Sign in to use this feature.

Years

Between: -

Subjects

remove_circle_outline
remove_circle_outline
remove_circle_outline
remove_circle_outline
remove_circle_outline
remove_circle_outline
remove_circle_outline
remove_circle_outline
remove_circle_outline

Journals

remove_circle_outline
remove_circle_outline
remove_circle_outline
remove_circle_outline
remove_circle_outline
remove_circle_outline
remove_circle_outline
remove_circle_outline
remove_circle_outline
remove_circle_outline
remove_circle_outline
remove_circle_outline
remove_circle_outline
remove_circle_outline
remove_circle_outline
remove_circle_outline
remove_circle_outline
remove_circle_outline
remove_circle_outline
remove_circle_outline
remove_circle_outline
remove_circle_outline
remove_circle_outline
remove_circle_outline
remove_circle_outline

Article Types

Countries / Regions

remove_circle_outline
remove_circle_outline
remove_circle_outline
remove_circle_outline
remove_circle_outline
remove_circle_outline
remove_circle_outline
remove_circle_outline

Search Results (8,596)

Search Parameters:
Keywords = hybrid simulation

Order results
Result details
Results per page
Select all
Export citation of selected articles as:
29 pages, 3003 KB  
Article
Pollutant-Specific Deep Learning Architectures for Multi-Species Air Quality Bias Correction: Application to NO2 and PM10 in California
by Ioannis Stergiou, Nektaria Traka, Dimitrios Melas, Efthimios Tagaris and Rafaella-Eleni P. Sotiropoulou
Forecasting 2026, 8(1), 5; https://doi.org/10.3390/forecast8010005 (registering DOI) - 9 Jan 2026
Abstract
Accurate air quality forecasting remains challenging due to persistent biases in chemical transport models. Addressing this challenge, the current study develops pollutant-specific deep learning frameworks that correct systematic errors in the Community Multiscale Air Quality (CMAQ) simulations of nitrogen dioxide (NO2) [...] Read more.
Accurate air quality forecasting remains challenging due to persistent biases in chemical transport models. Addressing this challenge, the current study develops pollutant-specific deep learning frameworks that correct systematic errors in the Community Multiscale Air Quality (CMAQ) simulations of nitrogen dioxide (NO2) and coarse particulate matter (PM10) over California. Building upon a previous study on ozone bias correction, a hybrid CNN–Attention–LSTM architecture is adapted, and a weighted Huber loss function is introduced for PM10 to enhance the detection of extreme pollution events through a gated tail-weighting mechanism. Using data from twenty EPA monitoring stations (ten per pollutant) for 2010–2014, the proposed approach achieves substantial performance gains over the CMAQ baseline. For NO2, RMSE decreases by ~51% with an average systematic bias reduction of ~80% and a random error reduction of ~42%. For PM10, RMSE improves by ~49% while the systematic and random errors decrease by ~94% and ~33%, respectively. The PM10 model also shows high consistency with observations (Index of Agreement improvement of ~105%) and a strong ability to capture peak events (F1 score improvement of ~270%), while the NO2 model achieves large gains in explanatory power (R2 improvement averaging ~816%). Both pollutants also demonstrate enhanced temporal agreement between predictions and observations, as confirmed by the Dynamic Time Warping analysis (NO2: ~55%, PM10: ~58%). These results indicate that pollutant-specific loss functions and architectural tuning can significantly improve both accuracy and event sensitivity, offering a transferable framework for bias correction across multiple pollutants and regions. Full article
(This article belongs to the Special Issue Feature Papers of Forecasting 2025)
Show Figures

Figure 1

16 pages, 3473 KB  
Article
Hybrid Phy-X/PSD–Geant4 Assessment of Gamma and Neutron Shielding in Lead-Free HDPE Composites Reinforced with High-Z Oxides
by Ahmed Alharbi, Nassar N. Asemi and Hamed Alnagran
Polymers 2026, 18(2), 179; https://doi.org/10.3390/polym18020179 (registering DOI) - 9 Jan 2026
Abstract
This study evaluates lead-free high-density polyethylene (HDPE) composites reinforced with high-Z oxides (Bi2O3, WO3, Gd2O3, TeO2, and a Bi2O3/WO3 hybrid) as lightweight materials for gamma-ray and [...] Read more.
This study evaluates lead-free high-density polyethylene (HDPE) composites reinforced with high-Z oxides (Bi2O3, WO3, Gd2O3, TeO2, and a Bi2O3/WO3 hybrid) as lightweight materials for gamma-ray and fast-neutron shielding. A hybrid computational framework combining Phy-X/PSD with Geant4 Monte Carlo simulations was used to obtain key shielding parameters, including the linear and mass attenuation coefficients (μ, μ/ρ), half-value layer (HVL), mean free path (MFP), effective atomic number (Zeff), effective electron density (Neff), exposure and energy-absorption buildup factors (EBF, EABF), and fast-neutron removal cross section (ΣR). The incorporation of heavy oxides produced a pronounced improvement in gamma-ray attenuation, particularly at low energies, where the linear attenuation coefficient increased from below 1 cm−1 for neat HDPE to values exceeding 130–150 cm−1 for Bi- and W-rich composites. In the intermediate Compton-scattering region (≈0.3–1 MeV), all oxide-reinforced systems maintained a clear attenuation advantage, with μ values around 0.12–0.13 cm−1 compared with ≈0.07 cm−1 for pure HDPE. At higher photon energies, the dense composites continued to outperform the polymer matrix, yielding μ values of approximately 0.07–0.09 cm−1 versus ≈0.02 cm−1 for HDPE due to enhanced pair-production interactions. The Bi2O3/WO3 hybrid composite exhibited attenuation behavior comparable, and in some regions slightly exceeding, that of the single-oxide systems, indicating that mixed fillers can effectively balance density and shielding efficiency. Oxide addition significantly reduced exposure and energy-absorption buildup factors below 1 MeV, with a moderate increase at higher energies associated with secondary radiation processes. Fast-neutron removal cross sections were also modestly enhanced, with Gd2O3-containing composites showing the highest values due to the combined effects of hydrogen moderation and neutron capture. The close agreement between Phy-X/PSD and Geant4 results confirms the reliability of the dual-method approach. Overall, HDPE composites containing about 60 wt.% oxide filler offer a practical compromise between shielding performance, manufacturability, and environmental safety, making them promising candidates for medical, nuclear, and aerospace radiation-protection applications. Full article
(This article belongs to the Section Polymer Composites and Nanocomposites)
Show Figures

Figure 1

17 pages, 1657 KB  
Article
Hybrid Model and Data-Driven Emergency Load Shedding Optimization for Frequency Security in Receiving-End Power Grids
by Lebing Zhao, Yixuan Peng, Wei Dong, Wen Hua, Ying Yang, Hang Qi and Changgang Li
Symmetry 2026, 18(1), 126; https://doi.org/10.3390/sym18010126 (registering DOI) - 9 Jan 2026
Abstract
Aiming at the receiving-end power grid frequency security after HVDC blocking events, this paper proposes a hybrid model and data-driven optimization method of emergency load shedding (ELS). Firstly, a decision-making model of ELS considering multiple dynamic security constraints, e.g., frequency and rotor angle, [...] Read more.
Aiming at the receiving-end power grid frequency security after HVDC blocking events, this paper proposes a hybrid model and data-driven optimization method of emergency load shedding (ELS). Firstly, a decision-making model of ELS considering multiple dynamic security constraints, e.g., frequency and rotor angle, is constructed. Then, the particle swarm optimization (PSO) algorithm is improved by integrating with symmetric opposite learning and Tent chaotic mapping to obtain high-quality ELS schemes. Finally, to boost the optimization efficiency, a data-driven dynamic security assessment model based on the hybrid neural network is constructed and introduced into the solution process of PSO. To ensure the feasibility of the final ELS scheme, the model-driven time-domain simulation method is adopted for validation. The effectiveness of the proposed ELS optimization method is verified on a receiving-end power grid with multi-infeed HVDC lines. It can obtain a high-quality and feasible ELS scheme within 0.7 s. Full article
(This article belongs to the Special Issue New Power System and Symmetry)
Show Figures

Figure 1

23 pages, 17893 KB  
Article
Multimodal Control of Manipulators: Coupling Kinematics and Vision for Self-Driving Laboratory Operations
by Shifa Sulaiman, Amarnath Harikumar, Simon Bøgh and Naresh Marturi
Robotics 2026, 15(1), 17; https://doi.org/10.3390/robotics15010017 - 9 Jan 2026
Abstract
Autonomous experimental platforms increasingly rely on robust, vision-guided robotic manipulation to support reliable and repeatable laboratory operations. This work presents a modular motion-execution subsystem designed for integration into self-driving laboratory (SDL) workflows, focusing on the coupling of real-time visual perception with smooth and [...] Read more.
Autonomous experimental platforms increasingly rely on robust, vision-guided robotic manipulation to support reliable and repeatable laboratory operations. This work presents a modular motion-execution subsystem designed for integration into self-driving laboratory (SDL) workflows, focusing on the coupling of real-time visual perception with smooth and stable manipulator control. The framework enables autonomous detection, tracking, and interaction with textured objects through a hybrid scheme that couples advanced motion planning algorithms with real-time visual feedback. Kinematic analysis of the manipulator is performed using the screw theory formulations, which provide a rigorous foundation for deriving forward kinematics and the space Jacobian. These formulations are further employed to compute inverse kinematic solutions via the Damped Least Squares (DLS) method, ensuring stable and continuous joint trajectories even in the presence of redundancy and singularities. Motion trajectories toward target objects are generated using the RRT* algorithm, offering optimal path planning under dynamic constraints. Object pose estimation is achieved through a a vision workflow integrating feature-driven detection and homography-guided depth analysis, enabling adaptive tracking and dynamic grasping of textured objects. The manipulator’s performance is quantitatively evaluated using smoothness metrics, RMSE pose errors, and joint motion profiles, including velocity continuity, acceleration, jerk, and snap. Simulation results demonstrate that the proposed subsystem delivers stable, smooth, and reproducible motion execution, establishing a validated baseline for the manipulation layer of next-generation SDL architectures. Full article
(This article belongs to the Special Issue Visual Servoing-Based Robotic Manipulation)
Show Figures

Figure 1

23 pages, 3855 KB  
Article
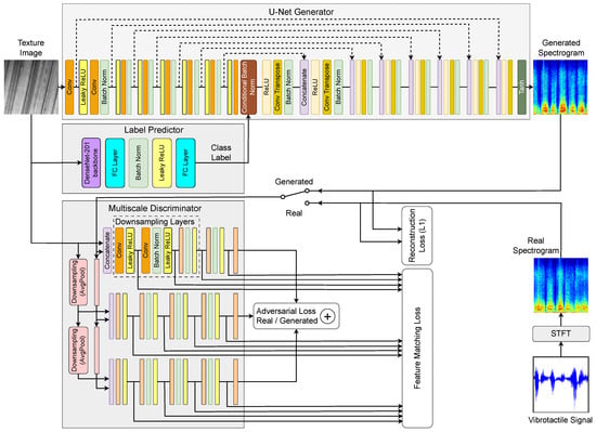
Visual-to-Tactile Cross-Modal Generation Using a Class-Conditional GAN with Multi-Scale Discriminator and Hybrid Loss
by Nikolay Neshov, Krasimir Tonchev, Agata Manolova, Radostina Petkova and Ivaylo Bozhilov
Sensors 2026, 26(2), 426; https://doi.org/10.3390/s26020426 - 9 Jan 2026
Abstract
Understanding surface textures through visual cues is crucial for applications in haptic rendering and virtual reality. However, accurately translating visual information into tactile feedback remains a challenging problem. To address this challenge, this paper presents a class-conditional Generative Adversarial Network (cGAN) for cross-modal [...] Read more.
Understanding surface textures through visual cues is crucial for applications in haptic rendering and virtual reality. However, accurately translating visual information into tactile feedback remains a challenging problem. To address this challenge, this paper presents a class-conditional Generative Adversarial Network (cGAN) for cross-modal translation from texture images to vibrotactile spectrograms, using samples from the LMT-108 dataset. The generator is adapted from pix2pix and enhanced with Conditional Batch Normalization (CBN) at the bottleneck to incorporate texture class semantics. A dedicated label predictor, based on a DenseNet-201 and trained separately prior to cGAN training, provides the conditioning label. The discriminator is derived from pix2pixHD and uses a multi-scale architecture with three discriminators, each comprising three downsampling layers. A grid search over multi-scale discriminator configurations shows that this setup yields optimal perceptual similarity measured by Learned Perceptual Image Patch Similarity (LPIPS). The generator is trained using a hybrid loss that combines adversarial, L1, and feature matching losses derived from intermediate discriminator features, while the discriminators are trained using standard adversarial loss. Quantitative evaluation with LPIPS and Fréchet Inception Distance (FID) confirms superior similarity to real spectrograms. GradCAM visualizations highlight the benefit of class conditioning. The proposed model outperforms pix2pix, pix2pixHD, Residue-Fusion GAN, and several ablated versions. The generated spectrograms can be converted into vibrotactile signals using the Griffin–Lim algorithm, enabling applications in haptic feedback and virtual material simulation. Full article
(This article belongs to the Special Issue Intelligent Sensing and Artificial Intelligence for Image Processing)
Show Figures

Figure 1

19 pages, 14294 KB  
Article
A Case Study on Predicting River Valley Deformation Following Reservoir Impoundment
by Lida Xu, Shunwen Zhou, Xingyong He, Guan Rong and Yaosheng Tan
Water 2026, 18(2), 167; https://doi.org/10.3390/w18020167 - 8 Jan 2026
Abstract
Valley contraction poses a significant threat to high-arch dams, making the prediction of valley deformation a critical task in assessing the long-term performance of dams. The Baihetan dam is currently undergoing compression due to valley contraction, and its complex control mechanisms present major [...] Read more.
Valley contraction poses a significant threat to high-arch dams, making the prediction of valley deformation a critical task in assessing the long-term performance of dams. The Baihetan dam is currently undergoing compression due to valley contraction, and its complex control mechanisms present major challenges in predicting valley deformation. This paper proposes a hybrid model to predict valley deformation in Baihetan, which integrates numerical simulation and statistical analysis to identify the main causes of river valley deformation and make predictions based on extrapolation. A transient numerical seepage model has been used to comprehensively characterize the complex seepage field in the Baihetan dam site area over nearly a decade following impoundment. The hybrid model was developed based on this foundation to determine the contribution of each factor using monitoring data. The model can then be used for time series extrapolation to predict long-term deformation. By June 2028, the valley near the dam is projected to experience a deformation rate of less than 1 mm per month, with a maximum contraction of approximately 26.7 mm. This study provides a basis for assessing the long-term operational safety of the Baihetan and offers valuable reference for similar studies on valley deformation. Full article
Show Figures

Figure 1

17 pages, 2914 KB  
Article
Solar Photovoltaic Model Parameter Identification with Improved Metaheuristic Algorithm Based on Balanced Search Strategies
by Sujoy Barua, Sukanta Paul and Adel Merabet
Energies 2026, 19(2), 315; https://doi.org/10.3390/en19020315 - 8 Jan 2026
Abstract
Accurate identification of solar photovoltaic model parameters is crucial for reliably representing electrical behavior, improving maximum power point tracking, and enhancing overall system performance. Owing to the nonlinear and multimodal nature of the single-diode model, analytical closed-form solutions are difficult to obtain, which [...] Read more.
Accurate identification of solar photovoltaic model parameters is crucial for reliably representing electrical behavior, improving maximum power point tracking, and enhancing overall system performance. Owing to the nonlinear and multimodal nature of the single-diode model, analytical closed-form solutions are difficult to obtain, which necessitates the use of advanced optimization techniques. Metaheuristic methods are particularly suitable for this task due to their strong global search capability, independence from gradient information, and adaptability to complex solution landscapes. In this study, a hybrid metaheuristic approach called the Jackal Arithmetic Algorithm is evaluated by integrating the Arithmetic Optimization Algorithm with the Golden Jackal Optimization method. The optimization framework combines arithmetic-based operators to enhance global exploration with adaptive predatory-inspired strategies to strengthen local exploitation, enabling a smooth transition between exploration and exploitation and resulting in improved convergence stability. Simulation results confirm that the Jackal Arithmetic Algorithm provides highly accurate parameter estimation for the single-diode photovoltaic model, achieving a minimum root mean square error of 0.00078 with a population size of 70, outperforming all compared algorithms. Overall, the combined method offers a robust and effective solution for photovoltaic modeling, with direct benefits for system design, control, and real-time monitoring. Full article
(This article belongs to the Special Issue Smart Grid and Energy Storage)
Show Figures

Figure 1

57 pages, 9972 KB  
Review
Harnessing Transition Metal Chalcogenides for Efficient Performance in Magnesium–Sulfur Battery: Synergising Experimental and Theoretical Techniques
by Hassan O. Shoyiga and Msimelelo Siswana
Solids 2026, 7(1), 7; https://doi.org/10.3390/solids7010007 - 8 Jan 2026
Abstract
Magnesium–sulfur (Mg-S) batteries represent a novel category of multivalent energy storage systems, characterised by enhanced theoretical energy density, material availability, and ecological compatibility. Notwithstanding these benefits, the practical implementation of this approach continues to be hindered by ongoing issues, such as polysulfide shuttle [...] Read more.
Magnesium–sulfur (Mg-S) batteries represent a novel category of multivalent energy storage systems, characterised by enhanced theoretical energy density, material availability, and ecological compatibility. Notwithstanding these benefits, the practical implementation of this approach continues to be hindered by ongoing issues, such as polysulfide shuttle effects, slow Mg2+ transport, and significant interfacial instability. This study emphasises recent progress in utilising transition metal chalcogenides (TMCs) as cathode materials and modifiers to overcome these challenges. We assess the structural, electrical, and catalytic characteristics of TMCs such as MoS2, CoSe2, WS2, and TiS2, highlighting their contributions to improving redox kinetics, retaining polysulfides, and enabling reversible Mg2+ intercalation. The review synthesises results from experimental and theoretical studies to offer a thorough comprehension of structure–function interactions. Particular emphasis is placed on morphological engineering, modulation of electronic conductivity, and techniques for surface functionalisation. Furthermore, we examine insights from density functional theory (DFT) simulations that corroborate the observed enhancements in electrochemical performance and offer predictive direction for material optimisation. This paper delineates nascent opportunities in Artificial Intelligence (AI)-enhanced materials discovery and hybrid system design, proposing future trajectories to realise the potential of TMC-based Mg-S battery systems fully. Full article
Show Figures

Graphical abstract

29 pages, 18163 KB  
Article
Evaluation of Different Controllers for Sensing-Based Movement Intention Estimation and Safe Tracking in a Simulated LSTM Network-Based Elbow Exoskeleton Robot
by Farshad Shakeriaski and Masoud Mohammadian
Sensors 2026, 26(2), 387; https://doi.org/10.3390/s26020387 - 7 Jan 2026
Abstract
Control of elbow exoskeletons using muscular signals, although promising for the rehabilitation of millions of patients, has not yet been widely commercialized due to challenges in real-time intention estimation and management of dynamic uncertainties. From a practical perspective, millions of patients with stroke, [...] Read more.
Control of elbow exoskeletons using muscular signals, although promising for the rehabilitation of millions of patients, has not yet been widely commercialized due to challenges in real-time intention estimation and management of dynamic uncertainties. From a practical perspective, millions of patients with stroke, spinal cord injury, or neuromuscular disorders annually require active rehabilitation, and elbow exoskeletons with precise and safe motion intention tracking capabilities can restore functional independence, reduce muscle atrophy, and lower treatment costs. In this research, an intelligent control framework was developed for an elbow joint exoskeleton, designed with the aim of precise and safe real-time tracking of the user’s motion intention. The proposed framework consists of two main stages: (a) real-time estimation of desired joint angle (as a proxy for movement intention) from High-Density Surface Electromyography (HD-sEMG) signals using an LSTM network and (b) implementation and comparison of three PID, impedance, and sliding mode controllers. A public EMG dataset including signals from 12 healthy individuals in four isometric tasks (flexion, extension, pronation, supination) and three effort levels (10, 30, 50 percent MVC) is utilized. After comprehensive preprocessing (Butterworth filter, 50 Hz notch, removal of faulty channels) and extraction of 13 time-domain features with 99 percent overlapping windows, the LSTM network with optimal architecture (128 units, Dropout, batch normalization) is trained. The model attained an RMSE of 0.630 Nm, R2 of 0.965, and a Pearson correlation of 0.985 for the full dataset, indicating a 47% improvement in R2 relative to traditional statistical approaches, where EMG is converted to desired angle via joint stiffness. An assessment of 12 motion–effort combinations reveals that the sliding mode controller consistently surpassed the alternatives, achieving the minimal tracking errors (average RMSE = 0.21 Nm, R2 ≈ 0.96) and showing superior resilience across all tasks and effort levels. The impedance controller demonstrates superior performance in flexion/extension (average RMSE ≈ 0.22 Nm, R2 > 0.94) but experiences moderate deterioration in pronation/supination under increased loads, while the classical PID controller shows significant errors (RMSE reaching 17.24 Nm, negative R2 in multiple scenarios) and so it is inappropriate for direct myoelectric control. The proposed LSTM–sliding mode hybrid architecture shows exceptional accuracy, robustness, and transparency in real-time intention monitoring, demonstrating promising performance in offline simulation, with potential for real-time clinical applications pending hardware validation for advanced upper-limb exoskeletons in neurorehabilitation and assistive applications. Full article
Show Figures

Figure 1

24 pages, 8857 KB  
Article
Cooperative Control and Energy Management for Autonomous Hybrid Electric Vehicles Using Machine Learning
by Jewaliddin Shaik, Sri Phani Krishna Karri, Anugula Rajamallaiah, Kishore Bingi and Ramani Kannan
Machines 2026, 14(1), 73; https://doi.org/10.3390/machines14010073 - 7 Jan 2026
Abstract
The growing deployment of connected and autonomous vehicles (CAVs) requires coordinated control strategies that jointly address safety, mobility, and energy efficiency. This paper presents a novel two-stage cooperative control framework for autonomous hybrid electric vehicle (HEV) platoons based on machine learning. In the [...] Read more.
The growing deployment of connected and autonomous vehicles (CAVs) requires coordinated control strategies that jointly address safety, mobility, and energy efficiency. This paper presents a novel two-stage cooperative control framework for autonomous hybrid electric vehicle (HEV) platoons based on machine learning. In the first stage, a metric learning-based distributed model predictive control (ML-DMPC) strategy is proposed to enable cooperative longitudinal control among heterogeneous vehicles, explicitly incorporating inter-vehicle interactions to improve speed tracking, ride comfort, and platoon-level energy efficiency. In the second stage, a multi-agent twin-delayed deep deterministic policy gradient (MATD3) algorithm is developed for real-time energy management, achieving an optimal power split between the engine and battery while reducing Q-value overestimation and accelerating learning convergence. Simulation results across multiple standard driving cycles demonstrate that the proposed framework outperforms conventional distributed model predictive control (DMPC) and multi-agent deep deterministic policy gradient (MADDPG)-based methods in fuel economy, stability, and convergence speed, while maintaining battery state of charge (SOC) within safe limits. To facilitate future experimental validation, a dSPACE-based hardware-in-the-loop (HIL) architecture is designed to enable real-time deployment and testing of the proposed control framework. Full article
Show Figures

Figure 1

26 pages, 4009 KB  
Article
A Hybrid Simulation–Physical Data-Driven Framework for Occupant Injury Prediction in Vehicle Underbody Structures
by Xinge Si, Changan Di, Peng Peng, Yongjian Zhang, Tao Lin and Cong Xu
Sensors 2026, 26(2), 380; https://doi.org/10.3390/s26020380 - 7 Jan 2026
Abstract
One major challenge in optimizing vehicle underbody structures for blast protection is the trade-off between the high cost of physical tests and the limited accuracy of simulations. We introduce a predictive framework that is co-driven by limited physical measurements and systematically augmented simulation [...] Read more.
One major challenge in optimizing vehicle underbody structures for blast protection is the trade-off between the high cost of physical tests and the limited accuracy of simulations. We introduce a predictive framework that is co-driven by limited physical measurements and systematically augmented simulation datasets. The main problem arises from the complex components of blast impact signals, which makes it difficult to augment the load signals for finite element simulations when only extremely small sample sets are available. Specifically, a small-scale data-augmentation model within the wavelet domain based on a conditional generative adversarial network (CGAN) was designed. Real-time perturbations, governed by cumulative distribution functions, were introduced to expand and diversify the data representations for enhanced dataset enrichment. A predictive model based on Gaussian process regression (GPR) that integrates physical experimental data with augmented data wavelet characteristics is employed to estimate injury indices, using wavelet scale energies reduced via principal component analysis (PCA) as inputs. Cross-validation shows that this hybrid model achieves higher accuracy than using simulations alone. Through the case study, the model demonstrates that increased hull angle and depth can effectively reduce occupant injury. Full article
(This article belongs to the Section Fault Diagnosis & Sensors)
Show Figures

Figure 1

34 pages, 852 KB  
Article
The Vehicle Routing Problem with Time Window and Randomness in Demands, Travel, and Unloading Times
by Gilberto Pérez-Lechuga and Francisco Venegas-Martínez
Logistics 2026, 10(1), 13; https://doi.org/10.3390/logistics10010013 - 7 Jan 2026
Viewed by 4
Abstract
Background: The vehicle routing problem (VRP) is of great importance in the Industry 4.0 era because enabling technologies such as the internet of things (IoT), artificial intelligence (AI), big data, and geographic information systems (GISs) allows for real-time solutions to versions of [...] Read more.
Background: The vehicle routing problem (VRP) is of great importance in the Industry 4.0 era because enabling technologies such as the internet of things (IoT), artificial intelligence (AI), big data, and geographic information systems (GISs) allows for real-time solutions to versions of the problem, adapting to changing conditions such as traffic or fluctuating demand. Methods: In this paper, we model and optimize a classic multi-link distribution network topology, including randomness in travel times, vehicle availability times, and product demands, using a hybrid approach of nested linear stochastic programming and Monte Carlo simulation under a time-window scheme. The proposed solution is compared with cutting-edge metaheuristics such as Ant Colony Optimization (ACO), Tabu Search (TS), and Simulated Annealing (SA). Results: The results suggest that the proposed method is computationally efficient and scalable to large models, although convergence and accuracy are strongly influenced by the probability distributions used. Conclusions: The developed proposal constitutes a viable alternative for solving real-world, large-scale modeling cases for transportation management in the supply chain. Full article
22 pages, 6418 KB  
Article
Large Signal Stability Analysis of Grid-Connected VSC Based on Hybrid Synchronization Control
by Kai Gong, Huangqing Xiao, Ying Huang and Ping Yang
Electronics 2026, 15(2), 269; https://doi.org/10.3390/electronics15020269 - 7 Jan 2026
Viewed by 10
Abstract
Hybrid synchronization control (HSC) has recently attracted considerable attention owing to its superior transient stability and adaptability to varying grid strengths. However, existing studies on HSC employ diverse control strategies for the Phase-Locked Loop (PLL) and the voltage control loop (VCL). Since both [...] Read more.
Hybrid synchronization control (HSC) has recently attracted considerable attention owing to its superior transient stability and adaptability to varying grid strengths. However, existing studies on HSC employ diverse control strategies for the Phase-Locked Loop (PLL) and the voltage control loop (VCL). Since both the PLL and VCL are associated with the q-axis component of the point of common coupling (PCC) voltage, the coupling effect between these two control loops and the impact of different controller configurations on system transient stability remain to be further explored. To address this gap, this study first analyzes the transient characteristics of the system under different PLL-VCL control combinations using the power-angle curve method. Subsequently, a Lyapunov stability criterion is established based on the Takagi–Sugeno (T-S) fuzzy model, enabling the estimation of the region of asymptotic stability (RAS). By comparing the RAS of different control combinations, the influence of the proportional coefficient in HSC on transient stability is quantitatively investigated. Finally, PSCAD electromagnetic transient simulations are carried out to verify the validity and accuracy of the theoretical analysis results. Full article
(This article belongs to the Section Power Electronics)
Show Figures

Figure 1

48 pages, 10897 KB  
Article
LabChain: A Modular Laboratory Platform for Experimental Study of Prosumer Behavior in Decentralized Energy Systems
by Simon Johanning, Philipp Lämmel and Thomas Bruckner
Appl. Sci. 2026, 16(2), 600; https://doi.org/10.3390/app16020600 - 7 Jan 2026
Viewed by 20
Abstract
The transition toward decentralized energy systems has amplified interest in peer-to-peer electricity trading. However, research on prosumer behavior in such markets remains fragmented, hindered by a lack of benchmarkable experimental infrastructure. Addressing this gap, the LabChain system was developed—a modular, interactive prototype designed [...] Read more.
The transition toward decentralized energy systems has amplified interest in peer-to-peer electricity trading. However, research on prosumer behavior in such markets remains fragmented, hindered by a lack of benchmarkable experimental infrastructure. Addressing this gap, the LabChain system was developed—a modular, interactive prototype designed to study human behavior in synthetic P2P electricity markets under controlled laboratory conditions. This system integrates real-world technologies, such as blockchain-based transaction backends, flexibility market interfaces, and asset control tools, allowing fine-grained observation of strategic and perceptual dimensions of prosumer activity. The research followed an iterative design approach to develop the infrastructure for experimental energy economics research, and to assess its effectiveness in aligning participant experience with design intentions. Based on the meta-requirements generality, affordance-centric design, and technological grounding, 13 detailed peer-to-peer market, software, and system requirements that allow for system evaluation were developed. As a proof of concept, seven participants simulated prosumer behavior over a week through interaction with the system. Their interaction with the system was analyzed through simulation data and focus group interviews, using a modified thematic content analysis with a hybrid inductive–deductive coding approach. The main achievements are (i) the design and implementation of the LabChain system as a modular infrastructure for P2P electricity market experiments, (ii) the development of an associated experimental workflow and research design, and (iii) its demonstration through an illustrative, proof-of-concept evaluation based on thematic content analysis of a single focus group session focusing on interaction and perceptions. The behavioral results from an initial session are limited, exploratory, and demonstrative in nature and should be interpreted as illustrative only. They nevertheless revealed tension between system flexibility and cognitive usability: while the system supports diverse strategies and market roles, limitations in interface clarity and information feedback constrain strategic engagement. Full article
Show Figures

Figure 1

18 pages, 13940 KB  
Article
Assessment of Propulsion Patterns for Hybrid Wing Configuration Aircraft with Embedded Propellers
by Xiaolu Wang, Changning Chen, Zhihao Jiao, Jiahao Li and Ke Zhao
Aerospace 2026, 13(1), 57; https://doi.org/10.3390/aerospace13010057 - 7 Jan 2026
Viewed by 49
Abstract
This study employs computational fluid dynamics (CFD) to investigate the aerodynamic performance and static stability of hybrid wing aircraft, considering the interference of counter-rotating embedded propellers. Extensive numerical verification has been carried out, including comparisons with NASA’s high-lift propeller (HLP) data. Three configurations—no [...] Read more.
This study employs computational fluid dynamics (CFD) to investigate the aerodynamic performance and static stability of hybrid wing aircraft, considering the interference of counter-rotating embedded propellers. Extensive numerical verification has been carried out, including comparisons with NASA’s high-lift propeller (HLP) data. Three configurations—no propeller, counter-rotating inboard-upwash (CNIU) and counter-rotating outboard-upwash (CNOU) are defined to analyze the aerodynamic force/moment characteristics and flow field structures over a range of angles of attack from −6° to 26°, in conjunction with crosswind velocities of 0, 5, 10, and 15 m/s. The propeller-induced slipstream alters the aircraft’s fundamental performance by modifying wing pressure distributions and vortex systems. Specifically, the CNIU configuration increases the low-pressure areas on both the fuselage and outer wing upper surfaces, enhancing the lift-to-drag ratio by 28.4% at low angles of attack. In contrast, the CNOU configuration improves longitudinal steady-static margin by 27.4% under typical conditions and demonstrates superior lateral static stability under 10 m/s leftward crosswind conditions. For engineering applications in the aerodynamic design of such aircraft, the CNIU configuration is recommended for high cruise efficiency, whereas the CNOU configuration is preferred for flight stability. Full article
(This article belongs to the Section Aeronautics)
Show Figures

Figure 1

Back to TopTop