Effects of Aging in Combination with High-Fat or Ketogenic Diet on Skeletal Muscle Atrophy Following Denervation in C57BL/6J Mice
Abstract
1. Introduction
2. Materials and Methods
2.1. Animals and Diets
2.2. Muscle Denervation
2.3. Metabolic Measurements and Tissue Sampling
2.4. Muscle Analysis
2.5. Muscle Fiber Properties
2.6. Statistical Analysis
3. Results
3.1. Body Mass
3.2. Glucose Tolerance
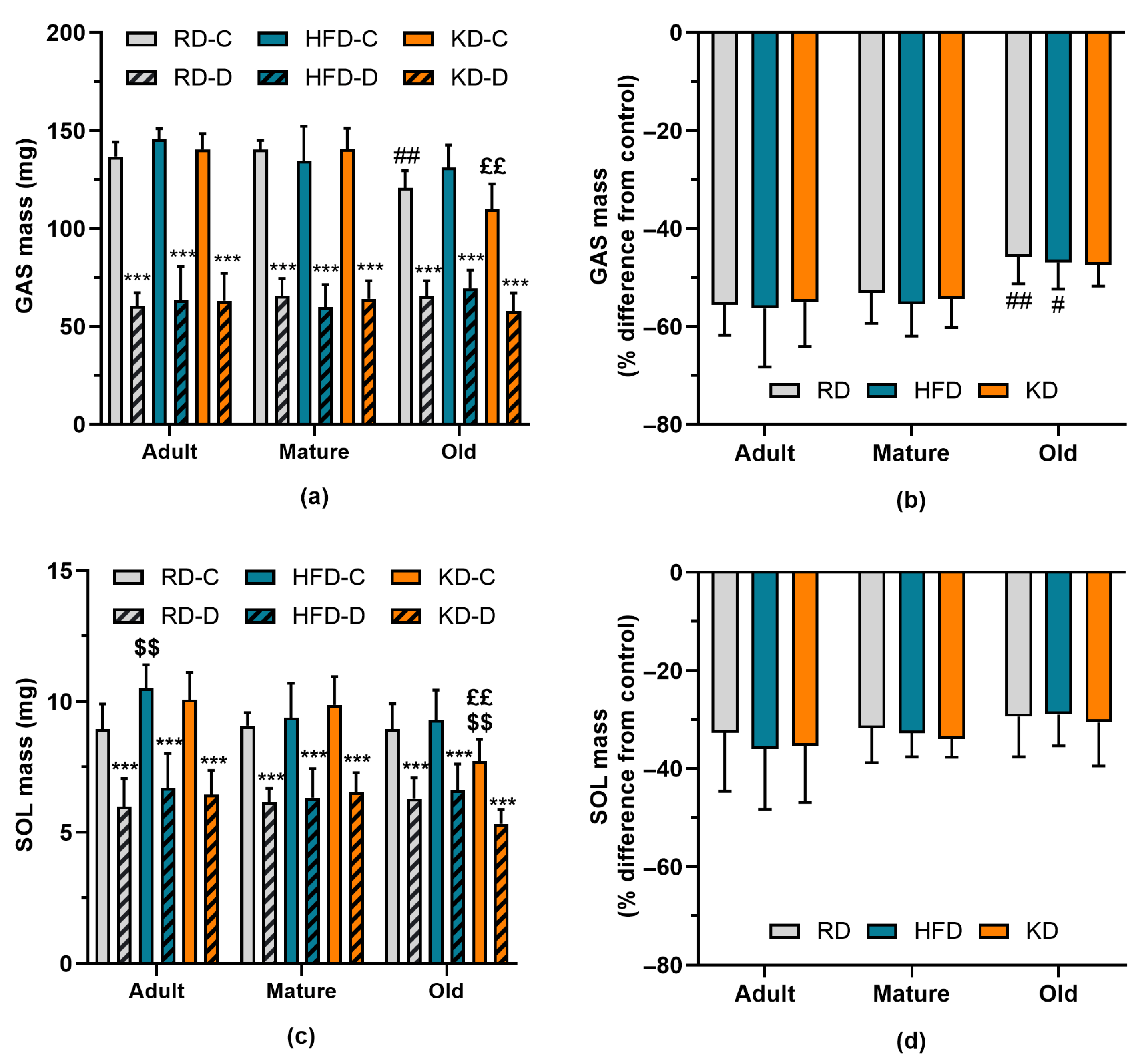
3.3. Gastrocnemius and Soleus Mass
3.4. Cross-Sectional Areas of Type 1 and 2 Muscle Fibers
3.5. Muscle Atrophy Versus Glucose Tolerance
3.6. IGF-1 and Myostatin Levels in Gastrocnemius Muscle
4. Discussion
5. Conclusions
Author Contributions
Funding
Institutional Review Board Statement
Informed Consent Statement
Data Availability Statement
Acknowledgments
Conflicts of Interest
Abbreviations
| RD | Regular diet |
| HFD | High-fat diet |
| KD | Ketogenic diet |
| GAS | Gastrocnemius muscle |
| SOL | Soleus muscle |
| ALS | Amyotrophic lateral sclerosis |
| NMJ | Neuromuscular junction |
| EDL | Extensor digitorum longus muscle |
| PL | Plantaris muscle |
| CSA | Cross-sectional area |
| BM | Body mass |
| AUC | Area under the curve |
| C | Control |
| D | Denervated |
References
- Menorca, R.M.G.; Fussell, T.S.; Elfar, J.C. Nerve physiology. Hand Clin. 2013, 29, 317–330. [Google Scholar] [CrossRef]
- Rumora, A.E.; Guo, K.; Hinder, L.M.; O’Brien, P.D.; Hayes, J.M.; Hur, J.; Feldman, E.L. A High-Fat diet disrupts nerve lipids and mitochondrial function in murine models of neuropathy. Front. Physiol. 2022, 13, 921942. [Google Scholar] [CrossRef]
- Lauritzen, H.P.; Ploug, T.; Ai, H.; Donsmark, M.; Prats, C.; Galbo, H. Denervation and high-fat diet reduce insulin signaling in T-tubules in skeletal muscle of living mice. Diabetes 2008, 57, 13–23. [Google Scholar] [CrossRef][Green Version]
- Gimenez-Donoso, C.; Bosque, M.; Vila, A.; Vilalta, G.; Santafe, M.M. Effects of a Fat-Rich Diet on the Spontaneous Release of Acetylcholine in the Neuromuscular Junction of Mice. Nutrients 2020, 12, 3216. [Google Scholar] [CrossRef]
- Roseno, S.L.; Davis, P.R.; Bollinger, L.M.; Powell, J.J.S.; Witczak, C.A.; Brault, J.J. Short-term, high-fat diet accelerates disuse atrophy and protein degradation in a muscle-specific manner in mice. Nutr. Metab. 2015, 12, 39. [Google Scholar] [CrossRef]
- Liśkiewicz, A.; Właszczuk, A.; Gendosz, D.; Larysz-Brysz, M.; Kapustka, B.; Łączyński, M.; Lewin-Kowalik, J.; Jędrzejowska-Szypułka, H. Sciatic nerve regeneration in rats subjected to ketogenic diet. Nutr. Neurosci. 2014, 19, 116–124. [Google Scholar] [CrossRef]
- Li, J.; Liu, Y.; Liu, H.; Chen, L.; Li, R. Ketogenic Diet Potentiates Electrical Stimulation–Induced Peripheral Nerve Regeneration after Sciatic Nerve Crush Injury in Rats. Mol. Nutr. Food Res. 2020, 64, e1900535. [Google Scholar] [CrossRef]
- Chen, J.; Li, Z.; Zhang, Y.; Zhang, X.; Zhang, S.; Liu, Z.; Yuan, H.; Pang, X.; Liu, Y.; Tao, W.; et al. Mechanism of reduced muscle atrophy via ketone body (D)-3-hydroxybutyrate. Cell Biosci. 2022, 12, 94. [Google Scholar] [CrossRef] [PubMed]
- Brownlow, M.L.; Benner, L.; D’Agostino, D.; Gordon, M.N.; Morgan, D. Ketogenic diet improves motor performance but not cognition in two mouse models of Alzheimer’s pathology. PLoS ONE 2013, 8, e75713. [Google Scholar] [CrossRef] [PubMed]
- Kougias, D.G.; Das, T.; Perez, A.B.; Pereira, S.L. A role for nutritional intervention in addressing the aging neuromuscular junction. Nutr. Res. 2018, 53, 1–14. [Google Scholar] [CrossRef] [PubMed]
- Adamo, M.L.; Farrar, R.P. Resistance training, and IGF involvement in the maintenance of muscle mass during the aging process. Ageing Res. Rev. 2006, 5, 310–331. [Google Scholar] [CrossRef]
- Ratkevicius, A.; Joyson, A.; Selmer, I.; Dhanani, T.; Grierson, C.; Tommasi, A.M.; DeVries, A.; Rauchhaus, P.; Crowther, D.; Alesci, S.; et al. Serum concentrations of myostatin and Myostatin-Interacting proteins do not differ between young and sarcopenic elderly men. J. Gerontol. Ser. A 2011, 66A, 620–626. [Google Scholar] [CrossRef] [PubMed]
- Martín, A.I.; Moreno-Rupérez, Á.; Nebot, E.; Granado, M.; Jaque, D.; Nieto-Bona, M.P.; López-Calderón, A.; Priego, T. Time-Dependent Changes in Muscle IGF1-IGFBP5-PAPP System after Sciatic Denervation. Int. J. Mol. Sci. 2023, 24, 14112. [Google Scholar] [CrossRef] [PubMed]
- McPherron, A.C.; Lawler, A.M.; Lee, S.-J. Regulation of skeletal muscle mass in mice by a new TGF-p superfamily member. Nature 1997, 387, 83–90. [Google Scholar] [CrossRef]
- Wackerhage, H.; Ratkevicius, A. Signal transduction pathways that regulate muscle growth. Essays Biochem. 2008, 44, 99–108. [Google Scholar] [CrossRef]
- Ferretti, R.; Moura, E.G.; Santos, V.C.D.; Caldeira, E.J.; Conte, M.; Matsumura, C.Y.; Pertille, A.; Mosqueira, M. High-fat diet suppresses the positive effect of creatine supplementation on skeletal muscle function by reducing protein expression of IGF-PI3K-AKT-mTOR pathway. PLoS ONE 2018, 13, e0199728. [Google Scholar] [CrossRef]
- Alhindi, Y.; Vaanholt, L.M.; Al-Tarrah, M.; Gray, S.R.; Speakman, J.R.; Hambly, C.; Alanazi, B.S.; Gabriel, B.M.; Lionikas, A.; Ratkevicius, A. Low Citrate Synthase Activity Is Associated with Glucose Intolerance and Lipotoxicity. J. Nutr. Metab. 2019, 2019, 8594825. [Google Scholar] [CrossRef]
- Swaminathan, A.; Fokin, A.; Venckūnas, T.; Degens, H. Methionine restriction plus overload improves skeletal muscle and metabolic health in old mice on a high fat diet. Sci. Rep. 2021, 11, 1260. [Google Scholar] [CrossRef] [PubMed]
- Kvedaras, M.; Minderis, P.; Krusnauskas, R.; Lionikas, A.; Ratkevicius, A. Myostatin dysfunction is associated with lower physical activity and reduced improvements in glucose tolerance in response to caloric restriction in Berlin high mice. Exp. Gerontol. 2019, 128, 110751. [Google Scholar] [CrossRef]
- Brooke, M.H.; Kaiser, K.K. Muscle Fiber types: How many and what kind? Arch. Neurol. 1970, 23, 369–379. [Google Scholar] [CrossRef]
- Shoesmith, C.; Abrahao, A.; Benstead, T.; Chum, M.; Dupre, N.; Izenberg, A.; Johnston, W.; Kalra, S.; Leddin, D.; O’Connell, C.; et al. Canadian best practice recommendations for the management of amyotrophic lateral sclerosis. Can. Med. Assoc. J. 2020, 192, E1453–E1468. [Google Scholar] [CrossRef]
- Piuvezam, G.; Brandao-Neto, J.; Leite-Lais, L. Evidence-Based Nutritional Recommendations for Maintaining or Restoring Nutritional Status in Patients with Amyotrophic Lateral Sclerosis: A Systematic Review. Nutrients 2025, 17, 782. [Google Scholar] [CrossRef] [PubMed]
- Paoli, A.; Bianco, A.; Damiani, E.; Bosco, G. Ketogenic diet in neuromuscular and neurodegenerative diseases. Biomed. Res. Int. 2014, 2014, 474296. [Google Scholar] [CrossRef]
- Booth, F.W. Time course of muscular atrophy during immobilization of hindlimbs in rats. J. Appl. Physiol. 1977, 43, 656–661. [Google Scholar] [CrossRef] [PubMed]
- Schiaffino, S.; Reggiani, C. Fiber types in mammalian skeletal muscles. Physiol. Rev. 2011, 91, 1447–1531. [Google Scholar] [CrossRef]
- You, J.S.; Chen, J. Aging Does Not Exacerbate Muscle Loss During Denervation and Lends Unique Muscle-Specific Atrophy Resistance with Akt Activation. Front. Physiol. 2021, 12, 779547. [Google Scholar] [CrossRef] [PubMed]
- Larsson, L.; Degens, H.; Li, M.; Salviati, L.; Lee, Y.I.; Thompson, W.; Kirkland, J.L.; Sandri, M. Sarcopenia: Aging-Related loss of muscle mass and function. Physiol. Rev. 2018, 99, 427–511. [Google Scholar] [CrossRef]
- Aare, S.; Spendiff, S.; Vuda, M.; Elkrief, D.; Perez, A.; Wu, Q.; Mayaki, D.; Hussain, S.N.A.; Hettwer, S.; Hepple, R.T. Failed reinnervation in aging skeletal muscle. Skelet. Muscle 2016, 6, 29. [Google Scholar] [CrossRef]
- Kvedaras, M.; Minderis, P.; Cesanelli, L.; Cekanauskaite, A.; Ratkevicius, A. Effects of fasting on skeletal muscles and body fat of adult and old C57BL/6J mice. Exp. Gerontol. 2021, 152, 111474. [Google Scholar] [CrossRef]
- Cai, L.; Shi, L.; Peng, Z.; Sun, Y.; Chen, J. Ageing of skeletal muscle extracellular matrix and mitochondria: Finding a potential link. Ann. Med. 2023, 55, 2240707. [Google Scholar] [CrossRef]
- Elabd, C.; Cousin, W.; Upadhyayula, P.; Chen, R.Y.; Chooljian, M.S.; Li, J.; Kung, S.; Jiang, K.P.; Conboy, I.M. Oxytocin is an age-specific circulating hormone that is necessary for muscle maintenance and regeneration. Nat. Commun. 2014, 5, 4082. [Google Scholar] [CrossRef] [PubMed]
- Fuqua, J.D.; Lawrence, M.M.; Hettinger, Z.R.; Borowik, A.K.; Brecheen, P.L.; Szczygiel, M.M.; Abbott, C.B.; Peelor, F.F.; Confides, A.L.; Kinter, M.; et al. Impaired proteostatic mechanisms other than decreased protein synthesis limit old skeletal muscle recovery after disuse atrophy. J. Cachexia Sarcopenia Muscle 2023, 14, 2076–2089. [Google Scholar] [CrossRef] [PubMed]
- Roberts, M.N.; Wallace, M.A.; Tomilov, A.A.; Zhou, Z.; Marcotte, G.R.; Tran, D.; Perez, G.; Gutierrez-Casado, E.; Koike, S.; Knotts, T.A.; et al. A ketogenic diet extends longevity and healthspan in adult mice. Cell Metab. 2017, 26, 539–546.e5. [Google Scholar] [CrossRef] [PubMed]
- Egerman, M.A.; Cadena, S.M.; Gilbert, J.A.; Meyer, A.; Nelson, H.N.; Swalley, S.E.; Mallozzi, C.; Jacobi, C.; Jennings, L.L.; Clay, I.; et al. GDF11 Increases with Age and Inhibits Skeletal Muscle Regeneration. Cell Metab. 2015, 22, 164–174. [Google Scholar] [CrossRef]






Disclaimer/Publisher’s Note: The statements, opinions and data contained in all publications are solely those of the individual author(s) and contributor(s) and not of MDPI and/or the editor(s). MDPI and/or the editor(s) disclaim responsibility for any injury to people or property resulting from any ideas, methods, instructions or products referred to in the content. |
© 2026 by the authors. Licensee MDPI, Basel, Switzerland. This article is an open access article distributed under the terms and conditions of the Creative Commons Attribution (CC BY) license.
Share and Cite
Dirmontas, M.; Minderis, P.; Ratkevicius, A. Effects of Aging in Combination with High-Fat or Ketogenic Diet on Skeletal Muscle Atrophy Following Denervation in C57BL/6J Mice. Nutrients 2026, 18, 478. https://doi.org/10.3390/nu18030478
Dirmontas M, Minderis P, Ratkevicius A. Effects of Aging in Combination with High-Fat or Ketogenic Diet on Skeletal Muscle Atrophy Following Denervation in C57BL/6J Mice. Nutrients. 2026; 18(3):478. https://doi.org/10.3390/nu18030478
Chicago/Turabian StyleDirmontas, Mantas, Petras Minderis, and Aivaras Ratkevicius. 2026. "Effects of Aging in Combination with High-Fat or Ketogenic Diet on Skeletal Muscle Atrophy Following Denervation in C57BL/6J Mice" Nutrients 18, no. 3: 478. https://doi.org/10.3390/nu18030478
APA StyleDirmontas, M., Minderis, P., & Ratkevicius, A. (2026). Effects of Aging in Combination with High-Fat or Ketogenic Diet on Skeletal Muscle Atrophy Following Denervation in C57BL/6J Mice. Nutrients, 18(3), 478. https://doi.org/10.3390/nu18030478

