Sign in to use this feature.

Years

Between: -

Subjects

remove_circle_outline
remove_circle_outline
remove_circle_outline
remove_circle_outline
remove_circle_outline
remove_circle_outline
remove_circle_outline
remove_circle_outline
remove_circle_outline

Journals

remove_circle_outline
remove_circle_outline
remove_circle_outline
remove_circle_outline
remove_circle_outline
remove_circle_outline
remove_circle_outline
remove_circle_outline
remove_circle_outline

Article Types

Countries / Regions

remove_circle_outline
remove_circle_outline
remove_circle_outline
remove_circle_outline

Search Results (714)

Search Parameters:
Keywords = high-quality farmers

Order results
Result details
Results per page
Select all
Export citation of selected articles as:
25 pages, 2125 KB  
Article
Interaction Effects Between Tongue-Rolling Behavior and Chronic Stress on Plasma Immune–Inflammatory Indicators, Milk Protein Composition, and Milk Proteome in Dairy Cows
by Chenyang Li, Xiaoyang Chen, Tingting Fang, Jie Gao, Guangyong Zhao and Xianhong Gu
Vet. Sci. 2026, 13(2), 134; https://doi.org/10.3390/vetsci13020134 - 29 Jan 2026
Viewed by 274
Abstract
Tongue-rolling behavior (TR) is commonly observed in dairy cows and is considered a stereotypic behavior indicative of compromised welfare. Chronic stress can impair lactation and immune function, yet the interaction between behavior (TR vs. normal behavior (NB)) and chronic stress (high vs. low) [...] Read more.
Tongue-rolling behavior (TR) is commonly observed in dairy cows and is considered a stereotypic behavior indicative of compromised welfare. Chronic stress can impair lactation and immune function, yet the interaction between behavior (TR vs. normal behavior (NB)) and chronic stress (high vs. low) remains unclear. In this study, hair cortisol concentration (HCC) was used to assess stress levels in cows. The cows were first classified into high- and low-stress cows using K-means clustering. Subsequently, cows exhibiting high levels of TR and those exhibiting NB (i.e., no stereotypic behaviors) were selected from both stress categories to establish four groups (n = 8 per group): high-stress TR (HT), high-stress NB (HN), low-stress TR (LT), and low-stress NB (LN). We analyzed milk protein composition, milk proteome, and plasma immune-inflammatory indicators. Behavior (TR vs. NB) and chronic stress (high vs. low) showed significant interaction effects on plasma tumor necrosis factor-α (p = 0.046), interleukin-6 (p = 0.002), and proteomic profiles, involving multiple guanosine triphosphate-binding proteins (p < 0.05), transferrin (p = 0.001), and complement factors (p < 0.05). In addition, TR cows had significantly lower levels of αs1-casein (p = 0.019), β-casein (p < 0.001), κ-casein (p = 0.016), lactoferrin (p = 0.003), and plasma immunoglobulin A (p = 0.002). These results indicate that, under different chronic stress levels, TR cows differ markedly from NB cows in milk protein expression, immune function, and inflammatory responses. Moreover, milk from TR cows showed reduced quality, and immune dysfunction and inflammation were exacerbated under high stress. Overall, this study provides new insights into the physiological consequences of stereotypic behavior in dairy cows. These findings may help dairy farmers identify cows exhibiting TR as at risk of reduced milk quality and immune dysfunction, allowing for early management interventions to improve animal welfare and productivity. Full article
Show Figures

Figure 1

29 pages, 7950 KB  
Article
A Multi-Year Monitoring of Swiss Grain Maize: Which Cropping Factors Influence Fusarium Species Incidence and Associated Mycotoxins?
by Tomke Musa, Karen E. Sullam, Heike Rollwage, Michael Sulyok, Petr Karlovsky and Susanne Vogelgsang
Toxins 2026, 18(2), 65; https://doi.org/10.3390/toxins18020065 - 26 Jan 2026
Viewed by 296
Abstract
A complex of Fusarium species frequently infects maize, causing root, ear, and stem rot, yield losses, reduced seed quality, and mycotoxin accumulation. To quantify Fusarium species composition and mycotoxin contamination, we conducted a first nationwide monitoring in Swiss commercial grain maize over three [...] Read more.
A complex of Fusarium species frequently infects maize, causing root, ear, and stem rot, yield losses, reduced seed quality, and mycotoxin accumulation. To quantify Fusarium species composition and mycotoxin contamination, we conducted a first nationwide monitoring in Swiss commercial grain maize over three years (2008–2010), followed by grain maize hybrid experiments across five sites (2011–2013). Samples were analysed for species incidence, fungal DNA, and the mycotoxins deoxynivalenol, zearalenone, and fumonisins. For each field, crop management data were collected. Fusarium graminearum, F. verticillioides, F. subglutinans, and F. proliferatum were predominant, and deoxynivalenol was the most frequent toxin, with 55% of the samples exceeding the European pig feed guidance value (0.9 mg kg−1). Overall, fumonisin contamination was low: only 11% of samples were above the limit of detection. The year, the length of the growing period, and the timing of the harvest were the principal determinants of F. graminearum infection and deoxynivalenol/zearalenone accumulation, whereas other agronomic factors, including crop rotation, soil management, and maturity class, showed only limited or inconsistent effects. Results from this study provide evidence that farmers should avoid long growing periods and late harvests to reduce the risk of high deoxynivalenol/zearalenone content. The maize hybrid experiments confirmed the overriding influence of weather conditions on Fusarium species incidence and mycotoxin content, leading to high inter-annual variability. These results highlight the need for standardised, long-term field experiments to disentangle agronomic effects and environmental drivers. Full article
(This article belongs to the Section Mycotoxins)
Show Figures

Figure 1

22 pages, 387 KB  
Article
The Impact of Digital Literacy on Farmers’ Green Production Behaviours: Evidence from Guizhou, China
by Li Zhu, Weiyong Yu and Jinxiu Yang
Agriculture 2026, 16(2), 257; https://doi.org/10.3390/agriculture16020257 - 20 Jan 2026
Viewed by 178
Abstract
The increasing momentum of agricultural digital transformation and green development necessitates investigations into how farmers’ digital literacy influences their engagement in green production behaviours, which is critical for achieving the high-quality development of modern agriculture. Utilising primary survey data collected from farmers in [...] Read more.
The increasing momentum of agricultural digital transformation and green development necessitates investigations into how farmers’ digital literacy influences their engagement in green production behaviours, which is critical for achieving the high-quality development of modern agriculture. Utilising primary survey data collected from farmers in rural areas of Guizhou Province, China, this study investigated how digital literacy affects farmers’ green production behaviours. The findings are as follows: (1) Digital literacy exerts a significant positive impact on farmers’ adoption of green production behaviours. Regarding the hierarchical effect, the order of influence is as follows: digital security awareness > basic digital skills > digital application and innovation. (2) The facilitating effect of digital literacy is primarily achieved through two pathways: the peer effect and the guidance effect. (3) Farmers with higher education levels are more impacted by digital literacy than farmers with lower education levels. (4) The impact of digital literacy is more positively significant for young and older farmers than for middle-aged groups. Based on these research findings, it is recommended that future policy formulation and technology extension efforts should prioritise support for specific regions and groups, such as mountainous areas, small-scale operations, low-education backgrounds, and the elderly. Such targeted approaches are crucial for encouraging wider adoption of green production behaviours among farmers. Full article
(This article belongs to the Section Agricultural Economics, Policies and Rural Management)
Show Figures

Figure 1

10 pages, 526 KB  
Proceeding Paper
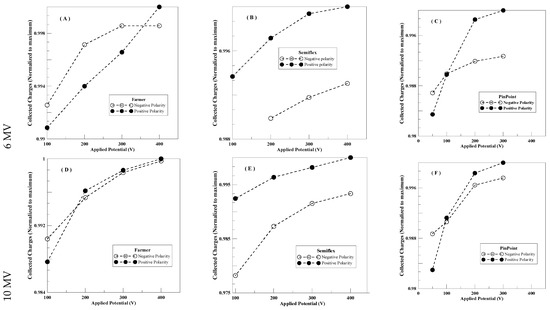
Characterization of Three Ion Chambers for High-Energy Photons Reference Dosimetry
by Sara Mohamed, Sahar Awad, Yasser Hassan, Aly Wagdy and Ahmed M. Maghraby
Eng. Proc. 2026, 124(1), 8; https://doi.org/10.3390/engproc2026124008 - 19 Jan 2026
Viewed by 204
Abstract
Introduction: Many standards, codes of practice, and protocols were issued internationally in order to standardize the methodologies and formalism of the use of ionization chambers for the purposes of evaluating absorbed radiation doses in high-energy photon and electron beams from medical linear accelerators. [...] Read more.
Introduction: Many standards, codes of practice, and protocols were issued internationally in order to standardize the methodologies and formalism of the use of ionization chambers for the purposes of evaluating absorbed radiation doses in high-energy photon and electron beams from medical linear accelerators. Methods: Three ion chambers were selected for this study: PTW Semiflex 3D (PTW 31021), PTW Farmer type (PTW 30013), and PTW PinPoint 3D (PTW 31022) ion chambers. Many correction factors and parameters controlling the behavior of ionization chambers were included in the study, such as polarity, ion recombination, and response to high-energy photons for each ion chamber. Results and discussion: The collection efficiencies of each ion chamber were calculated and evaluated numerically. Additionally, the tissue-phantom ratio (TPR20,10) was used as a beam quality index, and the beam quality correction factors were determined for each chamber for two high-energy photon beams, 6 MV and 10 MV, where the reference beam quality is assumed to be that of Cobalt-60 photon energy. The volume averaging correction factor for each ion chamber was evaluated in order to account for the non-uniformity of the beam and for the two beam qualities. Conclusion: All the studied parameters are of great importance and should be considered for the purposes of radiation metrology. Full article
(This article belongs to the Proceedings of The 6th International Electronic Conference on Applied Sciences)
Show Figures

Figure 1

22 pages, 3544 KB  
Article
Advancing Sustainable Wheat Production in the Andes Through Biofertilization with AzospirillumTrichoderma and Fermented Anchovy-Based Under Rainfed Conditions
by Edwin Villegas, Fernando Escobal, Toribio Tejada, Peter Piña, Hector Cántaro-Segura, Luis Diaz-Morales and Daniel Matsusaka
Appl. Microbiol. 2026, 6(1), 13; https://doi.org/10.3390/applmicrobiol6010013 - 13 Jan 2026
Viewed by 192
Abstract
Wheat (Triticum aestivum L.) sustains global caloric intake, but its productivity in Andean highlands is constrained by soil fertility and input reliance. This study represents one of the first field-based evaluations of biofertilizers under high-altitude, rainfed Andean conditions, addressing a major knowledge [...] Read more.
Wheat (Triticum aestivum L.) sustains global caloric intake, but its productivity in Andean highlands is constrained by soil fertility and input reliance. This study represents one of the first field-based evaluations of biofertilizers under high-altitude, rainfed Andean conditions, addressing a major knowledge gap in low-input mountain agroecosystems. This study evaluated three seed-applied biofertilizers—Azospirillum brasilense, Trichoderma viride (Trichomax), and an anchovy (Engraulis ringens) based liquid biofertilizer, compared with an untreated control and a soil-test mineral fertilization benchmark in rainfed wheat (Triticum aestivum L.) cv. INIA 405 in the central Andes of Peru. A 5 × 5 Latin square design (25 plots) was established under farmer-realistic conditions. At physiological maturity (Zadoks 9.5), plant height, spike length, grains per spike, thousand-grain weight, test weight, root dry mass, and grain yield were recorded. Mineral fertilization achieved the highest yield (1.20 ± 0.79 t ha−1), nearly doubling the control (0.60 ± 0.47 t ha−1). Notably, A. brasilense delivered an intermediate yield of 0.90 ± 0.64 t ha−1, representing a 50% increase over the control—accompanied by a marked rise in root dry mass. T. viride and the anchovy-based input yielded 0.85 ± 0.59 and 0.81 ± 0.59 t ha−1, respectively. Grain physical quality remained stable across treatments (thousand-grain weight ≈ 42 g; test weight 68–75 kg hL−1). Trait responses were complementary: root dry mass increased with mineral fertilization and A. brasilense, whereas spike length increased with mineral fertilization and the anchovy-based input. Overall, the evidence supports biofertilizers, particularly A. brasilense, as effective complements that enable partial fertilizer substitution within integrated nutrient-management strategies for sustainable wheat production in Andean rainfed systems. Full article
Show Figures

Figure 1

22 pages, 980 KB  
Review
The Use of Plant Extracts to Improve Male Reproductive Performance: A Review Focusing on Mammalian Semen Quality and Preservation
by Rantloko Rolly Maapola, Khathutshelo Agree Nephawe, Masindi Lottus Mphaphathi and Jabulani Nkululeko Ngcobo
Agriculture 2026, 16(2), 184; https://doi.org/10.3390/agriculture16020184 - 11 Jan 2026
Viewed by 558
Abstract
In African countries and many developing countries, communal farmers rely on livestock such as cattle, goats, and sheep to support food security, income, and agricultural activities. Fertility in these animals is often limited by poor semen quality, which reduces sperm concentration, total motility, [...] Read more.
In African countries and many developing countries, communal farmers rely on livestock such as cattle, goats, and sheep to support food security, income, and agricultural activities. Fertility in these animals is often limited by poor semen quality, which reduces sperm concentration, total motility, and morphology. Assisted reproductive biotechnologies, including semen cryopreservation and artificial insemination, are increasingly essential to enhance reproductive efficiency and productivity. Although cryopreservation preserves valuable genetic material, it can damage sperm cells, making high-quality extenders critical for protection. Common extenders, such as Tris-egg yolk glucose, citrate-sugar-based, and skimmed milk solutions, supply nutrients and protect sperm membranes. To further minimize oxidative stress, antioxidants are incorporated, with growing interest in plant-derived compounds. Many plants contain bioactive substances, including antioxidants and phytomelatonin, which can enhance sperm quality safely and effectively. This review examines the use of plant-based antioxidants during semen cryopreservation and highlights their potential to improve fertility in mammalian livestock. Full article
(This article belongs to the Section Farm Animal Production)
Show Figures

Figure 1

7 pages, 820 KB  
Proceeding Paper
Potential of Open-Pollinated Varieties (OPVs) in Chilli Crop Breeding—A Review
by Israr Ali, Muhammad Azam Khan, Muhammad Tahir Akram, Rashid Mehmood Rana, Inaba Hawraa, Hina Nawaz and Feroz Ahmed Tipu
Biol. Life Sci. Forum 2025, 51(1), 11; https://doi.org/10.3390/blsf2025051011 - 6 Jan 2026
Viewed by 261
Abstract
The research for crop improvement is a continuous process that enhances plant quality, yield, and ameliorates their adaptability to changing climatic conditions. Chilli is cultivated worldwide as a vegetable, spice, or natural colour additive and is an economically and medicinally important crop. A [...] Read more.
The research for crop improvement is a continuous process that enhances plant quality, yield, and ameliorates their adaptability to changing climatic conditions. Chilli is cultivated worldwide as a vegetable, spice, or natural colour additive and is an economically and medicinally important crop. A basic requirement for crop improvement in breeding programmes is the presence of genetic diversity within the crop. Smallholder farmers of chilli usually face challenges in acquiring commercial hybrid seeds because of their high cost and the need for annual purchases. Open-pollinated varieties (OPVs) can serve as a sustainable alternative that provides broader genetic variability, allowing adaptation to local growing conditions, and enabling farmers to save seeds for successive planting season. These characteristics make OPVs economically viable and valuable genetic resources for future chilli cultivation and breeding programmes. This review highlights the potential of OPVs in promoting sustainable chilli cultivation, enhancing genetic diversity, and supporting breeding to develop resilient and economically viable cultivars. Full article
(This article belongs to the Proceedings of The 9th International Horticulture Conference & Expo)
Show Figures

Figure 1

10 pages, 1644 KB  
Proceeding Paper
Heat Stress in Chillies: Integrating Physiological Responses and Heterosis Breeding Approaches for Enhanced Resilience
by Inaba Hawraa, Muhammad Azam Khan, Muhammad Tahir Akram, Rashid Mehmood Rana, Feroz Ahmed Tipu, Israr Ali, Hina Nawaz and Muhammad Hashir Khan
Biol. Life Sci. Forum 2025, 51(1), 12; https://doi.org/10.3390/blsf2025051012 - 6 Jan 2026
Viewed by 255
Abstract
Chilli (Capsicum annuum) is a popular spice and vegetable crop of significant economic importance that is cultivated worldwide in warm and humid climatic zones. Although chilli is a thermophilic crop, its quality and yield potential are significantly affected due to various [...] Read more.
Chilli (Capsicum annuum) is a popular spice and vegetable crop of significant economic importance that is cultivated worldwide in warm and humid climatic zones. Although chilli is a thermophilic crop, its quality and yield potential are significantly affected due to various abiotic factors, including extremely fluctuating temperatures beyond the optimum temperatures (18–30 °C). Global warming and anthropogenic activities lead to adverse climatic changes, imposing severe stress on growth, development, and productivity. High temperatures above 43–45 °C adversely affect chilli crops, especially during the reproductive stages, by causing immature fruit dropping, poor seed vigour, reduced number of flowers, flower abscission, aborted reproductive organs, reduced fruit set, and significant yield loss by 50%. Therefore, to reduce quantitative and qualitative losses, heat management is necessary from April to June in Pakistan, when the temperature rises beyond 40 °C. For heat management, the hybridisation of heat-resilient and high-yielding genotypes to develop heat-tolerant high-yielding hybrids appears to be a rational approach. These genetically improved hybrids inherit such characteristics that assist in maintaining vigorous growth, fruit quality, and stable yield without significant yield losses even under heat-stressed conditions. Hence, the thermotolerant chilli hybrids developed through hybridisation help to satisfy the escalating demand for chilli and guarantee the financial stability of farmers. Full article
(This article belongs to the Proceedings of The 9th International Horticulture Conference & Expo)
Show Figures

Figure 1

18 pages, 7161 KB  
Article
Assessment of the Impact of the Irrigation Regime and the Application of Fermented Organic Fertilizers on Soil Salinity Dynamics and Alfalfa Growth in Coastal Saline–Alkaline Land
by Qian Yang, Shanshan Shen, Qiu Jin and Jingnan Chen
Agronomy 2026, 16(1), 117; https://doi.org/10.3390/agronomy16010117 - 1 Jan 2026
Viewed by 494
Abstract
Alfalfa cultivation is an effective way to achieve soil improvement while utilizing saline soils. Irrigation and drainage, as physical measures to leach salts, can effectively reduce the soil salt content, while application of organic fertilizer fermented with an effective microorganism (EM) may further [...] Read more.
Alfalfa cultivation is an effective way to achieve soil improvement while utilizing saline soils. Irrigation and drainage, as physical measures to leach salts, can effectively reduce the soil salt content, while application of organic fertilizer fermented with an effective microorganism (EM) may further enhance the improvement effect of saline–alkaline soil by improving soil fertility and microbial community structure. However, there is still a lack of systematic assessment on the effects of applying these three measures on the saline soil–plant system. In this study, we used alfalfa as the plant material and set three water depths of 8 mm (IR1), 16 mm (IR2), and 24 mm (IR3) under the condition of irrigating every 10 days with remote-controlled timed and quantitative irrigation, which is the most acceptable to farmers in the era of smart agriculture. EM organic fertilizer dosage was designed as 0 kg/ha (CK), 1500 kg/ha (OF1), 3000 kg/ha (OF2), 4500 kg/ha (OF3), and 6000 kg/ha (OF4). The multiple-crop alfalfa yield, quality (crude protein (CP), neutral detergent fiber (NDF), and acid detergent fiber (ADF)), and soil electrical conductivity (EC) were observed. The results showed that after the application of EM organic fertilizer, the soil’s EC value of fertilized treatments was higher than that of CK, but this difference became smaller with the prolongation of alfalfa’s growing period, implying that EM organic fertilizer could absorb more soil salts by promoting alfalfa’s growth; the water depth was obviously negatively correlated with the soil’s EC value, demonstrating that the increase in the water depth had a stronger ability to reduce the soil salts. By the end of the experiment, the soil’s EC values were reduced by 21.4–43.7% for the treatments. The alfalfa yield was significantly increased by EM organic fertilizer application, and the three alfalfa yields were increased by 63.3–69.1%, 65.4–83.6%, and 52.6–56.2%, respectively, when fertilizer application was elevated from CK to OF4. The highest alfalfa yields were all found at IR2OF4, reaching 1164.7, 2637.3 and 2519.7 t/ha, corresponding to the first, second, and third alfalfa crops, respectively. The analysis of alfalfa quality indexes revealed that higher CP values were found in the IR2 treatments, and increasing fertilizer application from OF1–OF4 resulted in an increase in CP values by 2.4–9.1%, 1.5–7.4%, and 0.8–6.7% for the three alfalfa crops. Relatively low NDF and ADF values were observed for alfalfa under IR2 conditions; however, the application of EM organic fertilizer reduced the NDF and ADF values within a certain range. According to the results of the entropy weight evaluation model, IR3OF4, IR3OF2, and IR3OF3 were the top three treatments with the best overall benefits, respectively, with relative closeness values of 0.71, 0.70, and 0.68, in that order, which suggests that the appropriate water depth is 24 mm, while the appropriate EM organic fertilizer dosage is in the range of 3000–6000 kg/ha. There was a pattern observed in our study, in which the treatments with better overall benefits were better distributed at high water depths, which emphasizes the critical role of the irrigation volume in ameliorating saline soils. The conclusions of the study are intended to provide a practical basis for the comprehensive utilization and sustainable development of saline soils. Full article
(This article belongs to the Special Issue Impact of Irrigation or Drainage on Soil Environment and Crop Growth)
Show Figures

Figure 1

11 pages, 815 KB  
Case Report
Diagnosis of Microscopic Polyangiitis by EBUS-Guided Transbronchial Mediastinal Cryobiopsy: A Case Report
by Miriam Retuerto-Guerrero, Javier Juan-García, Pablo Franco-Suárez, Samuel Saez-Álvarez, Octavio Miguel Rivero-Lezcano and Elvira Díez-Álvarez
Diagnostics 2026, 16(1), 125; https://doi.org/10.3390/diagnostics16010125 - 1 Jan 2026
Viewed by 331
Abstract
Background and Clinical Significance: Isolated mediastinal lymphadenopathy is an exceptionally rare and diagnostically challenging initial manifestation of microscopic polyangiitis (MPA), often mimicking malignancy or infection. This case highlights the pivotal role of an innovative minimally invasive technique in achieving a definitive diagnosis. To [...] Read more.
Background and Clinical Significance: Isolated mediastinal lymphadenopathy is an exceptionally rare and diagnostically challenging initial manifestation of microscopic polyangiitis (MPA), often mimicking malignancy or infection. This case highlights the pivotal role of an innovative minimally invasive technique in achieving a definitive diagnosis. To the best of our knowledge, this is the first reported case of MPA diagnosed via EBUS-TMC. Case Presentation: A 55-year-old male livestock farmer from a rural area with a history of recurrent pneumonia presented with four weeks of persistent fever, significant weight loss (7 kg), myalgia, and asthenia. Physical examination revealed fever and cachexia. Notable findings included leukocytosis (17,000/μL), normocytic anemia, thrombocytosis (672,000/μL), highly elevated inflammatory markers (CRP 145 mg/L, ESR 120 mm/h), and strongly positive MPO-ANCA (>134 U/mL). Serological testing was significant for IgG antibodies against Coxiella burnetii (Phase I 1:64, Phase II 1:256). PET-CT imaging demonstrated hypermetabolic bilateral hilar and mediastinal lymphadenopathy. Diagnostic challenges included overlapping serological findings suggestive of past Coxiella burnetii exposure. Endobronchial ultrasound–guided transbronchial mediastinal cryobiopsy (EBUS-TMC) of a subcarinal lymph node was performed, providing a high-quality sample that revealed neutrophilic small-vessel vasculitis with fibrinoid necrosis, definitive for MPA. Immunosuppressive therapy with high-dose corticosteroids and rituximab (1000 mg on days 1 and 15) was initiated, leading to the complete resolution of all constitutional symptoms. Conclusions: This case illustrates that EBUS-TMC is a safe and highly effective diagnostic tool for obtaining critical histological evidence in systemic vasculitides with atypical presentations. This technique should be considered in the diagnostic algorithm for unexplained mediastinal lymphadenopathy to avoid more invasive surgical procedures. Full article
(This article belongs to the Special Issue Advances in Interventional Pulmonology)
Show Figures

Figure 1

20 pages, 403 KB  
Article
Consumers’ Product Perception and Product Knowledge Influence Purchase Intentions at Farmers’ Markets: Evidence from the West Istrian Coast
by Milan Oplanić, Josip Gugić, Mario Njavro, Tajana Čop and Ana Čehić Marić
Sustainability 2026, 18(1), 411; https://doi.org/10.3390/su18010411 - 1 Jan 2026
Viewed by 484
Abstract
Short food supply chains are an increasingly important topic within the academic community, as is research into the factors influencing consumers’ intention to buy at farmers’ markets. This study examines the influence of consumers’ product perception and product knowledge on purchase intention at [...] Read more.
Short food supply chains are an increasingly important topic within the academic community, as is research into the factors influencing consumers’ intention to buy at farmers’ markets. This study examines the influence of consumers’ product perception and product knowledge on purchase intention at farmers’ markets. Data were collected at farmers’ markets in Croatia. A total of 255 valid responses were analysed using exploratory factor analysis and hierarchical regression. Demographically, respondents were predominantly women aged 46–55 with higher education and middle-income levels (family annual income of EUR 20,000 to 40,000). Results indicate that both product perception and product knowledge significantly affect purchase intention at farmers’ markets. Consumers generally view farmers’ market products as superior in quality and value, and they place high trust in farmers’ expertise. The findings suggest that attributes such as freshness, safety, and authenticity, combined with product knowledge-sharing by farmers, strengthen consumer trust and increase their willingness to pay and to recommend these products to family and relatives. Full article
(This article belongs to the Special Issue Sustainability of Local Agri-Food Systems)
Show Figures

Figure 1

17 pages, 744 KB  
Article
Evaluation of the Effect of Pesticide Packaging Waste Recycling: From Economic and Ecological Perspectives
by Jiyao Liu, Yanglin Wu, Xiangjun Li, Xiangzhu Han and Jialin Wang
Sustainability 2026, 18(1), 390; https://doi.org/10.3390/su18010390 - 30 Dec 2025
Viewed by 271
Abstract
Evaluating the effect of recycling Pesticide Packaging Waste (PPW) is essential for improving recycling rates, which plays a crucial role in controlling environmental pollution and optimizing the efficiency of agricultural resources worldwide. Based on the micro-survey data of 1223 farmers in Yunnan and [...] Read more.
Evaluating the effect of recycling Pesticide Packaging Waste (PPW) is essential for improving recycling rates, which plays a crucial role in controlling environmental pollution and optimizing the efficiency of agricultural resources worldwide. Based on the micro-survey data of 1223 farmers in Yunnan and Hainan provinces of China, this study measures the economic effect by the farmers’ annual total household income and the ecological effect by the ecological environment quality of villages. The propensity score matching method (PSM) is employed to empirically test the economic and ecological effects of farmers’ recycling behavior of PPW and their differences. The research findings are as follows: Farmers’ recycling of PPW can generate significant positive economic and ecological effects, which are 116.7% and 4%, respectively. The heterogeneity analysis shows that farmers with a low degree of land fragmentation have a more obvious economic effect from PPW recycling, while farmers with a higher degree of land fragmentation have a more significant ecological effect; farmers with high pesticide costs have more significant economic and ecological effects from PPW recycling. Based on these findings, it is suggested to increase the attention at the policy level, enhance farmers’ environmental awareness and capacity, and focus on the characteristics of different groups. Full article
Show Figures

Figure 1

23 pages, 3751 KB  
Article
Quality Assessment of Farmer-Led Vermicompost Production in Semi-Arid Agroecosystems: Compliance with Global Standards
by Fevziye Şüheda Hepşen Türkay
Sustainability 2026, 18(1), 298; https://doi.org/10.3390/su18010298 - 27 Dec 2025
Viewed by 319
Abstract
This study evaluates the technical feasibility of decentralized vermicompost production by smallholder farmers within a structured rural development program. Conducted under the KOP-TEYAP initiative in Kırşehir Province, Türkiye, the research assesses whether farmers can consistently produce vermicompost that meets international quality standards following [...] Read more.
This study evaluates the technical feasibility of decentralized vermicompost production by smallholder farmers within a structured rural development program. Conducted under the KOP-TEYAP initiative in Kırşehir Province, Türkiye, the research assesses whether farmers can consistently produce vermicompost that meets international quality standards following a participatory training and infrastructure support model. Fourteen farmers, selected through a merit-based process from 232 trainees, were provided with standardized production units. The produced vermicompost was analyzed for critical chemical parameters (pH, EC, organic matter, C:N ratio, K, Cu, Zn) and biological indicators (basal CO2 respiration, microbial biomass carbon) and benchmarked against regulations from the EU, France, Germany, Austria, Canada, India, and Türkiye. Results indicated that the majority of farmer-produced samples successfully met the critical thresholds for chemical quality and safety. Furthermore, biological maturity was confirmed by low basal respiration levels and high microbial biomass across the samples. These findings demonstrate that structured farmer training combined with standardized low-cost infrastructure enables smallholders to reliably produce high-quality vermicompost, validating this model as an effective agroecological strategy for rural development. Full article
(This article belongs to the Section Sustainable Agriculture)
Show Figures

Figure 1

25 pages, 5648 KB  
Article
Proposal for Two-Stage Machine Learning-Based Algorithm for Dried Moringa Leaves Quality Classification
by Putu Sugiartawan, Nobuo Funabiki, I Nyoman Darma Kotama, Amma Liesvarastranta Haz, Komang Candra Brata and Ni Wayan Wardani
Appl. Sci. 2026, 16(1), 239; https://doi.org/10.3390/app16010239 - 25 Dec 2025
Viewed by 368
Abstract
Nowadays, dried Moringa leaves (M. oleifera) are increasingly in demand due to their health benefits. High-quality ones have shown remarkable positive effects as antioxidants, antidiabetics, and anti-inflammatory agents. However, in the industry, the quality classification process into six categories is performed [...] Read more.
Nowadays, dried Moringa leaves (M. oleifera) are increasingly in demand due to their health benefits. High-quality ones have shown remarkable positive effects as antioxidants, antidiabetics, and anti-inflammatory agents. However, in the industry, the quality classification process into six categories is performed manually by farmers, which is time-consuming and error-prone. Particularly, the two highest categories of Class A and Class B are hard to distinguish, since they are visually similar. In this paper, to automate the classification process, we introduce a new high-resolution dataset, extract color and texture features using the Gray-Level Co-occurrence Matrix (GLCM) method, and present a two-stage classification method using the Light Gradient Boosting Machine (LightGBM) algorithm with them. The experimental results show that the proposal improved classification accuracy from 82% by the baseline algorithm to 90% while maintaining high processing efficiency, demonstrating its potential for real-time and scalable industrial applications in dried Moringa leaves quality grading. Full article
(This article belongs to the Special Issue Latest Research on Computer Vision and Image Processing)
Show Figures

Figure 1

16 pages, 361 KB  
Article
The Differentiated Role of Government Support in Fostering Innovation: Evidence from Smallholder Aquaculture in China
by Zhong Xu and Peng Zhao
Fishes 2026, 11(1), 6; https://doi.org/10.3390/fishes11010006 - 22 Dec 2025
Viewed by 282
Abstract
The global aquaculture sector faces mounting pressure to transition towards sustainable production, with innovation being a critical lever for change, especially among smallholder farmers who dominate the industry. This study examines the drivers of innovation in China’s freshwater aquaculture sector by constructing a [...] Read more.
The global aquaculture sector faces mounting pressure to transition towards sustainable production, with innovation being a critical lever for change, especially among smallholder farmers who dominate the industry. This study examines the drivers of innovation in China’s freshwater aquaculture sector by constructing a multi-dimensional innovation index—encompassing infrastructure, machinery, inputs, environmental management, and production models—and analyzing survey data from 336 farmers. Our findings reveal that direct government funding is significantly associated with innovation, but its effect is narrow, primarily linked to machinery upgrades, and effective only in the developed eastern region. In contrast, indirect support through technical training shows a broader, stronger, and more consistent association with innovation across all types, with effects lagging by 1–2 years and yielding the highest returns in less-developed western China. Notably, farmers’ ex post evaluations of training are a stronger predictor of innovation than training frequency itself, underscoring the importance of quality and relevance. We further find that production scale and industrial organization are positively associated with innovation, with no evidence of an inverted U-shaped relationship, reflecting the sector’s small-scale structure. These results highlight the need for a differentiated policy approach: prioritizing high-quality, demand-driven training nationwide; targeting direct funding to where complementary capacities exist; and fostering cooperatives and scale-enhancing institutions to systematically strengthen the sector’s innovative capacity. Full article
(This article belongs to the Special Issue Advances in Fisheries Economics)
Show Figures

Figure 1

Back to TopTop