Sign in to use this feature.

Years

Between: -

Subjects

remove_circle_outline
remove_circle_outline
remove_circle_outline
remove_circle_outline
remove_circle_outline
remove_circle_outline
remove_circle_outline
remove_circle_outline
remove_circle_outline

Journals

remove_circle_outline
remove_circle_outline
remove_circle_outline
remove_circle_outline
remove_circle_outline
remove_circle_outline
remove_circle_outline
remove_circle_outline
remove_circle_outline
remove_circle_outline
remove_circle_outline
remove_circle_outline
remove_circle_outline
remove_circle_outline
remove_circle_outline

Article Types

Countries / Regions

remove_circle_outline
remove_circle_outline
remove_circle_outline
remove_circle_outline

Search Results (1,803)

Search Parameters:
Keywords = high-protein intake

Order results
Result details
Results per page
Select all
Export citation of selected articles as:
13 pages, 748 KB  
Article
Dietary Trends and Lifestyle Habits Among University Students: Analysis of Consumption Patterns and Nutritional Risks
by Alejandra Vázquez-Aguilar, Juan Manuel Ballesteros-Torres, Anayansi Escalante-Aburto, César Huerta-Canseco, Karla Lizbet Jiménez-López and Cindy Joanna Caballero-Prado
Nutrients 2026, 18(3), 532; https://doi.org/10.3390/nu18030532 - 5 Feb 2026
Abstract
Background/Objectives: The global prevalence of overweight and obesity among young adults has doubled since 1975, primarily due to unhealthy dietary habits and sedentary lifestyles. Understanding dietary patterns (DPs) in this population is essential for designing effective prevention strategies. This study aimed to [...] Read more.
Background/Objectives: The global prevalence of overweight and obesity among young adults has doubled since 1975, primarily due to unhealthy dietary habits and sedentary lifestyles. Understanding dietary patterns (DPs) in this population is essential for designing effective prevention strategies. This study aimed to characterize the dietary patterns and diet quality of university students and to examine their physical activity and associated health risks. Methods: A convenience sample of 136 participants (77.9% females, 22.1% males) was recruited. Data on clinical history, lifestyle behaviors, and physical activity were collected using a structured questionnaire. Dietary intake was assessed using a food frequency questionnaire and three 24-h dietary recalls. Intake was analyzed by food groups, total energy, and macronutrient and fiber composition. Principal component analysis was applied to identify DPs. Results: Three major DPs were identified: Ultra-Processed Foods, Variety Foods, and Traditional Mixed Mexican. Overall, participants showed low consumption of fiber, legumes, and nuts, coupled with high intake of animal-based foods. The mean daily energy intake was 2278 kcal for men and 2008 kcal for women. Although participants demonstrated higher adherence to the Traditional Mixed Mexican pattern, a strong tendency toward the Ultra-Processed Foods pattern was observed, which is linked to an increased risk of chronic diseases and poor nutritional outcomes. Conclusions: The findings highlight the urgent need for targeted dietary interventions among university students. Strategies should emphasize increased intake of fiber-rich plant foods, moderation of protein consumption, and reduction in refined carbohydrates and added sugars to promote healthier dietary habits and prevent chronic disease development. Full article
Show Figures

Figure 1

16 pages, 538 KB  
Review
Impact of Nutritional Diet Therapy on Rheumatoid Arthritis Disease Activity
by Elena Deseatnicova, Eugenia Covaliov, Olga Deseatnicova, Rodica Siminiuc, Elena Rezus and Liliana Groppa
Nutrients 2026, 18(3), 517; https://doi.org/10.3390/nu18030517 - 3 Feb 2026
Viewed by 54
Abstract
Rheumatoid arthritis (RA) is a chronic autoimmune disease characterized by synovial joint inflammation and different system involvement that results in considerable physical and psychological symptoms. This narrative review investigates the impacts of nutritional diet therapy on RA symptoms, highlighting recent scientific findings in [...] Read more.
Rheumatoid arthritis (RA) is a chronic autoimmune disease characterized by synovial joint inflammation and different system involvement that results in considerable physical and psychological symptoms. This narrative review investigates the impacts of nutritional diet therapy on RA symptoms, highlighting recent scientific findings in terms of how different dietary components may modulate inflammation and disease activity. Treatment of RA includes conventional and biological disease-modifying antirheumatic drugs (DMARDs) and symptomatic response modifiers, like corticosteroids and non-steroidal antirheumatic drugs (NSAIDS). However, nutritional interventions are becoming more and more popular due to their ability to alter inflammation. The review also focuses on macronutrients such as proteins and fats, stressing the usefulness of omega-3 fat acids/monounsaturated fat acids but warning against high intake of processed carbohydrates/sugars. Besides that, it explores the effects of micronutrients and bioactive compounds like polyphenols which may minimize RA symptoms and result in better disease control together with vitamin D or probiotics. This study highlights that incorporating anti-inflammatory foods can benefit the health and well-being of RA patients. Dietary modification may serve as a supportive approach alongside conventional treatments, helping patients improve both physical and mental aspects of their condition and achieve a better quality of life. Full article
Show Figures

Figure 1

18 pages, 621 KB  
Article
Nutritional Status and Dietary Intakes of a Community of Rural Women in Bárcena Villa Nueva, Guatemala: A Small-Scale Observational Study
by Sara Basilico, Angeliki Sofroniou, Maria Vittoria Conti, Paola Dieguez and Hellas Cena
Nutrients 2026, 18(3), 512; https://doi.org/10.3390/nu18030512 - 2 Feb 2026
Viewed by 99
Abstract
Background/Objectives: Rural communities in Guatemala face a growing double-burden of malnutrition. Women of reproductive age are a key population to address, as their health and nutritional status influence not only their own well-being but also that of their children and families. However, [...] Read more.
Background/Objectives: Rural communities in Guatemala face a growing double-burden of malnutrition. Women of reproductive age are a key population to address, as their health and nutritional status influence not only their own well-being but also that of their children and families. However, they often experience greater exposure to nutritional risks due to gendered inequalities in access to resources, education, and health care. This small-scale observational study aimed to describe the dietary habits and nutritional status of a sub-group of women living in a rural area of Bárcena Villa Nueva, Guatemala. Methods: An observational study was conducted between March and April 2025 among women aged ≥18 years from two rural communities. Dietary data were collected through structured interviews, 24 h dietary recall (24-hR), and a validated food frequency questionnaire (FFQ). Anthropometric and biochemical measurements were also collected. Results: A total of 22 women were included (mean age: 41.3 ± 16.3 years). The prevalence of obesity and central obesity was 45.5% and 86.0%, respectively. Quantitative dietary assessment based on the 24 h recall showed a mean energy intake approximately 35% higher than the recommended values, with a high contribution from fats and carbohydrates and an excessive sodium intake. In contrast, intakes of potassium, zinc, and folic acid were below the recommended levels. The qualitative analysis of the food frequency questionnaire indicated a dietary pattern characterized by high consumption of carbohydrates, animal-based protein sources, traditional energy-dense foods, and ultra-processed products, alongside a limited intake of vegetables and fruits. Datary diversity was low (4.9, SD: 1.1). Conclusions: This small-scale observational scale study provides a preliminary overview of dietary patterns and nutritional status among women living in a rural community in Guatemala. Although the findings are not generalizable, they suggest the coexistence of excessive energy intake, suboptimal micronutrient intake, and low dietary diversity. These results underscore the need for further research using larger and more representative samples and may help inform the development of context-specific nutrition education initiatives in similar underserved settings. Full article
(This article belongs to the Special Issue Women's Nutrition, Metabolism and Reproductive Health)
12 pages, 1372 KB  
Article
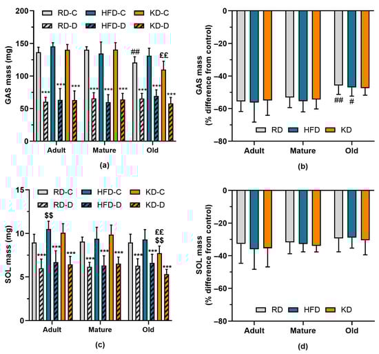
Effects of Aging in Combination with High-Fat or Ketogenic Diet on Skeletal Muscle Atrophy Following Denervation in C57BL/6J Mice
by Mantas Dirmontas, Petras Minderis and Aivaras Ratkevicius
Nutrients 2026, 18(3), 478; https://doi.org/10.3390/nu18030478 - 1 Feb 2026
Viewed by 96
Abstract
Objectives: The aim of this study was to investigate the effect of the interaction between aging and high-fat diet (HFD) or ketogenic diet (KD) on denervation-induced muscle atrophy. Methods: In this study, 6-, 19- and 27-month-old male mice were studied after 12 weeks’ [...] Read more.
Objectives: The aim of this study was to investigate the effect of the interaction between aging and high-fat diet (HFD) or ketogenic diet (KD) on denervation-induced muscle atrophy. Methods: In this study, 6-, 19- and 27-month-old male mice were studied after 12 weeks’ exposure to a regular chow diet, RD (kcal distribution: 13% fat, 57% carbohydrate, 30% protein), HFD (kcal distribution: 60% fat, 20% carbohydrates, 20% protein), or KD (kcal distribution: 80% fat, <1% carbohydrates, 20% protein). Gastrocnemius (GAS) and soleus (SOL) muscles were left denervated during the last 6 weeks of this 12-week dietary intervention (n = 10 for each group). Results: Denervation-induced atrophy was greater (p < 0.001) in GAS compared to SOL. There were no differences between type 1 and type 2 muscle fiber atrophy in adult SOL muscle. Muscle atrophy did not depend on the diet and was greater in adult than old mice. Both HFD and KD feeding reduced IGF-1 levels (p < 0.01) in GAS muscle compared with the RD independently of age. Myostatin levels in GAS muscle increased (p < 0.01) with age independently of the diets. Conclusions: Denervation-induced muscle atrophy does not depend on dietary fat intake and proceeds at a slower rate in old mice compared to adult mice. Full article
Show Figures

Figure 1

11 pages, 519 KB  
Article
Evaluation of the Immunocrit Technique as an On-Farm Method to Evaluate Immune Passive Transfer in Katahdin-Easycare Crossbreed Lambs
by Hunter G. Perez, Alyssa Lancaster, Andrew Byron, Tayla Lubinsky, Sunday O. Peters, Amy N. Abrams and Aridany Suarez-Trujillo
Ruminants 2026, 6(1), 10; https://doi.org/10.3390/ruminants6010010 - 31 Jan 2026
Viewed by 129
Abstract
Small ruminants, such as newborn lambs, rely on timely colostrum intake to acquire passive immunity through the absorption of immunoglobulin (Ig). Evaluating Ig transfer is important for ensuring lamb health and survival. However, current methods such as enzyme-linked immunosorbent assay (ELISA) and radial [...] Read more.
Small ruminants, such as newborn lambs, rely on timely colostrum intake to acquire passive immunity through the absorption of immunoglobulin (Ig). Evaluating Ig transfer is important for ensuring lamb health and survival. However, current methods such as enzyme-linked immunosorbent assay (ELISA) and radial immunodiffusion (RID) are widely used but remain costly and require specialized facilities. The immunocrit assay has been proposed as a lower-cost alternative for evaluating serum Ig concentrations. This study aimed to evaluate the immunocrit method in lambs by comparing it with ELISA, RID, and total serum protein. Serum was collected from 135 Katahdin-Easycare lambs 24–36 h after birth. Samples were analyzed using sheep immunoglobulin G ELISA, Sheep immunoglobulin G RID, serum protein, and the immunocrit method. Pearson’s correlation was used to assess linear relationships between the methods, and Receiver Operating Characteristics (ROC) analysis was used to evaluate test accuracy, with RID as the gold standard (15 mg/mL cutoff). The immunocrit showed a high correlation with RID (r = 0.870), moderate correlation with serum protein (r = 0.725), and good correlation with ELISA (r = 0.607). The ROC analysis showed that the immunocrit had a sensitivity of 100% at a cutoff of 4.34%. These results indicate that the immunocrit method provides comparable accuracy to RID and serum protein, and could serve as a reliable, practical, and inexpensive tool for on-farm evaluation of passive transfer in Katahdin-Easycare crossbred lambs between 24 and 36 h after birth. Full article
Show Figures

Graphical abstract

11 pages, 976 KB  
Article
Association Between Self-Reported Dietary Intake Questionnaires and Objective Measures in an Inpatient Cross-Sectional Study
by Mary Thompson, Emma J. Stinson, Tomás Cabeza de Baca, Jonathan Krakoff and Susanne Votruba
Nutrients 2026, 18(3), 468; https://doi.org/10.3390/nu18030468 - 31 Jan 2026
Viewed by 98
Abstract
Background/Objectives: Measuring dietary intake through self-reported questionnaires can be inaccurate and influenced by sex, eating behavior, and the environment. Here, we compare self-report dietary intake questionnaire responses to objectively measured ad libitum dietary intake in a large, diverse population, and assess differences [...] Read more.
Background/Objectives: Measuring dietary intake through self-reported questionnaires can be inaccurate and influenced by sex, eating behavior, and the environment. Here, we compare self-report dietary intake questionnaire responses to objectively measured ad libitum dietary intake in a large, diverse population, and assess differences by sex and food-group composition. Methods: In our inpatient study, from 1999 to 2023, (n = 279) participants completed three different questionnaires assessing different aspects of food intake. Each questionnaire contained the same 77 food items belonging to one of six groups. Groups were either high-fat (HF) or low-fat (LF), then high complex carbohydrate (HCC), high protein (HP), or high simple sugar (HSS). Intake was measured based on the average percent group (PctGrp) intake over three days of ad libitum intake. General linear models, adjusted for relevant covariates and a PctGrp by sex interaction, assessed the relationship between PctGrp intake and questionnaire scores. Results: We found a weak positive correlation between PctGrp intake and food rating (all r ≤ 0.25). There was an interaction between LF/HP and LF/HCC with sex (significant slopes in males only, p = 0.0078, p ≤ 0.0001, respectively). Conclusions: This large study demonstrated little association between self-report dietary questionnaires and intake, especially in females with regards to low-fat foods. Full article
(This article belongs to the Section Nutrition Methodology & Assessment)
Show Figures

Figure 1

14 pages, 341 KB  
Article
Nutrient Clusters Associated with the Dietary Inflammatory Index in Patients with Diabetes and Prediabetes: A Prospective Observational Study
by Jiwon Park and Myoung Soo Kim
Nutrients 2026, 18(3), 422; https://doi.org/10.3390/nu18030422 - 27 Jan 2026
Viewed by 171
Abstract
Background/Objectives: The dietary inflammatory index (DII) has been widely used to examine dietary inflammation in chronic diseases; however, the relative contribution of individual nutrients to the total DII score remains unclear. Identifying nutrient clusters that strongly influence the energy-adjusted DII (E-DII) in [...] Read more.
Background/Objectives: The dietary inflammatory index (DII) has been widely used to examine dietary inflammation in chronic diseases; however, the relative contribution of individual nutrients to the total DII score remains unclear. Identifying nutrient clusters that strongly influence the energy-adjusted DII (E-DII) in patients with diabetes and prediabetes may provide practical guidance for dietary counselling and intervention. This study aimed to identify nutrient clusters based on dietary intake and examine their association with the E-DII in patients with diabetes and prediabetes. Methods: In total, 408 dietary records of 17 patients were analysed. The E-DII was calculated from the reported dietary intake using photographs. Exploratory factor analysis was used to derive nutrient clusters, and ordinary logistic regression analysis was applied to examine their association with the E-DII tertiles. Results: Five nutrient clusters (antioxidant-mineral, protein-B complex, fatty acids, plant-lipids, and immune-modulating micronutrients) were extracted, explaining 69.3% of the total variance. Ordinary logistic regression showed that antioxidant-mineral, fatty acids, and immune-modulating micronutrients predicted classification between low, intermediate, and high E-DII groups. Conclusions: Antioxidant-mineral, fatty acids, and immune-modulating micronutrients were associated with a lower probability of belonging to the pro-inflammatory group. The identification of these clusters highlighted specific nutrient combinations that may protect against diet-induced inflammation. These results provided clinically relevant evidence that nutritional strategies emphasising fruits, vegetables, healthy fats, and balanced protein sources may contribute to lowering dietary inflammatory potential and improving metabolic health in patients with diabetes and prediabetes. Full article
(This article belongs to the Section Clinical Nutrition)
Show Figures

Figure 1

18 pages, 555 KB  
Article
Formulation and Nutritional Evaluation of Instant Vegan Mushroom (Pleurotus ostreatus) Soup Powder Enriched with Moringa (Moringa oleifera), Mung Bean (Vigna radiata), and Pumpkin (Cucurbita maxima)
by Chamodi Pamalka, Melani Raymond, Nadeera Gayan, Iain A. Brownlee and Geethika Savindhi Gammeddegoda Liyanage
Foods 2026, 15(3), 445; https://doi.org/10.3390/foods15030445 - 26 Jan 2026
Viewed by 349
Abstract
Although plant-based convenience foods have gained significant market share, many are high in fat, salt, and sugar while low in nutrients. The current study aimed to develop a vegan oyster mushroom soup powder enriched with moringa, mung bean, and pumpkin. These ingredients were [...] Read more.
Although plant-based convenience foods have gained significant market share, many are high in fat, salt, and sugar while low in nutrients. The current study aimed to develop a vegan oyster mushroom soup powder enriched with moringa, mung bean, and pumpkin. These ingredients were chosen for their high nutritional value and availability. Four soup formulas, each containing varying amounts of moringa (0%, 1%, 2%, and 3%), were prepared, and a sensory evaluation, proximate analysis, and total aerobic plate count were carried out. The 1% moringa formulation showed the highest consumer acceptance. In this formula, moisture, ash, protein, fat, fiber, carbohydrate, and energy content were reported as 13.6%, 7.6%, 16.3%, 2.2%, 9.8%, 50.5%, and 287 kcal/100 g, respectively. The novel powdered soup product had higher amounts of phenolic compounds, total antioxidants, and iron compared to local, commercially available equivalents. Total aerobic plate counts remained below 105 CFU/g; a common acceptability limit for dried soups, throughout the 4-month storage study under ambient conditions. Overall, the developed soup powder demonstrated superior nutritional quality and could support consumers in meeting their daily nutrient requirements. With further refinement, particularly by optimizing the drying process to better retain heat-sensitive nutrients, this product shows potential as an affordable and nutritious option to address inadequate protein intake and iron deficiency in Sri Lanka. Full article
(This article belongs to the Special Issue Edible Mushroom: Nutritional Properties and Its Utilization in Foods)
Show Figures

Figure 1

19 pages, 1494 KB  
Review
The Ketogenic Diet in Type 2 Diabetes and Obesity: A Narrative Review of Clinical Evidence
by Julia Kilian, Dominika Szlęzak, Malgorzata Tyszka-Czochara, Elżbieta Filipowicz-Popielarska and Patrycja Bronowicka-Adamska
Nutrients 2026, 18(3), 397; https://doi.org/10.3390/nu18030397 - 25 Jan 2026
Viewed by 717
Abstract
Type 2 diabetes mellitus (T2DM) and obesity represent a growing global public health challenge, strongly associated with excess body weight, unhealthy dietary habits, and a sedentary lifestyle. The ketogenic diet (KD), characterized by very low carbohydrate intake, moderate protein intake, and high fat [...] Read more.
Type 2 diabetes mellitus (T2DM) and obesity represent a growing global public health challenge, strongly associated with excess body weight, unhealthy dietary habits, and a sedentary lifestyle. The ketogenic diet (KD), characterized by very low carbohydrate intake, moderate protein intake, and high fat consumption, induces a metabolic state known as ketosis, in which the body switches from glucose to fat as its primary energy source. KD has gained increasing interest as a strategy to improve glycemic control, reduce body weight, and improve lipid profiles in individuals with obesity and T2DM. The purpose of this narrative review is to summarize the current scientific evidence on the effects of KD on key metabolic parameters, including blood glucose levels, glycated hemoglobin (HbA1c), body weight, and body composition. The analysis is based on peer-reviewed articles retrieved from PubMed, Embase, and Scopus with particular emphasis on clinical studies that provide robust evidence on the efficacy and safety of KD in the treatment of metabolic disorders. Full article
(This article belongs to the Special Issue Endocrine Disturbances and Nutritional Therapies)
Show Figures

Figure 1

18 pages, 1766 KB  
Review
Nutritional and Metabolic Interventions to Prevent and Treat Protein–Energy Wasting in Nondialysis CKD—Narrative Review
by Patrícia Kleinová, Blichová Tímea, Vnučák Matej, Karol Graňák, Kollár Andrej, Ševčíková Katarína and Ivana Dedinská
Nutrients 2026, 18(3), 390; https://doi.org/10.3390/nu18030390 - 24 Jan 2026
Viewed by 253
Abstract
Background: Protein–energy wasting (PEW) is a major predictor of morbidity and mortality in patients with chronic kidney disease (CKD), even before the initiation of dialysis. Its multifactorial pathogenesis includes reduced dietary intake, chronic inflammation, metabolic acidosis, hormonal disturbances, and dysbiosis of the gut [...] Read more.
Background: Protein–energy wasting (PEW) is a major predictor of morbidity and mortality in patients with chronic kidney disease (CKD), even before the initiation of dialysis. Its multifactorial pathogenesis includes reduced dietary intake, chronic inflammation, metabolic acidosis, hormonal disturbances, and dysbiosis of the gut microbiota. Early recognition and targeted management are crucial for preventing muscle loss, functional decline, and adverse outcomes. Methods: This narrative review summarises and integrates current evidence from the literature on nutritional and metabolic interventions to prevent and treat protein–energy wasting in patients with nondialysis chronic kidney disease. Relevant clinical trials, meta-analyses, and experimental studies published up to date were evaluated, focusing on dietary strategies, metabolic modulation, physical exercise, and gut microbiome-targeted therapies. Results: Adequate energy and protein intake remain the cornerstone of PEW management, based on available clinical and observational evidence. Individualised diets emphasising high-quality and plant-based proteins, oral nutritional supplements, and ketoanalogues can attenuate muscle wasting. Correction of metabolic acidosis and inflammation enhances protein anabolism and nitrogen balance. Physical exercise acts synergistically with dietary interventions to preserve muscle mass and function. Novel approaches—such as modulating the gut–kidney axis with pre-, pro-, and postbiotics or supplementing with short-chain fatty acids—show promise in improving metabolic and inflammatory profiles. Conclusions: The management of PEW in nondialysis CKD requires a personalised approach that integrates nutrition, physical activity, metabolic correction and microbiome modulation. Early, coordinated intervention may help to slow the progression of CKD and improve patient survival and quality of life. Full article
Show Figures

Figure 1

18 pages, 785 KB  
Article
Effect of Water Extract of Artemisia annua L. on Growth Performance, Blood Biochemical Parameters and Intestinal-Related Indices in Mutton Sheep
by Gen Gang, Ruiheng Gao, Manman Tong, Shangxiong Zhang, Shiwei Guo, Xiao Jin, Yuanyuan Xing, Sumei Yan, Yuanqing Xu and Binlin Shi
Animals 2026, 16(2), 340; https://doi.org/10.3390/ani16020340 - 22 Jan 2026
Viewed by 123
Abstract
Objective: This experiment aimed to explore the effects of water extract of Artemisia annua L. (WEAA) on growth performance, blood parameters, and intestinal-related indices in mutton sheep, so as to evaluate its potential as a natural growth promoter. Methods: The experiment was conducted [...] Read more.
Objective: This experiment aimed to explore the effects of water extract of Artemisia annua L. (WEAA) on growth performance, blood parameters, and intestinal-related indices in mutton sheep, so as to evaluate its potential as a natural growth promoter. Methods: The experiment was conducted using a completely randomized design. Thirty-two 3-month-old Dorper × Han mutton sheep were randomly assigned to 4 groups (n = 8). The control group was fed only the basal diet, while the other groups were fed the basal diet supplemented with, respectively, 500, 1000, and 1500 mg/kg WEAA. The adaptation period lasted 15 days, followed by a 60-day experimental period. Results: Results showed that dietary supplementation of WEAA significantly reduced average daily feed intake (ADFI) and feed-to-gain ratio (F:G) of mutton sheep, significantly improved the apparent digestibility of crude protein (CP) and phosphorus (P), and optimized blood biochemical indices, such as significantly increasing the concentrations of total protein (TP), albumin (ALB), high-density lipoprotein cholesterol (HDL-C), and glucose (GLU), while significantly decreasing blood urea nitrogen (BUN) level (p < 0.05). Additionally, WEAA significantly improved intestinal morphology by reducing the crypt depth (CD) of the duodenum, jejunum, and ileum, increasing jejunal villus height (VH), and elevating the villus-to-crypt ratio (VH/CD) across intestinal segments (p < 0.05). It also significantly enhanced the activity of intestinal digestive enzymes, including α-amylase and trypsin in the duodenum, lipase and chymotrypsin in the jejunum, and α-amylase and chymotrypsin in the ileum, with the 500 mg/kg and 1000 mg/kg WEAA groups reaching better activity (p < 0.05). Furthermore, WEAA supplementation significantly increased the counts of beneficial bacteria (Bifidobacteria and Lactobacilli) and decreased the count of harmful bacteria (Escherichia coli) in rectal fecal samples (p < 0.05). Notably, most of these beneficial effects were dosage-dependent, with overall optimal performance observed in the 1000 mg/kg WEAA group. Conclusion: In conclusion, supplementing the diet with 1000 mg/kg WEAA exerted significant positive effects on the feed efficiency, nutrient digestibility, and intestinal health status of mutton sheep. Full article
(This article belongs to the Section Small Ruminants)
Show Figures

Figure 1

18 pages, 7789 KB  
Article
Dose-Dependent Responses of Weaned Piglets to Multi-Species Solid-State Fermented Apple Pomace: Enhanced Growth Performance, Intestinal Health, and Gut Microbiota Modulation
by Jiongjie He and Shengyi Wang
Animals 2026, 16(2), 334; https://doi.org/10.3390/ani16020334 - 21 Jan 2026
Viewed by 132
Abstract
Background/Objectives: Apple pomace, a major by-product of juice production, represents both an environmental burden and an underutilized resource. This study aimed to enhance the nutritional value of apple pomace via solid-state fermentation (SSF) to develop a functional feed ingredient and systematically evaluate its [...] Read more.
Background/Objectives: Apple pomace, a major by-product of juice production, represents both an environmental burden and an underutilized resource. This study aimed to enhance the nutritional value of apple pomace via solid-state fermentation (SSF) to develop a functional feed ingredient and systematically evaluate its effects on growth, metabolism, and intestinal health in weaned piglets. Methods: Apple pomace was fermented using a multi-species consortium (Geotrichum candidum, Saccharomyces cerevisiae, Rhizopus oryzae, Bacillus subtilis, and Trichoderma viride). A total of 180 weaned piglets were fed iso-nitrogenous diets containing 0, 2, 4, 6, 8, or 10% fermented apple pomace for 35 days. Growth performance, serum biochemical and immuno-antioxidant indices, diarrhea incidence, jejunal morphology, and fecal microbiota were analyzed. Results: Dietary fermented apple pomace supplementation showed dose-dependent effects. The 8% fermented apple pomace group exhibited optimal growth performance, with increased average daily gain and feed intake and reduced feed-to-gain ratio (p < 0.05). Serum analysis indicated enhanced protein synthesis, antioxidant capacity (T-AOC, SOD, GSH-Px), and immunoglobulin levels (IgA, IgG, IgM), along with reduced urea nitrogen and oxidative stress marker MDA. This group also had the lowest diarrhea rate, associated with improved jejunal villus morphology. Microbiota analysis revealed that 8% fermented apple pomace effectively increased α-diversity, promoted beneficial bacteria (e.g., lactic acid bacteria and butyrate-producing Clostridium sensu stricto_1), and suppressed pathogens (Escherichia coli, Salmonella, Streptococcus). Conclusions: Multi-species SSF successively enhanced the nutritional profile of apple pomace. Inclusion at 8% showed the most favorable response in terms of growth performance, metabolic profile, and immune–antioxidant status in weaned piglets, mediated through improved intestinal morphology and targeted modulation of the gut microbiota toward a more diverse and beneficial ecosystem. These findings support the high-value, functional utilization of apple pomace as a feed additive in swine nutrition. Full article
Show Figures

Figure 1

20 pages, 3667 KB  
Article
Effects of Water-Delivered Probiotics on Performance, Carcass Traits, Immunity, Blood Biochemistry, and Ileal Morphology of Broilers Reared at High Stocking Density Under Warm Ambient Temperature
by Ibrahim Al-Homidan, Abdulla Alsuqayhi, Osama Abou-Emera, Zarroug Ibrahim and Moataz Fathi
Animals 2026, 16(2), 328; https://doi.org/10.3390/ani16020328 - 21 Jan 2026
Viewed by 136
Abstract
This study investigated the effects of dietary probiotic supplementation and stocking density on the growth performance, carcass traits, immunity, blood biochemical parameters, and ileal histomorphology of broiler chickens. A total of five hundred ten 1-day-old unsexed broiler chicks (Cobb 39) were allocated to [...] Read more.
This study investigated the effects of dietary probiotic supplementation and stocking density on the growth performance, carcass traits, immunity, blood biochemical parameters, and ileal histomorphology of broiler chickens. A total of five hundred ten 1-day-old unsexed broiler chicks (Cobb 39) were allocated to three probiotic levels (0%, 0.1%, 0.2%) and two stocking densities (low vs. high). Results indicated that stocking density significantly influenced body weight from the third week onward, with birds reared under low density showing higher weight and better feed-to-gain ratio. Probiotic supplementation did not significantly affect weekly body weight, feed intake, or mortality, although mortality tended to be lower in probiotic-fed groups. Carcass traits and lymphoid organ indices were largely unaffected by treatments, except for a higher heart percentage in low-density birds. Cell-mediated immunity was enhanced under low stocking density, and probiotic supplementation at 0.2% increased the immune response at 48 h post-challenge. Blood biochemical analysis revealed significant effects of stocking density on total protein, globulin, and triglycerides, while probiotics reduced total lipid and LDL levels. Ileal histomorphology was significantly improved by probiotics, with increased villus height, crypt depth, and villus-to-crypt ratio. Similarly, low stocking density further enhanced these parameters. Overall, probiotic supplementation, particularly at 0.1%, combined with low stocking density, positively influenced gut morphology and immune responses, contributing to improved broiler health and performance. Full article
(This article belongs to the Collection Application of Antibiotic Alternatives in the Poultry Industry)
Show Figures

Figure 1

26 pages, 4478 KB  
Article
Integration of Serum and Liver Metabolomics with Antioxidant Biomarkers Elucidates Dietary Energy Modulation of the Fatty Acid Profile in Donkey Meat
by Li Li, Yanli Zhao, Yongmei Guo, Binlin Shi, Jing Zhang, Fanzhu Meng, Fang Hui, Qingyue Zhang, Xiaoyu Guo and Sumei Yan
Antioxidants 2026, 15(1), 140; https://doi.org/10.3390/antiox15010140 - 21 Jan 2026
Viewed by 189
Abstract
Donkey meat is valued for its high protein, unsaturated fats, and low cholesterol. Fatty acid (FA) composition critically influences meat quality and is modulated by dietary energy levels. Twenty-four meat donkeys (male) were randomly divided into three groups: a low-energy group (LEG), a [...] Read more.
Donkey meat is valued for its high protein, unsaturated fats, and low cholesterol. Fatty acid (FA) composition critically influences meat quality and is modulated by dietary energy levels. Twenty-four meat donkeys (male) were randomly divided into three groups: a low-energy group (LEG), a medium-energy group (MEG), and a high-energy group (HEG). The trial lasted for 135 days, with dietary digestible energy levels adjusted during the pre-fattening, mid-fattening, and late-fattening phases according to the experimental design. The results showed that MEG and HEG interventions significantly upregulated tissue polyunsaturated fatty acid (PUFA) and n-3 PUFA content while reducing n-6/n-3 ratios, concomitant with enhanced activity and gene expression of most lipid-metabolizing enzymes. Notably, MEG further elevated antioxidant enzyme activities and anti-inflammatory mediators while suppressing pro-inflammatory factors. MEG and HEG significantly upregulated serum cholestane-3,7,12,25-tetrol-3-glucuronide and cortisol, along with hepatic choline, lysoPC(20:2(11Z,14Z)), glycocholic acid, and cholestane-3,7,12,25-tetrol-3-glucuronide. These modified metabolites were predominantly enriched in key metabolic pathways: pentose and glucuronate interconversions, primary bile acid biosynthesis, steroid hormone biosynthesis, glycerophospholipid metabolism, purine metabolism, and glutathione metabolism. Additionally, compared to HEG, MEG improved the antioxidant activities and immune signaling molecule levels with elevated pyroglutamic acid, glutathione, choline, inosine, adenine, and uric acid. Thus, moderately elevated dietary energy levels may enhance FA profiles in muscular and adipose tissues through coordinated regulation of lipid-metabolizing enzymes and associated gene expression, with serum and hepatic metabolites actively participating in these regulatory pathways. However, excessive energy intake could induce oxidative stress in donkeys. Full article
Show Figures

Figure 1

18 pages, 1727 KB  
Review
Recent Update Targeting Autophagy-Apoptosis Crosstalk Using Bioactive Natural Products for Ovarian Cancer Treatment
by Abdel Halim Harrath, Maroua Jalouli, Mohammed Al-Zharani and Md Ataur Rahman
Biomedicines 2026, 14(1), 212; https://doi.org/10.3390/biomedicines14010212 - 19 Jan 2026
Viewed by 281
Abstract
Ovarian cancer remains a top mortality contributor within gynecological cancers because patients receive diagnoses late in the disease course and conventional treatment resistance along with high recurrence rates cause poor outcomes. Aberrant regulation of autophagy and apoptosis has a critical role in the [...] Read more.
Ovarian cancer remains a top mortality contributor within gynecological cancers because patients receive diagnoses late in the disease course and conventional treatment resistance along with high recurrence rates cause poor outcomes. Aberrant regulation of autophagy and apoptosis has a critical role in the development, progression, chemoresistance, and immune escape from ovarian cancer. Recent evidence has demonstrated a complicated and dynamic crosstalk between autophagy and apoptosis, during which autophagy can act as a cytoprotective or cell death-promoting process depending on tumor stage and therapeutic context. In parallel, apoptosis functions as a tightly regulated form of programmed cell death that is essential for eliminating damaged or malignant cells and serves as a major tumor-suppressive mechanism in ovarian cancer. The PI3K/AKT/mTOR signaling pathway is the most active and clinically relevant pathway in the management of ovarian cancer as a master regulator of both autophagy and apoptosis, suppressing apoptotic cell death while promoting cytoprotective autophagy under chemotherapeutic stress. Bioactive natural products derived from plants, marine sources, and dietary intake have emerged as potential modulators of the autophagy-apoptosis crosstalk. Curcumin, resveratrol, quercetin, berberine, and epigallocatechin gallate are known to have the ability to restore apoptotic signaling, block pro-survival autophagy, and sensitize ovarian cancer cells to chemotherapy through the regulation of key pathways including PI3K/AKT/mTOR, AMPK, MAPK, p53, and Bcl-2 family proteins. In this review, we provide an updated understanding of the molecular mechanisms through which bioactive natural products modulate autophagy–apoptosis crosstalk in ovarian cancer. We also highlight the translational challenges, therapeutic potential, and future directions for the integration of natural product-based strategies in precision medicine for ovarian cancer. Full article
(This article belongs to the Special Issue Autophagy, Apoptosis and Cancer: 2025 Update)
Show Figures

Figure 1

Back to TopTop