Sign in to use this feature.

Years

Between: -

Subjects

remove_circle_outline
remove_circle_outline
remove_circle_outline
remove_circle_outline
remove_circle_outline
remove_circle_outline
remove_circle_outline
remove_circle_outline
remove_circle_outline

Journals

remove_circle_outline
remove_circle_outline
remove_circle_outline
remove_circle_outline
remove_circle_outline
remove_circle_outline
remove_circle_outline
remove_circle_outline
remove_circle_outline
remove_circle_outline
remove_circle_outline
remove_circle_outline
remove_circle_outline
remove_circle_outline
remove_circle_outline
remove_circle_outline

Article Types

Countries / Regions

remove_circle_outline
remove_circle_outline
remove_circle_outline
remove_circle_outline
remove_circle_outline
remove_circle_outline
remove_circle_outline

Search Results (3,991)

Search Parameters:
Keywords = human carcinoma cells

Order results
Result details
Results per page
Select all
Export citation of selected articles as:
18 pages, 970 KB  
Article
Divergent Tissue and Circulatory Expression of miR-10a in Canine Hepatocellular Carcinoma: Comparative Insights from Human HCC
by Most Shumi Akhter Shathi, Mohammad Arif, Nobuhiro Nozaki, Yutaro Ide, Yoshiyuki Akiyama, Shaohsu Wang, Masashi Takahashi and Naoki Miura
Curr. Issues Mol. Biol. 2025, 47(11), 950; https://doi.org/10.3390/cimb47110950 (registering DOI) - 15 Nov 2025
Abstract
Canine hepatocellular carcinoma (HCC), the most common primary liver malignancy in dogs, shares many clinicopathological and molecular similarities with human HCC. However, its molecular characteristics remain insufficiently defined, and reliable diagnostic biomarkers are lacking. Elucidating dysregulated microRNAs (miRNAs) may aid in both disease [...] Read more.
Canine hepatocellular carcinoma (HCC), the most common primary liver malignancy in dogs, shares many clinicopathological and molecular similarities with human HCC. However, its molecular characteristics remain insufficiently defined, and reliable diagnostic biomarkers are lacking. Elucidating dysregulated microRNAs (miRNAs) may aid in both disease characterization and comparative oncology research. Small RNA sequencing datasets from canine HCC were analyzed to identify significantly dysregulated miRNAs with high expression and biomarker potential. The top candidate was validated in clinical tissues, cell lines, patient’s plasma and plasma exosomes using RT-qPCR. Comparative analyses were conducted using human HCC datasets (TCGA and GEO), followed by target prediction and functional enrichment to identify conserved molecular pathways. Among the 59 differentially expressed miRNAs, cfa-miR-10a showed the highest average expression level and yet was significantly downregulated in canine HCC tissues. RT-qPCR confirmed reduced expression of cfa-miR-10a in canine HCC tissues, whereas plasma exosomes showed significant enrichment, demonstrating excellent diagnostic performance (AUC = 0.94). The mature sequence of cfa-miR-10a is highly conserved with hsa-miR-10a-5p. TCGA datasets confirmed downregulation of hsa-miR-10a-5p in HCC tissues, whereas a GEO dataset showed no significant change in serum exosome levels. Target prediction and functional annotation identified 59 overlapping genes, with the Proteoglycans in cancer pathways being conserved in both species, mediated by ACTG1, SDC1, FRS2, and WNT9B. Collectively, these findings demonstrate distinct intra-tumoral and exosomal expression pattern of miR-10a in canine HCC and support its potential as a non-invasive biomarker with translational relevance. Full article
32 pages, 1982 KB  
Article
Chemical Composition and Biological Activity of Extracts from the Aerial Parts of Epilobium parviflorum Schreb
by Mashenka Dimitrova, Inna Sulikovska, Elina Tsvetanova, Vera Djeliova, Anelia Vasileva and Ivaylo Ivanov
Appl. Sci. 2025, 15(22), 12109; https://doi.org/10.3390/app152212109 - 14 Nov 2025
Abstract
Epilobium parviflorum Schreb. is used in folk and modern medicine for the treatment of prostate diseases. It is also known to alleviate gastrointestinal ailments. The aim of the present study is to define the chemical composition of diverse extracts from the herb, to [...] Read more.
Epilobium parviflorum Schreb. is used in folk and modern medicine for the treatment of prostate diseases. It is also known to alleviate gastrointestinal ailments. The aim of the present study is to define the chemical composition of diverse extracts from the herb, to test their inhibitory properties toward post-proline-specific peptidases and to elucidate the mechanisms of their antitumor activity on colorectal carcinoma cells in vitro. The extractions were performed using mono- or biphasic systems of solvents. Their chemical compositions were defined by LC-HRMS. Inhibitory properties towards prolyloligopeptidase (POP) and fibroblast activation protein (FAP) were studied by kinetic assays on human recombinant enzymes. Antioxidant activity was measured by three methods. Genotoxicity to HT-29 colorectal carcinoma cells was analyzed with the comet assay. FACS analyses and flow cytometry were used to evaluate the extracts effect on the cell cycle and their pro-apoptotic properties on HT-29 cells. The extract derived using 80% ethanol was chosen for the next studies due to its efficient and selective inhibition of POP. It contains mainly oenotein B and myricetin-3-O-rhamnoside. Its antioxidant and moderate genotoxic activities can contribute to the antitumor effect on HT-29 cells. The extract has a small effect on the cell cycle but a pronounced pro-apoptotic action on those cells. In conclusion, the 80% ethanol extract of E. parviflorum concentrates the ellagitannin oenotein B, which is a selective inhibitor of POP. Antitumor activity of the extract towards HT-29 cells may be due to the inhibition of POP, the antioxidant, genotoxic and pro-apoptotic activities. Full article
10 pages, 259 KB  
Article
Prevalence of Torque Teno Virus (TTV) in Cervical Precursor Lesions and Cancer in Chilean Women
by Matías Guzmán-Venegas, Carolina Moreno-León, Cristian Andrade-Madrigal, Alejandra Román, Rancés Blanco, Iván Gallegos and Francisco Aguayo
Int. J. Mol. Sci. 2025, 26(22), 11039; https://doi.org/10.3390/ijms262211039 - 14 Nov 2025
Abstract
Torque teno virus (TTV) is a highly prevalent DNA virus in humans, but its role in carcinogenesis is not well understood. While human papillomavirus (HPV) is a well-established etiological agent in cervical cancer, co-infections with other viruses such as Epstein–Barr virus (EBV) or [...] Read more.
Torque teno virus (TTV) is a highly prevalent DNA virus in humans, but its role in carcinogenesis is not well understood. While human papillomavirus (HPV) is a well-established etiological agent in cervical cancer, co-infections with other viruses such as Epstein–Barr virus (EBV) or TTV may influence disease progression. We conducted a cross-sectional study using 94 formalin-fixed, paraffin-embedded (FFPE) cervical tissue samples. These specimens were collected from women with cervical intraepithelial lesions (CINI-III) or squamous cell carcinoma (SCC) at the Clinical Hospital of the University of Chile. After extracting DNA, we screened for TTV using real-time polymerase chain reaction (qPCR). Statistical analysis was performed using Fisher’s exact test. Of the 94 samples, 83 were positive for the human β-globin gene and included in the final analysis. TTV was detected in 12.0% (10/83) of these samples. Among the TTV-positive cases, the virus was most frequently detected in high-grade lesions (70.0%), followed by low-grade lesions (20.0%) and squamous cell carcinoma (10.0%). However, these differences were not statistically significant (p = 0.688). This is the first study to assess TTV prevalence in cervical lesions among Chilean women. Although we found no statistically significant associations, a higher frequency of TTV was detected in precursor lesions compared to SCC. Further studies are needed to understand the potential immunomodulatory role of TTV in cervical carcinogenesis. Full article
(This article belongs to the Special Issue Viral Infections and Cancer: Recent Advances and Future Perspectives)
18 pages, 2891 KB  
Article
Decreased PPM1B Expression Drives PRMT5-Mediated Histone Modification in Lung Cancer Progression
by Attila Makai, Ilka Keller, Fanni A. Szalmás, Ádám Ungvári, Dániel Horváth, Evelin Major, Attila Enyedi, István Takács and Beáta Lontay
Biomolecules 2025, 15(11), 1581; https://doi.org/10.3390/biom15111581 - 11 Nov 2025
Viewed by 207
Abstract
Pulmonary carcinoma remains a highly aggressive malignancy driven by complex signaling and epigenetic dysregulation. This study investigates a novel oncogenic pathway involving the Mg2+/Mn2+-dependent protein phosphatase 1B PPM1B/myosin phosphatase (MP)/protein arginine methyltransferase 5 (PRMT5) axis, which promotes carcinogenesis by [...] Read more.
Pulmonary carcinoma remains a highly aggressive malignancy driven by complex signaling and epigenetic dysregulation. This study investigates a novel oncogenic pathway involving the Mg2+/Mn2+-dependent protein phosphatase 1B PPM1B/myosin phosphatase (MP)/protein arginine methyltransferase 5 (PRMT5) axis, which promotes carcinogenesis by symmetrically dimethylating histone H2A and suppressing tumor suppressor genes. We hypothesized that loss of PPM1B would activate this pathway and drive tumorigenesis. Western blotting, PCR, and immunohistochemistry revealed a significant reduction in PPM1B expression in both squamous cell carcinoma (SCC) and human lung adenocarcinoma (ADC) compared to normal lung tissues, which correlated with worse patient survival. Despite an increase in total MYPT1, the regulatory subunit of MP, its inhibitory phosphorylation at Thr853 was significantly elevated in both tumor types. The inactivation of MP corresponded with a significant increase in the activating phosphorylation of PRMT5 at Thr80, especially in SCC, which was linked to a particularly poor prognosis. Downstream, this resulted in a dramatic elevation in the symmetric dimethylation of histone H2A, leading to decreased expression of retinoblastoma protein. Our findings demonstrate that decreased PPM1B expression drives the oncogenic activation of the MP/PRMT5 axis. This mechanism contributes to the aggressive nature of SCC, establishing PPM1B as a promising prognostic marker in lung cancer. Full article
(This article belongs to the Section Molecular Biology)
Show Figures

Figure 1

9 pages, 292 KB  
Communication
Performance of Dried Blood Spot Cards for Serologic Detection of HPV16 Antibodies in Oropharyngeal Squamous Cell Carcinoma Patients
by Maisha Maliha Rahman, Soma Bose, Li Chen, Jessica L. Burris, Rony Aouad, Susanne M. Arnold, Melvyn Yeoh, Birgitta Michels, Tim Waterboer and Krystle A. Lang Kuhs
Microorganisms 2025, 13(11), 2558; https://doi.org/10.3390/microorganisms13112558 - 10 Nov 2025
Viewed by 227
Abstract
Antibodies against the human papillomavirus type 16 (HPV16) E6 oncoprotein are promising biomarkers for the early detection of HPV-driven oropharyngeal squamous cell carcinoma (HPV+OPSCC). Standard serologic testing is challenging in underserved regions with high HPV+OPSCC incidence. Dried blood spot (DBS) cards offer a [...] Read more.
Antibodies against the human papillomavirus type 16 (HPV16) E6 oncoprotein are promising biomarkers for the early detection of HPV-driven oropharyngeal squamous cell carcinoma (HPV+OPSCC). Standard serologic testing is challenging in underserved regions with high HPV+OPSCC incidence. Dried blood spot (DBS) cards offer a low-resource alternative but remain unevaluated for HPV antibody detection. A total of 25 OPSCC patients who provided paired serum (venipuncture) and DBS (finger-prick) samples were recruited from the University of Kentucky. HPV16 antibodies (L1, E1, E2, E4, E6, E7) were measured using multiplex serology, quantified as median fluorescence intensity (MFI) and dichotomized using established cutoffs. Correlation between serum and DBS MFI values was evaluated using linear regression and Bland–Altman plots, whereas sensitivity, specificity, and Cohen’s kappa assessed agreement. Mean MFI levels were lower in DBS than serum but were strongly correlated (R = 0.73 to 0.96; HPV16 E6 = 0.83). For HPV16 E6, DBS sensitivity was 90% (95% CI: 68–99) and specificity 100% (95% CI: 48–100), with kappa = 0.787. Specificity was 100% across all markers, while sensitivity varied from 0% (L1) to 100% (E2). DBS cards are accurate, inexpensive, and a scalable alternative for HPV16 E6 antibody detection, particularly in medically underserved regions, though further validation is needed. Full article
(This article belongs to the Section Virology)
Show Figures

Figure 1

25 pages, 335 KB  
Review
Current Management of Locally Advanced Esophageal and Esophagogastric Junction Cancers: Clinical Evidence and Evolving Strategies
by Andrea Di Donato and Marc Van den Eynde
Cancers 2025, 17(22), 3603; https://doi.org/10.3390/cancers17223603 - 8 Nov 2025
Viewed by 471
Abstract
The curative management of localized esophageal and esophagogastric junction (EGJ) cancers has undergone major changes over the past decade, shaped by multimodal strategies integrating chemotherapy, chemoradiotherapy, surgery, and more recently, immunotherapy. For esophageal squamous cell carcinoma (SCC), neoadjuvant or definitive chemoradiotherapy remains the [...] Read more.
The curative management of localized esophageal and esophagogastric junction (EGJ) cancers has undergone major changes over the past decade, shaped by multimodal strategies integrating chemotherapy, chemoradiotherapy, surgery, and more recently, immunotherapy. For esophageal squamous cell carcinoma (SCC), neoadjuvant or definitive chemoradiotherapy remains the standard of care in Western countries. In contrast, for adenocarcinoma (AC) of the esophagus and EGJ, perioperative chemotherapy has emerged as the preferred strategy. Despite these advances, long-term outcomes remain suboptimal, and recurrence continues to pose a major challenge, highlighting the need to optimize patient selection and treatment sequencing. The integration of immunotherapy in the perioperative or adjuvant setting has recently led to improvements in surrogate endpoints yet overall survival benefit remains under investigation. For patients with tumors harboring microsatellite instability-high (MSI-H) or mismatch repair deficiency (dMMR), checkpoint inhibitors show exceptional activity, and non-operative management may be feasible in select cases. Conversely, human epidermal growth receptor 2 (HER2)-targeted strategies, although effective in metastatic disease, have not yet translated into practice-changing benefit in the curative setting. The role of circulating tumor deoxyribo nucleic acid (DNA) and functional imaging as real-time tools to assess response and guide treatment adaptation is also being actively explored. This review provides a comprehensive overview of current standards, ongoing developments, and future directions for the treatment of localized esophageal and EGJ cancers, with a focus on emerging personalization strategies and biomarker-driven approaches aimed at improving cure rates and minimizing treatment-related morbidity. Full article
(This article belongs to the Special Issue Current Treatments of Esophageal and Esophagogastric Junction Cancers)
16 pages, 5197 KB  
Article
Antifungal Activities of Multi-Halogenated Indoles Against Drug-Resistant Candida Species
by Hyeonwoo Jeong, Bharath Reddy Boya, Yong-Guy Kim, Jin-Hyung Lee and Jintae Lee
Int. J. Mol. Sci. 2025, 26(22), 10836; https://doi.org/10.3390/ijms262210836 - 7 Nov 2025
Viewed by 220
Abstract
The emergence of drug-resistant Candida species has created an urgent need for non-toxic molecules that inhibit fungal growth, biofilm development, and hyphal formation. In this study, fifty multi-halogenated indole derivatives were screened against ten Candida species, including azole-resistant C. albicans, C. auris [...] Read more.
The emergence of drug-resistant Candida species has created an urgent need for non-toxic molecules that inhibit fungal growth, biofilm development, and hyphal formation. In this study, fifty multi-halogenated indole derivatives were screened against ten Candida species, including azole-resistant C. albicans, C. auris, C. glabrata, and C. parapsilosis. Among them, 4,6-dibromoindole and 5-bromo-4-chloroindole exhibited the strongest antifungal and antibiofilm effects, with minimum inhibitory concentration (MIC) values of 10–50 µg/mL, outperforming ketoconazole and comparable to miconazole. Both di-halogenated indoles markedly inhibited cell aggregation, yeast-to-hyphae transition, and induced reactive oxygen species (ROS) accumulation, contributing to fungicidal activity. Microscopic analyses revealed the disruption of hyphal networks and reduced biofilm biomass. They showed moderate cytotoxicity in human hepatocellular carcinoma (HepG2) cells (median lethal dose, LD50 = 35.5 µg/mL and 75.3 µg/mL) and low phytotoxicity in plant assays. The quantitative structure–activity relationship (QSAR) model identified halogen substitution at C4, C5, and C6 positions as optimal for antifungal activity due to enhanced hydrophobic and electron-withdrawing effects. Together, these findings demonstrate that di-halogenated indoles serve as potent, low-toxicity inhibitors of Candida growth, biofilms, and morphogenesis, providing a promising scaffold for next-generation antifungal agents targeting drug-resistant Candida species. Full article
(This article belongs to the Collection Feature Papers Collection in Biochemistry)
Show Figures

Figure 1

19 pages, 4109 KB  
Article
Modulation of AMPK/NLRP3 Signaling Mitigates Radiation-Induced Lung Inflammation by a Synthetic Lipoxin A4 Analogue
by Sun Ho Min, Jae-Ho Shin, Sunjoo Park, Ronglan Cui, Youn Ji Hur, Woo Hyun Jeong, Sang Yeon Kim, Younghwa Na and Jaeho Cho
Int. J. Mol. Sci. 2025, 26(22), 10832; https://doi.org/10.3390/ijms262210832 - 7 Nov 2025
Viewed by 235
Abstract
Radiation-induced lung inflammation (RILI) is a major complication of thoracic radiotherapy, characterized by excessive inflammation and subsequent fibrosis that compromise pulmonary function and treatment outcomes. This study explores the pharmacological properties of a newly synthesized Lipoxin A4 analogue (CYNC-2) to mitigate RILI by [...] Read more.
Radiation-induced lung inflammation (RILI) is a major complication of thoracic radiotherapy, characterized by excessive inflammation and subsequent fibrosis that compromise pulmonary function and treatment outcomes. This study explores the pharmacological properties of a newly synthesized Lipoxin A4 analogue (CYNC-2) to mitigate RILI by modulating the AMP-activated protein kinase (AMPK)/NOD-like receptor family pyrin domain containing 3(NLRP3) inflammasome pathway. A murine RILI model was established in mice by delivering a single high-dose (ablative) X-ray irradiation to the left lung. Mice in the treatment group received CYNC-2 via tail-vein injection three times per week for 2 weeks. The effects of CYNC-2 on RILI were evaluated histological, immunohistochemical analysis of lung tissues, cytokine profiling, lung function testing using a FlexiVent system, and micro-computed tomography (micro-CT) imaging of lung damage. In parallel, two human lung cell lines—L132 (normal bronchial epithelial cells) and A549 (lung carcinoma cells)—were irradiated with 6 Gy X-rays and treated with CYNC-2 to assess cell viability and changes in AMPK/NLRP3 pathway markers via qPCR and immunofluorescence. Lung tissue sample from patients who underwent thoracic radiotherapy were also examined to validate key findings. CYNC-2 activated AMPK and inhibited mTOR signaling, which suppressed NLRP3 inflammasome activation and led to reduced secretion of pro-inflammatory cytokines (IL-1β, IL-6, and TGF-β1). In vitro, CYNC-2 mitigated radiation-induced inflammatory responses and preserved cellular viability. Overall, CYNC-2 effectively dampened acute pulmonary in the RILI model. These findings suggest that targeting the AMPK/NLRP3 inflammasome pathway via a stable LXA4 analogue such as CYNC-2 is a promising therapeutic strategy to improve clinical outcomes for patients receiving thoracic radiation therapy. Full article
Show Figures

Figure 1

12 pages, 2184 KB  
Review
Structural and Functional Perspectives of Optineurin in Autophagy, Immune Signaling, and Cancer
by Gianluca Medigovic, Hari Krishnareddy Rachamala, Shamit Kumar Dutta and Krishnendu Pal
Cells 2025, 14(22), 1746; https://doi.org/10.3390/cells14221746 - 7 Nov 2025
Viewed by 461
Abstract
Optineurin (OPTN) is a multifunctional adaptor protein that regulates diverse cellular processes, including inflammatory signaling, autophagy, vesicular trafficking, and immune responses. This multifaceted role of OPTN is made possible by the presence of a complex structure comprising multiple domains that interact with different [...] Read more.
Optineurin (OPTN) is a multifunctional adaptor protein that regulates diverse cellular processes, including inflammatory signaling, autophagy, vesicular trafficking, and immune responses. This multifaceted role of OPTN is made possible by the presence of a complex structure comprising multiple domains that interact with different proteins to exert various functions important for modulating key signaling processes. Mutations in OPTN are linked with several human pathologies including glaucoma, Paget’s disease of bone, Crohn’s disease, and neurodegenerative diseases such as amyotrophic lateral sclerosis, and dementia. Emerging evidence suggests that OPTN has a complex and context-dependent role in cancer biology as well. It is upregulated in pancreatic ductal adenocarcinoma and hepatocellular carcinoma but downregulated in lung and colorectal cancers, indicating its dual role as a potential oncogene or tumor suppressor depending on the cellular environment. Additionally, OPTN plays a critical role in preventing immune evasion in colorectal cancer by maintaining interferon-gamma receptor 1 (IFNGR1) expression and supporting dendritic cell-mediated T-cell priming, thereby enhancing antitumor immune responses. Despite its significance in oncogenic pathways and immune regulation, the therapeutic potential of targeting OPTN in cancer remains largely unexplored. This review aims to provide a comprehensive understanding of OPTN’s pleiotropic functions, highlighting its role in autophagy, inflammation, immune surveillance, and cancer progression. By elucidating its diverse regulatory mechanisms, we seek to encourage further research into the therapeutic implications of OPTN in cancer treatment and immunotherapy. Full article
(This article belongs to the Section Autophagy)
Show Figures

Graphical abstract

20 pages, 6289 KB  
Article
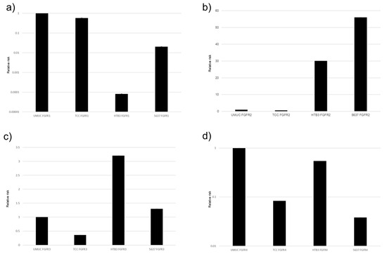
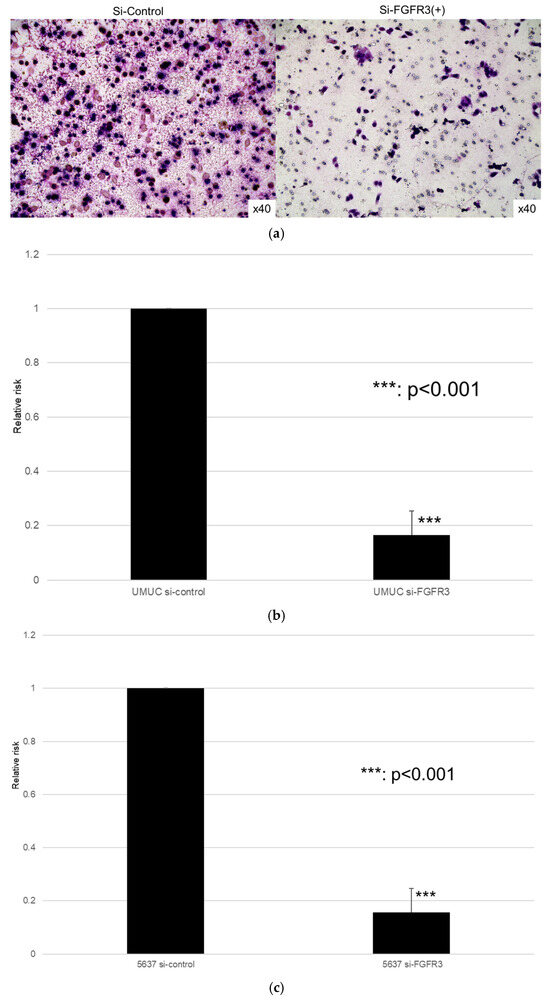
The Role of FGFR3 in the Progression of Bladder Cancer
by Sahoko Ninomiya, Yukari Ishiguro, Hisashi Hasumi, Ryosuke Jikuya, Akihito Hashizume, Masanobu Yamazaki, Jun-ichi Teranishi, Kazuhide Makiyama, Hiroji Uemura, Hiroshi Miyamoto and Takashi Kawahara
Cancers 2025, 17(21), 3588; https://doi.org/10.3390/cancers17213588 - 6 Nov 2025
Viewed by 354
Abstract
Introduction: Bladder cancer is associated with a high recurrence rate, and outcomes for muscle-invasive and metastatic disease remain poor. New targeted therapies, such as the FGFR inhibitor erdafitinib, have been introduced, but the progression from non-muscle-invasive to muscle-invasive disease remains a major clinical [...] Read more.
Introduction: Bladder cancer is associated with a high recurrence rate, and outcomes for muscle-invasive and metastatic disease remain poor. New targeted therapies, such as the FGFR inhibitor erdafitinib, have been introduced, but the progression from non-muscle-invasive to muscle-invasive disease remains a major clinical challenge. Methods: In this study, we performed immunohistochemical staining for FGFR1-FGFR4 on surgical specimens from 192 cases of urothelial carcinoma. We also conducted various functional assays on human bladder cancer cell lines to assess protein/gene expression, cell proliferation, migration, invasion, and colony formation. Results: FGFR2 and FGFR3 expressions were found to be significantly down-regulated in high-grade (0.014) and muscle-invasive (0.002) tumors, respectively. Functionally, the FGFR inhibitor erdafitinib suppressed cell proliferation and migration, and FGFR3 silencing also markedly reduced proliferation, migration, invasion, and colony formation in cancer cell lines. Conclusions: The down-regulation of FGFR3 in muscle-invasive bladder cancer, coupled with the inhibitory effect of its inactivation on cell growth, suggests a significant role for FGFR3 in bladder cancer progression. Full article
(This article belongs to the Special Issue New Insights into General, Functional and Oncologic Urology)
Show Figures

Figure 1

17 pages, 2564 KB  
Article
Stimuli-Sensitive Platinum-Based Anticancer Polymer Therapeutics: Synthesis and Evaluation In Vitro
by Kateřina Běhalová, Martin Studenovský, Kevin Kotalík, Rafal Konefal, Marek Kovář and Tomáš Etrych
Pharmaceutics 2025, 17(11), 1433; https://doi.org/10.3390/pharmaceutics17111433 - 5 Nov 2025
Viewed by 384
Abstract
Background/Objectives: Here, we report the design, synthesis, and in vitro biological evaluation of a novel stimuli-sensitive nanotherapeutics based on cisplatin analog, cis-[PtCl2(NH3)(2-(3-oxobutyl)pyridine)] (Pt-OBP), covalently linked to a N-(2-hydroxypropyl)methacrylamide (HPMA) copolymer via a pH-sensitive hydrazone bond. Methods: Two [...] Read more.
Background/Objectives: Here, we report the design, synthesis, and in vitro biological evaluation of a novel stimuli-sensitive nanotherapeutics based on cisplatin analog, cis-[PtCl2(NH3)(2-(3-oxobutyl)pyridine)] (Pt-OBP), covalently linked to a N-(2-hydroxypropyl)methacrylamide (HPMA) copolymer via a pH-sensitive hydrazone bond. Methods: Two polymer–drug conjugates, P-Pt-A and P-Pt-B, were synthesized, differing in spacer length between the polymer chain and hydrazone bond, which in turn modulates their drug release kinetics. Results: The spacer based on hydrazone bond demonstrated satisfactory stability under blood-mimicking conditions while enabling selective release of the active drug intracellularly or even in the mildly acidic tumor microenvironment. Pt-OBP exhibits comparable or even superior cytostatic and cytotoxic activity to carboplatin across a panel of murine and human cancer cell lines, with the highest potency observed in FaDu cells representing human head and neck squamous cell carcinoma. Mechanistically, Pt-OBP induced significant phosphorylation of γ-H2AX and activation of caspase-3, indicating its ability to cause DNA damage with subsequent apoptosis induction. P-Pt-A retained moderate biological activity, whereas the slower-releasing P-Pt-B exhibited reduced potency in vitro, consistent with its drug release profile. Conclusions: Notably, free Pt-OBP induced rapid apoptotic cell death, surpassing carboplatin at early time points, and the polymeric conjugates achieved comparable pro-apoptotic activity after extended incubation, suggesting effective intracellular release of the active drug. Full article
(This article belongs to the Section Drug Targeting and Design)
Show Figures

Graphical abstract

15 pages, 1323 KB  
Article
Mitomycin-C for HPV-Positive and HPV-Negative Platinum-Refractory, Recurrent or Metastatic Head and Neck Squamous Cell Carcinoma: A Phase 2 Trial
by Peter Oppelt, Jessica Ley, Christine Auberle, Brendan Knapp, Jesse Zaretsky, Fei Wan and Douglas Adkins
Cancers 2025, 17(21), 3568; https://doi.org/10.3390/cancers17213568 - 4 Nov 2025
Viewed by 409
Abstract
Background/Objectives: Functional p53 is critical for anti-tumor activity of mitomycin-C. In wild-type TP53 human papillomavirus (HPV)-positive squamous cell carcinoma (SCC) cell lines, mitomycin-C repressed E6 oncoprotein expression and induced p53, p21, and Bax, resulting in apoptosis. In mutant TP53 HPV-negative SCC cell lines, [...] Read more.
Background/Objectives: Functional p53 is critical for anti-tumor activity of mitomycin-C. In wild-type TP53 human papillomavirus (HPV)-positive squamous cell carcinoma (SCC) cell lines, mitomycin-C repressed E6 oncoprotein expression and induced p53, p21, and Bax, resulting in apoptosis. In mutant TP53 HPV-negative SCC cell lines, mitomycin-C was inactive. The primary aim of this trial was to determine the objective response rate (ORR) with mitomycin-C among patients with HPV-positive (cohort A) and HPV-negative (cohort B) platinum-refractory, recurrent or metastatic head and neck SCC (RM-HNSCC). Methods: Patients with platinum-refractory RM-HNSCC received mitomycin-C (10 mg/m2 on day one every five weeks) until discontinuation criteria were met. Tumor response was assessed by RECIST1.1. We hypothesized an ORR of ≥30% (H1) with mitomycin-C (vs. H0 ORR of ≤10%). Using a two-stage Simon phase 2 design for each cohort, 2 or more responses among 12 evaluable patients were required to enroll 23 additional patients. H1 was accepted if 6 or more responses occurred among 35 evaluable patients (power 0.90; one-sided α = 0.10). Results: Forty-seven patients were treated with mitomycin-C: 34 in cohort A and 13 in cohort B. Tumor response occurred in 3 of 33 evaluable patients in cohort A (ORR 9.1%, 95%CI: 0–19.4) and in 0 of 12 evaluable patients in cohort B. The duration of tumor responses in cohort A was 2.3, 2.5, and 4.5 months. The most common treatment-related AEs of any grade were anemia (96%), fatigue (62%), and thrombocytopenia (40%). No treatment-related deaths occurred. Conclusions: Mitomycin-C had limited activity in HPV-positive, and no activity in HPV-negative, platinum-refractory RM-HNSCC. Full article
(This article belongs to the Section Clinical Research of Cancer)
Show Figures

Figure 1

18 pages, 1672 KB  
Article
Synthetic Food Preservatives Modulate Apoptotic Gene Expression in HepG2 Cells: Divergent Effects of Sodium Benzoate, Potassium Sorbate, and Sodium Metabisulfite
by Márton Pintér, John M. Macharia, Orsolya Liza Kövesdi, Nóra Rozmann, Afshin Zand, Katalin Szerb, Tímea Varjas and Bence László Raposa
Nutrients 2025, 17(21), 3466; https://doi.org/10.3390/nu17213466 - 3 Nov 2025
Viewed by 326
Abstract
Background: The accelerated lifestyle of modern society has increased reliance on processed foods preserved with synthetic additives. Although these substances effectively extend shelf life, several studies have raised concerns about potential adverse effects, suggesting that excessive or long-term exposure may interfere with essential [...] Read more.
Background: The accelerated lifestyle of modern society has increased reliance on processed foods preserved with synthetic additives. Although these substances effectively extend shelf life, several studies have raised concerns about potential adverse effects, suggesting that excessive or long-term exposure may interfere with essential cellular processes, including apoptosis. Objectives: This study aimed to investigate the impact of three widely used synthetic food preservatives; sodium benzoate (SB), potassium sorbate (PS), and sodium metabisulfite (SMB) on apoptosis-related gene expression in the human hepatocellular carcinoma cell line (HepG2). Methods: HepG2 cells were exposed to five increasing concentrations (6.25, 12.5, 25, 50, and 100 mg/L) of SB, PS, or SMB for 24 and 48 h. The transcriptional changes of key apoptotic genes (CASP3, CASP8, BAX, and BCL2) were quantified by real-time quantitative reverse transcription PCR (RT-qPCR) to evaluate their potential effects on intrinsic and extrinsic apoptotic pathways. Results: SB and PS induced dose-dependent transcriptional changes in apoptosis-related genes. Both preservatives upregulated BAX and downregulated BCL2, indicating an intrinsic pathway response, while simultaneously decreasing CASP3 and CASP8 expression associated with the extrinsic pathway. In contrast, SMB did not cause significant gene expression changes. Conclusions: SB and PS induced concentration- and time-dependent transcriptional alterations in apoptosis-related genes in HepG2 cells. In contrast, SMB did not elicit significant gene expression changes under the same conditions. These gene-level modulations were most evident at higher concentrations, which exceed typical dietary exposure levels. Therefore, while SB and PS were associated with transcriptional alterations at higher, experimentally relevant concentrations, additional research using primary human hepatocytes is needed to determine whether similar patterns occur in normal liver cells under physiological exposure conditions. Full article
(This article belongs to the Special Issue Dietary Effects on Gene Expression and Metabolic Profiles)
Show Figures

Figure 1

25 pages, 3878 KB  
Article
Eight Triplex-Binding Molecules from Four Chemical Classes Broadly Recognize the MALAT1 Triple Helix
by Madeline M. Mousseau, Krishna M. Shivakumar, Jaesang Yoo and Jessica A. Brown
Molecules 2025, 30(21), 4277; https://doi.org/10.3390/molecules30214277 - 3 Nov 2025
Viewed by 259
Abstract
RNA triple helices are relatively understudied, including their interactions with small molecules. In this study, we evaluated eight previously reported triplex-binding molecules (TBMs) for their functional effects on the premature and mature MALAT1 triple helix. Based on UV thermal denaturation experiments, the TBMs [...] Read more.
RNA triple helices are relatively understudied, including their interactions with small molecules. In this study, we evaluated eight previously reported triplex-binding molecules (TBMs) for their functional effects on the premature and mature MALAT1 triple helix. Based on UV thermal denaturation experiments, the TBMs berberine, coralyne, sanguinarine, berenil, and neomycin selectively stabilize the Hoogsteen interface of the MALAT1 triple helix. Moreover, fisetin, luteolin, and quercetin were more sensitive to nucleotide composition, whereas berberine, coralyne, sanguinarine, and berenil were more sensitive to changes in the length of the major-groove triple helix. Most TBMs could not outcompete MALAT1 triple helix-binding proteins, except for neomycin. Surface plasmon resonance experiments demonstrated that berberine and sanguinarine display relatively quick association and dissociation binding profiles. Treating human colorectal carcinoma cells with each of the TBMs reduced MALAT1 levels by ~20–60%. This study demonstrates that TBMs broadly recognize the premature and mature MALAT1 triple helix but exhibit subtle sensitivities, suggesting that TBMs can be designed to selectively bind triple helices based on nucleotide composition, length, and structural context. Full article
(This article belongs to the Special Issue Chemistry of Nucleic Acids: From Structure to Biological Interactions)
Show Figures

Figure 1

20 pages, 32904 KB  
Article
Identification of Phenotypically Distinct Cancer Stem Cell Subpopulations in Oral Squamous Cell Carcinoma
by Tarig Al-Hadi Osman, Oddveig Rikardsen, Muy-Teck Teh, Dipak Sapkota, Kristina Xiao Liang, Evelyn Neppelberg, Adrian Biddle, Ian Mackenzie, Lars Uhlin-Hansen, Anne Christine Johannessen and Daniela Elena Costea
Cancers 2025, 17(21), 3547; https://doi.org/10.3390/cancers17213547 - 1 Nov 2025
Viewed by 389
Abstract
Background: Several markers have been shown to define subpopulations enriched for cancer stem cells (CSCs) and correlate with poor clinical outcomes in oral squamous cell carcinoma (OSCC). Objective: To investigate the pattern of expression and correlation with clinical parameters of two CSC markers, [...] Read more.
Background: Several markers have been shown to define subpopulations enriched for cancer stem cells (CSCs) and correlate with poor clinical outcomes in oral squamous cell carcinoma (OSCC). Objective: To investigate the pattern of expression and correlation with clinical parameters of two CSC markers, namely p75NTR and ALDH1A1, in both patient samples and cell lines. Methods: Archival formalin-fixed paraffin-embedded samples from normal human oral mucosa (NHOM, n = 31), oral dysplasia (OD, n = 10) and OSCC (n = 177) were subjected to multiple immunohistochemistry and some to qRT-PCR for expression of CSC and proliferation-related markers, BMI1 and Ki67. Correlations between CSC marker expression and clinical parameters were investigated. Primary cells and cell lines derived from NHOM, OD or OSCC were FACS-analyzed for the same markers. Results: A higher frequency of cells positive for CSC markers was detected in OD and OSCC compared to NHOM. Co-localization of the two markers was a rare finding in OSCC as compared to NHOM or OD and was more heterogeneous in OSCC cell lines than in OD and NHOM cells. Cells positive for p75NTR exhibited higher expression of proliferative and self-renewal markers in comparison to ALDH1A1+ or double ALDH1A1+/p75NTR+ cells. Cells positive for p75NTR were more frequent in small-size tumors and poorly to moderately differentiated tumors and correlated with poor survival of patients otherwise (clinically) deemed as of better prognosis. Higher frequency of ALDH1A1+ cells was found to be associated with lymph node metastasis. Both p75NTR+ cells and ALDH1A1+ cells could emerge de novo from the respective negative subpopulation after FACS and in vitro growth, but with different kinetics. Conclusions: Here, we show that several stem cell subpopulations with distinct phenotypes co-exist in a tumor, each having impact on different clinical parameters. The cell subpopulations identified by the use of different CSC markers were found to be dynamic populations, able to switch between phenotypes. In addition, our data suggest that the stem cell heterogeneity is acquired and evolves parallel with carcinoma progression. Full article
(This article belongs to the Special Issue Molecular and Genetic Biomarkers in Oral Squamous Cell Carcinoma)
Show Figures

Figure 1

Back to TopTop