Sign in to use this feature.

Years

Between: -

Subjects

remove_circle_outline
remove_circle_outline
remove_circle_outline
remove_circle_outline
remove_circle_outline
remove_circle_outline
remove_circle_outline
remove_circle_outline
remove_circle_outline

Journals

Article Types

Countries / Regions

remove_circle_outline
remove_circle_outline
remove_circle_outline
remove_circle_outline
remove_circle_outline

Search Results (290)

Search Parameters:
Keywords = height percentiles

Order results
Result details
Results per page
Select all
Export citation of selected articles as:
9 pages, 333 KB  
Article
Methods to Diagnose Adiposity (Overweight/Obesity) in Children and Avoid Misdiagnosis: Relative Fat Mass vs. Bioelectrical Impedance Analysis
by Ana Rodriguez-Ventura, Nayeli Zuñiga-Puente, Luis F. Figueroa-Sanchez, Jessica Guerrero, Esveidy Sánchez, Tanya Perez, Fernanda Calzad and Diana Peña
BioMed 2025, 5(4), 29; https://doi.org/10.3390/biomed5040029 - 8 Dec 2025
Viewed by 153
Abstract
Background/Objectives: Bioelectrical impedance analysis (BIA) and dual-energy X-ray absorptiometry (DXA) are the gold standard to measure fat mass, but they are unavailable in regular consultations. Relative Fat Mass (RFM) and Pediatric Relative Fat Mass (pRFM) equations are calculated using DXA images in adults [...] Read more.
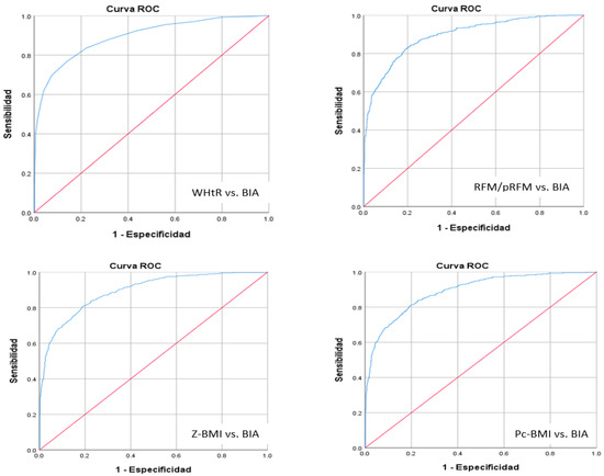
Background/Objectives: Bioelectrical impedance analysis (BIA) and dual-energy X-ray absorptiometry (DXA) are the gold standard to measure fat mass, but they are unavailable in regular consultations. Relative Fat Mass (RFM) and Pediatric Relative Fat Mass (pRFM) equations are calculated using DXA images in adults and children, but they have not been correlated with BIA. Methods: A longitudinal prospective study was conducted with 531 children from a public school followed over one year; sex, age, weight, height, waist circumference and fat mass percentage were recorded. We calculated body mass index Z-score (Z-BMI), body mass index percentile (Pc BMI), waist-to-height ratio (WHtR), and RFM-pRFM to diagnose Overweight (Ow)/Obesity (Ob). We used descriptive statistics, Pearson’s correlation, sensitivity and specificity, 95% CI, and ROC curves; SPSS version 22 was used. Results: Adiposity was found in 34.5%, 33.2%, 21.5% and 43.5% of children using Z-BMI, Pc BMI, WHtR, and BIA, respectively; excluding children younger than 8 years old, the frequency of adiposity was 51.5% by RFM-pRFM. The highest correlation was between RFM-pRFM and BIA (0.84, p < 0.000). Of the total measurements of each visit considered as normal weight using Z-BMI, 21.5% had adiposity using BIA, and the proportion of girls underdiagnosed was twice that of boys. Conclusions: RFM-pRFM had the highest correlation with BIA but Z-BMI, Pc BMI, and WHtR are also helpful. It is important to consider that 21.5% of children with apparent normal weight present adiposity. Full article
Show Figures

Figure 1

20 pages, 5982 KB  
Article
Estimating Growing Stock Volume at Tree and Stand Levels for Chinese Fir (Cunninghamia lanceolata) in Southern China Using UAV Laser Scanning
by Zhigang Yang, Zexin Guo, Jianpei Zhou, Kang Shen, Die Zhong, Xinfu Feng, Sheng Ding and Jinsheng Ye
Forests 2025, 16(12), 1779; https://doi.org/10.3390/f16121779 - 27 Nov 2025
Viewed by 249
Abstract
UAV laser scanning (UAV-LS) combines extensive scanning coverage with high point cloud density, enabling efficient and precise acquisition of key forest attributes. Based on field-measured data and UAV-LS data from 138 Chinese fir (Cunninghamia lanceolata) plantation plots in southern China, this [...] Read more.
UAV laser scanning (UAV-LS) combines extensive scanning coverage with high point cloud density, enabling efficient and precise acquisition of key forest attributes. Based on field-measured data and UAV-LS data from 138 Chinese fir (Cunninghamia lanceolata) plantation plots in southern China, this study systematically developed growing stock volume (GSV) estimation models at both tree and stand levels. The models included base models (allometric models), linear models, dummy variable models incorporating age groups, and nonlinear mixed-effects models incorporating random effects (plot and area levels for the tree level, and only the area level for the stand level). The results showed the following: (1) Stand-level GSV prediction relied primarily on height metrics, achieving optimal performance through a combination of the 10th cumulative height percentile (AIH10) and canopy cover (CC), both of which showed near-linear relationships with GSV; tree-level GSV was predicted by LiDAR-derived tree height (LH) and crown width (LCW), with LH explaining most variation. (2) Tree-level models achieved R2 = 0.639–0.725 and RMSE = 0.050–0.058 m3, exhibiting larger individual prediction errors (mean percentage standard error, MPSE > 30%) with smaller aggregate prediction errors (mean prediction error, MPE < 1%); stand-level models reached R2 = 0.785–0.879 and RMSE = 46.052–61.314 m3 ha−1 while maintaining controlled errors across scales (MPE < 5%, MPSE < 20%). (3) At both the tree and stand levels, the nonlinear mixed-effects model outperformed the others, followed by the dummy variable model and the base model, with the linear model exhibiting the worst performance; area-level random effects primarily influenced the baseline value of tree-level GSV and the allometric relationship between stand-level GSV and AIH10, whereas plot-level random effects affected the allometric relationships of tree-level GSV with LH and LCW. This study confirms the effectiveness of UAV-LS for large-scale forest resource monitoring, while underscoring the necessity of incorporating spatial heterogeneity in GSV estimation. Full article
(This article belongs to the Special Issue Forest Resources Inventory, Monitoring, and Assessment)
Show Figures

Figure 1

13 pages, 4834 KB  
Article
Validation of Body Surface Area Equations for Estimating Fat-Free Mass by Dual X-Ray Absorptiometry in a Regional Chilean Sample Aged 4 to 85 Years
by Marco Cossio-Bolaños, Rubén Vidal Espinoza, Jose Sulla-Torres, Camilo Urra-Albornoz, Lucila Sanchez-Macedo, Miguel de Arruda, Fernando Alvear-Vasquez, Evandro Lazari and Rossana Gomez-Campos
Diagnostics 2025, 15(23), 2982; https://doi.org/10.3390/diagnostics15232982 - 24 Nov 2025
Viewed by 264
Abstract
Background/Objectives: Body surface area (BSA) is an important metric that represents human dimensionality and could provide a more accurate representation of body composition. The objectives were (a) to verify the validity of a set of equations based on BSA to estimate lean body [...] Read more.
Background/Objectives: Body surface area (BSA) is an important metric that represents human dimensionality and could provide a more accurate representation of body composition. The objectives were (a) to verify the validity of a set of equations based on BSA to estimate lean body mass (LBM), using dual X-ray absorptiometry (DXA) as a reference method and (b) to propose reference values of BSA by anthropometry and LBM by DXA in a regional sample of Chile aged 4 to 85 years. Methods: A descriptive cross-sectional study was performed. The sample size was 5493 participants. Weight and height were measured. BSA was calculated using seven equations. LBM was assessed by DXA. Results: Only three BSA equations (Dubois–Dubois, 1916, Fujimoto, Watanabe, 1969, and Mattar, 1981) best explained LBM. The explanatory power for males was R2 = 83 to 84%, and that for females was R2 = 69%. The standard error of estimation (SEE) of the three equations showed acceptable values in both sexes. These values ranged from 0.049 to 0.080 in males and from 0.035 to 0.088 in females. The Bland–Altman concordance analysis showed adequate limits of agreement. In men, they ranged from −0.092 to 0.069 m2. In females, they ranged from −0.064 to 0.084 m2. Reference values for BSA and LBM were constructed using percentiles. Conclusions: This study demonstrated the validity of three equations for estimating LBM in a Chilean sample aged between 4 and 85 years. These results show consistent behavior and acceptable accuracy, especially in the Mattar equation for all ages. However, the Dubois & Dubois and Fujimoto equations could also be an alternative in females. Reference values were generated for BSA and LBM according to age and sex. The results suggest their applicability and usefulness in clinical and public health contexts. Full article
Show Figures

Figure 1

12 pages, 979 KB  
Article
Longitudinal Changes in the Adjusted Body Mass Index (BMI) Percentile Among Children in Riyadh, Saudi Arabia, During and After the COVID-19 Lockdown
by Amal Alhakami, Ebtihag O. Alenzi, Najla Ali Algariri, Rawan Abdulaziz Assiri and Hala Muidh Alqahtani
Healthcare 2025, 13(22), 2875; https://doi.org/10.3390/healthcare13222875 - 12 Nov 2025
Viewed by 231
Abstract
Background: The COVID-19 pandemic has imposed significant changes on daily life. It negatively impacts children’s physical activity and lifestyle behaviors, which may cause accelerated weight gain during the COVID-19 pandemic. This study aims to evaluate children’s longitudinal age- and sex-adjusted body mass index [...] Read more.
Background: The COVID-19 pandemic has imposed significant changes on daily life. It negatively impacts children’s physical activity and lifestyle behaviors, which may cause accelerated weight gain during the COVID-19 pandemic. This study aims to evaluate children’s longitudinal age- and sex-adjusted body mass index (BMI) percentile changes during and after the COVID-19 pandemic. Methods: Height and weight data were obtained from electronic medical records for children (ages 2–18) visiting outpatient clinics during three periods: pre-COVID-19 lockdown, during COVID-19 lockdown, and post-COVID-19 lockdown. According to the availability of anthropometric information, three partially overlapping cohorts were formed: Cohort 1 (N = 934, pre- and during lockdown), Cohort 2 (N = 1129, during and post-lockdown), and Cohort 3 (N = 203, data from all three periods). Results: During the lockdown, the mean changes in percentiles of age- and sex-adjusted BMI were 6% ± 0.23, while after the lockdown, there were smaller mean changes in BMI percentiles (1% ± 0.19). There were significant associations of age and the baseline BMI categories with the change in the means of the adjusted BMI percentile of children during and after the COVID-19 pandemic (p-value < 0.001). In addition, there were significant associations of gender and the baseline BMI categories with the change in the means of the adjusted BMI percentile of children over a three-time series (p-value: <0.04, <0.001, respectively). Conclusions: In conclusion, children experienced increased BMI during and after the COVID-19 lockdown. This result highlights the importance of structured interventions to mitigate the consequences during challenging times on children’s health. Full article
Show Figures

Figure 1

11 pages, 280 KB  
Article
Maternal Pre-Pregnancy Glycemic Status and Growth Delay in Korean Children Aged 18–36 Months: A Population-Based Study
by Eun-Jung Oh, Yeeun Han, Tae-Eun Kim, Sang-Hyun Park, Hye Won Park, Hyuk Jung Kweon, Jaekyung Choi and Jinyoung Shin
J. Clin. Med. 2025, 14(20), 7230; https://doi.org/10.3390/jcm14207230 - 14 Oct 2025
Viewed by 525
Abstract
Background/Objectives: This study aimed at evaluating the association between maternal pre-pregnancy glycemic status and growth delay in offspring using nationwide health screening data. Methods: A retrospective cohort of 258,367 mother–child dyads born between 2014 and 2021 was analyzed. Maternal glycemic status [...] Read more.
Background/Objectives: This study aimed at evaluating the association between maternal pre-pregnancy glycemic status and growth delay in offspring using nationwide health screening data. Methods: A retrospective cohort of 258,367 mother–child dyads born between 2014 and 2021 was analyzed. Maternal glycemic status was categorized as normal (<100 mg/dL), impaired fasting glucose (IFG, 100–125 mg/dL), or diabetes mellitus (DM, ≥126 mg/dL). Growth delay was defined as measurements below the 10th percentile of height, weight, and head circumference at 18–24 and 30–36 months. Visual and auditory development were assessed using caregiver questionnaires. Inverse probability of treatment weighting was applied, and weighted relative risks (RRs) were estimated. Results: The prevalence of growth delay was 3.5% for height, 3.8% for weight, and 4.3% for head circumference; visual and auditory problems were reported in 1.2% and 8.2% of children, respectively. Both the DM (1.2%) and IFG (9.3%) groups showed increased risks of growth delay across both age periods. Maternal hyperglycemia was also associated with offspring’s visual and auditory development, with age- and period-specific differences observed. Conclusions: Maternal pre-pregnancy glycemic status was significantly associated with delayed growth in Korean children aged 18–36 months. These findings highlight the importance of optimizing maternal glycemic control prior to pregnancy for favorable child developmental outcomes. Full article
Show Figures

Figure 1

16 pages, 786 KB  
Article
Effects of Oral Nutritional Supplementation on Body Composition and Bone Health in Undernourished Children: A Randomized Controlled Study
by Anuradha Khadilkar, Arati Ranade, Neelambari Bhosale, Swati Hiremath and Nirali Mehta
J. Clin. Med. 2025, 14(19), 6972; https://doi.org/10.3390/jcm14196972 - 1 Oct 2025
Viewed by 1732
Abstract
Background/Objectives: While oral nutritional supplements (ONSs) are known to support general growth in undernourished children, their specific effects on body composition and bone health remain underexplored. This manuscript evaluates the impact of ONS combined with dietary counselling (DC) on these outcomes in [...] Read more.
Background/Objectives: While oral nutritional supplements (ONSs) are known to support general growth in undernourished children, their specific effects on body composition and bone health remain underexplored. This manuscript evaluates the impact of ONS combined with dietary counselling (DC) on these outcomes in Indian children aged 3 to 6.9 years at nutritional risk, within the framework of a larger randomized controlled trial assessing multiple growth parameters. Methods: This prospective, randomized controlled trial was conducted among Indian children, both male and female participants with picky eating habits and at risk of undernutrition, aged 3 to 6.9 years (height-for-age and weight-for-height below the 25th percentile per WHO Growth Standards and Growth Reference). Participants were randomized in a 1:1 ratio to receive either ONS + DC or DC alone for 6 months. Body composition, bone mineral density (BMD), and bone mineral content (BMC) were measured using dual-energy X-ray absorptiometry (DXA) at baseline and after 6 months. Group differences were analyzed to evaluate intervention effects. Results: A total of 223 children were enrolled and randomized. At 6 months, the test group showed significantly greater improvements in BMD (0.023 g/cm2) compared to the control (0.017 g/cm2; p = 0.004), and a greater gain in BMC (36.60 g vs. 28.48 g; p =0.0007). Lean mass increased significantly more in the test group (926.33 g) versus the control (801.48 g; p = 0.0401). Fat mass showed a numerical reduction in the test group (−171.42 g) compared with the control group (−114.60 g), although this difference was not statistically significant. Conclusions: These findings highlight the potential of targeted nutritional interventions to favorably improve body composition and bone health during critical growth periods in undernourished children, offering a promising approach to address early-life nutritional deficits with lasting health benefits. Full article
(This article belongs to the Section Clinical Nutrition & Dietetics)
Show Figures

Figure 1

26 pages, 3841 KB  
Article
Comparison of Regression, Classification, Percentile Method and Dual-Range Averaging Method for Crop Canopy Height Estimation from UAV-Based LiDAR Point Cloud Data
by Pai Du, Jinfei Wang and Bo Shan
Drones 2025, 9(10), 683; https://doi.org/10.3390/drones9100683 - 1 Oct 2025
Viewed by 641
Abstract
Crop canopy height is a key structural indicator that is strongly associated with crop development, biomass accumulation, and crop health. To overcome the limitations of time-consuming and labor-intensive traditional field measurements, Unmanned Aerial Vehicle (UAV)-based Light Detection and Ranging (LiDAR) offers an efficient [...] Read more.
Crop canopy height is a key structural indicator that is strongly associated with crop development, biomass accumulation, and crop health. To overcome the limitations of time-consuming and labor-intensive traditional field measurements, Unmanned Aerial Vehicle (UAV)-based Light Detection and Ranging (LiDAR) offers an efficient alternative by capturing three-dimensional point cloud data (PCD). In this study, UAV-LiDAR data were acquired using a DJI Matrice 600 Pro equipped with a 16-channel LiDAR system. Three canopy height estimation methodological approaches were evaluated across three crop types: corn, soybean, and winter wheat. Specifically, this study assessed machine learning regression modeling, ground point classification techniques, percentile-based method and a newly proposed Dual-Range Averaging (DRA) method to identify the most effective method while ensuring practicality and reproducibility. The best-performing method for corn was Support Vector Regression (SVR) with a linear kernel (R2 = 0.95, RMSE = 0.137 m). For soybean, the DRA method yielded the highest accuracy (R2 = 0.93, RMSE = 0.032 m). For winter wheat, the PointCNN deep learning model demonstrated the best performance (R2 = 0.93, RMSE = 0.046 m). These results highlight the effectiveness of integrating UAV-LiDAR data with optimized processing methods for accurate and widely applicable crop height estimation in support of precision agriculture practices. Full article
(This article belongs to the Special Issue UAV Agricultural Management: Recent Advances and Future Prospects)
Show Figures

Figure 1

15 pages, 251 KB  
Article
Associations of Hair Biomarkers with Height, Weight, and Body Mass Index in Preschool Children
by Anjali Gupta, Cynthia R. Rovnaghi and Kanwaljeet J. S. Anand
Children 2025, 12(9), 1264; https://doi.org/10.3390/children12091264 - 20 Sep 2025
Viewed by 841
Abstract
Background: Adverse childhood experiences (ACEs) can lead to hypothalamic–pituitary–adrenal axis dysregulation, negatively impacting child growth and development. Methods: The Hair Biomarkers Study (HBS-I) evaluated healthy preschool children using parent-reported surveys, anthropometrics, and painlessly obtained scalp hair to measure hair cortisol (HCC; ng/mg) and [...] Read more.
Background: Adverse childhood experiences (ACEs) can lead to hypothalamic–pituitary–adrenal axis dysregulation, negatively impacting child growth and development. Methods: The Hair Biomarkers Study (HBS-I) evaluated healthy preschool children using parent-reported surveys, anthropometrics, and painlessly obtained scalp hair to measure hair cortisol (HCC; ng/mg) and oxytocin concentrations (HOC; ng/mg) via ELISA; log-transformed data were used in analyses. Height, weight, and BMI percentiles were based on CDC growth curves. Linear regressions examined associations of child and maternal hair biomarkers with percentiles, adjusting for sociodemographic factors. Results: The median age was 39.1 months (IQR 23.5–53.0, N = 1189). Higher child Ln-HCC was associated with an increased BMI percentile (0.027; 95%Cl: 0.013, 0.040), while higher child Ln-HOC was associated with a decreased BMI (−0.016; 95%Cl: −0.028, −0.005). Similar significant associations were observed between maternal biomarkers and child growth. In models mutually adjusted for mother and child hair biomarkers, maternal Ln-HCC was associated with an increased BMI percentile (0.036; 95%Cl: 0.003, 0.069), while maternal Ln-HOC was associated with a decreased BMI percentile (−0.034; 95%Cl: −0.052, −0.016). Maternal ACEs of 2–3 vs. 0–1 were associated with increased child weight (0.057; 95%Cl: 0.003, 0.112) and BMI percentiles (0.076; 95%Cl: 0.017, 0.135). Conclusions: We show that higher maternal and child HCC was associated with increased child BMI percentiles, while higher HOC was linked with decreased BMI percentiles. Hair biomarkers may reflect the effects of nurturing vs. adverse experiences during critical windows of growth and development in early childhood. Full article
(This article belongs to the Special Issue Adverse Childhood Experiences: Assessment and Long-Term Outcomes)
21 pages, 460 KB  
Article
Impact of Oral Nutritional Supplementation and Dietary Counseling on Outcomes of Linear Catch-Up Growth in Indian Children Aged 3–6.9 Years: Findings from a 6-Month Randomized Controlled Trial
by Anuradha Khadilkar, Arati Ranade, Neelambari Bhosale, Swapnil Motekar and Nirali Mehta
Children 2025, 12(9), 1152; https://doi.org/10.3390/children12091152 - 29 Aug 2025
Cited by 1 | Viewed by 2104
Abstract
Background/Objectives: In India, according to the National Family Health Survey (NFHS-5), 36% of children under five years old are stunted, 19% are wasted, and 32% are underweight, indicating widespread undernutrition. Methods: A randomized controlled trial was conducted between August 2023 and [...] Read more.
Background/Objectives: In India, according to the National Family Health Survey (NFHS-5), 36% of children under five years old are stunted, 19% are wasted, and 32% are underweight, indicating widespread undernutrition. Methods: A randomized controlled trial was conducted between August 2023 and May 2024 (CTRI/2023/04/051566), enrolling 223 undernourished Indian children, randomly assigned to the oral nutritional supplement (ONS) + dietary counseling (DC) (n = 111) arm or the dietary counseling (DC) arm (n = 112). This study recruited both male and female subjects with picky eating habits and with height-for-age (HAP) and weight-for-height percentiles (WHP) below the 25th percentile according to the WHO Growth Standards and Growth Reference. Outcomes assessed were anthropometric indices, dietary intake, sick days, and nutrient adequacy. Data were analyzed using ANCOVA, with statistical significance at p < 0.05. Results: At 6 months, the ONS + DC group showed significant improvements compared to DC in HAP (12.1 vs. −0.4, LS Mean difference [95% CI], 13.3 [11.13, 15.48], p < 0.0001), and WAP (9.7 vs. 2.3, LS Mean difference [95% CI] 7.9 [5.07, 10.78], p < 0.0001). MUACP significantly increased in the ONS + DC group (11.1 vs. −1.0 in DC, LS Mean difference [95% CI], 11.1 [5.28, 16.99], p < 0.0001). Dietary intake of carbohydrates, proteins, and energy was significantly higher in the ONS + DC group at 3 months, with sustained improvements at 6 months. By 6 months, the ONS + DC group showed a significantly higher protein-to-energy intake ratio compared to the DC group (0.0027 vs. −0.0003, LS Mean difference [95% CI] 0.00224 [0.00025, 0.00423], p = 0.0204). Conclusions: The addition of ONS + DC significantly improved linear catch-up growth outcomes in children at risk of undernutrition as a result of improved energy and nutrient intake and a higher protein-to-energy ratio. Full article
(This article belongs to the Special Issue Nutritional Supplement Use in Infants and Children)
Show Figures

Figure 1

18 pages, 1848 KB  
Article
Updated Swiss Growth References 2025: No Height Differences, but BMI Variations Associated with Migration
by Urs Eiholzer, Anika Stephan, Ilja Dubinski, Christiane Fritz and Cees Noordam
J. Clin. Med. 2025, 14(16), 5912; https://doi.org/10.3390/jcm14165912 - 21 Aug 2025
Cited by 1 | Viewed by 1899
Abstract
Background/Objectives: The 2019 Swiss growth references for height, weight, and BMI were based on a large dataset from the German-speaking part of Switzerland (Cohort 2019). The current study aimed to ensure national representativeness by proportionate amounts of additional data from the French-speaking (Suisse [...] Read more.
Background/Objectives: The 2019 Swiss growth references for height, weight, and BMI were based on a large dataset from the German-speaking part of Switzerland (Cohort 2019). The current study aimed to ensure national representativeness by proportionate amounts of additional data from the French-speaking (Suisse Romande) and Italian-speaking (Ticino) regions to validate the 2019 growth curves and to update the national growth references. It also investigated the influence of parental migration background on child growth. Methods: Anthropometric data from 43,290 children and adolescents—including 11,816 new cases—were analyzed (Cohort 2019 + 2025). Percentile curves were modeled using the Generalized Additive Models for Location, Scale, and Shape (GAMLSS) framework. Results: The extended dataset largely confirms the 2019 growth references. Variations in height percentiles were small and clinically negligible. Clinically relevant differences in BMI percentiles were observed in girls, with the most pronounced deviations—up to 0.8 kg/m2—at the 97th percentile. Analyses by parental migration background revealed relevant differences in BMI. Conclusions: The extended Swiss Growth References (Cohort 2019 + 2025) are robust and provide valid reference data for all Swiss children and adolescents, offering contemporary tools for decision-making in clinical practice. To maintain their validity over time, targeted updates are required, with special attention to demographic changes resulting from migration. Full article
(This article belongs to the Section Clinical Pediatrics)
Show Figures

Figure 1

16 pages, 2864 KB  
Article
RANKL/OPG Axis and Bone Mineral Density in Pediatric Inflammatory Bowel Disease
by Mariusz Olczyk, Agnieszka Frankowska, Marcin Tkaczyk, Anna Socha-Banasiak, Renata Stawerska, Anna Łupińska, Zuzanna Gaj, Ewa Głowacka and Elżbieta Czkwianianc
J. Clin. Med. 2025, 14(15), 5440; https://doi.org/10.3390/jcm14155440 - 1 Aug 2025
Viewed by 963
Abstract
Background: Inflammatory bowel diseases (IBD), such as Crohn’s disease (CD) and ulcerative colitis (UC), may impair bone metabolism, particularly in children. The RANKL/OPG axis, as a key regulator of bone turnover, may contribute to these disturbances. However, data in the pediatric population [...] Read more.
Background: Inflammatory bowel diseases (IBD), such as Crohn’s disease (CD) and ulcerative colitis (UC), may impair bone metabolism, particularly in children. The RANKL/OPG axis, as a key regulator of bone turnover, may contribute to these disturbances. However, data in the pediatric population remain limited. Methods: A single-center, prospective observational study included 100 children aged 4–18 years, with a comparable number of girls and boys. Among them, 72 had IBD (27 CD, 45 UC) and 28 were healthy controls. Anthropometric, biochemical, and densitometric assessments were performed, including serum levels of RANKL and OPG, and markers of inflammation and bone turnover. Results: Children with CD had significantly lower height and weight percentiles compared to UC and controls. Serum RANKL and the RANKL/OPG ratio were significantly elevated in IBD patients, particularly in CD (p < 0.01). Total body BMD Z-scores were lower in IBD compared to controls (p = 0.03). Low BMD was found in 14.7% of UC and 26.3% of CD patients. In both groups, over 30% had values in the “gray zone” (−1.0 to −2.0). A positive correlation was observed between height and weight and bone density (p < 0.01). Higher OPG was associated with lower body weight (p < 0.001), while increased RANKL correlated with osteocalcin (p = 0.03). Patients receiving biological therapy had significantly lower BMD. Conclusions: Pediatric IBD is associated with significant alterations in the RANKL/OPG axis and reduced bone density. These findings support early screening and suggest RANKL/OPG as a potential biomarker of skeletal health. Full article
Show Figures

Graphical abstract

13 pages, 544 KB  
Article
Normative Data for Vertical Jump Tests in Pre-School Children Aged 3 to 6 Years
by Vilko Petrić, Sanja Ljubičić and Dario Novak
Biomechanics 2025, 5(3), 56; https://doi.org/10.3390/biomechanics5030056 - 1 Aug 2025
Cited by 1 | Viewed by 4739
Abstract
Background/Objectives: Vertical jump is considered a reliable and valid method of assessing the level of muscular power and coordination across one’s lifespan. The main aim of the present study was to establish sex- and age-normative data for vertical jump outcomes in pre-school [...] Read more.
Background/Objectives: Vertical jump is considered a reliable and valid method of assessing the level of muscular power and coordination across one’s lifespan. The main aim of the present study was to establish sex- and age-normative data for vertical jump outcomes in pre-school children. Methods: We recruited 411 boys and girls aged 3−6 years from four major cities in Croatia and Slovenia. Vertical jump was assessed with two tests: countermovement jump (CMJ) without and with arm swing using a reliable and valid Optojump measuring platform. Data were presented for the 5th, 15th, 25th, 50th (median), 75th, 90th, and 95th percentile. Results: No significant differences were observed in multiple vertical jump outcomes between boys and girls. The mean values for CMJ without and with arm swing between boys and girls were as follows: contact time (1.4 vs. 1.4 s/1.8 vs. 1.7 s), flight time (0.32 vs. 0.31 s/0.33 vs. 0.32), height (12.3 vs. 12.2 cm/13.0 vs. 12.5 cm), power (9.4 vs. 9.5 W/kg/9.3 vs. 9.1 W/kg), pace (0.7 vs. 0.7 steps/s/0.6 vs. 0.6 steps/s), reactive strength index (RSI; 0.10 vs. 0.09 m/s/0.08 vs. 0.08 m/s), and verticality (2.5 vs. 2.3/1.9 vs. 1.9). A gradual increase in all measures according to ‘age’ was observed (p for trend < 0.05). No significant ‘sex*age’ interaction was observed (p > 0.05). Conclusions: This is one of the first studies to provide sex- and age-normative data for complete vertical jump outcomes in pre-school children. These data will serve as an avenue for monitoring and tracking motor development in this sensitive period. Full article
(This article belongs to the Section Sports Biomechanics)
Show Figures

Figure 1

16 pages, 686 KB  
Article
Age- and Sex-Specific Reference Values for Handgrip Strength Among Healthy Tunisian Adolescents
by Souhail Bchini, Ismail Dergaa, Dhouha Moussaoui, Halil İbrahim Ceylan, Taoufik Selmi, Raul Ioan Muntean and Nadhir Hammami
Medicina 2025, 61(8), 1383; https://doi.org/10.3390/medicina61081383 - 30 Jul 2025
Viewed by 1189
Abstract
Background and Objectives: Handgrip strength represents a critical indicator of physical fitness and nutritional status in adolescents, yet population-specific reference values remain limited in developing countries. Understanding age- and sex-specific variations is crucial for accurate clinical assessment and effective health monitoring. The objective [...] Read more.
Background and Objectives: Handgrip strength represents a critical indicator of physical fitness and nutritional status in adolescents, yet population-specific reference values remain limited in developing countries. Understanding age- and sex-specific variations is crucial for accurate clinical assessment and effective health monitoring. The objective of this study was to establish comprehensive reference values for handgrip strength in healthy Tunisian adolescents aged 13–19 years and examine sex and age group differences in these measures. Materials and Methods: This cross-sectional study was conducted between September 2024 and June 2025, involving a sample of 950 participants (482 males, 468 females) aged 13–19 years from northwest Tunisia. Handgrip strength was measured using standardized dynamometry protocols for both hands. Anthropometric measurements included height, weight, and body mass index. Percentile curves were generated using the LMS method, and correlations between handgrip strength and anthropometric variables were analyzed using Pearson correlation coefficients. Results: Males demonstrated significantly higher handgrip strength than females from age 13 onward (13 years: p = 0.021; 14–19 years: p ≤ 0.001). Effect sizes for sex differences were consistently large across age groups (Cohen’s d range: 0.53–2.09 for the dominant hand). Mean dominant handgrip strength ranged from 25.60 ± 7.73 kg to 47.60 ± 12.45 kg in males and 21.90 ± 6.13 kg to 28.40 ± 4.74 kg in females across age groups. After adjusting for body mass, sex differences remained significant between groups (13 years: p = 0.014; d= 1.5; 14–19 years: p ≤ 0.001; d: 1.71–3.12). Strong positive correlations emerged between handgrip strength and height (males: r = 0.748, females: r = 0.601), body mass (males: r = 0.659, females: r = 0.601), and body mass index (BMI) (males: r = 0.391, females: r = 0.461). Body mass and height emerged as the strongest predictors of handgrip strength in both sexes, while BMI showed a smaller but still significant contribution. Conclusions: This study provides the first comprehensive age- and sex-specific reference values for handgrip strength in Tunisian adolescents. Healthcare providers can utilize these percentile charts for the clinical assessment and identification of musculoskeletal fitness deficits. The results suggest its use in educational and clinical contexts. Full article
(This article belongs to the Section Sports Medicine and Sports Traumatology)
Show Figures

Figure 1

11 pages, 1250 KB  
Article
Height Velocity in Pediatric Cystic Fibrosis Under Triple CFTR Modulator Therapy: A Real-Life Monocentric Experience
by Alessandra Boni, Francesco d’Aniello, Grazia Ubertini, Marco Cappa, Fabiana Ciciriello, Fabio Majo, Luca Cristiani, Federico Alghisi, Enza Montemitro, Sergio Bella, Matteo De Marchis, Renato Cutrera and Alessandro G. Fiocchi
J. Clin. Med. 2025, 14(15), 5259; https://doi.org/10.3390/jcm14155259 - 25 Jul 2025
Cited by 1 | Viewed by 727
Abstract
Background/Objectives: Cystic fibrosis (CF) is a multi-system disorder characterized by chronic respiratory failure, malnutrition, and impaired growth. Achieving linear growth above the 50th percentile is associated with better pulmonary outcomes. Since October 2022, Elexacaftor/Tezacaftor/Ivacaftor (ETI) has been approved in Italy for children aged [...] Read more.
Background/Objectives: Cystic fibrosis (CF) is a multi-system disorder characterized by chronic respiratory failure, malnutrition, and impaired growth. Achieving linear growth above the 50th percentile is associated with better pulmonary outcomes. Since October 2022, Elexacaftor/Tezacaftor/Ivacaftor (ETI) has been approved in Italy for children aged ≥6 years. However, data on its impact on height velocity (HV) remain lacking. This study aims to evaluate growth patterns by HV and explore differences according to the CFTR variant genotype. Methods: We conducted a prospective single-center study at the CF Unit of Bambino Gesù Children’s Hospital involving 24 children aged 6–11 years eligible for ETI treatment. Baseline assessments included height, weight, body mass index (BMI), bone mineral density (BMD), body composition (via bioelectrical impedance analysis, BIA), and muscle strength (one-minute sit-to-stand test (1STST)). Height, weight, HV, and BMI standard deviation scores (SDS) were calculated for the 6 months before and after ETI initiation. Results: The mean age of the cohort was 8.7 ± 1.9 years (F/M: 12/12), with most patients naïve to CFTR modulators. A significant increase in HV was observed post-ETI: from 4.2 ± 2.0 cm/year (−1.96 ± 2.4 SDS) in the 6 months before treatment to 7.1 ± 3.0 cm/year (+1.5 ± 3.7 SDS) after treatment initiation (p < 0.0001). Patients with F508del/minimal function (F/MF) genotypes (n = 11) showed significantly greater HV compared to those with F508del/F508del (F/F, n = 5) and F508del/residual function (F/RF, n = 8) genotypes (p < 0.0001). No significant differences were observed among genetic groups in baseline BMD or lean mass. Conclusions: ETI treatment significantly and rapidly improves HV in children with CF, particularly in those with F/MF genotypes. These findings underscore the role of CFTR modulator therapy in promoting linear growth, a key indicator of health in pediatric CF populations. Full article
(This article belongs to the Special Issue Cystic Fibrosis: Diagnosis and Treatment)
Show Figures

Figure 1

13 pages, 248 KB  
Article
Negative Weight Attitudes and Disordered Eating Behaviors in Hispanic Adolescents: A Descriptive Study of Gender and Weight Status Associations
by Tabbetha D. Lopez, Aliye B. Cepni, Katherine R. Hendel, Lenora P. Goodman, Margit Wiesner, Craig A. Johnston, Kevin Haubrick and Tracey A. Ledoux
J. Clin. Med. 2025, 14(15), 5211; https://doi.org/10.3390/jcm14155211 - 23 Jul 2025
Viewed by 761
Abstract
Background/Objectives: Hispanic adolescents experience elevated rates of disordered eating behaviors and body dissatisfaction, yet limited research has examined how gender and weight status interact to shape these risks within this population. Methods: A cross-sectional survey was conducted among 680 Hispanic adolescents [...] Read more.
Background/Objectives: Hispanic adolescents experience elevated rates of disordered eating behaviors and body dissatisfaction, yet limited research has examined how gender and weight status interact to shape these risks within this population. Methods: A cross-sectional survey was conducted among 680 Hispanic adolescents (ages 9–15) from a predominantly Mexican-American middle school. Participants completed the Modified Kids Eating Disorder Survey (M-KEDS), and height and weight were objectively measured to determine BMI-for-age percentile. Chi-square tests, Mann–Whitney U tests, and logistic regression were used to assess differences by gender and weight status, including interaction effects. Bonferroni correction was applied for multiple comparisons. Effect sizes (Cramér’s V, odds ratios with 95% CI) were reported. Results: Approximately 73% of participants reported body dissatisfaction, with significant differences observed by gender and weight status. Adolescents with overweight/obesity reported significantly higher negative weight attitudes and extreme weight control behaviors than healthy-weight peers (p < 0.001), with large effect sizes. Females endorsed more disordered attitudes and behaviors, except for exercise to lose weight, which was more common among overweight/obese males. Conclusions: These findings underscore the high prevalence and significance of disordered eating behaviors in Hispanic adolescents, including those at a healthy weight. Results highlight the importance of culturally tailored, gender-sensitive screening and prevention strategies. Schools serve as critical settings for early identification, and tools like the M-KEDS can help address disparities in care access and improve outcomes among Hispanic youth. Full article
Back to TopTop