Sign in to use this feature.

Years

Between: -

Subjects

remove_circle_outline
remove_circle_outline
remove_circle_outline
remove_circle_outline

Journals

Article Types

Countries / Regions

Search Results (7)

Search Parameters:
Keywords = habitual breakfast patterns

Order results
Result details
Results per page
Select all
Export citation of selected articles as:
25 pages, 1126 KB  
Article
Traditional and Non-Traditional Clustering Techniques for Identifying Chrononutrition Patterns in University Students
by José Gerardo Mora-Almanza, Alejandra Betancourt-Núñez, Pablo Alejandro Nava-Amante, María Fernanda Bernal-Orozco, Andrés Díaz-López, José Alfredo Martínez and Barbara Vizmanos
Nutrients 2026, 18(2), 190; https://doi.org/10.3390/nu18020190 - 6 Jan 2026
Viewed by 719
Abstract
Background/Objectives: Chrononutrition—the temporal organization of food intake relative to circadian rhythms—has emerged as an important factor in cardiometabolic health. While meal timing is typically analyzed as an isolated variable, limited research has examined integrated meal timing patterns, and no study has systematically compared [...] Read more.
Background/Objectives: Chrononutrition—the temporal organization of food intake relative to circadian rhythms—has emerged as an important factor in cardiometabolic health. While meal timing is typically analyzed as an isolated variable, limited research has examined integrated meal timing patterns, and no study has systematically compared clustering approaches for their identification. This cross-sectional study compared four clustering techniques—traditional (K-means, Hierarchical) and non-traditional (Gaussian Mixture Models (GMM), Spectral)—to identify meal timing patterns from habitual breakfast, lunch, and dinner times. Methods: The sample included 388 Mexican university students (72.8% female). Patterns were characterized using sociodemographic, anthropometric, food intake quality, and chronotype data. Clustering method concordance was assessed via Adjusted Rand Index (ARI). Results: We identified five patterns (Early, Early–Intermediate, Late–Intermediate, Late, and Late with early breakfast). No differences were observed in BMI, waist circumference, or age among clusters. Chronotype aligned with patterns (morning types overrepresented in early clusters). Food intake quality differed significantly, with more early eaters showing healthy intake than late eaters. Concordance across clustering methods was moderate (mean ARI = 0.376), with the highest agreement between the traditional and non-traditional techniques (Hierarchical–Spectral = 0.485 and K-means-GMM = 0.408). Conclusions: These findings suggest that, while traditional and non-traditional clustering techniques did not identify identical patterns, they identified similar core structures, supporting complementary pattern detection across algorithmic families. These results highlight the importance of comparing multiple methods and transparently reporting clustering approaches in chrononutrition research. Future studies should generate meal timing patterns in university students from other contexts and investigate whether these patterns are associated with eating patterns and cardiometabolic outcomes. Full article
(This article belongs to the Special Issue Dietary Patterns and Data Analysis Methods)
Show Figures

Graphical abstract

10 pages, 691 KB  
Article
Lifestyle Behaviours Profile of Spanish Adolescents Who Actively Commute to School
by Evelyn Martín-Moraleda, Iván Pinilla-Quintana, Cristina Romero-Blanco, Antonio Hernández-Martínez, Fabio Jiménez-Zazo, Alberto Dorado-Suárez, Virginia García-Coll, Esther Cabanillas-Cruz, Maria Teresa Martínez-Romero, Manuel Herrador-Colmenero, Ana Queralt, Nuria Castro-Lemus and Susana Aznar
Children 2023, 10(1), 95; https://doi.org/10.3390/children10010095 - 3 Jan 2023
Cited by 5 | Viewed by 2743
Abstract
The aim of this study was to study different ‘healthy profiles’ through the impact of multiple lifestyle behaviours (sleep patterns, screen time and quality diet) on active commuting to school (ACS) in adolescents. Sixteen secondary schools from four Spanish cities were randomly selected. [...] Read more.
The aim of this study was to study different ‘healthy profiles’ through the impact of multiple lifestyle behaviours (sleep patterns, screen time and quality diet) on active commuting to school (ACS) in adolescents. Sixteen secondary schools from four Spanish cities were randomly selected. All participants filled in an “Ad-Hoc” questionnaire to measure their mode of commuting and distance from home to school and their lifestyle behaviours. A multivariate logistic regression model was performed to analyse the main predictor variables of ACS. The final sample was 301 adolescents (50.2% girls; mean age ± SD: 14.9 ± 0.48 years). The percentage of ACS was 64.5%. Multiple logistic regressions showed: boys were more active commuters than girls [OR = 2.28 (CI 95%: 1.12–4.64); p = 0.02]; adolescents who lived farther had lower probability to ACS [OR = 0.74 (CI 95%: 0.69–0.80); p < 0.001]; adolescents who met sleep duration recommendations were more likely to ACS [OR = 3.05 (CI 95%: 1.07–8.69); p = 0.04], while with each hour of sleep, the odds of ACS was reduced [OR = 0.51 (CI 95%: 0.30–0.89); p = 0.02]; higher odds were shown to ACS in adolescents who have more adherence to MD [OR = 1.16(CI 95%: 1.00–1.33); p = 0.05]; and habitual breakfast consumption was inversely associated with ACS [OR = 0.41 (CI: 95%: 0.18–0.96); p = 0.04]. ACS was associated with being a boy, living at a shorter distance to school, a daily sleep time ≥ 8 h and presented a higher adherence to MD. Full article
(This article belongs to the Section Global Pediatric Health)
Show Figures

Figure 1

18 pages, 1093 KB  
Article
The Influence of Increased Dairy Product Consumption, as Part of a Lifestyle Modification Intervention, on Diet Quality and Eating Patterns in Female Adolescents with Overweight/Obesity
by Emily C. Fraschetti, Lauren E. Skelly, Mavra Ahmed, Emma C. Biancaniello, Panagiota Klentrou and Andrea R. Josse
Children 2022, 9(11), 1703; https://doi.org/10.3390/children9111703 - 6 Nov 2022
Cited by 3 | Viewed by 4327
Abstract
Our study examined how increased dairy consumption versus habitually low dairy consumption, against a background of healthy eating (and exercise), influenced diet quality, nutrient intake, and snacking in Canadian female adolescents (14.8 ± 2.2 years) with overweight/obesity (OW/OB). We also explored dairy consumption [...] Read more.
Our study examined how increased dairy consumption versus habitually low dairy consumption, against a background of healthy eating (and exercise), influenced diet quality, nutrient intake, and snacking in Canadian female adolescents (14.8 ± 2.2 years) with overweight/obesity (OW/OB). We also explored dairy consumption patterns in the group consuming dairy products. Participants were randomized into two groups: higher/recommended dairy (RDa; 4 svg/d; n = 24) or low dairy (LDa; 0–2 svg/d; n = 23). Both groups participated in a 12-week, eucaloric, lifestyle modification intervention consisting of exercise training and nutritional counseling. The intervention increased the total Canadian Healthy Eating Index score (p < 0.001) with no differences between groups. The “other food” sub-score improved more in RDa than LDa (p = 0.02), and the “saturated fat” sub-score increased more in LDa than RDa (p = 0.02). The intervention significantly increased the consumption of dairy-related nutrients more in RDa than LDa (p < 0.05). The intervention also decreased snack size in both groups (p = 0.01) and improved percentage of healthy snack energy intake more in RDa than LDa (p = 0.04). More servings of dairy products were consumed as snacks than at breakfast, lunch, or dinner (p < 0.05). Thus, our study improved diet quality, and dairy product consumption improved intakes of key related nutrients and snack consumption in adolescents with OW/OB. Full article
(This article belongs to the Special Issue Pediatric Obesity and Disordered Eating in Children and Adolescents)
Show Figures

Figure 1

13 pages, 1204 KB  
Article
Breakfast Frequency and Composition in a Group of Polish Children Aged 7–10 Years
by Anna Kawalec and Krystyna Pawlas
Nutrients 2021, 13(7), 2241; https://doi.org/10.3390/nu13072241 - 29 Jun 2021
Cited by 11 | Viewed by 5363
Abstract
Breakfast is considered one of the crucial elements of a healthy diet. Most studies evaluate breakfast consumption with the risk of obesity and other health effects. Less attention is paid to the evaluation of breakfast composition and patterns. Thus, this study aimed to [...] Read more.
Breakfast is considered one of the crucial elements of a healthy diet. Most studies evaluate breakfast consumption with the risk of obesity and other health effects. Less attention is paid to the evaluation of breakfast composition and patterns. Thus, this study aimed to describe the most frequently observed breakfast patterns and to assess breakfast composition and quality in a group of Polish early school-age children. The cross-sectional survey study was conducted in school years 2017/2018 and 2018/2019. Information regarding breakfast was obtained with the use of an original paper-based weekly observation diary, and breakfast quality was assessed with a special scoring designed to be used together with the diary. In total, 223 schoolchildren of the second and third grades participated in the study, and 200 diaries were analyzed. More than ¾ of the participants consumed breakfast every day. Nearly 68% of meals were classified as well balanced, but only 16.5% of children eat a well-balanced breakfast every day. The number of children who usually (≥5 times per week) eat a sandwich for breakfast was 94 (47%), and that of those who habitually eat cereal and milk or porridge was 29 (14.5%). Only 7% of children consumed fruit or vegetables for breakfast daily, and 26.5% never eat fruit or vegetables for breakfast. Concluding, most children eat breakfast regularly, but the meal composition and quality might be improved. Full article
(This article belongs to the Special Issue Breakfast and Health Benefit)
Show Figures

Figure 1

19 pages, 4629 KB  
Article
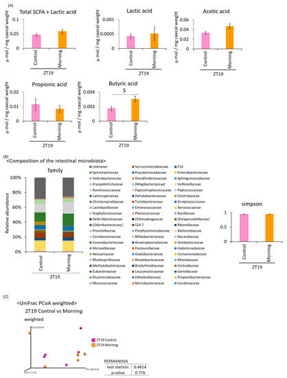
Effect of Dose and Timing of Burdock (Arctium lappa) Root Intake on Intestinal Microbiota of Mice
by Aya Watanabe, Hiroyuki Sasaki, Hiroki Miyakawa, Yuki Nakayama, Yijin Lyu and Shigenobu Shibata
Microorganisms 2020, 8(2), 220; https://doi.org/10.3390/microorganisms8020220 - 6 Feb 2020
Cited by 26 | Viewed by 5551
Abstract
Water-soluble dietary fiber such as inulin improves the beta diversity of the intestinal microbiota of mice fed with a high-fat diet (HFD). The circadian clock is the system that regulates the internal daily rhythm, and it affects the pattern of beta diversity in [...] Read more.
Water-soluble dietary fiber such as inulin improves the beta diversity of the intestinal microbiota of mice fed with a high-fat diet (HFD). The circadian clock is the system that regulates the internal daily rhythm, and it affects the pattern of beta diversity in mouse intestinal microbiota. Burdock (Arctium lappa) root contains a high concentration of inulin/fructan (approximately 50%) and is a very popular vegetable in Japan. Arctium lappa also contains functional substances that may affect intestinal microbiota, such as polyphenols. We compared the effects of inulin and A. lappa powder on the diversity of the intestinal microbiota of HFD-fed mice. 16S rDNA from the intestinal microbiota obtained from feces was analyzed by 16S Metagenomic Sequencing Library Preparation. It was found to have a stronger effect on microbiota than inulin alone, suggesting that inulin has an additive and/or synergic action with other molecules in A. lappa root. We examined the effects of intake timing (breakfast or dinner) of A. lappa on intestinal microbiota. The intake of A. lappa root in the evening had a stronger effect on microbiota diversity in comparison to morning intake. Therefore, it is suggested that habitual consumption of A. lappa root in the evening may aid the maintenance of healthy intestinal microbiota. Full article
(This article belongs to the Section Gut Microbiota)
Show Figures

Figure 1

11 pages, 4382 KB  
Article
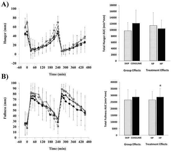
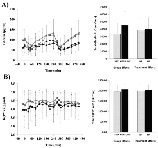
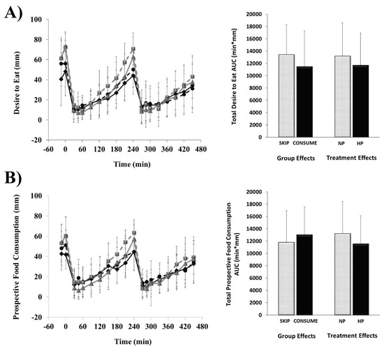
Habitual Breakfast Patterns Do Not Influence Appetite and Satiety Responses in Normal vs. High-Protein Breakfasts in Overweight Adolescent Girls
by Steve M. Douglas, Adam W. Byers and Heather J. Leidy
Nutrients 2019, 11(6), 1223; https://doi.org/10.3390/nu11061223 - 29 May 2019
Cited by 20 | Viewed by 6709
Abstract
Differences in postprandial insulin, glucose, and/or free fatty acid concentrations, following the consumption of breakfast, have been demonstrated to be dependent on habitual breakfast patterns. This study examined the effects of habitual breakfast patterns on postprandial appetite, satiety, and hormonal responses along with [...] Read more.
Differences in postprandial insulin, glucose, and/or free fatty acid concentrations, following the consumption of breakfast, have been demonstrated to be dependent on habitual breakfast patterns. This study examined the effects of habitual breakfast patterns on postprandial appetite, satiety, and hormonal responses along with daily food intake following the consumption of normal-protein (NP) vs. higher-protein (HP) breakfasts in overweight adolescents. Thirty-seven girls (age: 19 ± 1 year; BMI: 29.0 ± 3.4 kg/m2) participated in the semi-randomized crossover design study. Participants were grouped according to whether they habitually skipped (SKIP, n = 18) or consumed breakfast (CONSUME, n = 19), and consumed a NP (350 kcal; 13 g protein) or HP (350 kcal; 35 g protein) breakfast for 3 days/pattern. On day 4, breakfast was provided, and appetite questionnaires and blood samples were collected throughout an 8 h testing day. Daily food intake was also assessed. Regardless of habitual breakfast patterns, the consumption of HP breakfast led to greater daily fullness (29,030 ± 6,010 min × mm) vs. NP breakfast (26,910 ± 5580 min × mm; p = 0.03). Daily protein consumption was greater (98 ± 15 g vs. 78 ± 15 g), and carbohydrate consumption was lower (331 ± 98 g vs. 367 ± 94 g) with HP vs. NP (both, p < 0.001). No other differences were observed. These data suggest that the recommendation to consume a HP breakfast for improved satiety and ingestive behavior is appropriate for overweight adolescent girls, regardless of habitual breakfast patterns. Full article
Show Figures

Figure 1

16 pages, 1614 KB  
Article
Effects of Providing High-Fat versus High-Carbohydrate Meals on Daily and Postprandial Physical Activity and Glucose Patterns: a Randomised Controlled Trial
by Evelyn B. Parr, Brooke L. Devlin, Marcus J. Callahan, Bridget E. Radford, Jennifer M. Blankenship, David W. Dunstan and John A. Hawley
Nutrients 2018, 10(5), 557; https://doi.org/10.3390/nu10050557 - 30 Apr 2018
Cited by 20 | Viewed by 12466
Abstract
We determined the effects of altering meal timing and diet composition on temporal glucose homeostasis and physical activity measures. Eight sedentary, overweight/obese men (mean ± SD, age: 36 ± 4 years; BMI: 29.8 ± 1.8 kg/m2) completed two × 12-day (12-d) [...] Read more.
We determined the effects of altering meal timing and diet composition on temporal glucose homeostasis and physical activity measures. Eight sedentary, overweight/obese men (mean ± SD, age: 36 ± 4 years; BMI: 29.8 ± 1.8 kg/m2) completed two × 12-day (12-d) measurement periods, including a 7-d habitual period, and then 5 d of each diet (high-fat diet [HFD]: 67:15:18% fat:carbohydrate:protein versus high-carbohydrate diet [HCD]: 67:15:18% carbohydrate:fat:protein) of three meals/d at ±30 min of 0800 h, 1230 h, and 1800 h, in a randomised order with an 8-d washout. Energy intake (EI), the timing of meal consumption, blood glucose regulation (continuous glucose monitor system (CGMS)), and activity patterns (accelerometer and inclinometer) were assessed across each 12-d period. Meal provision did not alter the patterns of reduced physical activity, and increased sedentary behaviour following dinner, compared with following breakfast and lunch. The HCD increased peak (+1.6 mmol/L, p < 0.001), mean (+0.5 mmol/L, p = 0.001), and total area under the curve (+670 mmol/L/min, p = 0.001), as well as 3-h postprandial meal glucose concentrations (all p < 0.001) compared with the HFD. In overweight/obese males, the provision of meals did not alter physical activity patterns, but did affect glycaemic control. Greater emphasis on meal timing and composition is required in diet and/or behaviour intervention studies to ensure relevance to real-world behaviours. Full article
(This article belongs to the Special Issue Balancing Physical Activity and Nutrition for Human Health)
Show Figures

Figure 1

Back to TopTop