Similarity Principle for Ship Plate Structures
Abstract
1. Introduction
2. Similarity Principles for Ship Plate Structures
2.1. Similarity Principle for Beam Components
2.2. Similarity Principle for Plate Components
2.3. Combined Similarity Principle for Plate Structures
2.4. Scaling Relations for Physical Quantities
3. Numerical Experiment Design Methodology
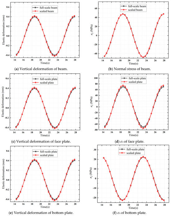
4. Verification by Numerical Experiments
4.1. Pure Thin Plate Component
4.2. Pure Beam Component
4.3. Type IA Plate Structure
4.4. Type IB Plate Structure
4.5. Type IIA Plate Structure
4.6. Type IIB Plate Structure
4.7. Type III Plate Structure
5. Discussions and Conclusions
Author Contributions
Funding
Institutional Review Board Statement
Informed Consent Statement
Data Availability Statement
Conflicts of Interest
Appendix A
References
- Andersen, I.M.V.; Jenson, J.J. Measurements in a container ship of wave-induced hull girder stresses in excess of design values. Mar. Struct. 2014, 37, 54–85. [Google Scholar] [CrossRef]
- Ramos, J.; Incecik, A.; Guedes Soares, C. Experimental study of slam induced stresses in a containership. Mar. Struct. 2000, 13, 25–51. [Google Scholar] [CrossRef]
- Storhaug, G.; Choi, B.K.; Moan, T.; Hermundstad, O.A. Consequences of whipping and springing on fatigue for a 8600TEU container vessel in different trades based on model tests. In Proceedings of the 11th International Symposium on Practical Design of Ships and Other Floating Structures, Rio de Janeiro, Brazil, 19–24 September 2010; pp. 1180–1189. [Google Scholar]
- Zhu, S.; Wu, M.K.; Moan, T. Experimental investigation of hull girder vibrations of a flexible backbone model in bending and torsion. Appl. Ocean Res. 2011, 33, 252–274. [Google Scholar] [CrossRef]
- Zhu, S.; Moan, T. Nonlinear effects from wave-induced maximum vertical bending moment on a flexible ultra large containership model in severe head and oblique seas. Mar. Struct. 2014, 35, 1–25. [Google Scholar] [CrossRef]
- Kim, K.H.; Kim, B.W.; Hong, S.Y. Experimental investigations on extreme bow-flare slamming loads of 10000-TEU containership. Ocean Eng. 2019, 171, 225–240. [Google Scholar] [CrossRef]
- Li, H.; Deng, B.; Ren, H.; Sun, S. Investigation on the nonlinear effects of the vertical motions and vertical bending moment for a wave-piercing tumblehome vessel based on a hydro-elastic segmented model test. Mar. Struct. 2020, 72, 102757. [Google Scholar] [CrossRef]
- Tang, Y.; Sun, S.L.; Yang, R.S.; Ren, H.L.; Zhao, X.; Jiao, J.L. Nonlinear bending moments of an ultra large container ship in extreme waves based on a segmented model test. Ocean Eng. 2022, 243, 110335. [Google Scholar] [CrossRef]
- Li, H.; Zou, J.; Deng, B.; Liu, R.; Sun, S. Experimental study of stern slamming and global response of a large cruise ship in regular waves. Mar. Struct. 2022, 86, 103294. [Google Scholar] [CrossRef]
- Leguen, J.F.; Frechou, D. Large scale seakeeping experiments in the new, large towing tank B600. In Proceedings of the 10th International Symposium on Practical Design of Ships and other Floating Structures, Houston, TX, USA, 30 September–5 October 2007; Volume 2, pp. 790–798. [Google Scholar]
- Jiao, J.; Ren, H.; Guedes Soares, C. Vertical and horizontal bending moments on the hydroelastic response of a large-scale segmented model in a seaway. Mar. Struct. 2021, 79, 103060. [Google Scholar] [CrossRef]
- Jiao, J.; Ren, H.; Guedes Soares, C. A review of large-scale model at-sea measurements for ship hydrodynamics and structural loads. Ocean Eng. 2021, 227, 108863. [Google Scholar] [CrossRef]
- Jiao, J.; Huang, S.; Wang, S.; Guedes Soares, C. A CFD–FEA two-way coupling method for predicting ship wave loads and hydroelastic responses. Appl. Ocean Res. 2021, 117, 102919. [Google Scholar] [CrossRef]
- Dai, Y.; Shen, J.; Song, J. Ship Wave Loads; National Defense Industry Press: Beijing, China, 2007. (In Chinese)
- Xie, Y.; Wu, J.; Li, J. Design of Ship Structures; Shanghai Jiao Tong University Press: Shanghai, China, 2011. (In Chinese) [Google Scholar]
- Chen, T.; Chen, B. Ship Structural Mechanics; Shanghai Jiao Tong University Press: Shanghai, China, 1991. (In Chinese) [Google Scholar]
- Han, S.M.; Benaroya, H.; Wei, T. Dynamics of transversely vibrating beams using four engineering theories. J. Sound Vib. 1999, 225, 935–988. [Google Scholar] [CrossRef]
- Elishakoff, I. Who developed the so-called Timoshenko beam theory? Math. Mech. Solids 2020, 25, 97–116. [Google Scholar] [CrossRef]
- Zhao, W.; Leira, B.J.; Hoyland, K.V.; Kim, E.; Feng, G. A framework for structural analysis of icebreakers during ramming of first-year ice ridges. J. Mar. Sci. Eng. 2021, 2, 611. [Google Scholar] [CrossRef]
- Jiao, J.; Chen, Z.; Xu, W.; Bu, S.; Zhang, P. Asymmetric water entry of a wedged grillage structure investigated by CFD-FEM co-simulation. Ocean. Eng. 2024, 302, 117612. [Google Scholar] [CrossRef]
- Heo, J.; Yang, Z.; Xia, W.; Oterkus, S.; Oterkus, E. Buckling analysis of cracked plates using peridynamics. Ocean Eng. 2020, 214, 107817. [Google Scholar] [CrossRef]
- Yu, H.; Wu, S.; Zhao, Y.; Liu, W.; Yang, H. A novel hull girder design methodology for prediction of the longitudinal structural strength of ships. J. Mar. Sci. Eng. 2024, 12, 2368. [Google Scholar] [CrossRef]
- Chen, Z.; Jiao, J.; Wang, Q.; Wang, S. CFD-FEM Simulation of Slamming Loads on Wedge Structure with Stiffeners Considering Hydroelasticity Effects. J. Mar. Sci. Eng. 2022, 10, 1591. [Google Scholar] [CrossRef]
- Chen, Z.; Jiao, J.; Wang, S.; Guedes Soares, C. CFD-FEM simulation of water entry of a wedged grillage structure into Stokes waves. Ocean Eng. 2023, 275, 114159. [Google Scholar] [CrossRef]
- Xie, H.; Ren, H.; Qu, S.; Tang, H. Numerical and experimental study on hydroelasticity in water-entry problem of a composite ship-hull structure. Compos. Struct. 2018, 201, 942–957. [Google Scholar] [CrossRef]
- Xie, H.; Peng, H.; Liu, F.; Liu, X.; Ren, H. Hydroelastic analysis of an elastic thin-walled structure obliquely impacting a calm water surface. Thin-Walled Struct. 2024, 197, 111638. [Google Scholar] [CrossRef]
- Xu, Z. Elasticity, 5th ed.; China Higher Education Press: Beijing, China, 2016; Volume 2. (In Chinese)
- Wehausen, J.V.; Laitone, E.V. Surface Waves, Encyclopaedia of Physics; Springer Verlag: Berlin/Heidelberg, Germany, 1960; Volume IX, pp. 446–778. [Google Scholar]






















| Item | Elastic Modulus | Mass Density | Poisson’s Ratio | Scaling Ratio |
|---|---|---|---|---|
| Steel | 211.00 GPa | 7800 kg/m3 | 0.30 | —— |
| Engineering plastic (ABS) | 2.50 GPa | 1040 kg/m3 | 0.39 | 10.45 |
| Engineering plastic (PP) | 0.89 GPa | 900 kg/m3 | 0.42 | 24.74 |
| Item | Length (mm) | Width (mm) | Thickness/Height (mm) | Scaling Ratio |
|---|---|---|---|---|
| Plate component | 95.69 | 95.69 | 2.87 | 10.45 |
| 40.42 | 40.42 | 1.21 | 24.74 | |
| Beam component | 95.69 | 0.96 | 9.57 | 10.45 |
| 40.42 | 0.40 | 4.04 | 24.74 |
Disclaimer/Publisher’s Note: The statements, opinions and data contained in all publications are solely those of the individual author(s) and contributor(s) and not of MDPI and/or the editor(s). MDPI and/or the editor(s) disclaim responsibility for any injury to people or property resulting from any ideas, methods, instructions or products referred to in the content. |
© 2025 by the authors. Licensee MDPI, Basel, Switzerland. This article is an open access article distributed under the terms and conditions of the Creative Commons Attribution (CC BY) license (https://creativecommons.org/licenses/by/4.0/).
Share and Cite
Yu, H.; Wu, S.; Liu, W.; Yang, H. Similarity Principle for Ship Plate Structures. J. Mar. Sci. Eng. 2025, 13, 336. https://doi.org/10.3390/jmse13020336
Yu H, Wu S, Liu W, Yang H. Similarity Principle for Ship Plate Structures. Journal of Marine Science and Engineering. 2025; 13(2):336. https://doi.org/10.3390/jmse13020336
Chicago/Turabian StyleYu, Haicheng, Songhao Wu, Wenlong Liu, and Haiyi Yang. 2025. "Similarity Principle for Ship Plate Structures" Journal of Marine Science and Engineering 13, no. 2: 336. https://doi.org/10.3390/jmse13020336
APA StyleYu, H., Wu, S., Liu, W., & Yang, H. (2025). Similarity Principle for Ship Plate Structures. Journal of Marine Science and Engineering, 13(2), 336. https://doi.org/10.3390/jmse13020336

