Sign in to use this feature.

Years

Between: -

Subjects

remove_circle_outline
remove_circle_outline
remove_circle_outline
remove_circle_outline
remove_circle_outline
remove_circle_outline
remove_circle_outline
remove_circle_outline
remove_circle_outline

Journals

remove_circle_outline
remove_circle_outline
remove_circle_outline
remove_circle_outline
remove_circle_outline
remove_circle_outline
remove_circle_outline
remove_circle_outline
remove_circle_outline
remove_circle_outline
remove_circle_outline
remove_circle_outline
remove_circle_outline
remove_circle_outline
remove_circle_outline

Article Types

Countries / Regions

remove_circle_outline
remove_circle_outline
remove_circle_outline
remove_circle_outline
remove_circle_outline
remove_circle_outline
remove_circle_outline

Search Results (1,595)

Search Parameters:
Keywords = high resolution electron microscopy

Order results
Result details
Results per page
Select all
Export citation of selected articles as:
17 pages, 2988 KB  
Article
Effect of Ba:Ti Molar Ratio and Sintering Temperature on the Structural and Electrical Properties of BaTiO3-Type Solid Solutions, Synthesized by the Hydrothermal Method
by José Agustin Palmas Léon, Leandro Ramajo, Rodrigo Parra, Miguel Pérez Labra, Francisco Raúl Barrientos Hernández, Alejandro Cruz Ramírez, Vanessa Acosta Sanchez, Aislinn Michelle Teja Ruiz and Sayra Ordoñez Hernández
Materials 2025, 18(20), 4797; https://doi.org/10.3390/ma18204797 - 21 Oct 2025
Viewed by 94
Abstract
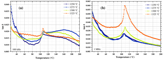
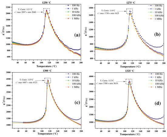
The results of the effect of the three Ba:Ti molar ratios (MR) (1:1, 2:1, 4:1) and four sintering temperatures (1250, 1275, 1300, 1325 °C) on the structural and electrical properties of BaTiO3 (BT)-type ceramics synthesized by the hydrothermal method are shown. The [...] Read more.
The results of the effect of the three Ba:Ti molar ratios (MR) (1:1, 2:1, 4:1) and four sintering temperatures (1250, 1275, 1300, 1325 °C) on the structural and electrical properties of BaTiO3 (BT)-type ceramics synthesized by the hydrothermal method are shown. The BT phase formed was analyzed by x-ray diffraction (XRD), Raman spectroscopy (RS), dielectric and ferroelectric measurements and high-resolution scanning electron microscopy (HRSEM). For the samples synthesized using a Ba:Ti MR of 4:1 and at all sintering temperatures analyzed, XRD results confirmed the presence of the tetragonal ferroelectric phase, BT. In the same way, these results corroborated the results obtained by the RS technique. Dielectric properties measured at 100 kHz and 1 MHz over a temperature range of 30 °C–200 °C indicated a relative permittivity value of 4280 at 1 MHz and 4200 at 100 KHz at a Curie temperature of 110 °C in both cases for the sample synthesized at with a Ba:Ti MR ratio of 4:1 and sintered at 1300 °C. Ferroelectric measurements for the samples showed a best remnant polarization (Pr) of 3.5 µC/cm2 for the sample synthesized with a Ba:Ti MR ratio of 4:1 and sintered at 1325 °C. The HRSEM results showed grains composed of Ba, Ti, and O homogeneously distributed in the BT structure, and a trend of increasing average grain size with increasing sintering temperature was observed. Full article
Show Figures

Figure 1

21 pages, 2726 KB  
Article
Nanofiber Networks from Self-Assembling Cardanol Amphiphiles: Toward Renewable Multifunctional Surfactants
by Yichuan Wang, Leilei Zhao, Bao Liu, Longhui Deng and Zhenqiang Wu
Molecules 2025, 30(20), 4119; https://doi.org/10.3390/molecules30204119 - 17 Oct 2025
Viewed by 262
Abstract
This article focuses on the utilization of the supramolecular self-assembly of renewable materials derivatives to obtain functional compounds. Novel bio-based amphiphile molecules (CALAH and PALAH) were synthesized through a tailored process, involving Williamson ether synthesis and amidation reactions, employing renewable amino [...] Read more.
This article focuses on the utilization of the supramolecular self-assembly of renewable materials derivatives to obtain functional compounds. Novel bio-based amphiphile molecules (CALAH and PALAH) were synthesized through a tailored process, involving Williamson ether synthesis and amidation reactions, employing renewable amino acid and cashew nut shell liquid (CNSL) derivatives as essential reactants. Their molecular structures were confirmed by nuclear magnetic resonance (NMR), high-resolution mass spectrometry (HRMS), and Fourier-transform infrared spectroscopy (FT-IR). Notably, these compounds self-assemble into nanofibers that organize into a fibrous network, unexpectedly exhibiting two distinct morphologies: curved and rigid nanostructures. These structures were characterized by scanning electron microscopy (SEM), and their formation mechanisms were elucidated through temperature-dependent NMR studies and density functional theory (DFT) calculations. The sodium salts of the compounds (PALA and CALA) exhibited fundamental surfactant properties, exhibiting a hydrophilic lipophilic balance (HLB) value of 13.7 and critical micelle concentration (CMC) values of 1.05 × 10−5 M and 4.10 × 10−6 M. They also demonstrated low cytotoxicity, suggesting potential suitability in consumer applications. Furthermore, the compounds exhibited multi-functional performance as effective inhibitors of Staphylococcus aureus and efficient adsorbents for gaseous pollutants. Full article
Show Figures

Graphical abstract

17 pages, 8936 KB  
Article
Grain Boundary Engineering of an Additively Manufactured AlSi10Mg Alloy for Advanced Energy Systems: Grain Size Effects on He Bubbles Distribution and Evolution
by Przemysław Snopiński, Marek Barlak, Jerzy Zagórski and Marek Pagač
Energies 2025, 18(20), 5445; https://doi.org/10.3390/en18205445 - 15 Oct 2025
Viewed by 227
Abstract
The development of advanced energy materials is critical for the safety and efficiency of next-generation nuclear energy systems. Aluminum alloys present a compelling option due to their excellent neutronic properties, notably a low thermal neutron absorption cross-section. However, their historically poor high-temperature performance [...] Read more.
The development of advanced energy materials is critical for the safety and efficiency of next-generation nuclear energy systems. Aluminum alloys present a compelling option due to their excellent neutronic properties, notably a low thermal neutron absorption cross-section. However, their historically poor high-temperature performance has limited their use in commercial power reactors. This makes them prime candidates for specialized, lower-temperature but high-radiation environments, such as research reactors, spent fuel storage systems, and spallation neutron sources. In these applications, mitigating radiation damage—particularly swelling and embrittlement from helium produced during irradiation—remains a paramount challenge. Grain Boundary Engineering (GBE) is a potent strategy to mitigate radiation damage by increasing the fraction of low-energy Coincident Site Lattice (CSL) boundaries. These interfaces act as effective sinks for radiation-induced point defects (vacancies and self-interstitials), suppressing their accumulation and subsequent clustering into damaging dislocation loops and voids. By controlling the defect population, GBE can substantially reduce macroscopic effects like volumetric swelling and embrittlement, enhancing material performance in harsh radiation environments. In this article we evaluate the efficacy of GBE in an AlSi10Mg alloy, a candidate material for nuclear applications. Samples were prepared via KOBO extrusion, with a subset undergoing subsequent annealing to produce varied initial grain sizes and grain boundary character distributions. This allows for a direct comparison of how these microstructural features influence the material’s response to helium ion irradiation, which simulates damage from fission and fusion reactions. The resulting post-irradiation defect structures and their interaction with the engineered grain boundary network were characterized using a combination of Transmission Electron Microscopy (TEM) and High-Resolution Transmission Electron Microscopy (HRTEM), providing crucial insights for designing next-generation, radiation-tolerant energy materials. Full article
Show Figures

Figure 1

26 pages, 4288 KB  
Article
Biosynthesis of Silver Nanoparticles Using Phytochemicals Extracted from Aqueous Clerodendrum glabrum for Anti-Diabetes and Anti-Inflammatory Activity: An In Vitro Study
by Kulani Mhlongo, Innocensia Mangoato and Motlalepula Matsabisa
Nanomaterials 2025, 15(20), 1560; https://doi.org/10.3390/nano15201560 - 14 Oct 2025
Viewed by 285
Abstract
This study synthesised silver nanoparticles using an aqueous extract from Clerodendrum glabrum and investigated their potential anti-diabetic and anti-inflammatory activity. Diabetes and inflammation are conditions affecting millions worldwide, and the current medications result in side effects. Silver nanoparticles (Ag NPs) were synthesised using [...] Read more.
This study synthesised silver nanoparticles using an aqueous extract from Clerodendrum glabrum and investigated their potential anti-diabetic and anti-inflammatory activity. Diabetes and inflammation are conditions affecting millions worldwide, and the current medications result in side effects. Silver nanoparticles (Ag NPs) were synthesised using C. glabrum aqueous extract. Nanoparticles were characterised using ultraviolet–visible (UV–vis) spectroscopy, high-resolution transmission electron microscopy (HR-TEM), and dynamic light scattering (DLS). CG-Ag nanoparticles (CG-Ag NPs) were further evaluated for their nitric oxide (NO) scavenging activity; inhibition of α-amylase, α-glucosidase, and hyaluronidase enzymes; and cytotoxic potential. HR-TEM revealed CG-Ag NPs with an average particle size of 16 nm for 10 mg of plant extract, while 40 mg produced 35 nm, and EDS confirmed the presence of silver elements. The synthesised CG-Ag NPs showed good anti-diabetic and anti-inflammatory activity by inhibiting 93.3% of α-amylase at 6.25 µg/mL, 99.25% of α-glucosidase at 0.95 µg/mL, and 79.6% of hyaluronidase at 100 µg/mL. The NPs also scavenged 96.58% of NO at 250 µg/mL. These results suggest that C. glabrum aqueous extract is a green resource for the eco-friendly synthesis of Ag NPs and can potentially be utilised as a therapeutic agent for managing diabetes and inflammation. Full article
(This article belongs to the Section Biology and Medicines)
Show Figures

Figure 1

19 pages, 3520 KB  
Article
Multifactorial Imaging Analysis as a Platform for Studying Cellular Senescence Phenotypes
by Shatalova Rimma, Larin Ilya and Shevyrev Daniil
J. Imaging 2025, 11(10), 351; https://doi.org/10.3390/jimaging11100351 - 8 Oct 2025
Viewed by 415
Abstract
Cellular senescence is a heterogeneous and dynamic state characterised by stable proliferation arrest, macromolecular damage and metabolic remodelling. Although markers such as SA-β-galactosidase staining, yH2AX foci and p53 activation are widely used as de facto standards, they are imperfect and differ in terms [...] Read more.
Cellular senescence is a heterogeneous and dynamic state characterised by stable proliferation arrest, macromolecular damage and metabolic remodelling. Although markers such as SA-β-galactosidase staining, yH2AX foci and p53 activation are widely used as de facto standards, they are imperfect and differ in terms of sensitivity, specificity and dependence on context. We present a multifactorial imaging platform integrating scanning electron, flow cytometry and high-resolution confocal microscopy. This allows us to identify senescence phenotypes in three in vitro models: replicative ageing via serial passaging; dose-graded genotoxic stress under serum deprivation; and primary fibroblasts from young and elderly donors. We present a multimodal imaging framework to characterise senescence-associated phenotypes by integrating LysoTracker and MitoTracker microscopy and SA-β-gal/FACS, p16INK4a immunostaining provides independent confirmation of proliferative arrest. Combined nutrient deprivation and genotoxic challenge elicited the most pronounced and concordant organelle alterations relative to single stressors, aligning with age-donor differences. Our approach integrates structural and functional readouts across modalities, reducing the impact of phenotypic heterogeneity and providing reproducible multiparametric endpoints. Although the framework focuses on a robustly validated panel of phenotypes, it is extensible by nature and sensitive to distributional shifts. This allows both drug-specific redistribution of established markers and the emergence of atypical or transient phenotypes to be detected. This flexibility renders the platform suitable for comparative studies and the screening of senolytics and geroprotectors, as well as for refining the evolving landscape of senescence-associated states. Full article
(This article belongs to the Section Image and Video Processing)
Show Figures

Figure 1

15 pages, 9213 KB  
Article
Facile Engineering of Pt-Rh Nanoparticles over Carbon for Composition-Dependent Activity and Durability Toward Glycerol Electrooxidation
by Marta Venancia França Rodrigues, Wemerson Daniel Correia dos Santos, Fellipe dos Santos Pereira, Augusto César Azevedo Silva, Liying Liu, Mikele Candida Sant’Anna, Eliane D’Elia, Roberto Batista de Lima and Marco Aurélio Suller Garcia
Hydrogen 2025, 6(4), 78; https://doi.org/10.3390/hydrogen6040078 - 3 Oct 2025
Viewed by 321
Abstract
In this study, we report the synthesis, characterization, and performance evaluation of a series of bimetallic PtxRhy/C electrocatalysts with systematically varied Rh content for glycerol electrooxidation in acidic and alkaline media. The catalysts were prepared via a polyol reduction [...] Read more.
In this study, we report the synthesis, characterization, and performance evaluation of a series of bimetallic PtxRhy/C electrocatalysts with systematically varied Rh content for glycerol electrooxidation in acidic and alkaline media. The catalysts were prepared via a polyol reduction method using ethylene glycol as both a solvent and reducing agent, with prior functionalization of Vulcan XC-72 carbon to enhance nanoparticles (NPs) dispersion. High-resolution transmission electron microscopy (HRTEM), energy-dispersive X-ray spectroscopy (EDS), and X-ray diffraction (XRD) analyses indicated the spatial co-location of Rh atoms alongside Pt atoms. Electrochemical studies revealed strong composition-dependent behavior, with Pt95Rh5/C exhibiting the highest activity toward glycerol oxidation. To elucidate the origin of raised results, density functional tight binding (DFTB) simulations were conducted to model atomic distributions and evaluate energetic parameters. The results showed that Rh atoms preferentially segregate to the surface at higher concentrations due to their lower surface energy, while at low concentrations, they remain confined within the Pt lattice. Among the series, Pt95Rh5/C exhibited a distinctively higher excess energy and less favorable binding energy, rationalizing its lower thermodynamic stability. These findings reveal a clear trade-off between catalytic activity and structural durability, highlighting the critical role of the composition and nanoscale architecture in optimizing Pt-based electrocatalysts for alcohol oxidation reactions. Full article
Show Figures

Figure 1

17 pages, 5564 KB  
Article
Thermo-Catalytic Decomposition of Natural Gas: Connections Between Deposited Carbon Nanostructure, Active Sites and Kinetic Rates
by Mpila Makiesse Nkiawete and Randy Lee Vander Wal
Catalysts 2025, 15(10), 941; https://doi.org/10.3390/catal15100941 - 1 Oct 2025
Viewed by 452
Abstract
Thermo-catalytic decomposition (TCD) presents a promising pathway for producing hydrogen from natural gas without emitting CO2. This process represents a form of fossil fuel decarbonization where the byproduct, rather than being a greenhouse gas, is a solid carbon material with potential [...] Read more.
Thermo-catalytic decomposition (TCD) presents a promising pathway for producing hydrogen from natural gas without emitting CO2. This process represents a form of fossil fuel decarbonization where the byproduct, rather than being a greenhouse gas, is a solid carbon material with potential for commercial value. This study examines the dynamic behavior of TCD, showing that carbon formed during the reaction first enhances and later dominates methane decomposition. Three types of carbon materials were employed as starting catalysts. Methane decomposition was continuously monitored using on-line Fourier transform infrared (FT-IR) spectroscopy. The concentration and nature of surface-active sites were determined using a two-step approach: oxygen chemisorption followed by elemental analysis through X-ray photoelectron spectroscopy (XPS). Changes in the morphology and nanostructure of the carbon catalysts, both before and after TCD, were examined using high-resolution transmission electron microscopy (HRTEM). Thermogravimetric analysis (TGA) was used to study the reactivity of the TCD deposits in relation to the initial catalysts. Partial oxidation altered the structural and surface chemistry of the initial carbon catalysts, resulting in activation energies of 69.7–136.7 kJ/mol for methane. The presence of C2 and C3 species doubled methane decomposition (12% → 24%). TCD carbon displayed higher reactivity than the nascent catalysts and sustained long-term activity. Full article
Show Figures

Graphical abstract

23 pages, 11246 KB  
Article
Durable Low-Friction Graphite Coatings Enabled by a Polydopamine Adhesive Underlayer
by Adedoyin Abe, Fernando Maia de Oliveira, Deborah Okyere, Mourad Benamara, Jingyi Chen, Yuriy I. Mazur and Min Zou
Lubricants 2025, 13(10), 433; https://doi.org/10.3390/lubricants13100433 - 30 Sep 2025
Viewed by 522
Abstract
This study investigates the tribological performance and wear mechanisms of graphite and polydopamine/graphite (PDA/graphite) coatings on stainless steel under dry sliding conditions. While graphite is widely used as a solid lubricant, its poor adhesion to metal substrates limits long-term durability. Incorporating an adhesion-promoting [...] Read more.
This study investigates the tribological performance and wear mechanisms of graphite and polydopamine/graphite (PDA/graphite) coatings on stainless steel under dry sliding conditions. While graphite is widely used as a solid lubricant, its poor adhesion to metal substrates limits long-term durability. Incorporating an adhesion-promoting PDA underlayer significantly improved coating lifetime and wear resistance. Tribological testing revealed that PDA/graphite coatings maintained a coefficient of friction (COF) below 0.15 for over seven times longer than graphite-only coatings. High-resolution scanning electron microscopy, SEM, and profilometry showed that PDA improved coating adhesion and suppressed lateral debris transport, confining wear to a narrow zone. Surface and counterface analyses confirmed enhanced graphite retention and formation of cohesive transfer films. Raman spectroscopy indicated only modest changes in the D and G bands. X-ray Photoelectron Spectroscopy, XPS analysis, confirmed that coating failure correlated with the detection of Fe and Cr peaks and oxide formation. Together, these results demonstrate that PDA enhances interfacial adhesion and structural stability without compromising lubrication performance, offering a strategy to extend the durability of carbon-based solid lubricant systems for high-contact-pressure applications. Full article
Show Figures

Figure 1

11 pages, 10889 KB  
Article
Post-Irradiation Annealing of Bi Ion Tracks in Si3N4: In-Situ and Ex-Situ Transmission Electron Microscopy Study
by Anel Ibrayeva, Jacques O’Connell, Ruslan Rymzhanov, Arno Janse van Vuuren and Vladimir Skuratov
Crystals 2025, 15(10), 852; https://doi.org/10.3390/cryst15100852 - 30 Sep 2025
Viewed by 264
Abstract
High-energy (710 MeV) Bi ion track morphology in polycrystalline silicon nitride was investigated during post-irradiation annealing. Using both in-situ and ex-situ transmission electron microscopy, we monitored the recovery of crystallinity within initially amorphous ion track regions. In-situ annealing involved heating samples from room [...] Read more.
High-energy (710 MeV) Bi ion track morphology in polycrystalline silicon nitride was investigated during post-irradiation annealing. Using both in-situ and ex-situ transmission electron microscopy, we monitored the recovery of crystallinity within initially amorphous ion track regions. In-situ annealing involved heating samples from room temperature to 1000 °C in 50 °C increments, each held for 10 s. We observed a steady decrease in both the size and number of tracks, with only a small number of residual crystalline defects remaining at 1000 °C. Ex-situ annealing experiments were conducted at 400 °C, 700 °C, and 1000 °C for durations of 10, 20, and 30 min. Complete restoration of the crystalline lattice occurred after 30 min at 700 °C and 20 min at 1000 °C. Due to inherent differences in geometry, heat flow, and stress conditions between thin lamella and bulk specimens, in-situ and ex-situ results cannot be compared. Molecular dynamics simulations further revealed that track shrinkage begins in cells within picoseconds, supporting the notion that recrystallization can start on very short timescales. Overall, these findings demonstrate that thermal recrystallization of damage induced by swift heavy ion irradiation in polycrystalline Si3N4 is possible. This study provides a foundation for future research aimed at better understanding radiation damage recovery in this material. Full article
(This article belongs to the Section Inorganic Crystalline Materials)
Show Figures

Figure 1

26 pages, 3132 KB  
Article
Revealing the Specific Contributions of Mitochondrial CB1 Receptors to the Overall Function of Skeletal Muscle in Mice
by Zoltán Singlár, Péter Szentesi, Nyamkhuu Ganbat, Barnabás Horváth, László Juhász, Mónika Gönczi, Anikó Keller-Pintér, Attila Oláh, Zoltán Máté, Ferenc Erdélyi, László Csernoch and Mónika Sztretye
Cells 2025, 14(19), 1517; https://doi.org/10.3390/cells14191517 - 28 Sep 2025
Viewed by 606
Abstract
Skeletal muscle, constituting 40–50% of total body mass, is vital for mobility, posture, and systemic homeostasis. Muscle contraction heavily relies on ATP, primarily generated by mitochondrial oxidative phosphorylation. Mitochondria play a key role in decoding intracellular calcium signals. The endocannabinoid system (ECS), including [...] Read more.
Skeletal muscle, constituting 40–50% of total body mass, is vital for mobility, posture, and systemic homeostasis. Muscle contraction heavily relies on ATP, primarily generated by mitochondrial oxidative phosphorylation. Mitochondria play a key role in decoding intracellular calcium signals. The endocannabinoid system (ECS), including CB1 receptors (CB1Rs), broadly influences physiological processes and, in muscles, regulates functions like energy metabolism, development, and repair. While plasma membrane CB1Rs (pCB1Rs) are well-established, a distinct mitochondrial CB1R (mtCB1R) population also exists in muscles, influencing mitochondrial oxidative activity and quality control. We investigated the role of mtCB1Rs in skeletal muscle physiology using a novel systemic mitochondrial CB1 deletion murine model. Our in vivo studies showed no changes in motor function, coordination, or grip strength in mtCB1 knockout mice. However, in vitro force measurements revealed significantly reduced specific force in both fast-twitch (EDL) and slow-twitch (SOL) muscles following mtCB1R ablation. Interestingly, knockout EDL muscles exhibited hypertrophy, suggesting a compensatory response to reduced force quality. Electron microscopy revealed significant mitochondrial morphological abnormalities, including enlargement and irregular shapes, correlating with these functional deficits. High-resolution respirometry further demonstrated impaired mitochondrial respiration, with reduced oxidative phosphorylation and electron transport system capacities in knockout mitochondria. Crucially, mitochondrial membrane potential dissipated faster in mtCB1 knockout muscle fibers, whilst mitochondrial calcium levels were higher at rest. These findings collectively establish that mtCB1Rs are critical for maintaining mitochondrial health and function, directly impacting muscle energy production and contractile performance. Our results provide new insights into ECS-mediated regulation of skeletal muscle function and open therapeutic opportunities for muscle disorders and aging. Full article
(This article belongs to the Special Issue Skeletal Muscle: Structure, Physiology and Diseases)
Show Figures

Figure 1

23 pages, 5279 KB  
Article
Green Synthesis of Zinc Oxide Nanoparticles: Physicochemical Characterization, Photocatalytic Performance, and Evaluation of Their Impact on Seed Germination Parameters in Crops
by Hanan F. Al-Harbi, Manal A. Awad, Khalid M. O. Ortashi, Latifah A. AL-Humaid, Abdullah A. Ibrahim and Asma A. Al-Huqail
Catalysts 2025, 15(10), 924; https://doi.org/10.3390/catal15100924 - 28 Sep 2025
Viewed by 810
Abstract
This study reports on green-synthesized zinc oxide nanoparticles (ZnONPs), focusing on their physicochemical characterization, photocatalytic properties, and agricultural applications. Dynamic light scattering (DLS) analysis revealed a mean hydrodynamic diameter of 337.3 nm and a polydispersity index (PDI) of 0.400, indicating moderate polydispersity and [...] Read more.
This study reports on green-synthesized zinc oxide nanoparticles (ZnONPs), focusing on their physicochemical characterization, photocatalytic properties, and agricultural applications. Dynamic light scattering (DLS) analysis revealed a mean hydrodynamic diameter of 337.3 nm and a polydispersity index (PDI) of 0.400, indicating moderate polydispersity and nanoparticle aggregation, typical of biologically synthesized systems. High-resolution transmission electron microscopy (HR-TEM) showed predominantly spherical particles with an average diameter of ~28 nm, exhibiting slight agglomeration. Energy-dispersive X-ray spectroscopy (EDX) confirmed the elemental composition of zinc and oxygen, while X-ray diffraction (XRD) analysis identified a hexagonal wurtzite crystal structure with a dominant (002) plane and an average crystallite size of ~29 nm. Photoluminescence (PL) spectroscopy displayed a distinct near-band-edge emission at ~462 nm and a broad blue–green emission band (430–600 nm) with relatively low intensity. The ultraviolet–visible spectroscopy (UV–Vis) absorption spectrum of the synthesized ZnONPs exhibited a strong absorption peak at 372 nm, and the optical band gap was calculated as 2.67 eV using the Tauc method. Fourier-transform infrared spectroscopy (FTIR) analysis revealed both similarities and distinct differences to the pigeon extract, confirming the successful formation of nanoparticles. A prominent absorption band observed at 455 cm−1 was assigned to Zn–O stretching vibrations. X-ray photoelectron spectroscopy (XPS) analysis showed that raw pigeon droppings contained no Zn signals, while their extract provided organic biomolecules for reduction and stabilization, and it confirmed Zn2+ species and Zn–O bonding in the synthesized ZnONPs. Photocatalytic degradation assays demonstrated the efficient removal of pollutants from sewage water, leading to significant reductions in total dissolved solids (TDS), chemical oxygen demand (COD), and total suspended solids (TSS). These results are consistent with reported values for ZnO-based photocatalytic systems, which achieve biochemical oxygen demand (BOD) levels below 2 mg/L and COD values around 11.8 mg/L. Subsequent reuse of treated water for irrigation yielded promising agronomic outcomes. Wheat and barley seeds exhibited 100% germination rates with ZnO NP-treated water, which were markedly higher than those obtained using chlorine-treated effluent (65–68%) and even the control (89–91%). After 21 days, root and shoot lengths under ZnO NP irrigation exceeded those of the control group by 30–50%, indicating enhanced seedling vigor. These findings demonstrate that biosynthesized ZnONPs represent a sustainable and multifunctional solution for wastewater remediation and agricultural enhancement, positioning them as a promising candidate for integration into green technologies that support sustainable urban development. Full article
(This article belongs to the Section Photocatalysis)
Show Figures

Figure 1

11 pages, 4985 KB  
Article
Morphological Characterization of Plasma-Derived Nanoparticles Isolated by High-Speed Ultracentrifugation: A Scanning Electron Microscopy Study
by Lubov A. Kungurova, Alexander A. Artamonov, Evgeniy A. Grigoryev, Aleksei Yu. Aronov, Olga S. Vezo, Ruslan I. Glushakov and Kirill A. Kondratov
Int. J. Mol. Sci. 2025, 26(19), 9422; https://doi.org/10.3390/ijms26199422 - 26 Sep 2025
Viewed by 405
Abstract
Extracellular vesicles are critical mediators of intercellular signaling. Recent studies have revealed that, in addition to vesicular structures, smaller non-vesicular nanoparticles—termed exomeres and supermeres—also participate in intercellular communication. Detailed characterization of these nanoscale entities within biological systems is essential for elucidating their structural [...] Read more.
Extracellular vesicles are critical mediators of intercellular signaling. Recent studies have revealed that, in addition to vesicular structures, smaller non-vesicular nanoparticles—termed exomeres and supermeres—also participate in intercellular communication. Detailed characterization of these nanoscale entities within biological systems is essential for elucidating their structural and functional roles. Due to their sub-50 nm dimensions, high-resolution imaging modalities such as atomic force microscopy and electron microscopy are currently the primary techniques available for their visualization. In the present study, we employed low-voltage scanning electron microscopy to investigate the size of exomeres and supermeres isolated from human blood plasma via high-speed ultracentrifugation. Platelet-poor plasma was obtained from the blood of six healthy donors (two women and four men, aged 21–46 years). By ultracentrifugation (170,000× g for 4 h), the plasma was purified of extracellular vesicles. Two fractions were sequentially isolated: one containing exomeres (170,000× g for 20 h) and one containing supermeres (370,000× g for 20 h). The particles were examined using a Zeiss Auriga microscope with no sputter coating at an accelerating voltage of 0.4–0.5 kV. The images obtained from the fractions showed particles 10–50 nm in diameter, both individual particles and aggregated structures. The fractions were also slightly contaminated with larger particles, supposedly extracellular vesicles. Examining the fractions using a dynamic light scattering device additionally revealed the presence of particles 10–18 nm in size. It should be noted that the fractions obtained did indeed contain particles measuring 10–50 nm, which corresponds to the size of exomeres and supermeres. Low-voltage scanning electron microscopy allows for examination of the structure of exomeres and supermeres in blood plasma fractions. However, it should be noted that without the use of immunological identification, this method does not allow exomeres and supermeres to be distinguished from accompanying particles. It should also be noted that because the size of exomeres and supermeres is close to the detection threshold of low-voltage scanning electron microscopy, in such studies it is generally only possible to detect the size of these particles. Full article
Show Figures

Figure 1

13 pages, 25357 KB  
Article
Low-Temperature Formation of Aluminum Nitride Powder from Amorphous Aluminum Oxalate via Carbothermal Reduction
by Wenjing Tang, Yaling Yu, Zixuan Huang, Weijie Wang, Shaomin Lin, Ji Luo, Chenyang Zhang and Zhijie Zhang
Inorganics 2025, 13(10), 317; https://doi.org/10.3390/inorganics13100317 - 25 Sep 2025
Viewed by 447
Abstract
Aluminum nitride (AlN) powder, a cornerstone material for advanced ceramics. This study examines the low-temperature formation of AlN crystals as well as their phase transformation by employing amorphous aluminum oxalate (AAO) as a novel precursor for carbothermal reduction, contrasting it with conventional aluminum [...] Read more.
Aluminum nitride (AlN) powder, a cornerstone material for advanced ceramics. This study examines the low-temperature formation of AlN crystals as well as their phase transformation by employing amorphous aluminum oxalate (AAO) as a novel precursor for carbothermal reduction, contrasting it with conventional aluminum hydroxide (Al(OH)3). Through characterization using X-ray diffraction (XRD), scanning electron microscopy (SEM), High-Resolution Transmission Electron Microscope (HRTEM), 27Al Magic-Angle Spinning Nuclear Magnetic Resonance (27Al-MAS-NMR) energy-dispersive spectroscopy (EDS), and Fourier-transform infrared spectroscopy (FTIR), we unraveled the phase evolution pathways and the formation of AlN. Key findings reveal striking differences between the two precursors. When Al(OH)3 was used, no AlN phase was detected at 1350 °C, and even at 1500 °C, the AlN obtained with significant residual alumina impurities. In contrast, the AAO precursor demonstrated exceptional efficiency: nano-sized α-Al2O3 formed at 1050 °C, followed by the emergence of AlN phases at 1200 °C, ultimately gaining the pure AlN at 1500 °C. The phase transformation sequence—Al(OH)3 → γ-Al2O3 (950 °C) → (α-Al2O3 + δ-Al2O3) (1050 °C) → (AlN + α-Al2O3) (1200 °C~ 1350 °C) → AlN (≥1500 °C)—highlights the pivotal role of nano-sized α-Al2O3 in enabling low-temperature nano AlN synthesis. By leveraging the unique properties of AAO, we offer a transformative strategy for synthesizing nano-sized AlN powders, with profound implications for the ceramics industry. Full article
(This article belongs to the Special Issue New Advances into Nanostructured Oxides, 3rd Edition)
Show Figures

Figure 1

15 pages, 6815 KB  
Article
Structural Characterization, Cytotoxicity and Microbiological Activity of One-Step-Synthesized RGO/AuNPs Nanocomposites
by Boris Martinov, Dimitar Dimitrov, Tsvetelina Foteva, Aneliya Kostadinova and Anna Staneva
Materials 2025, 18(19), 4464; https://doi.org/10.3390/ma18194464 - 25 Sep 2025
Viewed by 325
Abstract
This study presents a green, single-step method for synthesizing nanocomposites based on reduced graphene oxide (RGO) and gold nanoparticles (AuNPs), using sodium citrate as a mild reducing and stabilizing agent. AuNPs were generated from chloroauric acid (HAuCl4) directly on the surface [...] Read more.
This study presents a green, single-step method for synthesizing nanocomposites based on reduced graphene oxide (RGO) and gold nanoparticles (AuNPs), using sodium citrate as a mild reducing and stabilizing agent. AuNPs were generated from chloroauric acid (HAuCl4) directly on the surface of graphene oxide (GO), which was simultaneously reduced to RGO. Structural characterization via Transmission Electron Microscopy (TEM), High Resolution TEM (HRTEM) and Selected Area Electron Diffraction (SAED) confirms spherical AuNPs (10–60 nm) distributed on RGO sheets, with indications of nanoparticle aggregation. Dynamic Light Scattering (DLS) and zeta potential analysis support these findings, suggesting colloidal instability with higher RGO content. Biological evaluation demonstrates dose-dependent cytotoxicity in HaCaT keratinocytes, with IC50 values (half maximal inhibitory concentration) decreasing as RGO content is increased. At moderate dilutions (1–25 µL/100 µL), the composites show acceptable cell viability (>70%). Antibacterial assays reveal strong synergistic effects against Escherichia coli, Staphylococcus aureus, and Bacillus subtilis, with sample RGO/Au 0.500/0.175 g/L showing complete E. coli inhibition at low Au content (0.175 g/L). The composite retained activity even in protein-rich media, suggesting potential for antimicrobial applications. These findings highlight the potential of RGO/AuNPs composites as multifunctional materials for biomedical uses, particularly in antimicrobial coatings and targeted therapeutic strategies. Full article
(This article belongs to the Section Electronic Materials)
Show Figures

Graphical abstract

21 pages, 32435 KB  
Article
Structure and Magnetic Properties of Vanadium-Doped Heusler Ni-Mn-In Alloys
by Dmitry Kuznetsov, Elena Kuznetsova, Alexey Mashirov, Alexander Kamantsev, Denis Danilov, Georgy Shandryuk, Sergey Taskaev, Irek Musabirov, Ruslan Gaifullin, Maxim Kolkov, Victor Koledov and Pnina Ari-Gur
Nanomaterials 2025, 15(19), 1466; https://doi.org/10.3390/nano15191466 - 24 Sep 2025
Viewed by 444
Abstract
The crystal structure, texture, martensitic transformation, and magnetic properties of magnetic shape-memory Heusler alloys of Ni51−xMn33.4In15.6Vx (x = 0; 0.1; 0.3; 0.5; 1) were investigated. Experimental studies of the magnetic properties and meta-magnetostructural transition (martensitic transition—MT) [...] Read more.
The crystal structure, texture, martensitic transformation, and magnetic properties of magnetic shape-memory Heusler alloys of Ni51−xMn33.4In15.6Vx (x = 0; 0.1; 0.3; 0.5; 1) were investigated. Experimental studies of the magnetic properties and meta-magnetostructural transition (martensitic transition—MT) confirm the main sensitivity of the martensitic transition temperature to vanadium doping and to an applied magnetic field. This makes this family of shape-memory alloys promising for use in numerous applications, such as magnetocaloric cooling and MEMS technology. Diffuse electron scattering was analyzed, and the structures of the austenite and martensite were determined, including the use of TEM in situ experiments during heating and cooling for an alloy with a 0.3 at.% concentration of V. In the austenitic state, the alloys are characterized by a high-temperature-ordered phase of the L21 type. The images show nanodomain structures in the form of tweed contrast and contrast from antiphase domains and antiphase boundaries. The alloy microstructure in the temperature range from the martensitic finish to 113 K consists of a six-layer modulated martensite, with 10 M and 14 M modulation observed in local zones. The morphology of the double structure of the modulated martensite structure inherits the morphology of the nanodomain structure in the parent phase. This suggests that it is possible to control the structure of the high-temperature austenite phase and the temperature of the martensitic transition by alloying and/or rapidly quenching from the high-temperature phase. In addition, attention is paid to maintaining fine interface structures. High-resolution transmission electron microscopy showed good coherence along the austenite–martensite boundary. Full article
Show Figures

Graphical abstract

Back to TopTop