Sign in to use this feature.

Years

Between: -

Subjects

remove_circle_outline
remove_circle_outline
remove_circle_outline
remove_circle_outline
remove_circle_outline
remove_circle_outline
remove_circle_outline
remove_circle_outline
remove_circle_outline

Journals

remove_circle_outline
remove_circle_outline
remove_circle_outline
remove_circle_outline
remove_circle_outline
remove_circle_outline

Article Types

Countries / Regions

remove_circle_outline
remove_circle_outline
remove_circle_outline
remove_circle_outline

Search Results (1,099)

Search Parameters:
Keywords = high temperature reservoir

Order results
Result details
Results per page
Select all
Export citation of selected articles as:
27 pages, 75670 KB  
Article
Controls of Structural Evolution and Complex Lithologic Architecture on the Identification and Accumulation Mechanisms of Low-Contrast Reservoirs: A Case Study from the Chang 3 Member, Zhenbei Area, Ordos Basin
by Yanzhao Huang, Chuangfei Zhou, Huanguo Zhang, Zhanyong Shen, Xiaolong Li and Yushuang Zhu
Processes 2026, 14(3), 541; https://doi.org/10.3390/pr14030541 (registering DOI) - 4 Feb 2026
Abstract
Low-resistivity reservoirs characterized by weak log contrasts are highly concealed and therefore difficult to detect using conventional oil–water discrimination methods. Recent exploration and development indicate that low-resistivity reservoirs are widely developed in the Triassic Chang 3 Member of the Zhenbei area, Ordos Basin. [...] Read more.
Low-resistivity reservoirs characterized by weak log contrasts are highly concealed and therefore difficult to detect using conventional oil–water discrimination methods. Recent exploration and development indicate that low-resistivity reservoirs are widely developed in the Triassic Chang 3 Member of the Zhenbei area, Ordos Basin. However, contrasting tectonic evolution associated with the Tianhuan Depression and complex lithologic assemblages in the western and eastern sectors have resulted in complicated hydrocarbon migration and accumulation processes. In this study, integrated well-log and geochemical data were used to systematically investigate the genesis of low-resistivity reservoirs in the Chang 3 Member and to establish oil–water discrimination charts. Three-dimensional seismic flattening was applied to restore the Late Jurassic paleostructure of the western Chang 3 Member and to analyze its tectonic evolution. Reservoir petrology and pore–throat architecture in the western and eastern areas were comparatively examined using thin-section petrography, field-emission scanning electron microscopy (FESEM), and high-pressure mercury intrusion. Results indicate that the development of low-resistivity reservoirs in the Chang 3 Member is primarily controlled by highly saline formation water and elevated bound-water saturation. Based on these controls, the invasion factor–acoustic transit time cross-plot and the apparent spontaneous potential difference (ΔSP) method effectively discriminate oil- and water-bearing intervals in a total of 25 wells within the study area. Paleostructural restoration reveals that the western Chang 3 Member has undergone a tectonic inversion from a west-high–east-low configuration since the Late Jurassic to the present-day east-high–west-low geometry. Oil–source correlation indicates that hydrocarbons in the Chang 3 reservoirs were mainly derived from the underlying Chang 7 source rocks, whereas the bimodal distribution of fluid-inclusion homogenization temperatures suggests that the reservoirs experienced two distinct charging episodes. Integrated analysis suggests that tectonic inversion during the Yanshanian movement, combined with multistage hydrocarbon charging, led to secondary migration and partial destruction of early-formed reservoirs in the western area, resulting in predominantly scattered accumulations. In contrast, the eastern area experienced relatively limited tectonic modification, and laterally extensive accumulations are controlled by Type I–III lithologic–structural traps formed by the Chang 3 reservoir interval and its overlying strata. These findings provide an important geological basis for the identification of low-contrast reservoirs and for the exploration and development of hydrocarbon accumulations that are jointly controlled by tectonic evolution and lithologic heterogeneity. Full article
24 pages, 7500 KB  
Review
Reviews of Efficient Green Exploitation Theories and Technologies for Organic-Rich Shale
by Mengyi Wang, Lihong Yang, Hao Zeng, Yuan Wang and Chaofan Zhu
Energies 2026, 19(3), 798; https://doi.org/10.3390/en19030798 - 3 Feb 2026
Abstract
Organic-rich shale, as a significant alternative energy source, possesses abundant resources. Classified by maturity, it comprises three categories: medium-high maturity shale oil, medium-low maturity shale oil, and oil shale. Medium-high maturity shale oil faces challenges such as tight reservoirs and poor fluidity; medium-low [...] Read more.
Organic-rich shale, as a significant alternative energy source, possesses abundant resources. Classified by maturity, it comprises three categories: medium-high maturity shale oil, medium-low maturity shale oil, and oil shale. Medium-high maturity shale oil faces challenges such as tight reservoirs and poor fluidity; medium-low maturity shale oil is characterized by a high proportion of retained hydrocarbons and poor mobility; and oil shale requires high-temperature conversion. Addressing the inherent characteristics of these three resource types, this paper systematically reviews the theoretical foundations and key technologies from two dimensions: “CO2 injection for medium-high maturity shale oil extraction” and “in situ conversion of medium-low maturity shale/oil shale”. The results indicate that CO2 injection technology for medium-high maturity shale oil utilizes its supercritical diffusion properties to reduce miscibility pressure by 40–60% compared to conventional reservoirs, efficiently displacing crude oil in nanopores while establishing a geological storage system for greenhouse gases, thereby pioneering an integrated “displacement–drive–storage” model for carbon-reduced oil production. The autothermic pyrolysis in situ conversion process for medium-low maturity shale/oil shale significantly reduces costs by leveraging the oxidation latent heat of kerogen. Under temperature and pressure conditions of 350–450 °C, the shale pore network expansion rate reaches 200–300%, with permeability increasing by two orders of magnitude. Assisted natural gas injection further optimizes the thermal field distribution within the reservoir. Future research should focus on two key directions: synergistic cost reduction and carbon sequestration through CO2 injection, and the matching of in situ conversion with complex fracture networks. This study delineates key technological pathways for the low-carbon and efficient development of different types of organic-rich shale, contributing to energy security. Full article
Show Figures

Figure 1

18 pages, 2906 KB  
Article
Development and Evaluation of a Brine-Based Solids-Free Drilling Fluid System Using Produced Oilfield Water in the Tahe Oilfield
by Weiguang Sun, Sheng Fan, Siyu Wu, Tao Peng and Peng Xu
Processes 2026, 14(3), 534; https://doi.org/10.3390/pr14030534 - 3 Feb 2026
Abstract
In response to the complex drilling conditions in the carbonate reservoirs of the Tahe Oilfield, a brine-based solids-free drilling fluid system using oilfield-produced water was developed. Most existing solids-free drilling fluid systems are formulated with fresh water or low-mineralization water, which cannot maintain [...] Read more.
In response to the complex drilling conditions in the carbonate reservoirs of the Tahe Oilfield, a brine-based solids-free drilling fluid system using oilfield-produced water was developed. Most existing solids-free drilling fluid systems are formulated with fresh water or low-mineralization water, which cannot maintain stability in the high-salinity, high-mineralization conditions of oilfield water. This study addresses this gap by systematically optimizing viscosifiers, fluid-loss control agents, and lubricants, enabling the use of highly mineralized produced water. The developed system maintains good rheological properties and fluid loss control even under challenging conditions. Laboratory tests show that the system, with POLY-V as the viscosifier, DEG-FLO and STAR-AM as fluid-loss agents, and ATV-SLIP as the lubricant, exhibits stable performance under the high-temperature, high-salinity conditions typical of the Tahe Oilfield, with limited performance degradation. Full article
(This article belongs to the Topic Petroleum and Gas Engineering, 2nd edition)
Show Figures

Figure 1

32 pages, 3869 KB  
Review
Electron Traps in Thermal Heterogeneous Catalysis: Fundamentals, Detection, and Applications of CO2 Hydrogenation
by Arati Prakash Tibe, Tathagata Bhattacharjya, Ales Panacek, Robert Prucek and Libor Kvitek
Catalysts 2026, 16(2), 156; https://doi.org/10.3390/catal16020156 - 3 Feb 2026
Abstract
The field of developing effective catalysts for heterogeneous catalysis has recently focused on controlling the structures of catalysts themselves to optimise the density and energy of crystal lattice defects. This can significantly influence catalytic activity in terms of both reaction rates and reaction [...] Read more.
The field of developing effective catalysts for heterogeneous catalysis has recently focused on controlling the structures of catalysts themselves to optimise the density and energy of crystal lattice defects. This can significantly influence catalytic activity in terms of both reaction rates and reaction mechanisms, and thus the selective production of desired substances as well. In many cases, these crystal lattice defects manifest themselves as so-called electron traps (ETs) and thus significantly influence charge transfer between the catalyst and reactants. ETs provide the missing electronic link between atomic-scale defects and macroscopic performance in heterogeneous catalysis. Therefore, the importance of ETs for catalysis is particularly evident in areas where charge transfer plays a fundamental role in the reaction mechanism, such as photocatalysis and electrocatalysis. In the field of thermally initiated reactions, the importance of ETs in heterogeneous catalysis has not yet been fully appreciated. However, several studies have already addressed the importance of ETs for this type of reaction. This review consolidates and extends the concept of ETs to purely thermal-initiated reactions, with a focus on CO2 hydrogenation using typical transition metal catalysts. Firstly, in this review, ETs are defined as band gap states associated with internal and external defects, and their depth, density, spatial location, and dynamics are then coupled with key steps in thermocatalytic cycles, including charge storage/release, reactant activation, intermediate stabilisation, and redox turnover. Secondly, electron trap detection is reviewed based on advanced spectroscopic techniques, including reversed double-beam photoacoustic spectroscopy (RDB-PAS), thermally stimulated current (TSC), deep-level transient spectroscopy (DLTS), thermoluminescence (TL), electron paramagnetic resonance (EPR), and photoluminescence (PL), highlighting how each method describes trap energetics and populations under realistic operating conditions. Finally, case studies on the application of metal oxides and supported metals are discussed, as these are typical catalysts for the reaction mentioned above. This review highlights how oxygen vacancies (OVs), polarons, and metal–support interfacial sites act as robust electron reservoirs, lowering the barriers for CO2 activation and hydrogenation. By reframing thermocatalysts through the lens of ET chemistry, this review identifies ETs as actionable targets for the rational design of next-generation materials for CO2 hydrogenation and related high-temperature transformations. Full article
(This article belongs to the Special Issue Catalysts for CO2 Conversions)
Show Figures

Figure 1

15 pages, 3307 KB  
Article
The Preparation and CO2-Resistant Performance of a Smart Responsive Polymer Gel for CO2 Flooding Channel Blocking
by Xiangjuan Meng, Mingwei Zhao, Zhenfeng Ma, Xinjie Xu, Zhongzheng Xu, Yuxin Xie, Yining Wu, Ziyi Wang, Wenhao Ren and Huan Zhang
Molecules 2026, 31(3), 514; https://doi.org/10.3390/molecules31030514 - 2 Feb 2026
Viewed by 102
Abstract
CO2 flooding is an effective technique for enhancing oil recovery in low-permeability reservoirs. However, it is often hindered by severe CO2 channeling. This challenge is particularly pronounced in near-wellbore regions with large pressure differentials and in fractured reservoirs, where high CO [...] Read more.
CO2 flooding is an effective technique for enhancing oil recovery in low-permeability reservoirs. However, it is often hindered by severe CO2 channeling. This challenge is particularly pronounced in near-wellbore regions with large pressure differentials and in fractured reservoirs, where high CO2 injection rates and rapid breakthrough require channel blocking systems with high mechanical strength and excellent CO2-resistant performance. In this work, a smart responsive polymer was synthesized and subsequently crosslinked with a highly active phenolic resin crosslinking agent to develop a smart responsive polymer gel channel blocking system. The resulting gel exhibits CO2-responsive strength enhancement and excellent CO2-resistant performance. The static and dynamic gelation behaviors, nonlinear rheological properties, CO2-resistant performance, channel blocking, and enhanced oil recovery performance of the smart responsive polymer gel were systematically investigated. The results demonstrate that the polymer gel maintains good structural stability during dynamic transport in the reservoir and does not undergo significant strength degradation under shear conditions. Moreover, the smart responsive polymer gel exhibits excellent CO2-resistant performance within a temperature range of 80–110 °C, salinity up to 10 × 104 mg/L, and pressure up to 20 MPa. Moreover, the system shows a significant enhancement in channel blocking and enhanced oil recovery performance, highlighting its promising potential for effective CO2 flooding channel blocking in low-permeability reservoirs. Full article
(This article belongs to the Special Issue Chemistry Applied to Enhanced Oil Recovery)
Show Figures

Graphical abstract

48 pages, 798 KB  
Review
Utah FORGE: A Decade of Innovation—Comprehensive Review of Field-Scale Advances (Part 1)
by Amr Ramadan, Mohamed A. Gabry, Mohamed Y. Soliman and John McLennan
Processes 2026, 14(3), 512; https://doi.org/10.3390/pr14030512 - 2 Feb 2026
Viewed by 86
Abstract
Enhanced Geothermal Systems (EGS) extend geothermal energy beyond conventional hydrothermal resources but face challenges in creating sustainable heat exchangers in low-permeability formations. This review synthesizes achievements from the Utah Frontier Observatory for Research in Geothermal Energy (FORGE), a field laboratory advancing EGS readiness [...] Read more.
Enhanced Geothermal Systems (EGS) extend geothermal energy beyond conventional hydrothermal resources but face challenges in creating sustainable heat exchangers in low-permeability formations. This review synthesizes achievements from the Utah Frontier Observatory for Research in Geothermal Energy (FORGE), a field laboratory advancing EGS readiness in 175–230 °C granitic basement. From 2017 to 2025, drilling, multi-stage hydraulic stimulation, and monitoring established feasibility and operating parameters for engineered reservoirs. Hydraulic connectivity was created between highly deviated wells with ~300 ft vertical separation via hydraulic and natural fracture networks, validated by sustained circulation tests achieving 10 bpm injection at 2–3 km depth. Advanced monitoring (DAS, DTS, and microseismic arrays) delivered fracture propagation diagnostics with ~1 m spatial resolution and temporal sampling up to 10 kHz. A data infrastructure of 300+ datasets (>133 TB) supports reproducible ML. Geomechanical analyses showed minimum horizontal stress gradients of 0.74–0.78 psi/ft and N–S to NNE–SSW fractures aligned with maximum horizontal stress. Near-wellbore tortuosity, driving treating pressures to 10,000 psi, underscores completion design optimization, improved proppant transport in high-temperature conditions, and coupled thermos-hydro-mechanical models for long-term prediction, supported by AI platforms including an offline Small Language Model trained on Utah FORGE datasets. Full article
Show Figures

Figure 1

16 pages, 6876 KB  
Article
GIS-Based Preliminary Evaluation for Exploration and Development of Hot Dry Rock Resources in the Central-Southern Subei Basin
by Hong Xiang, Jian Song, Yahui Yao, Wenhao Xu, Yongbiao Yang, Jun Chen and Junyan Cui
Energies 2026, 19(3), 742; https://doi.org/10.3390/en19030742 - 30 Jan 2026
Viewed by 94
Abstract
Hot dry rock (HDR), characterized by high temperature, vast reserves, and significant development potential, is one of the most important clean energy sources for the future. This study focuses on the Jianhu Uplift and Dongtai Depression in the southern part of the Subei [...] Read more.
Hot dry rock (HDR), characterized by high temperature, vast reserves, and significant development potential, is one of the most important clean energy sources for the future. This study focuses on the Jianhu Uplift and Dongtai Depression in the southern part of the Subei Basin as the research area, conducting systematic target optimization research on HDR geothermal resources within the Cambrian–Ordovician carbonate strata. By systematically compiling regional geothermal geological data, an evaluation index system for target optimization of geothermal resources was established, incorporating two categories of indicators: resource conditions (thermal reservoir temperature and roof burial depth) and environmental impact (urban area safety distance and fault safety distance). Using the Analytic Hierarchy Process (AHP) and GIS spatial overlay analysis, the study area was evaluated for HDR geothermal resource exploration zoning, ultimately delineating three levels of preferred zones. The evaluation results indicate that the target area of the Cambrian–Ordovician geothermal reservoir is extensive, with the Dongtai Depression exhibiting a larger distribution of preferred zones. This study provides a reference for the optimization of target areas in geothermal resource exploration and development. Full article
Show Figures

Figure 1

19 pages, 4725 KB  
Article
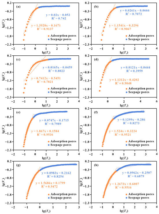
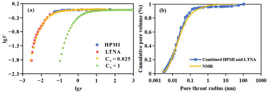
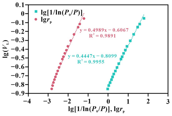
A Full-Scale Pore Fractal Modeling Approach for Tight Sandstone Reservoirs Integrating HPMI and LTNA Data
by Yangchen Zhang, Xiyu Qu, Changsheng Miao, Weiming Wang, Jingkai Wen and Haobo Lu
Fractal Fract. 2026, 10(2), 96; https://doi.org/10.3390/fractalfract10020096 - 30 Jan 2026
Viewed by 83
Abstract
Conventional high-pressure mercury injection (HPMI) alone inadequately characterizes the fractal properties of nanopores in tight sandstone reservoirs, and existing fractal models for HPMI, low-temperature nitrogen adsorption (LTNA), and nuclear magnetic resonance (NMR) lack effective integration. Based on traditional fractal theory, this study develops [...] Read more.
Conventional high-pressure mercury injection (HPMI) alone inadequately characterizes the fractal properties of nanopores in tight sandstone reservoirs, and existing fractal models for HPMI, low-temperature nitrogen adsorption (LTNA), and nuclear magnetic resonance (NMR) lack effective integration. Based on traditional fractal theory, this study develops a unified full-scale pore fractal model that integrates HPMI and LTNA data via a defined conversion coefficient. The model was validated using tight sandstone samples from the Songliao Basin in eastern China and the Turpan–Hami Basin in western China. Results indicate that the proposed model successfully achieves accurate characterization of full-scale pore fractal behavior. Furthermore, it provides a robust fractal-based framework for calibrating NMR T2 relaxation time and constructing enhanced full-scale pore-throat distribution profiles, thereby validating its effectiveness and practical utility as defined in our objectives. Full article
(This article belongs to the Section Engineering)
Show Figures

Figure 1

22 pages, 4896 KB  
Article
Production of Novel Thermostable Esterases from Thermus thermophilus Strain ET-1 in Escherichia coli and Thermus thermophilus HB27 Using the Bifunctional Expression System pTGT-1 and Characterization of the Recombinant Enzymes
by Bernardita Valenzuela, Mayra Cayo, Francisco Solís-Cornejo, María-Belen Reyes, Ignacia Palma, Elena Uribe and Pedro Zamorano
Int. J. Mol. Sci. 2026, 27(3), 1372; https://doi.org/10.3390/ijms27031372 - 29 Jan 2026
Viewed by 225
Abstract
The thermophilic bacterium Thermus thermophilus represents a crucial genetic reservoir for exploring thermostable enzymes as valuable biocatalysts for industrial and biotechnology applications. Here, we identify, clone, and characterize Ces1-ET, Est1-ET, and Plp1-ET, three lipolytic enzymes obtained from T. thermophilus strain ET-1 isolated from [...] Read more.
The thermophilic bacterium Thermus thermophilus represents a crucial genetic reservoir for exploring thermostable enzymes as valuable biocatalysts for industrial and biotechnology applications. Here, we identify, clone, and characterize Ces1-ET, Est1-ET, and Plp1-ET, three lipolytic enzymes obtained from T. thermophilus strain ET-1 isolated from El Tatio Geothermal Field in Northern Chile. To enable recombinant expression, we constructed the pTGT-1 expression system, a versatile bifunctional shuttle vector compatible with both Escherichia coli and T. thermophilus. The three thermoenzymes Ces1-ET, Est1-ET, and Plp1-ET, were successfully cloned, expressed, and purified using the pTGT-1 system, with a molecular mass of 25 kDa, 36 kDa, and 28 kDa, respectively. The recombinant purified enzymes displayed optimal temperatures at 60 °C, 80 °C, and 70 °C and optimal pH of 7.5, 9.0, and 8.0 for Ces1-ET, Est1-ET, and Plp1-ET, respectively. Functional biochemical assays revealed a broad tolerance to surfactants, detergents, divalent cations, and high salinity, relevant properties for their application in an industrial setting. These thermostable esterases expand the repertoire of thermozymes from Thermus spp., introducing pTGT-1 as an innovative tool for thermophilic protein expression and highlighting T. thermophilus strain ET-1 from El Tatio Geothermal Field as a valuable source of thermostable enzymes for industrial and biotechnology applications. Full article
(This article belongs to the Special Issue Thermophilic and Hyperthermophilic Microbes and Enzymes 3.0)
Show Figures

Figure 1

28 pages, 3661 KB  
Article
A Hybrid Ionic Liquid–HPAM Flooding for Enhanced Oil Recovery: An Integrated Experimental and Numerical Study
by Mohammed A. Khamis, Omer A. Omer, Faisal S. Altawati and Mohammed A. Almobarky
Polymers 2026, 18(3), 359; https://doi.org/10.3390/polym18030359 - 29 Jan 2026
Viewed by 181
Abstract
Declining recovery factors from mature oil fields, coupled with the technical challenges of recovering residual oil under harsh reservoir conditions, necessitate the development of advanced enhanced oil recovery (EOR) techniques. While promising, chemical EOR often faces economic and technical hurdles in high-salinity, high-temperature [...] Read more.
Declining recovery factors from mature oil fields, coupled with the technical challenges of recovering residual oil under harsh reservoir conditions, necessitate the development of advanced enhanced oil recovery (EOR) techniques. While promising, chemical EOR often faces economic and technical hurdles in high-salinity, high-temperature environments where conventional polymers like hydrolyzed polyacrylamide (HPAM) degrade and fail. This study presents a comprehensive numerical investigation that addresses this critical industry challenge by applying a rigorously calibrated simulation framework to evaluate a novel hybrid EOR process that synergistically combines an ionic liquid (IL) with HPAM polymer. Utilizing core-flooding data from a prior study that employed the same Berea sandstone core plug and Saudi medium crude oil, supplemented by independently measured interfacial tension and contact angle data for the same chemical system, we built a core-scale model that was history-matched with RMSE < 2% OOIP. The calibrated polymer transport parameters—including a low adsorption capacity (~0.012 kg/kg-rock) and a high viscosity multiplier (4.5–5.0 at the injected concentration)—confirm favorable polymer propagation and effective in -situ mobility control. Using this validated model, we performed a systematic optimization of key process parameters, including IL slug size, HPAM concentration, salinity, temperature, and injection rate. Simulation results identify an optimal design: a 0.4 pore volume (PV) slug of IL (Ammoeng 102) reduces interfacial tension and shifts wettability toward water-wet, effectively mobilizing residual oil. This is followed by a tailored HPAM buffer in diluted formation brine (20% salinity, 500 ppm), which enhances recovery by up to 15% of the original oil in place (OOIP) over IL flooding alone by improving mobility control and enabling in-depth sweep. This excellent history match confirms the dual-displacement mechanism: microscopic oil mobilization by the IL, followed by macroscopic conformance improvement via HPAM-induced flow diversion. This integrated simulation-based approach not only validates the technical viability of the hybrid IL–HPAM flood but also delivers a predictive, field-scale-ready framework for heterogeneous reservoir systems. The work provides a robust strategy to unlock residual oil in such challenging reservoirs. Full article
(This article belongs to the Special Issue Application of Polymers in Enhanced Oil Recovery)
Show Figures

Figure 1

32 pages, 18294 KB  
Article
Influencing Factors of Hydrocarbon Migration and Adjustment at the Edge of a Stable Cratonic Basin: Implications from Fluid Inclusions, Quantitative Fluorescence Techniques, and Geochemical Tracing
by Zhengqi Yang, Xin Cheng, Siqi Ouyang, Zhe Liu, Yuting Cheng, Shuqi Lan, Lei Xue, Ting Zhang and Yiqian Qu
Energies 2026, 19(3), 638; https://doi.org/10.3390/en19030638 - 26 Jan 2026
Viewed by 248
Abstract
Understanding the mechanisms of hydrocarbon migration, accumulation, and alteration, particularly how evolution controls these processes, is critical for exploring lithologic hydrocarbons in reservoirs. In the complex tectonic settings of the continental margin of the stable North China Craton, there is a significant presence [...] Read more.
Understanding the mechanisms of hydrocarbon migration, accumulation, and alteration, particularly how evolution controls these processes, is critical for exploring lithologic hydrocarbons in reservoirs. In the complex tectonic settings of the continental margin of the stable North China Craton, there is a significant presence of small yet highly prolific hydrocarbon reservoirs. The processes of hydrocarbon migration and accumulation are complex and thus represent an important research focus in geology. This study, based on core, logging, and seismic data and integrating fluid inclusion analysis, quantitative fluorescence techniques, and geochemical experiments, combines the shale smear factor and paleotectonic reconstructions to clarify the hydrocarbon accumulation episodes, migration pathways, and factors controlling reservoir adjustments in the Yanwu area of the Tianhuan Depression in the Ordos Basin, China. The results reveal three types of NE-trending left-lateral strike–slip faults: linear, left-stepping, and right-stepping. Shale Smear Factor (SSF) analysis confirms that these faults exhibit segmented opening behaviors, with SSF > 1.7 identified as the threshold for fault openness. Multiparameter geochemical tracing based on terpanes and steranes shows that lateral migration along fault zones dominates the preferential migration pathways for hydrocarbons. Fluid inclusion thermometry revealed homogenization temperatures within the 100–110 °C and 80–90 °C intervals, while the oil inclusions exhibit blue or blue-and-white fluorescence, reflecting early hydrocarbon charging and late-stage secondary migration. Integrated analysis indicates that during the late Early Cretaceous (105–90 Ma), hydrocarbons were charged upward through open segments of linear strike–slip fault zones in the northern study area, experiencing lateral migration and accumulation along high-permeability sand bodies and unconformities in the shallow strata. Since the Late Cretaceous (65 Ma-present), the regional tectonic framework has evolved from a west–high, east–low to a west–low, east–high configuration, inducing secondary hydrocarbon migration and leading to the remigration or even destruction of early-formed oil reservoirs. This study systematically demonstrates that fault activity and tectonic evolution control the accumulation and distribution of hydrocarbons in the region. These findings provide theoretical insights for hydrocarbon exploration in regions with complex tectonic evolution within stable cratonic basins. Full article
Show Figures

Figure 1

23 pages, 6373 KB  
Review
Polyacrylamide-Based Polymers for Slickwater Fracturing Fluids: A Review of Molecular Design, Drag Reduction Mechanisms, and Gelation Methods
by Wenbin Cai, Weichu Yu, Fei Ding, Kang Liu, Wen Xin, Zhiyong Zhao and Chao Xiong
Gels 2026, 12(2), 101; https://doi.org/10.3390/gels12020101 - 26 Jan 2026
Viewed by 339
Abstract
Slickwater fracturing has become an adopted technology for enhancing hydrocarbon recovery from unconventional, low-permeability reservoirs such as shale and tight formations, owing to its ability to generate complex fracture networks at a low cost. Polyacrylamide and polyacrylamide-based gels serve as key additives in [...] Read more.
Slickwater fracturing has become an adopted technology for enhancing hydrocarbon recovery from unconventional, low-permeability reservoirs such as shale and tight formations, owing to its ability to generate complex fracture networks at a low cost. Polyacrylamide and polyacrylamide-based gels serve as key additives in these fluids, primarily functioning as drag reducers and thickeners. However, downhole environments of high-temperature (>120 °C) and high-salinity (>1 × 104 mg/L) reservoirs pose challenges, leading to thermal degradation and chain collapse of conventional polyacrylamide, which results in performance loss. To address these limitations, synthesis methods including aqueous solution polymerization, inverse emulsion polymerization, and aqueous dispersion polymerization have been developed. This review provides an overview of molecular design methods aimed at enhancing performance stability of polyacrylamide-based polymers under extreme conditions. Approaches for improving thermal stability involve synthesis of ultra-high-molecular-weight polyacrylamide, copolymerization with resistant monomers, and incorporation of nanoparticles. Methods for enhancing salt tolerance focus on grafting anionic, cationic, or zwitterionic side chains onto the polymer backbone. The drag reduction mechanisms and gelation methods of these polymers in slickwater fracturing fluids are discussed. Finally, this review outlines research directions for developing next-generation polyacrylamide polymers tailored for extreme reservoir conditions, offering insights for academic research and field applications. Full article
(This article belongs to the Topic Polymer Gels for Oil Drilling and Enhanced Recovery)
Show Figures

Figure 1

13 pages, 1862 KB  
Article
Experimental and Molecular Dynamics Simulation Study on Influencing Factors of Barium Sulfate Scaling in Low-Permeability Sandstone Reservoirs
by Haien Yang, Xuan Xie, Miao Dou, Ajing Wei, Ming Lei and Chao Ma
Appl. Sci. 2026, 16(3), 1204; https://doi.org/10.3390/app16031204 - 24 Jan 2026
Viewed by 132
Abstract
This study aims to investigate the influencing factors and mechanisms of barium sulfate (BaSO4) scaling under low-permeability reservoir conditions, providing a scientific basis for water quality selection during water injection. The effects of key scaling ions and flow conditions on scaling [...] Read more.
This study aims to investigate the influencing factors and mechanisms of barium sulfate (BaSO4) scaling under low-permeability reservoir conditions, providing a scientific basis for water quality selection during water injection. The effects of key scaling ions and flow conditions on scaling behavior were examined through integrated experimental core flooding tests and molecular dynamics (MD) simulations. Experiments were conducted using synthetic cores simulating the ultra-low permeability Chang-8 Reservoir of the Jiyuan Oilfield, analyzing the impact of ion concentrations (Ba2+, SO42−, Na+, Ca2+, HCO3), flow velocity, and injection pressure. MD simulations were performed based on an interfacial SiO2(010)–BaSO4 solution model constructed in Materials Studio to elucidate the micro-mechanisms. Results indicate that increasing concentrations of Ba2+ and SO42− significantly promote scaling. High Ca2+ concentration (>8000 mg/L) inhibits BaSO4 deposition via competitive adsorption. High Na+ concentration (>70,000 mg/L) reduces Ba2+ activity due to ionic strength effects. When HCO3 concentration exceeds 600 mg/L, CaCO3 coprecipitation occurs, reducing effective SO42− concentration and thus inhibiting BaSO4 scaling. Increased flow velocity enhances scaling, whereas elevated injection pressure suppresses deposition. MD simulations reveal that increased ion concentrations decrease the mean square displacement (MSD) of Ba2+ and SO42−, weakening diffusion and enhancing scaling tendency. Elevated temperature promotes ion diffusion and inhibits scaling, while pressure shows negligible effect on ion diffusion at the molecular scale. This study provides theoretical insights for scaling prevention in low-permeability sandstone reservoirs. Full article
(This article belongs to the Topic Advances in Oil and Gas Wellbore Integrity, 2nd Edition)
Show Figures

Figure 1

28 pages, 3859 KB  
Article
Depositional Environments and Carbonaceous Sources of the Cheng-Gang Crystalline Graphite Deposit Revealed by Elemental and Isotopic Evidence
by Feng Liu, Wenbo Rao, Yangyang Zhang, Jianjun Cui and Weijun Yao
Minerals 2026, 16(2), 120; https://doi.org/10.3390/min16020120 - 23 Jan 2026
Viewed by 155
Abstract
The Cheng-gang crystalline graphite deposit is a recently discovered medium-to-large-sized deposit within the Tan-Lu Fault Zone (TLFZ), East China. However, the knowledge on this deposit remains limited, resulting in a poor understanding of its genesis. In this study, this deposit is chosen to [...] Read more.
The Cheng-gang crystalline graphite deposit is a recently discovered medium-to-large-sized deposit within the Tan-Lu Fault Zone (TLFZ), East China. However, the knowledge on this deposit remains limited, resulting in a poor understanding of its genesis. In this study, this deposit is chosen to elucidate the degree of graphite mineralization, the nature and depositional environments of the protoliths, and the carbon source of graphite through geochemical and stable isotope investigations, and mineralogical analysis. The fixed carbon contents in the graphite-ore-bearing layers range from 2% to 3%. X-ray diffraction analyses reveal a high degree of graphitization. Analyses of elemental ratios indicate that the protoliths of metamorphic rocks predominantly consist of felsic rocks derived from the upper crust and deposited in brackish-water and reducing environments (anoxic to dysoxic). Stable carbon isotope analyses show that CH4 with lighter carbon isotopes released from the decomposition of pristine organic matter was trapped into adjacent inorganic reservoirs and the residual fraction with heavy carbon isotopes evolved to become graphite under metamorphism. Assuming the existence of isotope exchange between carbonate minerals and graphite, the temperature of peak metamorphism is estimated to be 580–860 °C, corresponding to amphibolite–granulite facies during regional metamorphism. The direct mixing of organic fluids and adjacent inorganic reservoirs may have contributed to graphite ore formation and needs to be further explored in future studies. The findings shed light on the genesis of the TLFZ graphite deposits, providing practical implications for local mineral exploration. Full article
Show Figures

Figure 1

30 pages, 47854 KB  
Article
Genesis and Reservoir Implications of Multi-Stage Siliceous Rocks in the Middle–Lower Ordovician, Northwestern Tarim Basin
by Jinyu Luo, Tingshan Zhang, Pingzhou Shi, Zhou Xie, Jianli Zeng, Lubiao Gao, Zhiheng Ma and Xi Zhang
Minerals 2026, 16(1), 107; https://doi.org/10.3390/min16010107 - 21 Jan 2026
Viewed by 95
Abstract
Siliceous rocks of various colors and types are extensively developed within the Middle–Lower Ordovician carbonate along the Northwest Tarim Basin. Their genesis provides important insights into the evolution of basinal fluids and the associated diagenetic alterations of the carbonates. Based on petrographic, geochemical, [...] Read more.
Siliceous rocks of various colors and types are extensively developed within the Middle–Lower Ordovician carbonate along the Northwest Tarim Basin. Their genesis provides important insights into the evolution of basinal fluids and the associated diagenetic alterations of the carbonates. Based on petrographic, geochemical, fluid inclusion, and petrophysical analyses, this study investigates the origin of siliceous rocks within the Middle–Lower Ordovician carbonate formations (Penglaiba, Yingshan, and Dawangou formations) in the Kalpin area, Tarim Basin, and investigates the impact on hydrothermal reservoirs. The results reveal two distinct episodes of siliceous diagenetic fluids: The first during the Late Ordovician involved mixed hydrothermal fluids derived from deep magmatic–metamorphic sources, formation brines, and seawater. Characterized by high temperature and moderate salinity, it generated black chert dominated by cryptocrystalline to microcrystalline quartz through replacement processes. The second episode developed in the Middle–Late Devonian as a mixture of silicon-rich fluids from deep heat sources and basinal brines. In conditions of low temperature and high salinity, it generated gray-white siliceous rocks composed of micro- to fine crystalline quartz, spherulitic-fibrous chalcedony, and quartz cements via a combination of hydrothermal replacement and precipitation. A reservoir analysis reveals that the multi-layered black siliceous rocks possess significant reservoir potential amplified by the syndiagenetic tectonic fracturing. In contrast, the white siliceous rocks, despite superior petrophysical properties, are limited in scale as they predominantly infill late-stage fractures and vugs, mainly enhancing local flow conduits. Hydrothermal alteration in black siliceous rocks is more intense in dolostone host rocks than in limestone. Thus, thick (10–20 m), continuous black siliceous layers in dolostone and the surrounding medium-crystalline dolostone alteration zones, are promising exploration targets. This study elucidates the origins of Ordovician siliceous rocks and their implications for carbonate reservoir properties. The findings may offer valuable clues for deciphering the evolution and predicting the distribution of hydrothermal reservoirs, both within the basin and in other analogous regions worldwide. Full article
(This article belongs to the Special Issue Element Enrichment and Gas Accumulation in Black Rock Series)
Show Figures

Figure 1

Back to TopTop