Review on Sensitivity and Uncertainty Analysis of Hydrodynamic and Hydroelastic Responses of Floating Offshore Structures
Abstract
1. Introduction
2. Different Methods for Sensitivity Analysis and Uncertainty
2.1. Neural-Network-Driven Sensitivity Analysis
2.2. Gaussian Process Models for Sensitivity and Uncertainty Analysis
2.3. Robust Uncertainty and Sensitivity Assessment
2.4. Polynomial Chaos Expansions
2.5. Matrix Decomposition Approach for Sensitivity Assessment
2.6. Comparative Analysis of Methodologies
3. Sensitivity and Uncertainty Assessment for Floating Structure Systems
3.1. Floating Structures Systems
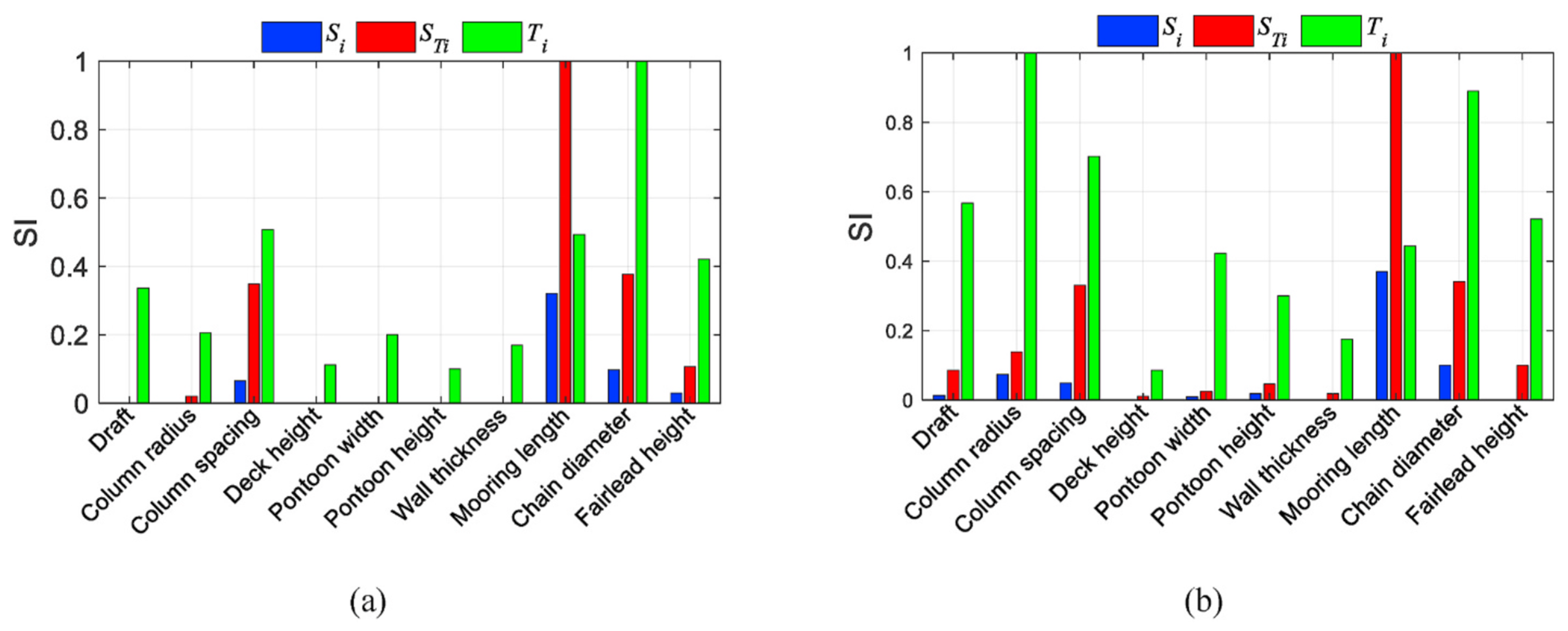
3.2. Mooring Systems
3.3. Fluid–Structure Interactions
4. Conclusions
Author Contributions
Funding
Data Availability Statement
Conflicts of Interest
Abbreviations
| ANN | Artificial Neural Networks |
| BEM | Boundary Element Method |
| BIEM | Boundary Integral Equation Method |
| CALM | Catenary Anchor Leg Mooring |
| CFD | Computational Fluid Dynamics |
| CSE | Continuous Sensitivity Equation |
| DNN | Deep Neural Networks |
| DoE | Design of Experiments |
| DOF | Degrees of Freedom |
| EA | Evolutionary Algorithm |
| FB | Floating Breakwater |
| FDP | Flexibility Disassembly Perturbation |
| FEM | Finite Element Method |
| FOWT | Floating Offshore Wind Turbine |
| FSI | Fluid–Structure Interaction |
| GP | Gaussian Process |
| gPC | generalized Polynomial Chaos |
| GSA | Global Sensitivity Analysis |
| MMFS | Modular Multi-purpose Floating Structure |
| NBT | Newmark Beta Technique |
| NSGA | Non-dominated Sorting Genetic Algorithm |
| PCE | Polynomial Chaos Expansion |
| PFS | Pontoon-type Floating Structure |
| RMFC | Rigid-Module-Flexible-Connection |
| RMFC | Rigid Module Flexible Connection |
| RSM | Response Surface Method |
| SALM | Single Anchor Leg Mooring |
| SPCE | Sparse Polynomial Chaos Expansion |
| SRDP | Scientific Research & Demonstration Platform |
| VLFS | Very Large Floating Structure |
| VLTFS | Very Large Tourism Floating Structure |
References
- Wang, B.; Gao, X.; Li, Y.; Liu, L.; Li, H. Dynamic response analysis of a semi-submersible floating wind turbine based on different coupling methods. Ocean Eng. 2024, 297, 116948. [Google Scholar] [CrossRef]
- Wang, Y.; Lu, Q.; Yao, T.; Yin, T.; Zhao, Y.; Han, Z.; Xu, Y.; Jiang, Z. Global sensitivity analysis of a semi-submersible floating wind turbine using a neural network fitting method. Ocean Eng. 2023, 285 Pt 2, 115351. [Google Scholar] [CrossRef]
- Zhou, S.; Müller, K.; Li, C.; Xiao, Y.; Wen Cheng, P. Global sensitivity study on the semisubmersible substructure of a floating wind turbine: Manufacturing cost, structural properties and hydrodynamics. Ocean Eng. 2021, 221, 108585. [Google Scholar] [CrossRef]
- Zhang, Y.; Liu, H. Methodology for the assessment and optimization of connection parameter combinations for modular floating structures. J. Offshore Mech. Arct. Eng. 2021, 143, 021301. [Google Scholar] [CrossRef]
- Lu, Y.; Zhang, H.; Chen, Y.; Shi, Q.; Zhou, Y. A new type connection with optimum stiffness configuration for very large floating platforms. Proc. Inst. Mech. Eng. 2021, 236, 764–778. [Google Scholar] [CrossRef]
- Michailides, C.; Loukogeorgaki, E.; Angelides, D.C. Response analysis and optimum configuration of a modular floating structure with flexible connectors. Appl. Ocean Res. 2013, 43, 112–130. [Google Scholar] [CrossRef]
- Ren, N.; Zhang, C.; Magee, A.R.; Hellan, Ø.; Dai, J.; Ang, K.K. Hydrodynamic analysis of a modular multi-purpose floating structure system with different outermost connector types. Ocean Eng. 2019, 176, 158–168. [Google Scholar] [CrossRef]
- Chen, M.; Guo, H.; Wang, R.; Tao, R.; Cheng, N. Effects of Gap Resonance on the Hydrodynamics and Dynamics of a Multi-Module Floating System with Narrow Gaps. J. Mar. Sci. Eng. 2021, 9, 1256. [Google Scholar] [CrossRef]
- Gu, N.; Liang, D.; Zhou, X.; Ren, H. A CFD-FEA Method for Hydroelastic Analysis of Floating Structures. J. Mar. Sci. Eng. 2023, 11, 737. [Google Scholar] [CrossRef]
- Ma, G.; Zhang, C.; Chen, H.; Hou, W.; Wang, W.; Zhang, J. Hydrodynamic analysis of floating photovoltaic system constrained with rigid connectors. Sci. Rep. 2024, 14, 29920. [Google Scholar] [CrossRef]
- Jiang, C.; el Moctar, O.; Schellin, T.E. Hydrodynamic Sensitivity of Moored and Articulated Multibody Offshore Structures in Waves. J. Mar. Sci. Eng. 2021, 9, 1028. [Google Scholar] [CrossRef]
- Amaechi, C.V.; Wang, F.; Ye, J. Investigation on Hydrodynamic Characteristics, Wave–Current Interaction and Sensitivity Analysis of Submarine Hoses Attached to a CALM Buoy. J. Mar. Sci. Eng. 2022, 10, 120. [Google Scholar] [CrossRef]
- Mohapatra, S.C.; Sahoo, T. 2014. Oblique wave diffraction by a flexible floating structure in the presence of a submerged flexible structure. J. Geophys. Astro. Fluid Dyn. 2014, 108, 615–638. [Google Scholar] [CrossRef]
- Mohapatra, S.C.; Guedes Soares, C. Surface Gravity Wave Interaction with a Horizontal Flexible Floating Plate and Submerged Flexible Porous Plate. Ocean Eng. 2021, 237, 109621. [Google Scholar] [CrossRef]
- Mohapatra, S.C.; Guedes Soares, C. Hydroelastic Behaviour of a Submerged Horizontal Flexible Porous Structure in Three-Dimensions. J. Fluids Struct. 2021, 104, 103319. [Google Scholar] [CrossRef]
- Mohapatra, S.C.; Guedes Soares, C. Effect of Mooring Lines on the Hydroelastic Response of a Floating Flexible Plate Using the BIEM Approach. J. Mar. Sci. Eng. 2021, 9, 941. [Google Scholar] [CrossRef]
- Mohapatra, S.C.; Guedes Soares, C. Hydroelastic Response to Oblique Wave Incidence on a Floating Plate with a Submerged Perforated Base. J. Mar. Sci. Eng. 2022, 10, 1205. [Google Scholar] [CrossRef]
- Mohapatra, S.C.; Amouzadrad, P.; Bispo, I.B.d.S.; Guedes Soares, C. Hydrodynamic Response to Current and Wind on a Large Floating Interconnected Structure. J. Mar. Sci. Eng. 2025, 13, 63. [Google Scholar] [CrossRef]
- Amouzadrad, P.; Mohapatra, S.C.; Guedes Soares, C. Hydroelastic Response to the Effect of Current Loads on Floating Flexible Offshore Platform. J. Mar. Sci. Eng. 2023, 11, 437. [Google Scholar] [CrossRef]
- Amouzadrad, P.; Mohapatra, S.C.; Guedes Soares, C. Effect of current on the hydroelastic behaviour of floating flexible circular structure. Appl. Ocean Res. 2025, 154, 104387. [Google Scholar] [CrossRef]
- Ramezani, M.; Choe, D.E.; Heydarpour, K.; Koo, B. Uncertainty models for the structural design of floating offshore wind turbines: A review. Renew. Sust. Energ. Rev. 2023, 185, 113610. [Google Scholar] [CrossRef]
- Amouzadrad, P.; Mohapatra, S.C.; Guedes Soares, C. Review of recent developments on the hydroelastic response and gap resonance of multi-body floating structures. Ocean Eng. 2024, 313, 119398. [Google Scholar] [CrossRef]
- Ja’e, I.A.; Ali, M.O.A.; Yenduri, A.; Nizamani, Z.; Nakayama, A. Optimisation of mooring line parameters for offshore floating structures: A review paper. Ocean Eng. 2022, 247, 110644. [Google Scholar]
- Bispo, I.B.S.; Mohapatra, S.C.; Guedes Soares, C. A review on numerical approaches in the hydroelastic responses of very large floating elastic structures. In Developments in Maritime Technology and Engineering; Guedes Soares, C., Santos, T.A., Eds.; Taylor & Francis Group: London, UK, 2021; Volume 1, pp. 425–436. [Google Scholar]
- Saltelli, A.; Aleksankina, K.; Becker, W.; Fennell, P.; Ferretti, F.; Holst, N.; Li, S.; Wu, Q. Why so many published sensitivity analyses are false: A systematic review of sensitivity analysis practices. Environ. Model. Softw. 2019, 114, 29–39. [Google Scholar] [CrossRef]
- Jiang, C.; Xu, P.; Bai, X.; Zhao, Z.; el Moctar, O.; Zhang, G. A review of advances in modeling hydrodynamics and hydroelasticity for very large floating structures. Ocean Eng. 2023, 285 Pt 1, 115319. [Google Scholar] [CrossRef]
- Dai, J.; Wang, C.M.; Utsunomiya, T.; Duan, W. Review of recent research and developments on floating breakwaters. Ocean Eng. 2018, 158, 132–151. [Google Scholar] [CrossRef]
- Cheng, X.; Li, G.; Skulstad, R.; Chen, S.; Hildre, H.P.; Zhang, H. A Neural-Network-Based Sensitivity Analysis Approach for Data-Driven Modeling of Ship Motion. IEEE J. Ocean Eng. 2020, 45, 451–461. [Google Scholar] [CrossRef]
- Zhang, K.; Lu, Z.; Wu, D.; Zhang, Y. Analytical variance based global sensitivity analysis for models with correlated variables. Appl. Math. Model. 2017, 45, 748–767. [Google Scholar] [CrossRef]
- Sobol, I.M. Global sensitivity indices for nonlinear mathematical models and their Monte Carlo estimates. Math. Comput. Simul. 2001, 55, 271–280. [Google Scholar] [CrossRef]
- Su, L.; Wan, H.P.; Dong, Y.; Frangopol, D.M.; Ling, X.Z. Efficient Uncertainty Quantification of Wharf Structures under Seismic Scenarios Using Gaussian Process Surrogate Model. J. Earthq. Eng. 2018, 25, 117–138. [Google Scholar] [CrossRef]
- Rajiv, G.; Verma, M.; Subbulakshmi, A. Gaussian process metamodels for floating offshore wind turbine platforms. Ocean Eng. 2023, 267, 113206. [Google Scholar] [CrossRef]
- Bartl, D.; Drapeau, S.; Obłój, J.; Wiesel, J. Sensitivity analysis of Wasserstein distributionally robust optimization problems. Proc. R. Soc. 2021, 477, 2021017. [Google Scholar]
- Étienne, S.; Pelletier, D. A general approach to sensitivity analysis of fluid–structure interactions. J. Fluids Struct. 2005, 21, 169–186. [Google Scholar] [CrossRef]
- Turgeon, E.; Pelletier, D.; Borggaard, J. Application of a sensitivity equation method to the k–ɛ model of turbulence. In Proceedings of the Fifteenth AIAA Computational Fluid Dynamics Conference, Anaheim, CA, USA, 11–14 June 2001; p. 2534. [Google Scholar]
- Radhakrishnan, G.; Leira, B.J.; Gao, Z.; Sævik, S.; Han, X. Analyzing the Sensitivity of Wave Frequency Responses of Floating Vessels to Uncertain System Variables Utilizing Polynomial Chaos Expansion. ASME. J. Offshore Mech. Arct. Eng. 2024, 146, 031702. [Google Scholar] [CrossRef]
- Wei, X.; Chang, H.; Feng, B.; Liu, Z. Sensitivity Analysis Based on Polynomial Chaos Expansions and Its Application in Ship Uncertainty-Based Design Optimization. Math. Probl. Eng. 2019, 2019, 7498526. [Google Scholar] [CrossRef]
- Moura Paredes, G.; Eskilsson, C.; Engsig-Karup, A.P. Uncertainty Quantification in Mooring Cable Dynamics Using Polynomial Chaos Expansions. J. Mar. Sci. Eng. 2020, 8, 162. [Google Scholar] [CrossRef]
- Yang, Q.; Peng, X. A Fast Calculation Method for Sensitivity Analysis Using Matrix Decomposition Technique. Axioms 2023, 12, 179. [Google Scholar] [CrossRef]
- Di, W.; Law, S. Eigen-parameter decomposition of element matrices for structural damage detection. Eng. Struct. 2007, 29, 519–528. [Google Scholar] [CrossRef]
- Kim, K.; Bang, J.; Kim, J.; Kim, Y.; Kim, S.; Kim, Y. Fully coupled BEM-FEM analysis for ship hydroelasticity in waves. Mar. Struct. 2013, 33, 71–99. [Google Scholar] [CrossRef]
- Liu, Y.; Zhu, R.Q.; Cheng, Y.; Xie, T.; Li, R.Z. Numerical simulation of hydroelastic responses of floating structure based on CFD-FEM method. Ocean Eng. 2020, 38, 24–32. [Google Scholar]
- Lakshmynarayanana, P.; Temarel, P. Application of CFD and FEA coupling to predict dynamic behaviour of a flexible barge in regular head waves. Mar. Struct. 2019, 65, 308–325. [Google Scholar] [CrossRef]
- Wen, X.; García Conde, A.; Zhang, J.; Ong, M.C. Dynamic analysis of a floating dock under accidental conditions. Appl. Ocean Res. 2024, 144, 103908. [Google Scholar] [CrossRef]
- Viuff, T.; Xiang, X.; Øiseth, O.D.; Leira, B.J. Model uncertainty assessment for wave- and current-induced global response of a curved floating pontoon bridge. Appl. Ocean Res. 2020, 105, 102368. [Google Scholar] [CrossRef]
- Wu, Y.S.; Ding, J.; Gu, X.K.; Ji, C.Y.; Zheng, X.B.; Zhou, G.P.; Xu, D.L.; Ma, L. The progress in the verification of key technologies for floating structures near islands and reefs. J. Hydrodyn. 2021, 33, 1–12. [Google Scholar] [CrossRef]
- Pecher, A.; Foglia, A.; Kofoed, J.P. Comparison and Sensitivity Investigations of a CALM and SALM Type Mooring System for Wave Energy Converters. J. Mar. Sci. Eng. 2014, 2, 93–122. [Google Scholar] [CrossRef]
- Wang, H.; Gu, S.; Ma, G.; Huang, W.; Sun, Y.; Du, Z. Dynamic performance analysis of grid mooring system for gravity cages. Ships Offshore Struct. 2024, 1–18. [Google Scholar] [CrossRef]
- Shen, Z.X.; Huo, F.L.; Nie, Y.; Liu, Y.D. Impact analysis of air gap motion with respect to parameters of mooring system for floating platform. China Ocean Eng. 2017, 31, 141–150. [Google Scholar] [CrossRef]
- Huo, F.L.; Nie, Y.; Yang, D.Q.; Dong, G.; Cui, J. Sensitivity analysis of air gap motion with respect to wind load and mooring system for semi-submersible platform design. China Ocean Eng. 2016, 30, 535–548. [Google Scholar] [CrossRef]
- Wang, H.; Ran, Q.; Ma, G.; Wen, J.; Zhang, J.; Zhou, S. Optimization design of floating offshore wind turbine mooring system based on DNN and NSGA-III. Ocean Eng. 2025, 316, 119915. [Google Scholar] [CrossRef]
- Benassai, G.; Campanile, A.; Piscopo, V.; Scamardella, A. Optimization of mooring systems for floating offshore wind turbines. Coast. Eng. J. 2015, 57, 1550021. [Google Scholar] [CrossRef]
- Chen, J.; Yin, Z.; Zheng, C.; Li, Y. Sensitivity Analysis of Mooring Chain Fatigue of Floating Offshore Wind Turbines in Shallow Water. J. Mar. Sci. Eng. 2024, 12, 1807. [Google Scholar] [CrossRef]
- Li, L.; Jiang, Z.; Ong, M.C.; Hu, W. Design optimization of mooring system: An application to a vessel-shaped offshore fish farm. Eng. Struct. 2019, 197, 109363. [Google Scholar] [CrossRef]
- Montasir, O.; Yenduri, A.; Kurian, V. Mooring system optimisation and effect of different line design variables on motions of truss spar platforms in intact and damaged conditions. China Ocean Eng. 2019, 33, 385–397. [Google Scholar] [CrossRef]
- Linda, B.; Vincent, B. Sensitivity Analysis for Optimisation of Flexible Multi-Body Systems. In Integrated Design and Manufacturing in Mechanical Engineering; Chedmail, P., Bocquet, J.C., Dornfeld, D., Eds.; Springer: Dordrecht, The Netherlands, 1997. [Google Scholar]
- Wiley, W.; Jonkman, J.; Robertson, A.; Shaler, K. Sensitivity analysis of numerical modeling input parameters on floating offshore wind turbine loads. Wind. Energy Sci. 2023, 10, 1575–1595. [Google Scholar] [CrossRef]
- Forman, P.; Ahrens, M.A.; Mark, P. Sensitivity-Based Permutation to Balance Geometric Inaccuracies in Modular Structures. Sustainability 2024, 16, 3016. [Google Scholar] [CrossRef]
- Ling, H.; Yang, P.; Zhang, Z.; Wang, Z. Complex wave loads and hydroelastic responses of a very large tourism floating platform ‘Ocean Diamond’. Ocean Eng. 2022, 265, 112608. [Google Scholar] [CrossRef]
- Liu, S.; Canfield, R.A. Boundary velocity method for continuum shape sensitivity of nonlinear fluid–structure interaction problems. J. Fluids Struct. 2013, 40, 284–301. [Google Scholar] [CrossRef]
- Ziegler, L.; Voormeeren, S.; Schafhirt, S.; Muskulus, M. Sensitivity of Wave Fatigue Loads on Offshore Wind Turbines under Varying Site Conditions. Energy Procedia 2015, 80, 193–200. [Google Scholar] [CrossRef]
- Andrade, S.L.; Gaspar, H.M.; Ehlers, S. Parametric structural analysis for a platform supply vessel at conceptual design phase—A sensitivity study via design of experiments. Ships Offshore Struct. 2017, 12, S209–S220. [Google Scholar] [CrossRef]
- Zhang, Y.; Zhang, X.; Chen, Y.; Tian, X.; Li, X. A frequency-domain hydroelastic analysis of a membrane-based offshore floating photovoltaic platform in regular waves. J. Fluids Struct. 2024, 127, 104125. [Google Scholar] [CrossRef]
- Fu, S.X.; Moan, T.; Chen, X.J.; Cui, W.C. Hydroelastic analysis of flexible floating interconnected structures. Ocean Eng. 2007, 34, 1516–1531. [Google Scholar] [CrossRef]
- Shi, Q.J.; Zhang, H.C.; Xu, D.; Qi, E.; Tian, C.; Ding, J.; Wu, Y.; Lu, Y.; Li, Z. Experimental validation of network modeling method on a three-modular floating platform model. Cost. Eng. 2018, 137, 92–102. [Google Scholar] [CrossRef]
- Zhang, H.; Xu, D.; Xia, S.; Lu, C.; Qi, E.; Tian, C.; Wu, Y. Nonlinear network modeling of multi-module floating structures with arbitrary flexible connections. J. Fluids Struct. 2015, 59, 270–284. [Google Scholar] [CrossRef]
- Zhang, H.; Xu, D.; Lu, C.; Qi, E.; Tian, C.; Wu, Y. Connection effect on amplitude death stability of multi-module floating airport. Ocean Eng. 2017, 129, 46–56. [Google Scholar] [CrossRef]










| Methodology | Key Features | Application Examples | Key Findings |
|---|---|---|---|
| Neural-Network-Based Sensitivity | Combines ANN and SPCE for high-dimensional data; probe variable for convergence [28,29,30]. | Ship motion analysis; potentially applicable to VLFS | Efficient and accurate identification of sensitive factors; handles high-dimensional data effectively. |
| Gaussian Process Surrogate Models | Surrogate modeling for nonlinear systems; uncertainty propagation [31,32]. | Predict the dynamic responses of floating platforms-seismic assessment of pile-supported wharf structures. | Efficient handling of nonlinear relationships; provides probabilistic predictions with uncertainty quantification. |
| Robust Uncertainty Sensitivity | Non-parametric approach using Wasserstein balls; first-order corrections [33,34,35]. | Stochastic optimization; applicable to VLFS design and analysis | Provides explicit sensitivity metrics; flexible for various applications. |
| Polynomial Chaos Expansions | Non-intrusive surrogate-based UQ; handles aleatory and epistemic uncertainties [36,37,38]. | Mooring systems; applicable to VLFS mooring cable dynamics | Identifies influential parameters; computationally efficient compared to Monte Carlo simulations. |
| Matrix Decomposition Technique | Fast and exact sensitivity reanalysis; applicable to various modifications [39,40]. | Structural optimization; applicable to VLFS design and analysis | High computational efficiency and accuracy; versatile for different types of modifications. |
| BEM | FEM | CFD | |
|---|---|---|---|
| Primary Use | Linear Hydrodynamics [18,41] | Structural Analysis, Coupled FSI [41,42,43] | Nonlinear Hydrodynamics, Viscous Flow, Turbulence [9,42,43] |
| Accuracy | High for linear problems | High (structural), Variable (fluid) | High (most detailed) |
| Computational Cost | Low to Medium (for linear hydrodynamics) | Medium to High (structure), High (fluid) | High to Very High |
| Nonlinearities | Limited | Can handle nonlinearities (structure) | Captures nonlinearities |
| Viscous Effects | Not included | Not included | Included |
| Free Surface | Efficient for linear waves | Less efficient for the free surface | Accurate for complex free surface flows (e.g., breaking waves) |
| Complexity | Relatively simple for linear problems | Complex | Very complex |
| Mooring Parameter | Application | Quantitative Comparison/Influence |
|---|---|---|
| Mooring Length | Floating platform/FOWT | Longer mooring lines generally lead to a greater impact of mooring length on the air gap [49,50]/It is a key factor influencing hydrodynamic performance and manufacturing cost [3,46,52]. |
| Mooring Type | Floating platform | Due to its greater stiffness, chain mooring has demonstrated superior performance in minimizing air gap motion response [49]. |
| Mooring Configuration | Net cage/Multibody floating structure | Enlarging the frame line length can equalize tension distribution within the mooring system and minimize peak tension under wave-load conditions [48,54]. The parallel combination of modules may reduce the hydrodynamic motions on the multibody structure [11]. |
| SALM/CALM System | Buoy | Comparative sensitivity analysis reveals that various mooring systems, such as SALM and CALM configurations, demonstrate substantial differences in load distribution and dynamic behavior [12,47]. |
| Mooring Diameter/Pretension | Truss spar platform | Thicker mooring lines generally increase stiffness and can reduce motions but increase cost while higher pretension can improve stability but also increase the risk of line breakage [55]. |
Disclaimer/Publisher’s Note: The statements, opinions and data contained in all publications are solely those of the individual author(s) and contributor(s) and not of MDPI and/or the editor(s). MDPI and/or the editor(s) disclaim responsibility for any injury to people or property resulting from any ideas, methods, instructions or products referred to in the content. |
© 2025 by the authors. Licensee MDPI, Basel, Switzerland. This article is an open access article distributed under the terms and conditions of the Creative Commons Attribution (CC BY) license (https://creativecommons.org/licenses/by/4.0/).
Share and Cite
Amouzadrad, P.; Mohapatra, S.C.; Guedes Soares, C. Review on Sensitivity and Uncertainty Analysis of Hydrodynamic and Hydroelastic Responses of Floating Offshore Structures. J. Mar. Sci. Eng. 2025, 13, 1015. https://doi.org/10.3390/jmse13061015
Amouzadrad P, Mohapatra SC, Guedes Soares C. Review on Sensitivity and Uncertainty Analysis of Hydrodynamic and Hydroelastic Responses of Floating Offshore Structures. Journal of Marine Science and Engineering. 2025; 13(6):1015. https://doi.org/10.3390/jmse13061015
Chicago/Turabian StyleAmouzadrad, Pouria, Sarat Chandra Mohapatra, and C. Guedes Soares. 2025. "Review on Sensitivity and Uncertainty Analysis of Hydrodynamic and Hydroelastic Responses of Floating Offshore Structures" Journal of Marine Science and Engineering 13, no. 6: 1015. https://doi.org/10.3390/jmse13061015
APA StyleAmouzadrad, P., Mohapatra, S. C., & Guedes Soares, C. (2025). Review on Sensitivity and Uncertainty Analysis of Hydrodynamic and Hydroelastic Responses of Floating Offshore Structures. Journal of Marine Science and Engineering, 13(6), 1015. https://doi.org/10.3390/jmse13061015
