Sign in to use this feature.

Years

Between: -

Subjects

remove_circle_outline
remove_circle_outline
remove_circle_outline
remove_circle_outline
remove_circle_outline
remove_circle_outline

Journals

Article Types

Countries / Regions

Search Results (42)

Search Parameters:
Keywords = hypo-inflammation

Order results
Result details
Results per page
Select all
Export citation of selected articles as:
14 pages, 930 KB  
Article
The Relationship Between Composite Inflammatory Indices and Dry Eye in Hashimoto’s Disease-Induced Hypothyroid Patients
by Asli Kirmaci Kabakci, Derya Cepni Cakir and Arzu Taskiran Comez
Biomedicines 2025, 13(11), 2675; https://doi.org/10.3390/biomedicines13112675 - 30 Oct 2025
Viewed by 379
Abstract
Background/Objectives: Hashimoto’s thyroiditis-induced hypothyroidism (HT–HypoT) is frequently accompanied by ocular surface complaints, but the role of systemic inflammatory markers in dry eye disease (DED) among these patients remains unclear. This study aimed to evaluate the relationship between composite inflammatory indices and the [...] Read more.
Background/Objectives: Hashimoto’s thyroiditis-induced hypothyroidism (HT–HypoT) is frequently accompanied by ocular surface complaints, but the role of systemic inflammatory markers in dry eye disease (DED) among these patients remains unclear. This study aimed to evaluate the relationship between composite inflammatory indices and the presence and severity of DED in patients with HT–HypoT. Methods: This retrospective study included 86 HT–HypoT patients and 43 DED controls without systemic comorbidities. DED diagnosis and severity were assessed using the Ocular Surface Disease Index (OSDI) and objective ocular surface tests. Laboratory parameters and composite inflammatory indices—including neutrophil-to-lymphocyte ratio (NLR), platelet-to-lymphocyte ratio (PLR), systemic immune-inflammation index (SII), systemic inflammation response index (SIRI), C-reactive protein-to-albumin ratio (CAR), and prognostic nutritional index (PNI)—were compared between groups. Results: DED was present in 44% of HT–HypoT patients. SIRI and CAR were higher in HT–HypoT patients with DED and increased with severity. Both indices independently predicted the presence and severity of DED and exhibited higher diagnostic performance than other inflammatory indices. Conclusions: In patients with HT–HypoT, SIRI and CAR provide additional diagnostic value for identifying the presence and severity of DED beyond that offered by traditional markers. These findings highlight the potential utility of routine blood-derived indices as adjunctive biomarkers in thyroid-related DED. Full article
(This article belongs to the Special Issue Recent Research on Dry Eye)
Show Figures

Figure 1

19 pages, 8104 KB  
Article
Exploring the Clinical Implication of S100A9 in Ulcerative Colitis and Its Progression to Cancer: A Journey from Inflammation to Cancer
by Jaehwan Cheon, Sang Hyun Kim, Jaehyung Park and Tae Hoon Kim
Int. J. Mol. Sci. 2025, 26(12), 5693; https://doi.org/10.3390/ijms26125693 - 13 Jun 2025
Viewed by 1515
Abstract
Ulcerative colitis (UC) is a chronic inflammatory bowel disease characterized by mucosal inflammation and debilitating symptoms that considerably impair life quality. UC is particularly prevalent in younger populations, where early diagnosis remains challenging owing to nonspecific symptoms and the potential progression to colitis-associated [...] Read more.
Ulcerative colitis (UC) is a chronic inflammatory bowel disease characterized by mucosal inflammation and debilitating symptoms that considerably impair life quality. UC is particularly prevalent in younger populations, where early diagnosis remains challenging owing to nonspecific symptoms and the potential progression to colitis-associated cancer (CAC). The GSE177044 dataset, consisting of whole blood samples, was analyzed to identify differentially expressed genes, perform gene annotation, analyze key signaling pathways, and detect key hub genes in UC using protein–protein interaction networks. Multiple UC datasets composed of colonic samples were used for validation and examination of methylation and age-related gene expression patterns. Further analyses were performed to explore the association between these key hub genes and colon adenocarcinoma (COAD). We identified four key hub genes—lipocalin-2 (LCN2), matrix metalloproteinase-9 (MMP9), S100 calcium-binding protein A9 (S100A9), and olfactomedin-4 (OLFM4)—significantly up-regulated in UC, with S100A9 showing epigenetic regulation and age-dependent expression patterns. Additionally, S100A9 was strongly associated with poor prognosis in COAD, displaying hypo-methylation and elevated expression, especially in myeloid cell types, and links to altered immune and molecular subtypes. Our findings confirmed the hypo-methylation-driven up-regulation of LCN2, S100A9, and OLFM4 in UC, suggesting their potential as blood-based diagnostic biomarkers. Notably, S100A9 has emerged as a promising biomarker for the early diagnosis of ulcerative colitis, particularly in pediatric and adolescent patients with UC. Moreover, S100A9 holds potential as a precision target to prevent progression from UC to CAC. Full article
Show Figures

Figure 1

14 pages, 363 KB  
Article
Impaired Responses to In Vitro Lipopolysaccharide-Induced Stimulation After Long-Term, Rotating Shift Work
by Denise M. Jackson and Oscar Castanon-Cervantes
Int. J. Environ. Res. Public Health 2025, 22(5), 791; https://doi.org/10.3390/ijerph22050791 - 17 May 2025
Viewed by 723
Abstract
Shift work is a common labor practice affecting nearly 30% of the U.S. workforce. Long-term, rotating-shift work is particularly harmful to health. Persistent sleep deprivation in shift workers, among other factors, facilitates the development of a state of subclinical but chronic systemic inflammation [...] Read more.
Shift work is a common labor practice affecting nearly 30% of the U.S. workforce. Long-term, rotating-shift work is particularly harmful to health. Persistent sleep deprivation in shift workers, among other factors, facilitates the development of a state of subclinical but chronic systemic inflammation with a high incidence and prevalence of infections and inflammation-related pathologies, suggesting an underlying disruption of immune responses. However, despite this state of chronic immune activation, cell-mediated inflammatory responses in rotating-shift workers are poorly understood. Here, we used lipopolysaccharide (LPS) to stimulate peripheral blood mononuclear cells (PBMCs) isolated from rotating-shift workers and healthy day-shift workers and investigate their immune responses. The results showed that PBMCs from rotating-shift workers had a dampened inflammatory response. Specifically, the secretion of LPS-induced TNF-α in culture supernatants was significantly reduced compared to the response found in PBMCs from day-shift workers. However, anti-inflammatory responses, reflected by the secretion of LPS-induced IL-10, were indistinguishable between PBMCs from day-shift and rotating-shift workers. In addition, the correlation between the plasma concentration of lipopolysaccharide-binding protein (LBP, a marker of systemic inflammation) and LPS-induced responses was disrupted only in rotating-shift workers, suggesting that in this group, an impaired mechanism that weakens the relationship between pro- and anti-inflammatory signaling may underlie the hypo-responsiveness of PBMCs. Our results suggest that persistent subclinical systemic inflammation in rotating-shift workers disrupts cell-mediated immunity, increasing the risk of infection and other inflammation-related pathologies in this population. Full article
(This article belongs to the Special Issue Exploring the Link—Better Sleep Equals Better Health)
Show Figures

Figure 1

15 pages, 1141 KB  
Case Report
Clinical Heterogeneity of Early-Onset Autoimmune Gastritis: From the Evidence to a Pediatric Tailored Algorithm
by Ivan Taietti, Martina Votto, Riccardo Castagnoli, Mirko Bertozzi, Maria De Filippo, Antonio Di Sabatino, Ombretta Luinetti, Alessandro Raffaele, Alessandro Vanoli, Marco Vincenzo Lenti, Gian Luigi Marseglia and Amelia Licari
Diseases 2025, 13(5), 133; https://doi.org/10.3390/diseases13050133 - 25 Apr 2025
Viewed by 2684
Abstract
Autoimmune gastritis (AIG) is an uncommon and often underestimated condition in children, characterized by chronic stomach inflammation leading to the destruction of oxyntic glands with subsequent atrophic and metaplastic changes. This condition is associated with hypo-/achlorhydria, impairing iron and vitamin B12 absorption. The [...] Read more.
Autoimmune gastritis (AIG) is an uncommon and often underestimated condition in children, characterized by chronic stomach inflammation leading to the destruction of oxyntic glands with subsequent atrophic and metaplastic changes. This condition is associated with hypo-/achlorhydria, impairing iron and vitamin B12 absorption. The pathogenesis involves the activation of helper type 1 CD4+/CD25-T-cells against parietal cells. Clinical manifestations in children are not specific and include abdominal pain, bloating, nausea, vomiting, and iron deficiency anemia (IDA). The disease is also linked to an increased risk of pernicious anemia, intestinal-type gastric cancer, and type I neuroendocrine tumors. AIG is often diagnosed through the presence of autoantibodies in the serum, such as parietal cell (APCA) and intrinsic factor (IF) antibodies. However, therapeutic recommendations for pediatric AIG are currently lacking. We aim to present two clinical cases of pediatric-onset AIG, highlighting the heterogeneous clinical manifestations and the challenges in diagnosis with the support of an updated literature review. A 9-year-old girl presented with refractory IDA, initial hypogammaglobulinemia, and a 12-year-old boy was initially diagnosed with eosinophilic esophagitis. Both cases underline the importance of considering AIG in children with chronic gastrointestinal symptoms and gastric atrophy. Diagnostic workup, including endoscopy and serological tests, is crucial for accurate identification. A better understanding of this condition is imperative for timely intervention and regular monitoring, given the potential long-term complications, including the risk of malignancy. These cases contribute to expanding the clinical spectrum of pediatric AIG and highlight the necessity for comprehensive evaluation and management in affected children. Full article
Show Figures

Figure 1

20 pages, 13199 KB  
Article
Preventive Role of Cocoa-Enriched Extract Against Neuroinflammation in Mice
by Ivan Carrera, Lola Corzo, Olaia Martínez-Iglesias, Vinogran Naidoo and Ramón Cacabelos
Neurol. Int. 2025, 17(4), 47; https://doi.org/10.3390/neurolint17040047 - 24 Mar 2025
Viewed by 1842
Abstract
Background: Chronic aberrant inflammation is a crucial step in mediating cerebrovascular and neurodegenerative pathologies, including Alzheimer’s and Parkinson’s disease. Due to their exceptional antioxidant properties and ability to alter imbalance metabolism and reactive inflammation response, cocoa-derived flavanols are being investigated as potential bioactive [...] Read more.
Background: Chronic aberrant inflammation is a crucial step in mediating cerebrovascular and neurodegenerative pathologies, including Alzheimer’s and Parkinson’s disease. Due to their exceptional antioxidant properties and ability to alter imbalance metabolism and reactive inflammation response, cocoa-derived flavanols are being investigated as potential bioactive substances to modulate and reverse these inflammation-associated disorders. Objective: The present study will focus on the possible beneficial effects of cocoa-derived extract, enhanced with other bioactive phytochemicals such as spirulina and pineapple, on selected biomarkers of the inflammatory, metabolic, and neurodegenerative processes. Methods: A mice model of inflammation was treated with cocoa-derived extract cocktail, and biomolecular data was obtained by performing immunohistochemical and biochemical analysis. Results: Results show that the cocoa-derived extract mitigates the neuroinflammatory processes triggered (decreased expression of macrophage CD11b) and prevents the escalade of subsequent neurodegeneration pathologies. Conclusions: The results based on hypo-vitaminosis, neuroinflammation, and inmunoreactive analysis suggest that cocoa-derived extract is a powerful bioproduct for ameliorating neuroinflammatory processes that mediate metabolic and cerebrovascular diseases. Full article
Show Figures

Graphical abstract

24 pages, 5516 KB  
Article
DAG-MAG-ΒHB: A Novel Ketone Diester Modulates NLRP3 Inflammasome Activation in Microglial Cells in Response to Beta-Amyloid and Low Glucose AD-like Conditions
by Valentina Gentili, Giovanna Schiuma, Latha Nagamani Dilliraj, Silvia Beltrami, Sabrina Rizzo, Djidjell Lara, Pier Paolo Giovannini, Matteo Marti, Daria Bortolotti, Claudio Trapella, Marco Narducci and Roberta Rizzo
Nutrients 2025, 17(1), 149; https://doi.org/10.3390/nu17010149 - 31 Dec 2024
Cited by 3 | Viewed by 2764
Abstract
Background: A neuroinflammatory disease such as Alzheimer’s disease, presents a significant challenge in neurotherapeutics, particularly due to the complex etiology and allostatic factors, referred to as CNS stressors, that accelerate the development and progression of the disease. These CNS stressors include cerebral hypo-glucose [...] Read more.
Background: A neuroinflammatory disease such as Alzheimer’s disease, presents a significant challenge in neurotherapeutics, particularly due to the complex etiology and allostatic factors, referred to as CNS stressors, that accelerate the development and progression of the disease. These CNS stressors include cerebral hypo-glucose metabolism, hyperinsulinemia, mitochondrial dysfunction, oxidative stress, impairment of neuronal autophagy, hypoxic insults and neuroinflammation. This study aims to explore the efficacy and safety of DAG-MAG-ΒHB, a novel ketone diester, in mitigating these risk factors by sustaining therapeutic ketosis, independent of conventional metabolic pathways. Methods: We evaluated the intestinal absorption of DAG-MAG-ΒHB and the metabolic impact in human microglial cells. Utilizing the HMC3 human microglia cell line, we examined the compound’s effect on cellular viability, Acetyl-CoA and ATP levels, and key metabolic enzymes under hypoglycemia. Additionally, we assessed the impact of DAG-AG-ΒHB on inflammasome activation, mitochondrial activity, ROS levels, inflammation and phagocytic rates. Results: DAG-MAG-ΒHB showed a high rate of intestinal absorption and no cytotoxic effect. In vitro, DAG-MAG-ΒHB enhanced cell viability, preserved morphological integrity, and maintained elevated Acetyl-CoA and ATP levels under hypoglycemic conditions. DAG-MAG-ΒHB increased the activity of BDH1 and SCOT, indicating ATP production via a ketolytic pathway. DAG-MAG-ΒHB showed remarkable resilience against low glucose condition by inhibiting NLRP3 inflammasome activation. Conclusions: In summary, DAG-MAG-ΒHB emerges as a promising treatment for neuroinflammatory conditions. It enhances cellular health under varying metabolic states and exhibits neuroprotective properties against low glucose conditions. These attributes indicate its potential as an effective component in managing neuroinflammatory diseases, addressing their complex progression. Full article
(This article belongs to the Section Nutrition and Neuro Sciences)
Show Figures

Graphical abstract

11 pages, 280 KB  
Review
Ion Channels as Potential Drug Targets in Dry Eye Disease and Their Clinical Relevance: A Review
by Carl Randall Harrell and Vladislav Volarevic
Cells 2024, 13(23), 2017; https://doi.org/10.3390/cells13232017 - 6 Dec 2024
Cited by 2 | Viewed by 1944
Abstract
Dry eye disease (DED) is a common multifactorial disorder characterized by a deficiency in the quality and/or quantity of tear fluid. Tear hyperosmolarity, the dysfunction of ion channel proteins, and eye inflammation are primarily responsible for the development and progression of DED. Alterations [...] Read more.
Dry eye disease (DED) is a common multifactorial disorder characterized by a deficiency in the quality and/or quantity of tear fluid. Tear hyperosmolarity, the dysfunction of ion channel proteins, and eye inflammation are primarily responsible for the development and progression of DED. Alterations in the structure and/or function of ion channel receptors (transient receptor potential ankyrin 1 (TRPA1), transient receptor potential melastatin 8 (TRPM8), transient receptor potential vanilloid 1 and 4 (TRPV1 and TRPV4)), and consequent hyperosmolarity of the tears represent the initial step in the development and progression of DED. Hyperosmolarity triggers the activation of ion channel-dependent signaling pathways in corneal epithelial cells and eye-infiltrated immune cells, leading to the activation of transcriptional factors that enhance the expression of genes regulating inflammatory cytokine production, resulting in a potent inflammatory response in the eyes of DED patients. A persistent and untreated detrimental immune response further modifies the structure and function of ion channel proteins, perpetuating tear hyperosmolarity and exacerbating DED symptoms. Accordingly, suppressing immune cell-driven eye inflammation and alleviating tear hyperosmolarity through the modulation of ion channels in DED patients holds promise for developing new therapeutic strategies. Here, we summarize current knowledge about the molecular mechanisms responsible for the inflammation-induced modification of ion channels leading to tear hyperosmolarity and immune cell dysfunction in DED patients. We also emphasize the therapeutic potential of the newly designed immunomodulatory and hypo-osmotic solution d-MAPPS™ Hypo-Osmotic Ophthalmic Solution, which can activate TRPV4 in corneal epithelial cells, stabilize the tear film, enhance natural cytokine communication, and suppress detrimental immune responses, an important novel approach for DED treatment. Full article
(This article belongs to the Section Cell Microenvironment)
12 pages, 1596 KB  
Article
Using RET-He and Delta-He in the Sysmex XN-1000V Analyzer to Differentiate Between Chronic Hemorrhagic and Chronic Inflammatory Anemia in Small Animals
by Alejandro Perez-Ecija, Julio Fernandez-Castañer, Carmen Martinez and Francisco J. Mendoza
Animals 2024, 14(22), 3215; https://doi.org/10.3390/ani14223215 - 9 Nov 2024
Viewed by 1787
Abstract
Chronic hemorrhagic anemia (CHA) and anemia of chronic inflammation (ACI) are difficult to differentiate in small animals using hematology. Advanced hematological parameters (RET-He, Delta-He and %Hypo-He) are used in humans to discriminate between types of non-regenerative anemia. Whether they could be useful in [...] Read more.
Chronic hemorrhagic anemia (CHA) and anemia of chronic inflammation (ACI) are difficult to differentiate in small animals using hematology. Advanced hematological parameters (RET-He, Delta-He and %Hypo-He) are used in humans to discriminate between types of non-regenerative anemia. Whether they could be useful in the diagnosis of CHA and ACI in small animals is unknown. We evaluated these parameters in the Sysmex XN-1000V analyzer in a population of non-anemic and anemic dogs and cats. Delta-He was significantly different between dogs with CHA and ACI. Moreover, Delta-He and RET-He were different between healthy and non-anemic dogs with inflammation. Neither of these two statements was true for cats. We also report the reference ranges for these parameters using the Sysmex XN-1000V. Although additional clinical and laboratory information should always be considered, the measurement of these parameters using this analyzer can help clinicians to classify type of anemia. Full article
(This article belongs to the Section Companion Animals)
Show Figures

Figure 1

15 pages, 20467 KB  
Article
Identification and Functional Analysis of Ras-Related Associated with Diabetes Gene (rrad) in Edwardsiella piscicida-Resistant Individuals of Japanese Flounder (Paralichthys olivaceus)
by Ying Zhu, Xinsheng Yang, Yingming Yang, Xu Yan, Chao Li and Songlin Chen
Int. J. Mol. Sci. 2024, 25(19), 10532; https://doi.org/10.3390/ijms251910532 - 1 Oct 2024
Cited by 1 | Viewed by 1604
Abstract
Ras-related associated with diabetes (RRAD) is a member of the Ras GTPase superfamily that plays a role in several cellular functions, such as cell proliferation and differentiation. In particular, the superfamily acts as an NF-κB signaling pathway inhibitor and calcium regulator to participate [...] Read more.
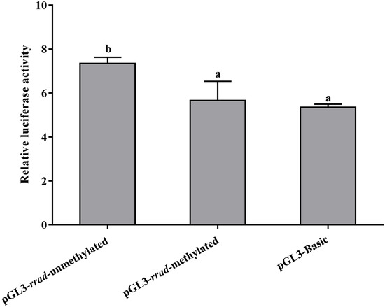
Ras-related associated with diabetes (RRAD) is a member of the Ras GTPase superfamily that plays a role in several cellular functions, such as cell proliferation and differentiation. In particular, the superfamily acts as an NF-κB signaling pathway inhibitor and calcium regulator to participate in the immune response pathway. A recent transcriptome study revealed that rrad was expressed in the spleen of disease-resistant Japanese flounder (Paralichthys olivaceus) individuals compared with disease-susceptible individuals, and the results were also verified by qPCR. Thus, the present study aimed to explore how rrad regulates antimicrobial immunity via the NF-κB pathway. First, the coding sequence of P. olivaceus rrad was identified. The sequence was 1092 bp in length, encoding 364 amino acids. Based on phylogenetic and structural relationship analyses, P. olivaceus rrad appeared to be more closely related to teleosts. Next, rrad expression differences between disease-resistant and disease-susceptible individuals in immune-related tissues were evaluated, and the results revealed that rrad was expressed preferentially in the spleen of disease-resistant individuals. In response to Edwardsiella piscicida infection, rrad expression in the spleen changed. In vitro, co-culture was carried out to assess the hypo-methylated levels of the rrad promoter in the disease-resistant spleen, which was consistent with the high mRNA expression. The siRNA-mediated knockdown of rrad performed with the gill cell line of P. olivaceus affected many rrad-network-related genes, i.e., dcp1b, amagt, rus1, rapgef1, ralbp1, plce1, rasal1, nckipsd, prkab2, cytbc-1, sh3, and others, as well as some inflammation-related genes, such as bal2 and Il-1β. In addition, flow cytometry analysis showed that rrad overexpression was more likely to induce cell apoptosis, with establishing a link between rrad‘s function and its potential roles in regulating the NF-κB pathway. Thus,. the current study provided some clarity in terms of understanding the immune response about rrad gene differences between disease-resistant and disease-susceptible P. olivaceus individuals. This study provides a molecular basis for fish rrad gene functional analysis and may serve as a reference for in-depth of bacterial disease resistance of teleost. Full article
(This article belongs to the Section Molecular Biology)
Show Figures

Figure 1

12 pages, 1217 KB  
Article
Plasma Somatostatin Levels Are Lower in Patients with Coronary Stenosis and Significantly Increase after Stent Implantation
by Balázs Sütő, József Kun, Teréz Bagoly, Timea Németh, Erika Pintér, Dorottya Kardos and Zsuzsanna Helyes
J. Clin. Med. 2024, 13(16), 4727; https://doi.org/10.3390/jcm13164727 - 12 Aug 2024
Cited by 2 | Viewed by 1986
Abstract
Background/Objectives: Stimulated capsaicin-sensitive peptidergic sensory nerves release somatostatin (SST), which has systemic anti-inflammatory and analgesic effects, correlating with the severity of tissue injury. Previous studies suggest that SST release into the systemic circulation is likely to serve as a protective mechanism during [...] Read more.
Background/Objectives: Stimulated capsaicin-sensitive peptidergic sensory nerves release somatostatin (SST), which has systemic anti-inflammatory and analgesic effects, correlating with the severity of tissue injury. Previous studies suggest that SST release into the systemic circulation is likely to serve as a protective mechanism during thoracic and orthopedic surgeries, scoliosis operations, and septic conditions, all involving significant tissue damage, pain, and inflammation. In a severe systemic inflammation rat model, SST released from sensory nerves into the bloodstream enhanced innate defense, reducing mortality. Inflammation is the key pathophysiological process responsible for the formation, progression, instability, and healing of atherosclerotic plaques. Methods: We measured SST-like immunoreactivity (SST-LI) in the plasma of healthy volunteers in different age groups and also that of stable angina patients with coronary heart disease (CHD) using ELISA and tracked changes during invasive coronary interventions (coronarography) with and without stent implantation. Samples were collected at (1) pre-intervention, (2) after coronarography, (3) 2 h after coronarography initiation and coronary stent placement, and (4) the next morning. Results: There was a strong negative correlation between SST-LI concentrations and age; the plasma SST-LI of older healthy volunteers (47–73 years) was significantly lower than in young ones (24–27 years). Baseline SST-LI in CHD patients who needed stents was significantly reduced compared to those not requiring stents. Plasma SST-LI significantly increased two hours post stent insertion and the next morning compared to pre-intervention levels. Conclusions: Age-related SST decrease might be a consequence of lower gene expression within specific hypo-thalamic nuclei as has been previously demonstrated in rodent animals. Reperfusion of ischemic myocardium post-stent implantation may trigger SST release, potentially offering protective benefits in coronary heart disease. Investigating this SST-mediated mechanism could offer valuable insights for future therapies. Full article
(This article belongs to the Section Vascular Medicine)
Show Figures

Figure 1

11 pages, 3900 KB  
Article
Oral Microbiota Alterations in Subjects with SARS-CoV-2 Displaying Prevalence of the Opportunistic Fungal Pathogen Candida albicans
by Areej A. Alfaifi, Johanna B. Holm, Tristan W. Wang, Jonathan Lim, Timothy F. Meiller, Peter Rock, Ahmed S. Sultan and Mary Ann Jabra-Rizk
Microorganisms 2024, 12(7), 1356; https://doi.org/10.3390/microorganisms12071356 - 2 Jul 2024
Cited by 4 | Viewed by 2465
Abstract
The oral cavity remains an underappreciated site for SARS-CoV-2 infection despite the myriad of oral conditions in COVID-19 patients. Recently, SARS-CoV-2 was shown to replicate in the salivary gland cells causing tissue inflammation. Given the established association between inflammation and microbiome disruption, we [...] Read more.
The oral cavity remains an underappreciated site for SARS-CoV-2 infection despite the myriad of oral conditions in COVID-19 patients. Recently, SARS-CoV-2 was shown to replicate in the salivary gland cells causing tissue inflammation. Given the established association between inflammation and microbiome disruption, we comparatively profiled oral microbial differences at a metagenomic level in a cohort of hospitalized COVID-19 patients and matched healthy controls. Specifically, we aimed to evaluate colonization by the opportunistic fungal pathogen Candida albicans, the etiologic agent of oral candidiasis. Comprehensive shotgun metagenomic analysis indicated that, overall, COVID-19 patients exhibited significantly reduced bacterial and viral diversity/richness; we identified 12 differentially abundant bacterial species to be negatively associated with COVID-19, and the functional pathways of certain bacteria to be highly associated with COVID-19 status. Strikingly, C. albicans was recovered from approximately half of the COVID-19 subjects but not from any of the healthy controls. The prevalence of Candida is likely linked to immune hypo-dysregulation caused by COVID-19 favoring Candida proliferation, warranting investigations into the interplay between Candida and SARS-CoV2 and potential therapeutic approaches directed toward oral candidiasis. Collectively, our findings prompt a reassessment of oral opportunistic infection risks during COVID-19 disease and their potential long-term impacts on oral health. Full article
Show Figures

Figure 1

22 pages, 5732 KB  
Article
Impaired Spermatogenesis in Infertile Patients with Orchitis and Experimental Autoimmune Orchitis in Rats
by María Sofía Amarilla, Leilane Glienke, Thaisy Munduruca Pires, Cristian Marcelo Sobarzo, Hernán Gustavo Oxilia, María Florencia Fulco, Marcelo Rodríguez Peña, María Belén Maio, Denisse Ferrer Viñals, Livia Lustig, Patricia Verónica Jacobo and María Susana Theas
Biology 2024, 13(4), 278; https://doi.org/10.3390/biology13040278 - 19 Apr 2024
Cited by 2 | Viewed by 2548
Abstract
Experimental autoimmune orchitis (EAO) is a well-established rodent model of organ-specific autoimmunity associated with infertility in which the testis immunohistopathology has been extensively studied. In contrast, analysis of testis biopsies from infertile patients associated with inflammation has been more limited. In this work, [...] Read more.
Experimental autoimmune orchitis (EAO) is a well-established rodent model of organ-specific autoimmunity associated with infertility in which the testis immunohistopathology has been extensively studied. In contrast, analysis of testis biopsies from infertile patients associated with inflammation has been more limited. In this work, testicular biopsies from patients with idiopathic non-obstructive azoospermia diagnosed with hypospermatogenesis (HypoSp) [mild: n = 9, and severe: n = 11], with obstructive azoospermia and complete Sp (spermatogenesis) (control group, C, n = 9), and from Sertoli cell-only syndrome (SCOS, n = 9) were analyzed for the presence of immune cells, spermatogonia and Sertoli cell (SCs) alterations, and reproductive hormones levels. These parameters were compared with those obtained in rats with EAO. The presence of increased CD45+ cells in the seminiferous tubules (STs) wall and lumen in severe HypoSp is associated with increased numbers of apoptotic meiotic germ cells and decreased populations of undifferentiated and differentiated spermatogonia. The SCs showed an immature profile with the highest expression of AMH in patients with SCOS and severe HypoSp. In SCOS patients, the amount of SCs/ST and Ki67+ SCs/ST increased and correlated with high serum FSH levels and CD45+ cells. In the severe phase of EAO, immune cell infiltration and apoptosis of meiotic germ cells increased and the number of undifferentiated and differentiated spermatogonia was lowest, as previously reported. Here, we found that orchitis leads to reduced sperm number, viability, and motility. SCs were mature (AMH-) but increased in number, with Ki67+ observed in severely damaged STs and associated with the highest levels of FSH and inflammatory cells. Our findings demonstrate that in a scenario where a chronic inflammatory process is underway, FSH levels, immune cell infiltration, and immature phenotypes of SCs are associated with severe changes in spermatogenesis, leading to azoospermia. Furthermore, AMH and Ki67 expression in SCs is a distinctive marker of severe alterations of STs in human orchitis. Full article
(This article belongs to the Special Issue Pathophysiology of Testis)
Show Figures

Figure 1

24 pages, 2627 KB  
Article
Anti-Inflammatory Action of Resveratrol in the Central Nervous System in Relation to Glucose Concentration—An In Vitro Study on a Blood–Brain Barrier Model
by Justyna Komorowska, Mateusz Wątroba, Małgorzata Bednarzak, Anna D. Grabowska and Dariusz Szukiewicz
Int. J. Mol. Sci. 2024, 25(6), 3110; https://doi.org/10.3390/ijms25063110 - 7 Mar 2024
Cited by 12 | Viewed by 3577
Abstract
Unbalanced blood glucose levels may cause inflammation within the central nervous system (CNS). This effect can be reversed by the action of a natural neuroprotective compound, resveratrol (RSV). The study aimed to investigate the anti-inflammatory effect of RSV on astrocyte cytokine profiles within [...] Read more.
Unbalanced blood glucose levels may cause inflammation within the central nervous system (CNS). This effect can be reversed by the action of a natural neuroprotective compound, resveratrol (RSV). The study aimed to investigate the anti-inflammatory effect of RSV on astrocyte cytokine profiles within an in vitro model of the blood–brain barrier (BBB) under varying glucose concentrations (2.2, 5.0, and 25.0 mmol/L), corresponding to hypo-, normo-, and hyperglycemia. The model included co-cultures of astrocytes (brain compartment, BC) and endothelial cells (microvascular compartment, MC), separated by 0.4 µm wide pores. Subsequent exposure to 0.2 μM LPS in the brain compartment (BC) and 50 μM RSV in the microvascular compartment (MC) of each well was carried out. Cytokine levels (IL-1 α, IL-1 β, IL-2, IL-4, IL-6, IL-8) in the BC were assessed using a Multi-Analyte ELISArray Kit before and after the addition of LPS and RSV. Statistical analysis was performed to determine significance levels. The results demonstrated that RSV reduced the concentration of all studied cytokines in the BC, regardless of glucose levels, with the most substantial decrease observed under normoglycemic conditions. Additionally, the concentration of RSV in the BC was highest under normoglycemic conditions compared to hypo- and hyperglycemia. These findings confirm that administration of RSV in the MC exerts anti-inflammatory effects within the BC, particularly under normoglycemia-simulating conditions. Further in vivo studies, including animal and human research, are warranted to elucidate the bioavailability of RSV within the central nervous system (CNS). Full article
(This article belongs to the Special Issue Activation of the Blood–Brain Barrier and Neurological Dysfunction)
Show Figures

Figure 1

16 pages, 1504 KB  
Review
The Molecular Mechanisms Responsible for Tear Hyperosmolarity-Induced Pathological Changes in the Eyes of Dry Eye Disease Patients
by Carl Randall Harrell, Lisa Feulner, Valentin Djonov, Dragica Pavlovic and Vladislav Volarevic
Cells 2023, 12(23), 2755; https://doi.org/10.3390/cells12232755 - 1 Dec 2023
Cited by 25 | Viewed by 8820
Abstract
Dry eye disease (DED) is a multifactorial disorder of the lacrimal system and ocular surface, characterized by a deficiency in the quality and/or quantity of the tear fluid. The multifactorial nature of DED encompasses a number of interconnected underlying pathologies, including loss of [...] Read more.
Dry eye disease (DED) is a multifactorial disorder of the lacrimal system and ocular surface, characterized by a deficiency in the quality and/or quantity of the tear fluid. The multifactorial nature of DED encompasses a number of interconnected underlying pathologies, including loss of homeostasis, instability and hyperosmolarity of the tears, and the induction and propagation of detrimental inflammatory responses in the eyes, which finally results in the development of neurosensory dysfunction and visual disruption. Dryness, grittiness, scratchiness, discomfort, inflammation, burning, watering, ocular fatigue, pain, and decreased functional visual acuity are common symptoms of DED. Eye dysfunction drastically attenuates patients’ quality of life. Accordingly, a better understanding of the pathogenic processes that regulate the development and progression of DED is crucially important for the establishment of new and more effective DED-related treatment approaches, which would significantly improve the quality of life of DED patients. Since the process of osmoregulation, which guards the ocular surface epithelia and maintains normal vision, is affected when the osmolarity of the tears is greater than that of the epithelial cells, tear hyperosmolarity (THO) is considered an initial, important step in the development, progression, and aggravation of DED. In order to delineate the role of THO in the pathogenesis of DED, in this review article, we summarize current knowledge related to the molecular mechanisms responsible for the development of THO-induced pathological changes in the eyes of DED patients, and we briefly discuss the therapeutic potential of hypo-osmotic eye drops in DED treatment. Full article
(This article belongs to the Special Issue Mechanism of Cell Signaling during Eye Development and Diseases)
Show Figures

Figure 1

10 pages, 310 KB  
Opinion
Beyond Ion Homeostasis: Hypomagnesemia, Transient Receptor Potential Melastatin Channel 7, Mitochondrial Function, and Inflammation
by Man Liu and Samuel C. Dudley
Nutrients 2023, 15(18), 3920; https://doi.org/10.3390/nu15183920 - 9 Sep 2023
Cited by 15 | Viewed by 2899
Abstract
As the second most abundant intracellular divalent cation, magnesium (Mg2+) is essential for cell functions, such as ATP production, protein/DNA synthesis, protein activity, and mitochondrial function. Mg2+ plays a critical role in heart rhythm, muscle contraction, and blood pressure. A [...] Read more.
As the second most abundant intracellular divalent cation, magnesium (Mg2+) is essential for cell functions, such as ATP production, protein/DNA synthesis, protein activity, and mitochondrial function. Mg2+ plays a critical role in heart rhythm, muscle contraction, and blood pressure. A significant decline in Mg2+ intake has been reported in developed countries because of the increased consumption of processed food and filtered/deionized water, which can lead to hypomagnesemia (HypoMg). HypoMg is commonly observed in cardiovascular diseases, such as heart failure, hypertension, arrhythmias, and diabetic cardiomyopathy, and HypoMg is a predictor for cardiovascular and all-cause mortality. On the other hand, Mg2+ supplementation has shown significant therapeutic effects in cardiovascular diseases. Some of the effects of HypoMg have been ascribed to changes in Mg2+ participation in enzyme activity, ATP stabilization, enzyme kinetics, and alterations in Ca2+, Na+, and other cations. In this manuscript, we discuss new insights into the pathogenic mechanisms of HypoMg that surpass previously described effects. HypoMg causes mitochondrial dysfunction, oxidative stress, and inflammation. Many of these effects can be attributed to the HypoMg-induced upregulation of a Mg2+ transporter transient receptor potential melastatin 7 channel (TRMP7) that is also a kinase. An increase in kinase signaling mediated by HypoMg-induced TRPM7 transcriptional upregulation, independently of any change in Mg2+ transport function, likely seems responsible for many of the effects of HypoMg. Therefore, Mg2+ supplementation and TRPM7 kinase inhibition may work to treat the sequelae of HypoMg by preventing increased TRPM7 kinase activity rather than just altering ion homeostasis. Since many diseases are characterized by oxidative stress or inflammation, Mg2+ supplementation and TRPM7 kinase inhibition may have wider implications for other diseases by acting to reduce oxidative stress and inflammation. Full article
(This article belongs to the Special Issue Magnesium Homeostasis and Magnesium Transporters in Human Health)
Back to TopTop