review of the Arena of Multi-Cloud Environment
by Labib Hasan Bayzid, Tonny Shekha Kar, Mohammad Tariqul Islam, Md. Shabiul Islam and Firoz Ahmed
Future Internet 2025, 17(12), 548; https://doi.org/10.3390/fi17120548 - 28 Nov 2025
Viewed by 523
Abstract
The rapid implementation of multi-cloud architectures, such as the integration of services from multiple cloud providers, gives organizations enhanced flexibility, resilience, and vendor independence. However, the multi-cloud model presents complicated security challenges due to diverse platforms, fragmented governance, and increased areas of concern. [...] Read more.
The rapid implementation of multi-cloud architectures, such as the integration of services from multiple cloud providers, gives organizations enhanced flexibility, resilience, and vendor independence. However, the multi-cloud model presents complicated security challenges due to diverse platforms, fragmented governance, and increased areas of concern. This paper presents a comprehensive literature review of the multi-cloud environment arena, focusing on the analysis of threats, vulnerabilities, cost optimization, mitigation strategies, and research trends. It covers a comprehensive range of risks, including data breaches, insider threats, API exploitation, configuration errors, and emerging multi-vector attacks, as well as the cumulative complexity of aligning policies, managing identities, and ensuring compliance across diverse providers. The review analyzes existing and proposed defence mechanisms, spanning cryptographic techniques, fuzzy-logic decision frameworks, AI and ML-driven detection systems, as well as integrated Identity and Access Management (IAM) systems. Analysis of relevant literature reveals a progression from basic foundational encryption systems toward more sophisticated, policy-driven, and collaboration-capable security frameworks. Additionally, the paper identifies significant research gaps in real-world validation, cost optimization, and unified governance models. This research departs from prior work by integrating multiple perspectives rather than limiting its scope to a single area such as security, defence, or cost optimization. It also provides new researchers with comprehensive background information on cloud architecture within a single article. Full article
Show Figures

Graphical abstract

Back to TopTop