Sign in to use this feature.

Years

Between: -

Subjects

remove_circle_outline
remove_circle_outline
remove_circle_outline
remove_circle_outline
remove_circle_outline
remove_circle_outline
remove_circle_outline

Journals

remove_circle_outline
remove_circle_outline
remove_circle_outline
remove_circle_outline
remove_circle_outline
remove_circle_outline
remove_circle_outline

Article Types

Countries / Regions

remove_circle_outline
remove_circle_outline
remove_circle_outline
remove_circle_outline

Search Results (438)

Search Parameters:
Keywords = hyperinsulinemia

Order results
Result details
Results per page
Select all
Export citation of selected articles as:
15 pages, 836 KB  
Review
Post-Bariatric Hypoglycemia: Diagnosis, Mechanisms and Management—A Case Report-Based Review
by Rui Ribeiro, Carina Rossoni, Cláudia Rocha, Octávio Viveiros, Viorel Taranu, Filipa Eiró, Raquel Sousa, Paulo Reis Esselin de Melo, Victor Ramos Mussa Dib, Carlos Augusto Scussel Madalosso and Luciana El Kadre
J. Clin. Med. 2026, 15(9), 3220; https://doi.org/10.3390/jcm15093220 - 23 Apr 2026
Abstract
Background: Post-bariatric hypoglycemia (PBH) is a clinically significant complication of bariatric surgery, characterized by inappropriate postprandial hyperinsulinemia and recurrent hypoglycemia. Episodes are often frequent, severe, and medically refractory, substantially impacting quality of life and potentially causing compensatory carbohydrate intake that leads to weight [...] Read more.
Background: Post-bariatric hypoglycemia (PBH) is a clinically significant complication of bariatric surgery, characterized by inappropriate postprandial hyperinsulinemia and recurrent hypoglycemia. Episodes are often frequent, severe, and medically refractory, substantially impacting quality of life and potentially causing compensatory carbohydrate intake that leads to weight regain. Methods: A 50-year-old male underwent Roux-en-Y gastric bypass (RYGB) in 2009. Symptomatic postprandial hypoglycemia emerged in the second postoperative year and progressively worsened to multiple severe daily episodes. The patient developed compensatory carbohydrate intake with subsequent weight regain. Following the failure of dietary interventions and pharmacologic therapy, he underwent conversion to single-anastomosis duodeno-ileostomy with sleeve gastrectomy (SADI-S) in September 2022. Results: Following surgical conversion, the patient reported no clinically significant hypoglycemia during the follow-up period. Weight and obesity-related comorbidities improved. Gastrointestinal symptoms remained manageable, and micronutrient status was closely monitored. Conclusions: In selected patients with severe, medically refractory PBH following RYGB, conversion to an ileal-based procedure may be considered a viable therapeutic strategy. Prospective studies are needed to better define this hypothesis. Full article
(This article belongs to the Section Endocrinology & Metabolism)
18 pages, 9125 KB  
Article
Differential Expression of microRNAs in Obese Mexican Children: Links to Insulin Resistance and Dyslipidemia
by Alejandra Contreras-Ramos, Guadalupe Díaz-Rosas, Miguel Cruz, Ana Nava-Cabrera, Miguel Vazquez-Moreno, Omar Gómez-Acuña, Ana María Guerrero-Ortiz, Carmen Domínguez-Hernández, Aleyda Pérez-Herrera, Rosalinda Jiménez-Aguilar, Jaime Goméz-Zamudio, Francisco Javier Gaytán-Cervantes, Miguel Ángel Cid-Soto, Carolina González-Torres and Clara Ortega-Camarillo
Int. J. Mol. Sci. 2026, 27(8), 3396; https://doi.org/10.3390/ijms27083396 - 10 Apr 2026
Viewed by 355
Abstract
To analyze, in an analytical cross-sectional observational study, the relationship between the plasma microRNA (miRNA) expression profile in children living with obesity and their metabolic health status. Based on body mass index percentiles (BMIp), the children were grouped into a control group (C) [...] Read more.
To analyze, in an analytical cross-sectional observational study, the relationship between the plasma microRNA (miRNA) expression profile in children living with obesity and their metabolic health status. Based on body mass index percentiles (BMIp), the children were grouped into a control group (C) or an obesity group (Ob). Glucose, insulin, and low- and high-density lipoproteins (LDLs and HDLs, respectively), triacylglycerols (TG), and total cholesterol (TC) were measured. RNA from plasma was used for miRNA sequencing analysis (NextSeq 2000 platform). Differential miRNA expression was determined using counts obtained from the reference genome. Fifty controls (BMIp: 50.4 ± 23) and fifty children with obesity (BMIp: 97.54 ± 1.46) were included. The obese group presented hyperinsulinemia and insulin resistance. Sequencing revealed nine underexpressed and six overexpressed miRNAs in the obese group. In silico analysis suggested that these miRNAs may participate in regulating insulin secretion, protein synthesis, apoptosis, and the glycolytic pathway in pancreatic β-cells. Childhood obesity was associated with altered circulating levels of microRNAs linked to glucose metabolism, insulin resistance (IR) and β-cell survival. Reduced plasma levels of miR-126-3p, let-7a-5p, and miR-16-5p showed a high predictive value for hypertriglyceridemia and insulin resistance, indicating their potential relevance as early biomarkers or therapeutic targets in pediatric metabolic dysfunction. Full article
Show Figures

Figure 1

16 pages, 442 KB  
Review
Metabolic Amplification in Endometrial Carcinogenesis: Biological Rationale and Translational Limits of Precision Chemoprevention
by Weronika Rzeska and Aneta Adamiak-Godlewska
Biomedicines 2026, 14(4), 863; https://doi.org/10.3390/biomedicines14040863 - 9 Apr 2026
Viewed by 419
Abstract
Background: Endometrial cancer (EC) is the most common gynecologic malignancy in developed countries and one of the few solid tumors with a steadily rising incidence, paralleling global trends in obesity and insulin resistance. Its strong epidemiologic association with systemic metabolic dysfunction positions EC [...] Read more.
Background: Endometrial cancer (EC) is the most common gynecologic malignancy in developed countries and one of the few solid tumors with a steadily rising incidence, paralleling global trends in obesity and insulin resistance. Its strong epidemiologic association with systemic metabolic dysfunction positions EC as a uniquely accessible model for metabolically informed chemoprevention. Methods: This narrative review was conducted through a systematic search of PubMed/MEDLINE and Embase using the following terms: “endometrial cancer” AND (“insulin resistance” OR “metabolic syndrome” OR “PI3K” OR “chemoprevention” OR “bariatric surgery” OR “metformin” OR “cellular senescence”). Searches were limited to English-language publications; no date restriction was applied for foundational molecular studies, while clinical and translational evidence was reviewed from 2000 to 2025. Additional references were identified through manual review of reference lists of included articles. Results: We examine metabolic amplification as a conceptual framework in which hyperinsulinemia, inflammatory reinforcement, and redox-epigenetic modulation intensify proliferative signaling in biologically susceptible endometrial tissue, particularly within molecular subtypes enriched for PI3K pathway activation such as tumors lacking a specific molecular profile (NSMP). Bariatric surgery offers the strongest human evidence supporting the principle that durable metabolic correction can substantially reduce EC incidence. In contrast, pharmacologic interventions including metformin, anti-inflammatory agents, and nutraceutical compounds demonstrate variable or limited preventive efficacy, and short-term biomarker modulation cannot substitute for validated reduction in cancer risk. The endometrial intraepithelial neoplasia (EIN) model provides a uniquely accessible platform for biomarker-guided intervention. Conclusions: Integration of genomic subtype classification with metabolic profiling may enable precision prevention strategies in clearly defined high-risk populations. Effective chemoprevention will require molecular enrichment, confirmation of tissue-level target engagement, and clinically meaningful endpoints, while acknowledging the translational limits of pathway-directed approaches. Full article
(This article belongs to the Section Cancer Biology and Oncology)
Show Figures

Graphical abstract

11 pages, 366 KB  
Article
Circulating Myonectin and Oxytocin Levels in Pediatric Obesity: A Comparative Study
by Muammer Buyukinan, Ummugulsum Can, Zafer Bagci and Sadinaz Akdu
Children 2026, 13(3), 401; https://doi.org/10.3390/children13030401 - 13 Mar 2026
Viewed by 401
Abstract
Background/Objectives: The development of obesity is not only related to excessive adipose tissue accumulation but also involves complex inter-organ signaling pathways linking skeletal muscle and neuroendocrine systems. The present study aimed to evaluate circulating levels of myonectin (CTRP15), a skeletal muscle–derived metabolic [...] Read more.
Background/Objectives: The development of obesity is not only related to excessive adipose tissue accumulation but also involves complex inter-organ signaling pathways linking skeletal muscle and neuroendocrine systems. The present study aimed to evaluate circulating levels of myonectin (CTRP15), a skeletal muscle–derived metabolic regulator, and oxytocin, a neuropeptide with anorexigenic properties, in children with obesity. In addition, we examined the potential associations of these biomarkers with insulin resistance and metabolic risk indicators. Methods: This cross-sectional study included 53 children with obesity (body mass index standard deviation score [BMI-SDS] > 2) and 37 healthy children with normal body weight serving as controls. Anthropometric parameters, fasting glucose, insulin, lipid profile, and the Homeostasis Model Assessment of Insulin Resistance (HOMA-IR) index were assessed in all participants. Circulating concentrations of myonectin and oxytocin were measured and compared between groups, and correlations with metabolic variables were explored. Results: Children with obesity exhibited a less favorable metabolic profile characterized by higher HOMA-IR values, hyperinsulinemia, and elevated triglyceride levels. Serum myonectin concentrations were significantly lower in the obesity group compared with controls (4.01 ± 3.66 vs. 8.35 ± 12.00 ng/mL; p = 0.019). In contrast, circulating oxytocin levels were significantly higher among children with obesity (median [IQR] 156.2 [83.9–754.9] vs. 141.7 [47.7–221.5] pg/mL; p = 0.044). Neither hormone demonstrated a significant linear relationship with age, BMI-SDS, or HOMA-IR. Conclusions: Our findings indicate that childhood obesity is associated with reduced circulating myonectin levels and increased oxytocin concentrations. These observations suggest potential alterations in both muscle-derived metabolic signaling and neuroendocrine regulation in pediatric obesity. However, due to the cross-sectional design of the present study, causal relationships cannot be established. Full article
(This article belongs to the Section Pediatric Endocrinology & Diabetes)
Show Figures

Figure 1

22 pages, 1029 KB  
Review
Migraine Throughout Women’s Reproductive Life: Unravelling the Cardiovascular and Metabolic Implications
by Christian Battipaglia, Alessandro D. Genazzani, Valeria Vescovi, Peter Chedraui and Rossella E. Nappi
Endocrines 2026, 7(1), 10; https://doi.org/10.3390/endocrines7010010 - 9 Mar 2026
Viewed by 1074
Abstract
Background/Objectives: Migraine is a leading cause of disability in women and is intricately linked to hormonal fluctuations and systemic health. This review aims to unravel the complex relationship between migraine, cardiovascular disease, and metabolic syndrome throughout the female reproductive lifespan. Methods: [...] Read more.
Background/Objectives: Migraine is a leading cause of disability in women and is intricately linked to hormonal fluctuations and systemic health. This review aims to unravel the complex relationship between migraine, cardiovascular disease, and metabolic syndrome throughout the female reproductive lifespan. Methods: A comprehensive narrative review was conducted using the PubMed database for studies published between January 1988 and December 2025. Keywords included “migraine”, “cardiovascular risk”, “metabolic syndrome”, “pregnancy”, and “hormonal therapy”. Articles were selected to synthesize the latest pathophysiological evidence and clinical guidelines. Results: Migraine prevalence in women is two to threefold higher than in men, peaking during fertile age. Hormonal milestones, particularly estrogen withdrawal, trigger menstrual migraine. Metabolic syndrome is significantly more common in migraineurs than the general population. Obesity and insulin resistance have been associated with higher migraine attack frequency and severity. Experimental evidence suggests that hyperinsulinemia may sensitize TRPV1 receptors on trigeminal neurons and enhance CGRP release, potentially lowering the activation threshold for migraine attacks; however, direct confirmation of this pathway in humans remains limited. Furthermore, migraine with aura is linked to a doubled risk of ischemic stroke and increased risk of cardiovascular events. In pregnancy, migraine is an independent risk factor for stroke, myocardial infarction, and spontaneous coronary artery dissection. Conclusions: Migraine is a critical marker for cardiovascular and metabolic risk, necessitating routine screening and multidisciplinary management. Clinicians must prioritize cardiovascular counselling, metabolic evaluations, and careful monitoring in these patients, especially during pregnancy. Hormonal therapy choices should be individualized, preferring progestin-only contraceptives for those with aura and transdermal routes for hormone replacement therapy to minimize cardiometabolic impact. Full article
(This article belongs to the Section Reproductive Endocrinology)
Show Figures

Figure 1

12 pages, 2087 KB  
Article
A Fiber- and Plant-Based Nutraceutical Attenuates Insulin Resistance and Oxidative Stress in Type 2 Diabetic Mice
by Shing-Hwa Liu, Ting-Yu Chang and Meng-Tsan Chiang
Nutrients 2026, 18(5), 757; https://doi.org/10.3390/nu18050757 - 26 Feb 2026
Viewed by 512
Abstract
Background/Objectives: Nutraceuticals, consisting of bioactive compounds or materials, are increasingly regarded as promising strategies for the prevention and management of diabetes. This study aimed to evaluate the antidiabetic potential of a nutraceutical formulation (Sugar Care, SC) composed of indigestible maltodextrin, pumpkin extract, [...] Read more.
Background/Objectives: Nutraceuticals, consisting of bioactive compounds or materials, are increasingly regarded as promising strategies for the prevention and management of diabetes. This study aimed to evaluate the antidiabetic potential of a nutraceutical formulation (Sugar Care, SC) composed of indigestible maltodextrin, pumpkin extract, and bitter melon extract, using a type 2 diabetic mouse model. Methods: A starch postprandial model in fasted normal mice was first used to assess postprandial glycemic response. Oral administration of SC at 820 and 1230 mg/kg was applied for two weeks prior to starch challenge. Subsequently, male db/db mice were randomly assigned to a diabetic control group or an SC-treated group (820 mg/kg; n = 8 per group) for four weeks. Glucose tolerance, fasting glucose and insulin levels, homeostasis model assessment of insulin resistance (HOMA-IR), lipid profile, fructosamine, and thiobarbituric acid reactive substances (TBARSs) were evaluated. Results: SC at 820 and 1230 mg/kg significantly ameliorated starch-induced postprandial hyperglycemia in normal mice (p < 0.05). In db/db mice, four-week administration of SC significantly improved glucose tolerance and reduced fasting hyperinsulinemia and HOMA-IR values (p < 0.05). SC treatment also significantly decreased plasma fructosamine and TBARS levels, as well as total cholesterol and low-density lipoprotein cholesterol concentrations (p < 0.05). Conclusions: These findings provide preclinical evidence that this multi-component nutraceutical formulation improves glucose intolerance, insulin resistance, and dyslipidemia in a genetic model of type 2 diabetes. Further mechanistic and translational studies are warranted. Full article
(This article belongs to the Special Issue The Role of Phytochemicals in Metabolism and Immunity)
Show Figures

Figure 1

28 pages, 1913 KB  
Review
Hypothesis: Nutrient Off-Loading and Ectopic Fat Reduction Reverse Insulin Resistance and Improve Cardiovascular Outcomes in Type 2 Diabetes—A Narrative Review
by Joseph A. M. J. L. Janssen
Int. J. Mol. Sci. 2026, 27(5), 2150; https://doi.org/10.3390/ijms27052150 - 25 Feb 2026
Viewed by 1317
Abstract
Insulin resistance in type 2 diabetes is associated with cardiovascular disease. Nutritional overload, hyperinsulinemia, and physical inactivity are the major etiological factors driving the development of insulin resistance. In an obesogenic environment, insulin resistance has been proposed to protect the body against toxic [...] Read more.
Insulin resistance in type 2 diabetes is associated with cardiovascular disease. Nutritional overload, hyperinsulinemia, and physical inactivity are the major etiological factors driving the development of insulin resistance. In an obesogenic environment, insulin resistance has been proposed to protect the body against toxic fuel overload, hyperinsulinemia-induced injury, and metabolic stress. Insulin resistance has been further hypothesized to defend the heart and blood vessels against fuel overload when an individual is chronically overeating. Recent landmark cardiovascular outcome trials in type 2 diabetes show major improvements in cardiovascular disease outcomes after treatment with GLP-1 receptor agonists or SGLT2 inhibitors. Bariatric surgery achieves even greater improvements in cardiovascular disease outcomes than treatments with these newer pharmacological agents. It had been previously predicted that glucose-lowering approaches that normalize whole-body energy balance have the greatest potential to improve cardiovascular outcomes in type 2 diabetes. This review hypothesizes that treatment with bariatric surgery, GLP-1 receptor agonists, or SGLT2 inhibitors lowers glucose and nutritional off-loading, normalizes whole-body energy balance, and reduces ectopic fat depositions. This plays a central role in the dramatic reduction in cardiovascular disease and the reversal of insulin resistance in type 2 diabetes, which are observed after these three treatments. Full article
Show Figures

Figure 1

20 pages, 2297 KB  
Article
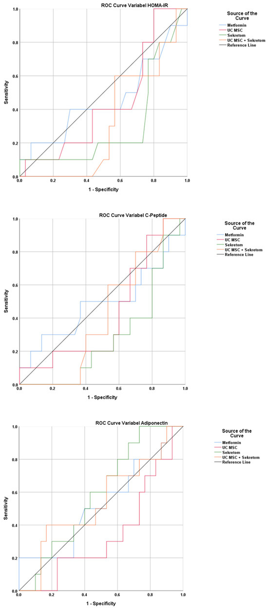
The Effect of Umbilical Cord-Derived Mesenchymal Stem Cells and Secretome on Metabolomic Profiles (C-Peptide, Adiponectin, Fasting Insulin, and Fasting Glucose): A Randomized Controlled Trial
by Gunawan Dwi Prayitno, Cynthia Retna Sartika, Tono Djuwantono, Andi Wijaya, Raden Muharam, Yudi Mulyana Hidayat, Rima Haifa, Annisah Zahrah and Keri Lestari
J. Clin. Med. 2026, 15(5), 1707; https://doi.org/10.3390/jcm15051707 - 24 Feb 2026
Viewed by 522
Abstract
Background: Polycystic ovary syndrome (PCOS) is a prevalent endocrine–metabolic disorder with chronic low-grade inflammation and insulin resistance (IR). Elevated C-peptide, a marker of compensatory hyperinsulinemia and reduced adiponectin, an insulin-sensitizing adipokine, contribute to the metabolic dysregulation observed in PCOS. Human umbilical cord-derived mesenchymal [...] Read more.
Background: Polycystic ovary syndrome (PCOS) is a prevalent endocrine–metabolic disorder with chronic low-grade inflammation and insulin resistance (IR). Elevated C-peptide, a marker of compensatory hyperinsulinemia and reduced adiponectin, an insulin-sensitizing adipokine, contribute to the metabolic dysregulation observed in PCOS. Human umbilical cord-derived mesenchymal stem cells (UC-MSCs) and their secretome have immunomodulatory properties via paracrine and epigenetic mechanisms, yet longitudinal evidence in PCOS is limited. Methods: This randomized controlled trial (RCT) involved 40 women with PCOS (Rotterdam criteria) who were randomly assigned to four treatment groups: (1) metformin 750 mg/day, (2) UC-MSC infusion (0.3 million cells/kg body weight), (3) secretome (nasal drops, 2 mL), and (4) a combination of UC-MSC (0.3 million cells/kg body weight) and secretome (nasal drops, 2 mL). Parameters measured included fasting glucose, fasting insulin, HOMA-IR, C-peptide, and adiponectin at baseline and at months 1, 3, and 6. Analysis was performed using repeated-measures ANOVA or Friedman test, and ROC curves were used to evaluate the predictive value of biomarkers on therapy response. Results: All participants completed the 6-months of follow-up. The secretome group demonstrated a significant increase in fasting glucose (month 1: p = 0.013; month 3: p = 0.007; month 6: p = 0.032), as well as an increase in adiponectin in the UC-MSC group (month 6: p = 0.016). The combination of UC-MSC and secretome induced early metabolic modulation, characterized by transient reductions in adiponectin at months 1 and 3 (p = 0.022 and p = 0.013, respectively) and early increases in insulin-related parameters; however, these effects were not sustained at month 6. ROC analysis showed that glucose, insulin, and C-peptide variables had low discriminatory ability (AUC < 0.5), while adiponectin showed a trend of increasing predictive value for improving insulin sensitivity. Conclusions: Combination therapy with UC-MSCs and secretome may have potential to improve metabolic profiles through increasing adiponectin and improving insulin sensitivity in PCOS patients, especially in the group with insulin resistance. MSC-based approaches are not only symptomatic but also have the potential to restore ovarian function through immunomodulatory and epigenetic mechanisms. Full article
(This article belongs to the Special Issue Gynecologic Oncology: Current Therapies and New Frontiers)
Show Figures

Graphical abstract

16 pages, 3396 KB  
Article
Lacticaseibacillus paracasei MG5012 and Bifidobacterium animalis subsp. lactis MG741 Alleviate Metabolic Dysfunction-Associated Steatotic Liver Disease and Preserve Skeletal Muscle Integrity in High-Fat-Diet-Fed Mice
by Miran Jang, Ji Yeon Lee, Jeong-Yong Park, Soo-Im Choi and Byoung-Kook Kim
Nutrients 2026, 18(5), 715; https://doi.org/10.3390/nu18050715 - 24 Feb 2026
Viewed by 544
Abstract
Background/Objectives: This study investigated the systemic metabolic effects of two probiotic strains, Lacticaseibacillus paracasei MG5012 and Bifidobacterium animalis subsp. lactis MG741, on metabolic dysfunction-associated steatotic liver disease (MASLD) and obesity-related muscle dysfunction in high-fat-diet (HFD)-induced obese mice. Methods: Obesity was induced in C57BL/6 [...] Read more.
Background/Objectives: This study investigated the systemic metabolic effects of two probiotic strains, Lacticaseibacillus paracasei MG5012 and Bifidobacterium animalis subsp. lactis MG741, on metabolic dysfunction-associated steatotic liver disease (MASLD) and obesity-related muscle dysfunction in high-fat-diet (HFD)-induced obese mice. Methods: Obesity was induced in C57BL/6 mice via high-fat diet (HFD) feeding for 6 weeks. Subsequently, the mice were orally administered MG5012 or MG741 for 8 weeks. We assessed systemic metabolic parameters, including body weight, adiposity, and serum biomarkers. Additionally, histological and molecular analyses were performed to evaluate hepatic steatosis, intestinal barrier integrity, and muscle oxidative status. Results: Both strains significantly attenuated body weight gain and adiposity, reduced serum liver injury markers (γ-GTP, ALT, AST), and improved systemic metabolic parameters by restoring serum GLP-1 levels and reducing hyperinsulinemia. Crucially, MG5012 and MG741 strengthened intestinal barrier integrity by upregulating the tight junction proteins Occludin and Claudin-1. In the liver, histological analyses revealed reductions in hepatic steatosis and triglyceride content, accompanied by the downregulation of lipogenic genes (SREBP-1c, FAS). Furthermore, the probiotics preserved skeletal muscle integrity; while muscle weight remained unchanged, the strains increased muscle fiber cross-sectional area (CSA) and reduced serum markers of muscle damage (CPK, LDH). This protective effect was associated with significantly enhanced expression of antioxidant enzymes (SOD, CAT, GPx) in muscle tissue. Conclusions: These findings suggest that MG5012 and MG741 confer systemic metabolic benefits through the modulation of the gut–liver–muscle axis and may serve as promising functional food ingredients for the management of MASLD and obesity-associated muscle atrophy. Full article
(This article belongs to the Section Prebiotics, Probiotics and Postbiotics)
Show Figures

Figure 1

41 pages, 1174 KB  
Review
Obesity, Bariatric Surgery, and Cancer Risk: Nutritional Perspectives and Long-Term Clinical Implications
by Claudia Reytor-González, Gerardo Sarno, Martha Montalvan, Ludovica Verde, Giuseppe Annunziata, Luigi Barrea, Giovanna Muscogiuri and Daniel Simancas-Racines
Nutrients 2026, 18(4), 685; https://doi.org/10.3390/nu18040685 - 20 Feb 2026
Viewed by 1215
Abstract
Obesity is recognized as a causal risk factor for the development of multiple cancers, with risk magnitude varying by tumor site, sex, life stage, and adipose tissue distribution. This narrative review synthesizes recent epidemiological evidence linking excess body fatness with cancer incidence and [...] Read more.
Obesity is recognized as a causal risk factor for the development of multiple cancers, with risk magnitude varying by tumor site, sex, life stage, and adipose tissue distribution. This narrative review synthesizes recent epidemiological evidence linking excess body fatness with cancer incidence and mortality and integrates the biological mechanisms that explain this association. Chronic low-grade inflammation, insulin resistance with compensatory hyperinsulinemia, dysregulation of adipose-derived hormones and sex steroids, impairment of anti-tumor immune responses, alterations in the gut microbiota, and remodeling of the tumor microenvironment collectively create conditions that favor tumor initiation and progression. Bariatric surgery is the most effective clinical intervention for achieving substantial and sustained weight loss in individuals with severe obesity, and growing evidence indicates that it is associated with a reduction in overall cancer risk and cancer-related mortality, particularly for malignancies strongly linked to obesity. However, the extent of this benefit differs by surgical technique and remains less consistent for colorectal cancer. Beyond metabolic improvements, bariatric surgery produces long-term changes in nutritional physiology that may also influence oncologic outcomes. Persistent deficiencies of micronutrients such as iron, folate, vitamin B12, vitamin D, and calcium can affect DNA synthesis, methylation, oxidative balance, and cellular repair. Altered protein and energy intake may contribute to loss of lean mass and reduced metabolic resilience, while changes in alcohol absorption and metabolism can increase systemic exposure to ethanol and its carcinogenic metabolites. In addition, bariatric surgery induces sustained remodeling of the gut microbiome and bile acid metabolism, which may further modulate tumorigenic signaling. Overall, the oncological impact of bariatric surgery reflects a balance between metabolic improvement and long-term nutritional management, underscoring the need for structured follow-up and targeted nutritional strategies to optimize cancer risk reduction. Full article
(This article belongs to the Section Nutrition and Obesity)
Show Figures

Figure 1

19 pages, 2529 KB  
Article
Stress-Inducible Transcription Factor NUPR1 Is Involved in the Inhibitory Effects Exerted by Statins on Insulin Action in ER-Positive Breast Cancer Cells
by Domenica Scordamaglia, Azzurra Zicarelli, Francesca Cirillo, Marianna Talia, Ernestina Marianna De Francesco, Roberta Malaguarnera, Marcello Maggiolini and Rosamaria Lappano
Cells 2026, 15(3), 284; https://doi.org/10.3390/cells15030284 - 2 Feb 2026
Viewed by 609
Abstract
Obesity is frequently associated with metabolic alterations like hypercholesterolemia and hyperinsulinemia and represents a major risk factor for several diseases, including breast cancer (BC). Insulin signaling, as well as the frequent overexpression of the insulin receptor (IR), play a key role in BC [...] Read more.
Obesity is frequently associated with metabolic alterations like hypercholesterolemia and hyperinsulinemia and represents a major risk factor for several diseases, including breast cancer (BC). Insulin signaling, as well as the frequent overexpression of the insulin receptor (IR), play a key role in BC progression. Emerging evidence suggests that the widely prescribed lipid-lowering drugs, named statins, may reduce the risk of recurrence and blunt BC cell proliferation, mainly inhibiting the HMGCR-dependent activation of the mevalonate pathway. In this study, we investigated the effects of simvastatin, atorvastatin and rosuvastatin in BC cells stimulated by insulin. To this end, we used as a BC model system MCF7 cells and naturally immortalized BCAHC-1 cells, which are characterized by high IR-expression levels. Our investigation demonstrates that statins reduce the proliferation and clonogenic capacity of BC cells prompted by insulin treatment. Mechanistically, statins impair the IR-mediated signaling and downregulate the stress-inducible transcription factor NUPR1, a known regulator of cancer progression. Importantly, NUPR1 inhibition blunted the stimulatory action of insulin on BC cells. Consistent with these findings, survival analyses of large cohorts of patients revealed that high levels of NUPR1 are associated with poor BC prognosis. Overall, our results provide novel mechanistic evidence supporting the repositioning of statins in BC, particularly in tumors characterized by elevated IR expression and activity. Full article
(This article belongs to the Special Issue Biomarkers in Breast Cancer)
Show Figures

Figure 1

18 pages, 3807 KB  
Article
Obesity-Associated Gestational Diabetes Promotes Cellular Heterogeneity and Dysfunction in Neonatal Offspring-Islets
by Xiangju Cao, Jian Wang, Xinyu Jia, Shuai Yang, Yuan Wang and Lixia Ji
Nutrients 2026, 18(3), 464; https://doi.org/10.3390/nu18030464 - 30 Jan 2026
Viewed by 586
Abstract
Background/Objectives: Given the lack of clarity regarding how maternal overnutrition during pregnancy regulates offspring metabolic health, our study intends to explore the specific influences of maternal Western diet (WD) exposure on neonatal islet cell development and heterogeneity. Methods: Using a WD-induced [...] Read more.
Background/Objectives: Given the lack of clarity regarding how maternal overnutrition during pregnancy regulates offspring metabolic health, our study intends to explore the specific influences of maternal Western diet (WD) exposure on neonatal islet cell development and heterogeneity. Methods: Using a WD-induced gestational diabetes mellitus (GDM) rat model, we assessed glucose homeostasis via blood glucose and serum insulin levels. Target protein expression and islet function were evaluated using immunofluorescence and insulin secretion assays, respectively. To delineate alterations in cellular heterogeneity, we subsequently performed single-cell RNA sequencing (scRNA-seq) on isolated islet cells. Results: Maternal WD exposure induced significant glucose intolerance and insulin resistance, confirming GDM establishment. Their neonatal offspring consequently displayed disrupted glucose homeostasis, characterized by concurrent hypoglycemia, hyperinsulinemia, and enhanced insulin secretion. ScRNA-seq analysis further identified the enhanced endocrine cells in GDM-offspring islets, with imbalanced α/β-cell subsets—specifically, reduced immature α1/β1 subsets and expanded mature α2/β2/β3/β4 subsets, alongside upregulated expression of insulin- and glucagon-related genes (Ins1, Ins2, Gcg). Notably, β cells in GDM offspring displayed metabolic hyperactivity (enriched ribosomal and glycolytic pathways) with multiple organelle dysfunction, including mitochondrial swelling, cristae reduction, decreased membrane potential, and severe endoplasmic reticulum stress. Conclusions: The metabolic dysregulation of WD-induced GDM in maternal rats is transmitted to offspring, leading to disrupted neonatal α/β-cell subset balance and accelerated islet maturation. However, such excessive development comes at the cost of organelle damage in β cells. Our findings provide a molecular basis for mitigating the intergenerational transmission of diabetes through early nutritional interventions. Full article
(This article belongs to the Section Nutrition in Women)
Show Figures

Figure 1

14 pages, 257 KB  
Article
The Interplay Between Insulin Resistance, Affective Dysregulation, and Binge Eating in Obesity: Toward an Integrated Biopsychosocial Treatment Model
by Luna Carpinelli, Carolina Amato, Daniela Abate Marinelli, Giovanna Stornaiuolo and Giulia Savarese
Obesities 2026, 6(1), 1; https://doi.org/10.3390/obesities6010001 - 3 Jan 2026
Viewed by 1076
Abstract
Background: Obesity is increasingly recognized as a complex condition characterized by the convergence of metabolic dysregulation and psychological vulnerability. Insulin resistance (IR) has been identified as a biological bridge linking metabolic imbalance with affective symptoms such as anxiety, depression, and disordered eating behaviors. [...] Read more.
Background: Obesity is increasingly recognized as a complex condition characterized by the convergence of metabolic dysregulation and psychological vulnerability. Insulin resistance (IR) has been identified as a biological bridge linking metabolic imbalance with affective symptoms such as anxiety, depression, and disordered eating behaviors. Methods: Fifteen obese adults (mean age = 25 ± 4.3 years) were evaluated through clinical examination, anthropometric assessment (BMI), biochemical assays (fasting insulin, AST, ALT), and standardized psychological assessments (STAI, BDI-II). In parallel, a rapid systematic review (2019–2025) synthesized evidence on the association between IR, affective dysregulation, binge eating disorder (BED), and the clinical role of insulin-sensitizing or incretin-based therapies. Results: Participants exhibited marked hyperinsulinemia (M = 79 μU/mL, SD = 6.61) and elevated anxiety (STAI-Trait = 54.22 ± 22.4) and depression scores (BDI-II = 21.6 ± 7.5). Liver enzymes were within normal limits. Literature synthesis confirmed consistent associations between IR, mood symptoms, and BED, associated with biological processes including inflammation, HPA axis hyperactivity, and dopaminergic imbalance. Integrated treatment approaches combining cognitive-behavioral therapy, medical nutrition therapy, and insulin-sensitizing agents (metformin, GLP-1RA, and GLP-1/GIP RA) were supported as effective and safe options. Conclusions: The coexistence of insulin resistance and emotional dysregulation in obesity is consistent with the hypothesis of a bidirectional metabolic–emotional axis. Early, integrated interventions addressing both metabolic and psychological domains may improve clinical outcomes and reduce progression toward chronic metabolic and psychiatric comorbidity. Full article
(This article belongs to the Special Issue Obesity and Its Comorbidities: Prevention and Therapy 2026)
28 pages, 1145 KB  
Review
Inflammation—Insulin Resistance Crosstalk and the Central Role of Myokines
by Maria-Zinaida Dobre, Bogdana Virgolici, Daciana Costina Andrada Dunca-Stefan, Ioana-Cristina Doicin and Iulia-Ioana Stanescu-Spinu
Int. J. Mol. Sci. 2026, 27(1), 60; https://doi.org/10.3390/ijms27010060 - 20 Dec 2025
Cited by 5 | Viewed by 2224
Abstract
Insulin resistance develops when skeletal muscle (SM), adipose tissue (AT), and the liver fail to respond adequately to insulin, a dysfunction closely intertwined with chronic low-grade inflammation. This combination leads to compensatory hyperinsulinemia, dysglycemia, and metabolic stress, driving major disorders such as type [...] Read more.
Insulin resistance develops when skeletal muscle (SM), adipose tissue (AT), and the liver fail to respond adequately to insulin, a dysfunction closely intertwined with chronic low-grade inflammation. This combination leads to compensatory hyperinsulinemia, dysglycemia, and metabolic stress, driving major disorders such as type 2 diabetes, metabolic syndrome, metabolic dysfunction-associated steatotic liver disease (MASLD), and cardiovascular disease. Both adipokines and myokines are central modulators of this metabolic–inflammatory axis. In obesity, diabetes, MASLD, and thyroid dysfunction, alterations in myokines such as myostatin, irisin, fibroblast growth factor 21 (FGF-21), apelin, brain-derived neurotrophic factor (BDNF), interleukin-6 (IL-6), and interleukin-15 (IL-15) influence glucose uptake, lipid oxidation, mitochondrial function, and systemic inflammation. Exercise-induced myokines exert insulin-sensitizing and anti-inflammatory effects, whereas myostatin and tumor necrosis factor-alpha (TNF-α) promote metabolic impairment. These pathways reveal extensive crosstalk between SM and key metabolic organs—including the liver, pancreas, AT, intestine, heart, and thyroid gland. In metabolic disease, inflammation-driven changes in deiodinase activity and triiodothyronine (T3) availability further link muscle dysfunction with thyroid imbalance. The aim of this narrative review was to elucidate the complex interplay between myokines, adipokines, inflammation, and insulin resistance, and to clarify their clinical relevance in metabolic and thyroid disorders. Given this integrative role of SM, sarcopenia should be recognized as a clinical marker of metabolic or thyroid dysregulation, and preserving muscle mass through structured physical activity should be a core therapeutic target. Full article
Show Figures

Figure 1

31 pages, 1668 KB  
Review
Insulin Resistance at the Crossroads of Metabolic Inflammation, Cardiovascular Disease, Organ Failure and Cancer
by Amedeo Lonardo and Ralf Weiskirchen
Biomolecules 2025, 15(12), 1745; https://doi.org/10.3390/biom15121745 - 17 Dec 2025
Cited by 7 | Viewed by 6086
Abstract
Insulin resistance (IR) describes impaired hormone signaling that triggers compensatory homeostatic responses resulting in hyperinsulinemia, increased accumulation of fatty substrates, lipotoxicity, oxidative stress, inflammation, cell death and fibrosis in target tissues. These processes ultimately lead to organ dysfunction and predispose certain individuals to [...] Read more.
Insulin resistance (IR) describes impaired hormone signaling that triggers compensatory homeostatic responses resulting in hyperinsulinemia, increased accumulation of fatty substrates, lipotoxicity, oxidative stress, inflammation, cell death and fibrosis in target tissues. These processes ultimately lead to organ dysfunction and predispose certain individuals to various types of cancer. In this context, we will review the molecular pathogenesis and clinical significance of IR, its role in ‘metaflammation’, and the damage caused by IR in the pancreas, cardiovascular system, liver, and kidneys. Additionally, we will discuss principles of drug treatment for IR and outline a research agenda in this field. Full article
(This article belongs to the Special Issue Molecular Aspects of Diseases Origin and Development)
Show Figures

Graphical abstract

Back to TopTop