Sign in to use this feature.

Years

Between: -

Subjects

remove_circle_outline
remove_circle_outline
remove_circle_outline
remove_circle_outline
remove_circle_outline
remove_circle_outline

Journals

Article Types

Countries / Regions

Search Results (51)

Search Parameters:
Keywords = hydroelastic response

Order results
Result details
Results per page
Select all
Export citation of selected articles as:
21 pages, 1649 KB  
Article
Wave Blocking in the Hydroelastic Response of a Floating Flexible Platform Under Compression Using Timoshenko–Mindlin Beam Theory
by Pouria Amouzadrad, Sarat Chandra Mohapatra and C. Guedes Soares
J. Mar. Sci. Eng. 2026, 14(8), 751; https://doi.org/10.3390/jmse14080751 - 20 Apr 2026
Viewed by 157
Abstract
A hydroelastic theoretical model is formulated, and an analytical solution is obtained to investigate the interaction between wave-opposing current loading with compression and a moored floating flexible platform within the framework of Timoshenko–Mindlin beam theory based on the linearized wave and small structural [...] Read more.
A hydroelastic theoretical model is formulated, and an analytical solution is obtained to investigate the interaction between wave-opposing current loading with compression and a moored floating flexible platform within the framework of Timoshenko–Mindlin beam theory based on the linearized wave and small structural response. By employing the matching technique and orthogonal mode-coupling relation, the closed-form analytical solutions for structural displacement, as well as shear force and bending moment, are obtained. The wave blocking and buckling limit in the presence of compressive force against an opposing current is determined via group and phase velocities from the dispersion relation in the context of the Timoshenko–Mindlin beam theory. Further, the combined influence of opposing current, compressive loading, and key structural design parameters on the hydroelastic response are examined. The results demonstrate that opposing currents and compressive forces can significantly alter the hydroelastic response, highlighting their critical role in structural engineering analysis. The current analysis provides a comprehensive analytical framework that can support the design and optimization of floating flexible platforms in the presence of opposing currents and compressive loads in complex marine environments. Full article
(This article belongs to the Section Ocean Engineering)
25 pages, 4082 KB  
Article
Time-Domain Hydroelastic Analysis of Floating Structures Under Nonlinear Shallow-Water Waves over Variable Bathymetry
by Xu Duan, Xiaoyu Chen, Yujin Dong and Yuwang Xu
J. Mar. Sci. Eng. 2026, 14(8), 729; https://doi.org/10.3390/jmse14080729 - 15 Apr 2026
Viewed by 301
Abstract
Photovoltaic systems deployed on large floating platforms in nearshore waters are strongly influenced by hydroelastic effects, nonlinear shallow-water waves, and variable bathymetry. This study develops a time-domain hydroelastic framework that couples the fully nonlinear non-hydrostatic wave model NHWAVE with a Rankine-source potential-flow solver [...] Read more.
Photovoltaic systems deployed on large floating platforms in nearshore waters are strongly influenced by hydroelastic effects, nonlinear shallow-water waves, and variable bathymetry. This study develops a time-domain hydroelastic framework that couples the fully nonlinear non-hydrostatic wave model NHWAVE with a Rankine-source potential-flow solver and a discrete-module Cummins formulation. The wave model provides incident pressures and kinematics over uneven seabeds, while the potential-flow solver evaluates radiation and diffraction effects and transfers the resulting hydrodynamic coefficients into the time domain. Numerical simulations are carried out for a 600 m modular floating structure under regular waves over flat and sloped bathymetries with tanα=0.0133, wave periods of 4–6 s, and wave heights of 0.3–1.0 m. The results show that bathymetric variation intensifies shoaling-induced excitation, modifies added-mass and damping distributions, increases the spatial non-uniformity of hydroelastic motions, and amplifies bending-moment RMS responses relative to the flat-bottom case. Additional comparisons between rigid-body and hydroelastic models show clear period-dependent redistribution of motions and bending demand. These results demonstrate that both local bathymetry and structural elasticity must be considered for the reliable analysis and design of nearshore floating photovoltaic systems and other large floating structures. Full article
(This article belongs to the Special Issue Advanced Analysis of Ship and Offshore Structures)
Show Figures

Figure 1

18 pages, 6405 KB  
Article
Hydrodynamic Analysis of Scale-Down Model Tests of Membrane-Type Floating Photovoltaic Under Different Sea States
by Xin Qi, Lichao Xiong, Linyang Zhang and Puyang Zhang
Appl. Sci. 2026, 16(1), 331; https://doi.org/10.3390/app16010331 - 29 Dec 2025
Viewed by 538
Abstract
Floating photovoltaic (FPV) systems are increasingly deployed in offshore environments. Among various FPV concepts, membrane-type platforms offer distinct advantages, including reduced weight, lower material consumption, and cost-effectiveness. This study investigates the hydrodynamic response of a membrane-type offshore FPV system through a 1:40 scale [...] Read more.
Floating photovoltaic (FPV) systems are increasingly deployed in offshore environments. Among various FPV concepts, membrane-type platforms offer distinct advantages, including reduced weight, lower material consumption, and cost-effectiveness. This study investigates the hydrodynamic response of a membrane-type offshore FPV system through a 1:40 scale physical model test based on the Ocean Sun prototype. Static-water free-decay tests were first conducted to determine the natural periods and damping characteristics in heave, surge, and pitch motions. Subsequently, irregular-wave tests were performed under seven sea states representative of an offshore demonstration site. Free-decay results show model-scale natural periods of approximately 1.0 s for heave, 0.8 s for pitch, and 15 s for surge. The long surge natural period avoids resonance with short-period waves, while the high damping in heave and pitch effectively limit dynamic amplification. Under irregular waves, heave and pitch motions remain small, whereas surge motion exhibits pronounced long-frequency excursions. Spectral analysis reveals a dominant low-frequency surge peak at f ≈ 0.067 Hz (corresponding to the natural period of 15 s), superimposed with higher-frequency components associated with wave-induced motions. A strong correlation is observed between low-frequency surge and mooring tensions. Across Sea States 1–6, the motion responses increase gradually, while a marked rise in the exceedance probability of mooring forces occurs only in the most severe sea state. Weibull extreme-value fits show good linearity, indicating that the measured extremes are statistically consistent. The results provide experimental data and design insights for membrane-type FPV systems, establishing a foundation for future hydroelastic studies. Full article
(This article belongs to the Section Civil Engineering)
Show Figures

Figure 1

23 pages, 10702 KB  
Article
A Versatile SPH Approach for Modelling Very Flexible and Modularized Floating Structures in Moored Configurations
by Rafail Ioannou, Vasiliki Stratigaki, Eva Loukogeorgaki and Peter Troch
J. Mar. Sci. Eng. 2025, 13(12), 2283; https://doi.org/10.3390/jmse13122283 - 30 Nov 2025
Cited by 1 | Viewed by 821
Abstract
A variety of Offshore Floating Photovoltaics (OFPVs) applications rely on the capacity of their floating support structures displacing in the shape of surface waves to reduce extreme wave-induced loads exerted on their floating-mooring system. This wave-adaptive displacement behaviour is typically realized through two [...] Read more.
A variety of Offshore Floating Photovoltaics (OFPVs) applications rely on the capacity of their floating support structures displacing in the shape of surface waves to reduce extreme wave-induced loads exerted on their floating-mooring system. This wave-adaptive displacement behaviour is typically realized through two principal design approaches, either by employing slender and continuously deformable structures composed of highly elastic materials or by decomposing the structure into multiple floating rigid pontoons interconnected via flexible connectors. The hydrodynamic behaviour of these structures is commonly analyzed in the literature using potential flow theory, to characterize wave loading, whereas in order to deploy such OFPV prototypes in realistic marine environments, a high-fidelity numerical fluid–structure interaction model is required. Thus, a versatile three-dimensional numerical scheme is herein presented that is capable of handling non-linear fluid-flexible structure interactions for Very Flexible Floating Structures (VFFSs): Multibody Dynamics (MBD) for modularized floating structures and floating-mooring line interactions. In the present study, this is achieved by employing the Smoothed Particles Hydrodynamics (SPH) fluid model of DualSPHysics, coupled both with the MBD module of Project Chrono and the MoorDyn+ lumped-mass mooring model. The SPH-MBD coupling enables modelling of large and geometrically non-linear displacements of VFFS within an Applied Element Method (AEM) plate formulation, as well as rigid body dynamics of modularized configurations. Meanwhile, the SPH-MoorDyn+ captures the fully coupled three-dimensional response of floating-mooring and floating-floating dynamics, as it is employed to model both moorings and flexible interconnectors between bodies. The coupled SPH-based numerical scheme is herein validated against physical experiments, capturing the hydroelastic response of VFFS, rigid body hydrodynamics, mooring line dynamics, and flexible connector behaviour under wave loading. The demonstrated numerical methodology represents the first validated Computational Fluid Dynamics (CFD) application of moored VFFS in three-dimensional domains, while its robustness is further confirmed using modular floating systems, enabling OFPV engineers to comparatively assess these two types of wave-adaptive designs in a unified numerical framework. Full article
(This article belongs to the Section Ocean Engineering)
Show Figures

Figure 1

26 pages, 10385 KB  
Article
Real-Time Digital Twin for Structural Health Monitoring of Floating Offshore Wind Turbines
by Andres Pastor-Sanchez, Julio Garcia-Espinosa, Daniel Di Capua, Borja Servan-Camas and Irene Berdugo-Parada
J. Mar. Sci. Eng. 2025, 13(10), 1953; https://doi.org/10.3390/jmse13101953 - 12 Oct 2025
Cited by 5 | Viewed by 3512
Abstract
Digital twins (DTs) offer significant promise for condition-based maintenance of floating offshore wind turbines (FOWTs); however, existing solutions typically compromise either on physical rigor or real-time computational performance. This paper presents a real-time DT framework that resolves this trade-off by embedding a hydro-elastic [...] Read more.
Digital twins (DTs) offer significant promise for condition-based maintenance of floating offshore wind turbines (FOWTs); however, existing solutions typically compromise either on physical rigor or real-time computational performance. This paper presents a real-time DT framework that resolves this trade-off by embedding a hydro-elastic reduced-order model (ROM) that accurately captures structural dynamics and fluid–structure interaction. Integrated in a cloud-ready Internet of Things architecture, the ROM reconstructs full-field displacements, von Mises stresses, and fatigue metrics with near real-time responsiveness. Validation on the 5 MW OC4-DeepCWind semi-submersible platform shows that the ROM reproduces finite-element (FEM) displacements and stresses with relative errors below 1%. A three-hour load case is solved in 0.69 min for displacements and 3.81 min for stresses on a consumer-grade NVIDIA RTX 4070 Ti GPU—over two orders of magnitude faster than the full FEM model—while one million fatigue stress histories (1000 hotspots × 1000 operating scenarios) are processed in 37 min. This efficiency enables continuous structural monitoring, rapid *what-if* assessments and timely decision-making for targeted inspections and adaptive control. By effectively combining physics-based reduced-order modeling with high-throughput computation, the proposed framework overcomes key barriers to DT deployment: computational overhead, physical fidelity and scalability. Although demonstrated on a steel platform, the approach is readily extensible to composite structures and multi-turbine arrays, providing a robust foundation for cost-effective and reliable deep-water wind-energy operations. Full article
(This article belongs to the Section Ocean Engineering)
Show Figures

Figure 1

22 pages, 3155 KB  
Article
Forced Vibration Analysis of a Hydroelastic System with an FGM Plate, Viscous Fluid, and Rigid Wall Using a Discrete Analytical Method
by Mohammed M. Alrubaye and Surkay D. Akbarov
Appl. Sci. 2025, 15(19), 10854; https://doi.org/10.3390/app151910854 - 9 Oct 2025
Viewed by 610
Abstract
This study examines the forced vibration behavior of a hydroelastic system composed of a functionally graded material (FGM) plate, a barotropic compressible Newtonian viscous fluid, and an adjacent rigid wall. The fluid occupies the gap between the plate and the wall. A time-harmonic [...] Read more.
This study examines the forced vibration behavior of a hydroelastic system composed of a functionally graded material (FGM) plate, a barotropic compressible Newtonian viscous fluid, and an adjacent rigid wall. The fluid occupies the gap between the plate and the wall. A time-harmonic force, applied in and along the free surface of the FGM plate, excites vibrations within the system. The plate’s motion is modeled using the exact equations of elastodynamics, while the fluid dynamics are described by the linearized Navier–Stokes equations for compressible viscous flow. The governing equations, which feature variable coefficients, are solved using a discrete analytical approach. Boundary conditions enforce impermeability at the rigid wall and continuity of both forces and velocities at the fluid–plate interface. The investigation focuses on the plane strain state of the plate coupled with the corresponding two-dimensional fluid flow. Numerical analyses are conducted to evaluate normal stresses and velocity distributions along the interface. The primary objective is to assess how the graded material properties of the plate influence the frequency-dependent responses of stresses and velocities at the plate–fluid boundary. Full article
Show Figures

Figure 1

18 pages, 4523 KB  
Article
The Influence of a Multi-Layer Porous Plate Structure on a Horizontally Moored Very Large Floating Structure: An Experimental Study
by Mingwei Feng, Minghao Guo, Zhipeng Leng, Xin Li and Haisheng Zhao
J. Mar. Sci. Eng. 2025, 13(9), 1702; https://doi.org/10.3390/jmse13091702 - 3 Sep 2025
Viewed by 1012
Abstract
Due to their unique structural configuration, Very Large Floating Structures (VLFS) exhibit significant hydroelastic responses during their motion in the water. These responses, which are a result of the interaction between the structure and the waves, can lead to undesirable vibrations and deformations, [...] Read more.
Due to their unique structural configuration, Very Large Floating Structures (VLFS) exhibit significant hydroelastic responses during their motion in the water. These responses, which are a result of the interaction between the structure and the waves, can lead to undesirable vibrations and deformations, potentially compromising the stability and performance of the VLFS. Reducing the hydroelastic response in VLFS has become a critical research focus for scholars worldwide. In the field of marine engineering, various methods are employed to address this issue, with the use of porous structures being one of the most effective solutions. These porous structures help to dissipate the energy of propagating waves, thereby reducing the magnitude of hydroelastic responses. This paper introduces a multi-layer porous plate structure designed to mitigate the hydroelastic response of horizontally moored VLFS. The proposed structure consists of multiple layers of porous plates strategically arranged to optimize the dissipation of wave energy. To evaluate the performance of this structure, a series of physical model tests were conducted, focusing on the hydrodynamic behavior of the VLFS with the multi-layer porous plate structure. The experimental results indicate that within a specific wavelength range, the properly configured multi-layer porous plate structure can significantly reduce the hydroelastic response of the VLFS. This reduction is especially noticeable in the attenuation of wave-induced forces, leading to a decrease in the structural vibrations and enhancing the stability of the floating system. The findings demonstrate that this innovative design can provide a reliable method for improving the performance of VLFS in challenging marine environments. Full article
(This article belongs to the Section Coastal Engineering)
Show Figures

Figure 1

21 pages, 4484 KB  
Article
Analytical and Experimental Investigation of a Three-Module VLFS Connector Based on an Elastic Beam Model
by Yongheng Wang, Xuefeng Wang, Shengwen Xu and Lei Wang
J. Mar. Sci. Eng. 2025, 13(6), 1148; https://doi.org/10.3390/jmse13061148 - 10 Jun 2025
Cited by 3 | Viewed by 1045
Abstract
Very large floating structures (VLFSs) typically employ a modular design approach to mitigate significant hydroelastic loads. A mooring system is commonly employed to maintain the position and heading of a VLFS against the forces of waves, wind, and currents, while a connector is [...] Read more.
Very large floating structures (VLFSs) typically employ a modular design approach to mitigate significant hydroelastic loads. A mooring system is commonly employed to maintain the position and heading of a VLFS against the forces of waves, wind, and currents, while a connector is utilized to restrict the relative motion among the modules. In this paper, we propose a comprehensive connector model based on elastic beam theory. The aim is to establish a unified mathematical model that accommodates various types of flexible connectors by adjusting the specific stiffness and damping parameters. To assess the effectiveness of the model, numerical and experimental studies are conducted on a VLFS composed of three rigid bodies connected in a series by multiple flexible connectors. The results obtained demonstrate that the general connector model is reasonable and can be applied to different types of connectors, thereby facilitating an analysis of the influence of the mechanical properties of the connectors on the motion response of the VLFS. Full article
(This article belongs to the Section Ocean Engineering)
Show Figures

Figure 1

26 pages, 4817 KB  
Article
Three-Dimensional and Oblique Wave-Current Interaction with a Floating Elastic Plate Based on an Analytical Approach
by Sarat Chandra Mohapatra, C. Guedes Soares and Michael H. Meylan
Symmetry 2025, 17(6), 831; https://doi.org/10.3390/sym17060831 - 26 May 2025
Cited by 4 | Viewed by 1181
Abstract
An analytical hydroelastic model formulation in three-dimensional and oblique wave cases is developed to analyze the dynamic response of a horizontal, floating elastic plate subject to wave-current interaction under linearized small-amplitude wave theory. The floating elastic plate is moored to the bottom bed [...] Read more.
An analytical hydroelastic model formulation in three-dimensional and oblique wave cases is developed to analyze the dynamic response of a horizontal, floating elastic plate subject to wave-current interaction under linearized small-amplitude wave theory. The floating elastic plate is moored to the bottom bed and free to the channel walls. Green’s function’s technique is utilised to determine the dispersion relation in 3D, and the series form of Green’s function in different water depths is derived in the oblique wave case. Further, the comparative analysis of phase and group velocities for different wave angles, between the present the existing models, is discussed. The derived dispersion relation is used in the solution by applying the geometrical symmetry velocity decomposition method. The present theoretical results of wave quantities are validated with the recently published and existing numerical hydroelastic model. A comparative analysis revealed a 1.7% difference between the present model and the existing hydroelastic models, and a 7.7% difference when compared to the model’s limiting cases. Several numerical results of the wave quantities, wave force, and vertical displacements are conducted to investigate the influence of current velocity on the hydroelastic response in three dimensions. It has been noted that the value of reflection coefficient diminishes for larger values of current velocity and the vertical displacement correspondingly becomes greater. This analysis will inform the design of elastic plate-based wave energy converters and breakwaters by clarifying how current loads affect the hydroelastic of a floating elastic plate with an oblique angle and three dimensions. Full article
(This article belongs to the Special Issue Symmetry in Marine Hydrodynamics: Applications to Ocean Engineering)
Show Figures

Figure 1

21 pages, 2624 KB  
Review
Review on Sensitivity and Uncertainty Analysis of Hydrodynamic and Hydroelastic Responses of Floating Offshore Structures
by Pouria Amouzadrad, Sarat Chandra Mohapatra and C. Guedes Soares
J. Mar. Sci. Eng. 2025, 13(6), 1015; https://doi.org/10.3390/jmse13061015 - 23 May 2025
Cited by 11 | Viewed by 2001
Abstract
This review comprehensively overviews of theoretical and numerical methods used to assess the sensitivity and uncertainty in the hydrodynamic and hydroelastic behavior of floating offshore structures. The different methodologies associated with basic governing equations for floating offshore structure systems on the sensitivity and [...] Read more.
This review comprehensively overviews of theoretical and numerical methods used to assess the sensitivity and uncertainty in the hydrodynamic and hydroelastic behavior of floating offshore structures. The different methodologies associated with basic governing equations for floating offshore structure systems on the sensitivity and uncertainty assessments are discussed. Then, a brief overview of a comparative analysis of the methodologies, highlighting their key features, applications, and findings are provided in a table form. In addition, a technical comparative analysis of different numerical models and a comparative analysis of the sensitivity of different mooring parameters are also provided in a table form. Further, the uncertainty and sensitivity analysis for floating structure systems are presented by providing detailed discussions. In conclusion, this review highlights the revisions arising from the present analysis and outlines future research directions. Full article
(This article belongs to the Section Ocean Engineering)
Show Figures

Figure 1

28 pages, 25194 KB  
Article
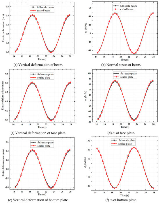
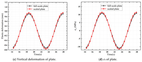
Similarity Principle for Ship Plate Structures
by Haicheng Yu, Songhao Wu, Wenlong Liu and Haiyi Yang
J. Mar. Sci. Eng. 2025, 13(2), 336; https://doi.org/10.3390/jmse13020336 - 12 Feb 2025
Cited by 1 | Viewed by 1051
Abstract
The similarity principle serves as the theoretical foundation for experimental research on scaled ship structures. While extensive studies have been conducted on global longitudinal responses using scaled hydroelastic segmented ship models, there is a notable gap in experimental research on scaled local ship [...] Read more.
The similarity principle serves as the theoretical foundation for experimental research on scaled ship structures. While extensive studies have been conducted on global longitudinal responses using scaled hydroelastic segmented ship models, there is a notable gap in experimental research on scaled local ship plate structures. This research introduces a novel composite similarity principle tailored for local ship plate structures, drawing upon classical beam and plate theories. We propose a design methodology to determine the appropriate scaled model for ship plate structures. To validate our proposed similarity principle and its associated design method, we present several numerical experiments. These methods are not only expected to inform future experimental design for local ship plate structures but also to enhance the current experimental framework, contributing to a more holistic approach to experimental, structural ship research. Full article
(This article belongs to the Section Ocean Engineering)
Show Figures

Figure 1

31 pages, 12922 KB  
Article
A Novel Hull Girder Design Methodology for Prediction of the Longitudinal Structural Strength of Ships
by Haicheng Yu, Songhao Wu, Yingdong Zhao, Wenlong Liu and Haiyi Yang
J. Mar. Sci. Eng. 2024, 12(12), 2368; https://doi.org/10.3390/jmse12122368 - 23 Dec 2024
Cited by 4 | Viewed by 2358
Abstract
The ship hull girder model has been widely adopted in ship mechanics research such as small-scale and large-scale hydroelastic ship model experiments. Current design methods cannot seriously meet the structural rigidity requirement, and the distinction between the ship structural masses and the cargo [...] Read more.
The ship hull girder model has been widely adopted in ship mechanics research such as small-scale and large-scale hydroelastic ship model experiments. Current design methods cannot seriously meet the structural rigidity requirement, and the distinction between the ship structural masses and the cargo masses is rather vague. This research proposes a simple and novel ship hull girder design methodology. The main novelties are that (1) the structural rigidity design requirement for the ship hull girder corresponding to any targeted real ship with arbitrary structural complexity is precisely satisfied by the proposed strategy of adopting a composite hull girder system, and that (2) the mass density per unit length of the proposed hull girder is solely related to the mass density distribution of the targeted ship structures by considering the hull girder system as a complete finite element (FE) model, and thus (3) a better ship hull girder model for prediction of the total structural responses can be consequently established. A real ship is adopted as the design target, and the structural responses of the real ship and the proposed ship hull girder model are compared and analyzed. The proposed model is compared to the currently widely accepted ship hull girder models through numerical experiments. The proposed hull girder design methodology possesses the potential for upgrading the classical structural design approach to match the growing trend of adopting FEM-based approaches for ship structure research. Full article
(This article belongs to the Section Ocean Engineering)
Show Figures

Figure 1

19 pages, 14046 KB  
Article
Global Responses Analysis of Submerged Floating Tunnel Considering Hydroelasticity Effects
by Xiangji Ye, Xiangbo Zhou, Ming Wang, Dongsheng Qiao, Xin Zhao and Li Wang
J. Mar. Sci. Eng. 2024, 12(10), 1854; https://doi.org/10.3390/jmse12101854 - 17 Oct 2024
Cited by 5 | Viewed by 2229
Abstract
To investigate the applicability and differences in wave loads and the dynamic response calculation principles for SFT on an entire-length scale, two numerical models of entire-length SFT with identical dimensions and parameters were established. These models are employed by a 3D diffraction method [...] Read more.
To investigate the applicability and differences in wave loads and the dynamic response calculation principles for SFT on an entire-length scale, two numerical models of entire-length SFT with identical dimensions and parameters were established. These models are employed by a 3D diffraction method based on rigid-body assumptions, the potential flow theory and the Dummy-Connection-Mass (DCM) method based on the lumped mass method and Morison equation while considering hydroelasticity effects. The applicability of the potential flow theory and Morison equation for wave load calculation of SFT is presented along with the differences in their dynamic response calculation, which aim to explore the impact on SFT dynamic responses considering hydroelasticity by comparing the numerical calculation results. Furthermore, a comparison between free-end boundary and fixed-end boundary models, established using the DCM method, is conducted to examine the reasonableness of the commonly adopted free-end boundary condition. Full article
(This article belongs to the Special Issue Wave Loads on Offshore Structure)
Show Figures

Figure 1

26 pages, 16031 KB  
Article
Study on Hydroelastic Responses of Membrane-Type LNG Cargo Containment Structure under Impulsive Sloshing Loads of Different Media
by Cheon-Jin Park, Jeoung-Kyu Lee and Yonghwan Kim
J. Mar. Sci. Eng. 2024, 12(10), 1794; https://doi.org/10.3390/jmse12101794 - 9 Oct 2024
Cited by 4 | Viewed by 2593
Abstract
Owing to the increasing g lobal demand for natural gas, the construction of liquefied natural gas (LNG) carriers has become a key trend in the shipbuilding market. In the design of membrane-type LNG carriers, a sloshing analysis is crucial for cargo containment systems [...] Read more.
Owing to the increasing g lobal demand for natural gas, the construction of liquefied natural gas (LNG) carriers has become a key trend in the shipbuilding market. In the design of membrane-type LNG carriers, a sloshing analysis is crucial for cargo containment systems (CCSs). In this study, structural responses due to impulsive sloshing loads were observed, including the effects of hydroelasticity and the test medium. To this end, the structural responses were first observed with and without hydroelastic coupling between the liquid and structure. When fluid–structure coupling is considered, a finite element analysis is performed for the integrated structure of the hull and CCS. This method was then applied to evaluate the capacity and safety of the inner hull structures of actual LNG vessels in cases where different sloshing pressures occurred owing to the different liquid–gas media. The structural capacity was evaluated using the utilization factor (UT). The results confirm that the effects of the hydroelasticity, density ratio, and phase transition of the experimental medium are essential for the evaluation of the structural responses of LNG CCSs. Full article
Show Figures

Figure 1

20 pages, 8443 KB  
Review
A Review of the Hydroelastic Theoretical Models of Floating Porous Nets and Floaters for Offshore Aquaculture
by Sarat Chandra Mohapatra and C. Guedes Soares
J. Mar. Sci. Eng. 2024, 12(10), 1699; https://doi.org/10.3390/jmse12101699 - 25 Sep 2024
Cited by 25 | Viewed by 3403
Abstract
The present review focuses on the theoretical model developments made in floating flexible net fish cages and the floating bodies application to offshore aquaculture. A brief discussion of the essential mathematical equations related to various theoretical models of flexible net cages in the [...] Read more.
The present review focuses on the theoretical model developments made in floating flexible net fish cages and the floating bodies application to offshore aquaculture. A brief discussion of the essential mathematical equations related to various theoretical models of flexible net cages in the frequency domain is presented. The single and array of floating or submerged flexible net cages connected with or without mooring lines are discussed. Further, as the combined effect of the hydroelastic behaviour of floaters and the flexible behaviour of fish cages are necessary to assess their efficiency and survivability from structural damages, the issues and the knowledge gap between the recent and future models are also discussed. In conclusion, the practical suggestions concerning advancements in future research and directions within floating flexible net cages and the hydroelastic response of elastic floaters are highlighted. Full article
(This article belongs to the Special Issue Hydroelastic Behaviour of Floating Offshore Structures)
Show Figures

Figure 1

Back to TopTop