Sign in to use this feature.

Years

Between: -

Subjects

remove_circle_outline
remove_circle_outline
remove_circle_outline
remove_circle_outline

Journals

Article Types

Countries / Regions

Search Results (17)

Search Parameters:
Keywords = icariside II

Order results
Result details
Results per page
Select all
Export citation of selected articles as:
24 pages, 7441 KB  
Article
The Bioactive Compounds of Epimedium and Their Potential Mechanism of Action in Treating Osteoporosis: A Network Pharmacology and Experimental Validation Study
by Huizhong Dong, Fen Tang, Zilu Zhao, Wenxuan Huang, Xiangyang Wan, Zhanying Hong, Ying Liu, Xin Dong and Si Chen
Pharmaceuticals 2024, 17(6), 706; https://doi.org/10.3390/ph17060706 - 29 May 2024
Cited by 1 | Viewed by 3305
Abstract
Osteoporosis is a global health challenge characterized by bone loss and microstructure deterioration, which urgently requires the development of safer and more effective treatments due to the significant adverse effects and limitations of existing drugs for long-term treatment. Traditional Chinese medicine, like Epimedium [...] Read more.
Osteoporosis is a global health challenge characterized by bone loss and microstructure deterioration, which urgently requires the development of safer and more effective treatments due to the significant adverse effects and limitations of existing drugs for long-term treatment. Traditional Chinese medicine, like Epimedium, offers fewer side effects and has been used to treat osteoporosis, yet its active compounds and pharmacological mechanisms remain unclear. In this study, 65 potential active compounds, 258 potential target proteins, and 488 pathways of Epimedium were identified through network pharmacology analysis. Further network analysis and review of the literature identified six potential active compounds and HIF-1α for subsequent experimental validation. In vitro experiments confirmed that 2″-O-RhamnosylIcariside II is the most effective compound among the six potential active compounds. It can promote osteoblast differentiation, bind with HIF-1α, and inhibit both HIF-1α gene and protein expression, as well as enhance COL1A1 protein expression under hypoxic conditions. In vivo experiments demonstrated its ability to improve bone microstructures and reduce bone loss by decreasing bone marrow adipose tissue, enhancing bone formation, and suppressing HIF-1α protein expression. This study is the first to describe the therapeutic effects of 2-O-RhamnosylIcariside II on osteoporosis, which was done, specifically, through a mechanism that targets and inhibits HIF-1α. This study provides a scientific basis for the clinical application of Epimedium and offers a new candidate drug for the treatment of osteoporosis. Additionally, it provides new evidence supporting HIF-1α as a therapeutic target for osteoporosis. Full article
Show Figures

Figure 1

15 pages, 2133 KB  
Article
Effects of Icariin and Its Metabolites on GPCR Regulation and MK-801-Induced Schizophrenia-Like Behaviors in Mice
by Su Hui Seong, Seo Hyun Kim, Jong Hoon Ryu, Jin-Woo Jeong, Hyun Ah Jung and Jae Sue Choi
Molecules 2023, 28(21), 7300; https://doi.org/10.3390/molecules28217300 - 27 Oct 2023
Cited by 6 | Viewed by 2773
Abstract
Icariin, a major bioactive compound found in the Epimedium genus, has been reported to exert protective effects against neurodegenerative disorders. In the current study, we aimed to investigate the regulatory effect of icariin and its active metabolites (icariside II and icaritin) against prime [...] Read more.
Icariin, a major bioactive compound found in the Epimedium genus, has been reported to exert protective effects against neurodegenerative disorders. In the current study, we aimed to investigate the regulatory effect of icariin and its active metabolites (icariside II and icaritin) against prime G-protein-coupled receptor targets, considering their association with neuronal disorders. Icariside II exhibited selective agonist activity towards the dopamine D3 receptor (D3R), with half-maximal effective concentrations of 13.29 μM. Additionally, they effectively inhibited the specific binding of radioligands to D3R. Molecular docking analysis revealed that icariside II potentially exerts its agonistic effect through hydrogen-bonding interaction with Asp110 of the D3R, accompanied by negative binding energy. Conversely, icaritin demonstrated selective antagonist effects on the muscarinic acetylcholine M2 receptor (M2R). Radioligand binding assay and molecular docking analysis identified icaritin as an orthosteric ligand for M2R. Furthermore, all three compounds, icariin and its two metabolites, successfully mitigated MK-801-induced schizophrenia-like symptoms, including deficits in prepulse inhibition and social interaction, in mice. In summary, these findings highlight the potential of icariin and its metabolites as promising lead structures for the discovery of new drugs targeting cognitive and neurodegenerative disorders. Full article
(This article belongs to the Special Issue Medicinal Value of Natural Bioactive Compounds and Plant Extracts)
Show Figures

Graphical abstract

19 pages, 15482 KB  
Article
A Comprehensive Analysis to Elucidate the Effects of Spraying Mineral Elements on the Accumulation of Flavonoids in Epimedium sagittatum during the Harvesting Period
by Linlin Yang, Fei Zhang, Yueci Yan, Xupeng Gu, Shengwei Zhou, Xiuhong Su, Baoyu Ji, Hua Zhong and Chengming Dong
Metabolites 2023, 13(2), 294; https://doi.org/10.3390/metabo13020294 - 16 Feb 2023
Cited by 2 | Viewed by 2417
Abstract
The harvesting period is a critical period for the accumulation of flavonoids in the leaves of the important medicinal plant Epimedium sagittatum. In this study, we conducted an experiment on E. sagittatum leaves sprayed with mineral elements with the aim of improving [...] Read more.
The harvesting period is a critical period for the accumulation of flavonoids in the leaves of the important medicinal plant Epimedium sagittatum. In this study, we conducted an experiment on E. sagittatum leaves sprayed with mineral elements with the aim of improving the quality of the herbal leafage during the harvesting period. We elucidated the changes in flavonoids (icariin, epimedin A, epimedin B, and epimedin C) in E. sagittatum leaves. The sum of main flavonoids content reached a maximum (11.74%) at 20 days after the high-concentration Fe2+ (2500 mg·L−1) treatment. We analyzed the FT-IR spectra characteristics of E. sagittatum leaf samples using the FT-IR technique, and constructed an OPLS-DA model and identified characteristic peaks to achieve differentiated identification of E. sagittatum. Further, widely untargeted metabolomic analysis identified different classes of metabolites. As the most important characteristic flavonoids, the relative contents of icariin, icaritin, icariside I, and icariside II were found to be up-regulated by high-Fe2+ treatment. Our experimental results demonstrate that high-concentration Fe2+ treatment is an effective measure to increase the flavonoids content in E. sagittatum leaves during the harvesting period, which can provide a scientific basis for the improvement of E. sagittatum leaf cultivation agronomic measures. Full article
(This article belongs to the Special Issue Secondary Metabolites from Plant Sources)
Show Figures

Graphical abstract

19 pages, 12113 KB  
Review
Synergistically Anti-Multiple Myeloma Effects: Flavonoid, Non-Flavonoid Polyphenols, and Bortezomib
by Kaixi Ding, Wei Jiang, Huanan Jia and Ming Lei
Biomolecules 2022, 12(11), 1647; https://doi.org/10.3390/biom12111647 - 7 Nov 2022
Cited by 19 | Viewed by 5410
Abstract
Multiple myeloma (MM) is a clonal plasma cell tumor originating from a post-mitotic lymphoid B-cell lineage. Bortezomib(BTZ), a first-generation protease inhibitor, has increased overall survival, progression-free survival, and remission rates in patients with MM since its clinical approval in 2003. However, the use [...] Read more.
Multiple myeloma (MM) is a clonal plasma cell tumor originating from a post-mitotic lymphoid B-cell lineage. Bortezomib(BTZ), a first-generation protease inhibitor, has increased overall survival, progression-free survival, and remission rates in patients with MM since its clinical approval in 2003. However, the use of BTZ is challenged by the malignant features of MM and drug resistance. Polyphenols, classified into flavonoid and non-flavonoid polyphenols, have potential health-promoting activities, including anti-cancer. Previous preclinical studies have demonstrated the anti-MM potential of some dietary polyphenols. Therefore, these dietary polyphenols have the potential to be alternative therapies in anti-MM treatment regimens. This systematic review examines the synergistic effects of flavonoids and non-flavonoid polyphenols on the anti-MM impacts of BTZ. Preclinical studies on flavonoids and non-flavonoid polyphenols-BTZ synergism in MM were collected from PubMed, Web of Science, and Embase published between 2008 and 2020. 19 valid preclinical studies (Published from 2008 to 2020) were included in this systematic review. These studies demonstrated that eight flavonoids (icariin, icariside II, (-)-epigallocatechin-3-gallate, scutellarein, wogonin, morin, formononetin, daidzin), one plant extract rich in flavonoids (Punica granatum juice) and four non-flavonoid polyphenols (silibinin, resveratrol, curcumin, caffeic acid) synergistically enhanced the anti-MM effect of BTZ. These synergistic effects are mediated through the regulation of cellular signaling pathways associated with proliferation, apoptosis, and drug resistance. Given the above, flavonoids and non-flavonoid polyphenols can benefit MM patients by overcoming the challenges faced in BTZ treatment. Despite the positive nature of this preclinical evidence, some additional investigations are still needed before proceeding with clinical studies. For this purpose, we conclude by providing some suggestions for future research directions. Full article
(This article belongs to the Special Issue The Value of Natural Compounds as Therapeutic Agents)
Show Figures

Figure 1

20 pages, 21911 KB  
Article
Icariside II Exerts Anti-Type 2 Diabetic Effect by Targeting PPARα/γ: Involvement of ROS/NF-κB/IRS1 Signaling Pathway
by Yiqi Li, Yeli Li, Nana Chen, Linying Feng, Jianmei Gao, Nan Zeng, Zhixu He and Qihai Gong
Antioxidants 2022, 11(9), 1705; https://doi.org/10.3390/antiox11091705 - 30 Aug 2022
Cited by 17 | Viewed by 2763
Abstract
Type 2 diabetes mellitus (T2DM) is a multisystem and complex metabolic disorder which is associated with insulin resistance and impairments of pancreatic β-cells. Previous studies have shown that icariside II (ICS II), one of the main active ingredients of Herba Epimedii, exerts [...] Read more.
Type 2 diabetes mellitus (T2DM) is a multisystem and complex metabolic disorder which is associated with insulin resistance and impairments of pancreatic β-cells. Previous studies have shown that icariside II (ICS II), one of the main active ingredients of Herba Epimedii, exerts potent anti-inflammatory and anti-oxidative properties. In this study, we investigated whether ICS II exerted anti-T2DM profile and further explored its possible underlying mechanism both in vivo and in vitro. db/db mice were administered ICS II (10, 20, 40 mg·kg−1) for 7 weeks. We found that ICS II dose-dependently attenuated hyperglycemia and dyslipidemia, as well as inhibited hepatic steatosis and islet architecture damage in db/db mice. Moreover, ICS II not only dramatically reduced inflammatory cytokines and oxidative stress, but also up-regulated PPARα/γ protein expressions, phosphorylation of Akt, GSK3β and IR, meanwhile, down-regulated phosphorylation of NF-κB(p65) and IRS1 in db/db mice. In palmitic acid (PA)-treated HepG2 or MIN6 cells, ICS II (5−20 μM) concentration-dependently promoted the cell viability via mediating PPARα/γ/NF-κB signaling pathway. PPARα/γ knockout by CRISPR-Cas9 system partly abolished the protective effects of ICS II on HepG2 or MIN6 cells following PA insults. These findings reveal that ICS II effectively confer anti-T2DM property by targeting PPARα/γ through mediation of ROS/NF-κB/IRS1 signaling pathway. Full article
Show Figures

Figure 1

18 pages, 5603 KB  
Article
Icariside II, a Naturally Occurring SIRT3 Agonist, Protects against Myocardial Infarction through the AMPK/PGC-1α/Apoptosis Signaling Pathway
by Yeli Li, Linying Feng, Dianyou Xie, Mu Lin, Yiqi Li, Nana Chen, Danli Yang, Jianmei Gao, Yizhun Zhu and Qihai Gong
Antioxidants 2022, 11(8), 1465; https://doi.org/10.3390/antiox11081465 - 27 Jul 2022
Cited by 15 | Viewed by 2896
Abstract
Myocardial infarction (MI) refers to the death of cardiomyocytes triggered by a lack of energy due to myocardial ischemia and hypoxia, and silent mating type information regulation 2 homolog 3 (SIRT3) plays an essential role in protecting against myocardial oxidative stress and apoptosis, [...] Read more.
Myocardial infarction (MI) refers to the death of cardiomyocytes triggered by a lack of energy due to myocardial ischemia and hypoxia, and silent mating type information regulation 2 homolog 3 (SIRT3) plays an essential role in protecting against myocardial oxidative stress and apoptosis, which are deemed to be the principal causes of MI. Icariside II (ICS II), one of the main active ingredients of Herbal Epimedii, possesses extensive pharmacological activities. However, whether ICS II can protect against MI is still unknown. Therefore, this study was designed to investigate the effect and possible underlying mechanism of ICS II on MI both in vivo and in vitro. The results showed that pretreatment with ICS II not only dramatically mitigated MI-induced myocardial damage in mice but also alleviated H9c2 cardiomyocyte injury elicited by oxygen and glucose deprivation (OGD), which were achieved by suppressing mitochondrial oxidative stress and apoptosis. Furthermore, ICS II elevated the phosphorylation level of adenosine monophosphate-activated protein kinase (AMPK) and peroxisome proliferator-activated receptor-gamma coactivator 1 alpha (PGC-1α) expression, thereby activating SIRT3. However, these protective effects of ICS II on MI injury were largely abolished in SIRT3-deficient mice, manifesting that ICS II-mediated cardioprotective effects are, at least partly, due to the presence of SIRT3. Most interestingly, ICS II directly bound with SIRT3, as reflected by molecular docking, which indicated that SIRT3 might be a promising therapeutic target for ICS II-elicited cardioprotection in MI. In conclusion, our findings illustrate that ICS II protects against MI-induced oxidative injury and apoptosis by targeting SIRT3 through regulating the AMPK/PGC-1α pathway. Full article
Show Figures

Figure 1

16 pages, 1549 KB  
Review
Bioavailability Improvement Strategies for Icariin and Its Derivates: A Review
by Róbert Szabó, Csaba Pál Rácz and Francisc Vasile Dulf
Int. J. Mol. Sci. 2022, 23(14), 7519; https://doi.org/10.3390/ijms23147519 - 7 Jul 2022
Cited by 60 | Viewed by 6041
Abstract
In recent years, there has been considerable interest in icariin (ICA) and its derivates, icariside II (ICS) and icaritin (ICT), due to their wide range of potential applications in preventing cancer, cardiovascular disease, osteoporosis, delaying the effects of Alzheimer’s disease, treating erectile dysfunction, [...] Read more.
In recent years, there has been considerable interest in icariin (ICA) and its derivates, icariside II (ICS) and icaritin (ICT), due to their wide range of potential applications in preventing cancer, cardiovascular disease, osteoporosis, delaying the effects of Alzheimer’s disease, treating erectile dysfunction, etc. However, their poor water solubility and membrane permeability, resulting in low bioavailability, dampens their potential beneficial effects. In this regard, several strategies have been developed, such as pharmaceutical technologies, structural transformations, and absorption enhancers. All these strategies manage to improve the bioavailability of the above-mentioned flavonoids, thus increasing their concentration in the desired places. This paper focuses on gathering the latest knowledge on strategies to improve bioavailability for enhancing the efficacy of icariin, icariside II, and icaritin. We conclude that there is an opportunity for many further improvements in this field. To the best of our knowledge, no such review articles scoping the bioavailability improvement of icariin and its derivates have been published to date. Therefore, this paper can be a good starting point for all those who want to deepen their understanding of the field. Full article
(This article belongs to the Section Bioactives and Nutraceuticals)
Show Figures

Figure 1

13 pages, 5296 KB  
Article
Effect of 2″-O-Rhamnosyl Icariside II, Baohuoside I and Baohuoside II in Herba Epimedii on Cytotoxicity Indices in HL-7702 and HepG2 Cells
by Lin Zhang, Ting Wang, Bao-Sheng Zhao, Jing-Xuan Zhang, Song Yang, Chun-Lan Fan and Pin Li
Molecules 2019, 24(7), 1263; https://doi.org/10.3390/molecules24071263 - 1 Apr 2019
Cited by 35 | Viewed by 3540
Abstract
Herba Epimedii, a commonly used Chinese medicine, has attracted much attention recently because of its potential hepatotoxic effects. 2″-O-Rhamnosyl icariside II, baohuoside I and baohuoside II are the main components of Herba Epimedii, and previous research indicates that these three compounds [...] Read more.
Herba Epimedii, a commonly used Chinese medicine, has attracted much attention recently because of its potential hepatotoxic effects. 2″-O-Rhamnosyl icariside II, baohuoside I and baohuoside II are the main components of Herba Epimedii, and previous research indicates that these three compounds are related to the hepatotoxicity of Herba Epimedii. To test this idea, in this study, HL-7702 and HepG2 cells were chosen as the in vitro models and the influences of these three compounds on a series of cytotoxicity indices, including ALT, AST, LDH, SOD, GSH, MDA, ROS and MMP, were determined. The results showed that at certain concentrations, the three compounds had different effects on the indices. Among them, baohuoside I at high concentration (32 μg/mL) displayed more significant cytotoxicity than the other two compounds; therefore, it was inferred to be more closely correlated with the liver injury induced by Herba Epimedii combined with the previous study, and its toxic mechanisms may be involved in increasing oxidative stress and inducing apoptosis. The findings of this study may provide evidence of the toxic composition of Herba Epimedii to preliminarily discuss the toxic mechanisms and provide improved guidance for its clinical safety. Full article
(This article belongs to the Section Natural Products Chemistry)
Show Figures

Figure 1

13 pages, 2153 KB  
Article
Inhibitory Effects of Roseoside and Icariside E4 Isolated from a Natural Product Mixture (No-ap) on the Expression of Angiotensin II Receptor 1 and Oxidative Stress in Angiotensin II-Stimulated H9C2 Cells
by Eun Young Hong, Tae Yang Kim, Gwan Ui Hong, Hanna Kang, Jung-Yun Lee, Jae Yeo Park, Se-Chan Kim, Young Ho Kim, Myung-Hee Chung, Young-In Kwon and Jai Youl Ro
Molecules 2019, 24(3), 414; https://doi.org/10.3390/molecules24030414 - 23 Jan 2019
Cited by 21 | Viewed by 5347
Abstract
Hypertension is a major risk factor for the development of cardiovascular diseases. This study aimed to elucidate whether the natural product mixture No-ap (NA) containing Pine densiflora, Annona muricate, and Monordica charantia, or its single components have inhibitory effects on [...] Read more.
Hypertension is a major risk factor for the development of cardiovascular diseases. This study aimed to elucidate whether the natural product mixture No-ap (NA) containing Pine densiflora, Annona muricate, and Monordica charantia, or its single components have inhibitory effects on hypertension-related molecules in Angiotensin II (Ang II)-stimulated H9C2 cells. Individual functional components were isolated and purified from NA using various columns and solvents, and then their structures were analyzed using ESI–MS, 1H-NMR, and 13H-NMR spectra. H9C2 cells were stimulated with 300 nM Ang II for 7 h. NA, telmisartan, ginsenoside, roseoside (Roseo), icariside E4 (IE4), or a combination of two components (Roseo and IE4) were administered to the cells 1 h before Ang II stimulation. The expression and activity of hypertension-related molecules or oxidative molecules were determined using RT-PCR, western blot, and ELISA. Ang II stimulation increased the expression of Ang II receptor 1 (AT1), tumor necrosis factor-α (TNF-α), monocyte chemoattractant protein-1 (MCP-1), tumor growth factor-β (TGF-β) mRNA, and nicotinamide adenine dinucleotide phosphate (NADPH) oxidase activity and the levels of hydrogen peroxide (H2O2) and superoxide anion (•O2) and reduced anti-oxidant enzyme activity. NA significantly improved the expression or activities of all hypertension-related molecules altered in Ang II-stimulated cells. Roseo or IE4 pretreatment either decreased or increased the expression or activities of all hypertension-related molecules similar to NA, but to a lesser extent. The pretreatment with a combination of Roseo and IE4 (1:1) either decreased or increased the expression of all hypertension-related molecules, compared to each single component, revealing a synergistic action of the two compounds. Thus, the combination of single components could exert promising anti-hypertensive effects similar to NA, which should be examined in future animal and clinical studies. Full article
(This article belongs to the Special Issue Natural Products and Derivatives in Human Disorders)
Show Figures

Figure 1

13 pages, 1777 KB  
Article
Synthesis and Biological Evaluation of Novel Alkyl Amine Substituted Icariside II Derivatives as Potential Anticancer Agents
by Tong Wu, Ting Li, Ya-Nan Kang, Li Liu, Xi-Man Wang, Jin-Shuai Lan, Yue Ding and Tong Zhang
Molecules 2018, 23(9), 2146; https://doi.org/10.3390/molecules23092146 - 27 Aug 2018
Cited by 10 | Viewed by 3551
Abstract
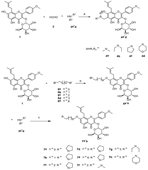
A series of novel alkyl amine-substituted icariside II (ICA II) derivatives were synthesized by Mannich reactions at the 6-C position (compounds 4ad) and changing the carbon chain length at the 7-OH position (compounds 7ah), and their in [...] Read more.
A series of novel alkyl amine-substituted icariside II (ICA II) derivatives were synthesized by Mannich reactions at the 6-C position (compounds 4ad) and changing the carbon chain length at the 7-OH position (compounds 7ah), and their in vitro antitumor activity towards human breast cancer lines (MCF-7 and MDA-MB-231) and human hepatoma cell lines (HepG2 and HCCLM3-LUC) were evaluated by the MTT assay. Compared with ICA II, most of the twelve derivatives showed good micromole level activity and a preliminary structure-activity relationship (SAR) for the anticancer activity was obtained. Compound 7g showed the most potent inhibitory activity for the four cancer cell lines (13.28 μM for HCCLM3-LUC, 3.96 μM for HepG2, 2.44 μM for MCF-7 and 4.21 μM for MDA-MB-231), which was 2.94, 5.54, 12.56 and 7.72-fold stronger than that of ICA II. The preliminary SAR showed that the introduction of a alkyl amine substituent at 6-C was not favorable for the anticancer activity, while most of the 7-O-alkylamino derivatives exhibited good antitumor activity and the anticancer activity 7-O-alkylamino derivatives were influenced by the alkyl chain length and the different terminal amine substituents. Furthermore, the effects of compound 7g on apoptosis and cell cycle of MCF-7 cells were further investigated, which showed that compound 7g triggered apoptosis and arrested the cell cycle at the G0/G1 phase in MCF-7 cells. Our findings indicate that compound 7g may be a promising anticancer drug candidate lead. Full article
(This article belongs to the Section Natural Products Chemistry)
Show Figures

Graphical abstract

14 pages, 1376 KB  
Article
Potential of Icariin Metabolites from Epimedium koreanum Nakai as Antidiabetic Therapeutic Agents
by Da Hye Kim, Hyun Ah Jung, Hee Sook Sohn, Jin Woong Kim and Jae Sue Choi
Molecules 2017, 22(6), 986; https://doi.org/10.3390/molecules22060986 - 13 Jun 2017
Cited by 54 | Viewed by 7204
Abstract
The therapeutic properties of Epimedium koreanum are presumed to be due to the flavonoid component icariin, which has been reported to have broad pharmacological potential and has demonstrated anti-diabetic, anti-Alzheimer’s disease, anti-tumor, and hepatoprotective activities. Considering these therapeutic properties of icariin, its [...] Read more.
The therapeutic properties of Epimedium koreanum are presumed to be due to the flavonoid component icariin, which has been reported to have broad pharmacological potential and has demonstrated anti-diabetic, anti-Alzheimer’s disease, anti-tumor, and hepatoprotective activities. Considering these therapeutic properties of icariin, its deglycosylated icaritin and glycosylated flavonoids (icaeriside II, epimedin A, epimedin B, and epimedin C) were evaluated for their ability to inhibit protein tyrosine phosphatase 1B (PTP1B) and α-glucosidase. The results show that icaritin and icariside II exhibit potent inhibitory activities, with 50% inhibition concentration (IC50) values of 11.59 ± 1.39 μM and 9.94 ± 0.15 μM against PTP1B and 74.42 ± 0.01 and 106.59 ± 0.44 μM against α-glucosidase, respectively. With the exceptions of icaritin and icariside II, glycosylated flavonoids did not exhibit any inhibitory effects in the two assays. Enzyme kinetics analyses revealed that icaritin and icariside II demonstrated noncompetitive-type inhibition against PTP1B, with inhibition constant (Ki) values of 11.41 and 11.66 μM, respectively. Moreover, molecular docking analysis confirmed that icaritin and icariside II both occupy the same site as allosteric ligand. Thus, the molecular docking simulation results were in close agreement with the experimental data with respect to inhibition activity. In conclusion, deglycosylated metabolites of icariin from E. koreanum might offer therapeutic potential for the treatment of type 2 diabetes mellitus. Full article
Show Figures

Figure 1

19 pages, 2872 KB  
Review
The Anticancer Properties of Herba Epimedii and Its Main Bioactive Componentsicariin and Icariside II
by Meixia Chen, Jinfeng Wu, Qingli Luo, Shuming Mo, Yubao Lyu, Ying Wei and Jingcheng Dong
Nutrients 2016, 8(9), 563; https://doi.org/10.3390/nu8090563 - 13 Sep 2016
Cited by 68 | Viewed by 12336
Abstract
Cancer is one of the leading causes of deaths worldwide. Compounds derived from traditional Chinese medicines have been an important source of anticancer drugs and adjuvant agents to potentiate the efficacy of chemotherapeutic drugs and improve the side effects of chemotherapy. Herba Epimedii [...] Read more.
Cancer is one of the leading causes of deaths worldwide. Compounds derived from traditional Chinese medicines have been an important source of anticancer drugs and adjuvant agents to potentiate the efficacy of chemotherapeutic drugs and improve the side effects of chemotherapy. Herba Epimedii is one of most popular herbs used in China traditionally for the treatment of multiple diseases, including osteoporosis, sexual dysfunction, hypertension and common inflammatory diseases. Studies show Herba Epimedii also possesses anticancer activity. Flavonol glycosides icariin and icariside II are the main bioactive components of Herba Epimedii. They have been found to possess anticancer activities against various human cancer cell lines in vitro and mouse tumor models in vivo via their effects on multiple biological pathways, including cell cycle regulation, apoptosis, angiogenesis, and metastasis, and a variety of signaling pathways including JAK2-STAT3, MAPK-ERK, and PI3k-Akt-mTOR. The review is aimed to provide an overview of the current research results supporting their therapeutic effects and to highlight the molecular targets and action mechanisms. Full article
(This article belongs to the Special Issue Polyphenols for Cancer Treatment or Prevention)
Show Figures

Figure 1

10 pages, 2238 KB  
Article
Icariin Metabolism by Human Intestinal Microflora
by Hailong Wu, Mihyang Kim and Jaehong Han
Molecules 2016, 21(9), 1158; https://doi.org/10.3390/molecules21091158 - 31 Aug 2016
Cited by 78 | Viewed by 9393
Abstract
Icariin is a major bioactive compound of Epimedii Herba, a traditional oriental medicine exhibiting anti-cancer, anti-inflammatory and anti-osteoporosis activities. Recently, the estrogenic activities of icariin drew significant attention, but the published scientific data seemed not to be so consistent. To provide fundamental information [...] Read more.
Icariin is a major bioactive compound of Epimedii Herba, a traditional oriental medicine exhibiting anti-cancer, anti-inflammatory and anti-osteoporosis activities. Recently, the estrogenic activities of icariin drew significant attention, but the published scientific data seemed not to be so consistent. To provide fundamental information for the study of the icaritin metabolism, the biotransformation of icariin by the human intestinal bacteria is reported for the first time. Together with human intestinal microflora, the three bacteria Streptococcus sp. MRG-ICA-B, Enterococcus sp. MRG-ICA-E, and Blautia sp. MRG-PMF-1 isolated from human intestine were reacted with icariin under anaerobic conditions. The metabolites including icariside II, icaritin, and desmethylicaritin, but not icariside I, were produced. The MRG-ICA-B and E strains hydrolyzed only the glucose moiety of icariin, and icariside II was the only metabolite. However, the MRG-PMF-1 strain metabolized icariin further to desmethylicaritin via icariside II and icaritin. From the results, along with the icariin metabolism by human microflora, it was evident that most icariin is quickly transformed to icariside II before absorption in the human intestine. We propose the pharmacokinetics of icariin should focus on metabolites such as icariside II, icaritin and desmethylicaritin to explain the discrepancy between the in vitro bioassay and pharmacological effects. Full article
Show Figures

Graphical abstract

13 pages, 1699 KB  
Article
Comparative Pharmacokinetics Study of Icariin and Icariside II in Rats
by Tao Cheng, Yong Zhang, Tong Zhang, Lu Lu, Yue Ding and Yuan Zhao
Molecules 2015, 20(12), 21274-21286; https://doi.org/10.3390/molecules201219763 - 1 Dec 2015
Cited by 55 | Viewed by 7714
Abstract
To explore the pharmacokinetic properties of icariin (ICA) and icariside II (ICA II) following intragastric and intravenous administration in rats, a rapid and sensitive method by using ultra-performance liquid chromatography–tandem mass spectroscopy (UPLC-MS/MS) was developed and validated for the simultaneous quantification of ICA [...] Read more.
To explore the pharmacokinetic properties of icariin (ICA) and icariside II (ICA II) following intragastric and intravenous administration in rats, a rapid and sensitive method by using ultra-performance liquid chromatography–tandem mass spectroscopy (UPLC-MS/MS) was developed and validated for the simultaneous quantification of ICA and ICA II in rat plasma. The quantification was performed by using multiple reaction monitoring of the transitions m/z 677.1/531.1 for ICA, 515.1/369.1 for ICA II and 463.1/301.1 for diosmetin-7-O-β-d-glucopyranoside (IS). The assay showed linearity over the concentration range of 1.03–1032 ng/mL, with correlation coefficients of 0.9983 and 0.9977. Intra- and inter-day precision and accuracy were within 15%. The lower limit of quantification for both ICA and ICA II was 1.03 ng/mL, respectively. The recovery of ICA and ICA II was more than 86.2%. The LC-MS/MS method has been successfully used in the pharmacokinetic studies of ICA and ICA II in rats. The results indicated that 91.2% of ICA was transformed into ICA II after oral administration by rats, whereas only 0.4% of ICA was transformed into ICA II after intravenous administration. A comparison of the pharmacokinetics of ICA and ICA II after oral administration revealed that the Cmax and AUC0–t of ICA II were 3.8 and 13.0 times higher, respectively, than those of ICA. However, after intravenous administration, the Cmax and AUC0–t of ICA II were about only 12.1% and 4.2% of those of ICA. These results suggest that ICA and ICA II have distinct pharmacokinetic properties, and the insights obtained facilitate future pharmacological action studies. Full article
(This article belongs to the Section Medicinal Chemistry)
Show Figures

Graphical abstract

13 pages, 5609 KB  
Article
Effects of Icariside II on Corpus Cavernosum and Major Pelvic Ganglion Neuropathy in Streptozotocin-Induced Diabetic Rats
by Guang-Yi Bai, Feng Zhou, Yu Hui, Yong-De Xu, Hong-En Lei, Jin-Xian Pu and Zhong-Cheng Xin
Int. J. Mol. Sci. 2014, 15(12), 23294-23306; https://doi.org/10.3390/ijms151223294 - 15 Dec 2014
Cited by 17 | Viewed by 6784
Abstract
Diabetic erectile dysfunction is associated with penile dorsal nerve bundle neuropathy in the corpus cavernosum and the mechanism is not well understood. We investigated the neuropathy changes in the corpus cavernosum of rats with streptozotocin-induced diabetes and the effects of Icariside II (ICA [...] Read more.
Diabetic erectile dysfunction is associated with penile dorsal nerve bundle neuropathy in the corpus cavernosum and the mechanism is not well understood. We investigated the neuropathy changes in the corpus cavernosum of rats with streptozotocin-induced diabetes and the effects of Icariside II (ICA II) on improving neuropathy. Thirty-six 8-week-old Sprague-Dawley rats were randomly distributed into normal control group, diabetic group and ICA-II treated group. Diabetes was induced by a one-time intraperitoneal injection of streptozotocin (60 mg/kg). Three days later, the diabetic rats were randomly divided into 2 groups including a saline treated placebo group and an ICA II-treated group (5 mg/kg/day, by intragastric administration daily). Twelve weeks later, erectile function was measured by cavernous nerve electrostimulation with real time intracorporal pressure assessment. The penis was harvested for the histological examination (immunofluorescence and immunohistochemical staining) and transmission electron microscopy detecting. Diabetic animals exhibited a decreased density of dorsal nerve bundle in penis. The neurofilament of the dorsal nerve bundle was fragmented in the diabetic rats. There was a decreased expression of nNOS and NGF in the diabetic group. The ICA II group had higher density of dorsal nerve bundle, higher expression of NGF and nNOS in the penis. The pathological change of major pelvic nerve ganglion (including the microstructure by transmission electron microscope and the neurite outgrowth length of major pelvic nerve ganglion tissue cultured in vitro) was greatly attenuated in the ICA II-treated group (p < 0.01). ICA II treatment attenuates the diabetes-related impairment of corpus cavernosum and major pelvic ganglion neuropathy in rats with Streptozotocin-Induced Diabetes. Full article
(This article belongs to the Section Biochemistry)
Show Figures

Figure 1

Back to TopTop