Sign in to use this feature.

Years

Between: -

Subjects

remove_circle_outline
remove_circle_outline
remove_circle_outline
remove_circle_outline
remove_circle_outline
remove_circle_outline
remove_circle_outline
remove_circle_outline
remove_circle_outline

Journals

remove_circle_outline
remove_circle_outline
remove_circle_outline
remove_circle_outline
remove_circle_outline
remove_circle_outline
remove_circle_outline
remove_circle_outline
remove_circle_outline
remove_circle_outline
remove_circle_outline

Article Types

Countries / Regions

remove_circle_outline
remove_circle_outline
remove_circle_outline
remove_circle_outline
remove_circle_outline

Search Results (1,195)

Search Parameters:
Keywords = grid intensity

Order results
Result details
Results per page
Select all
Export citation of selected articles as:
52 pages, 3234 KB  
Perspective
Edge-Intelligent and Cyber-Resilient Coordination of Electric Vehicles and Distributed Energy Resources in Modern Distribution Grids
by Mahmoud Ghofrani
Energies 2026, 19(8), 1867; https://doi.org/10.3390/en19081867 - 10 Apr 2026
Abstract
The rapid electrification of transportation and proliferation of distributed energy resources (DERs) are transforming distribution grids into highly dynamic, data-intensive, and cyber-physical systems. While reinforcement learning (RL), multi-agent coordination, and edge computing offer powerful tools for adaptive control, their deployment in safety-critical utility [...] Read more.
The rapid electrification of transportation and proliferation of distributed energy resources (DERs) are transforming distribution grids into highly dynamic, data-intensive, and cyber-physical systems. While reinforcement learning (RL), multi-agent coordination, and edge computing offer powerful tools for adaptive control, their deployment in safety-critical utility environments raises concerns regarding stability, certification compatibility, cyber-resilience, and regulatory acceptance. This paper presents an architecture-centric framework for edge-intelligent and cyber-resilient coordination of electric vehicles (EVs) and DERs that reconciles adaptive learning with deterministic safety guarantees. The proposed hierarchical edge–cloud architecture integrates multi-agent system (MAS) coordination, constraint-invariant reinforcement learning, and embedded cybersecurity mechanisms within a structured control hierarchy. Learning-enabled edge agents operate exclusively within standards-compliant safety envelopes enforced through supervisory constraint projection, control barrier functions, and Lyapunov-consistent stability safeguards. Protection-critical functions remain deterministic and isolated from adaptive layers, preserving compatibility with IEEE 1547 and existing utility protection schemes. The framework further incorporates anomaly triggered policy freezing, fail-safe fallback modes, and communication-aware resilience mechanisms to prevent unsafe transient behavior in non-stationary, distributed environments. Unlike simulation-only learning approaches, the architecture embeds progressive validation through software-in-the-loop (SIL), hardware-in-the-loop (HIL), and power hardware-in-the-loop (PHIL) testing to empirically verify transient stability, constraint compliance, and cyber-resilience under realistic timing and disturbance conditions. Beyond technical performance, the paper situates edge intelligence within standards evolution, governance structures, workforce transformation, techno-economic assessment, and equitable deployment pathways. By framing adaptive control as a bounded, auditable augmentation layer rather than a disruptive replacement for certified infrastructure, the proposed architecture provides a pragmatic roadmap for evolutionary modernization of distribution systems. Full article
(This article belongs to the Section E: Electric Vehicles)
Show Figures

Figure 1

39 pages, 4822 KB  
Article
Enhancing Sustainability Through a Hybrid Organic Rankine Cycle and Hydrogen Production Systems: A Thermo-Economic Analysis
by Biagio Morrone, Andrea Unich, Domenico De Falco, Antonio Mariani and Saif Serag
Energies 2026, 19(8), 1862; https://doi.org/10.3390/en19081862 - 10 Apr 2026
Abstract
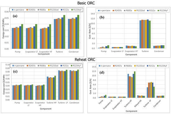
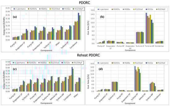
This study investigates the integration of Organic Rankine Cycle systems with hydrogen production and use to enhance energy efficiency and economic viability in waste heat recovery applications. A comprehensive thermodynamic, exergoeconomic, and environmental assessment evaluates multiple ORC configurations and six working fluids across [...] Read more.
This study investigates the integration of Organic Rankine Cycle systems with hydrogen production and use to enhance energy efficiency and economic viability in waste heat recovery applications. A comprehensive thermodynamic, exergoeconomic, and environmental assessment evaluates multiple ORC configurations and six working fluids across hospital and hotel facilities. The analysis quantifies component-level exergy costs, system-level economics, and operational CO2 emission reductions, focusing on optimal sizing strategies and threshold conditions under which hydrogen storage enhances energy autonomy without compromising economic viability. Results reveal fundamental design trade-offs: Basic ORC achieved the lowest LCOE at 0.033 $/kWh through operational simplicity, while complex configurations extract up to 70% more power at 14–32% higher cost. N-pentane exhibits superior thermodynamic–economic performance in the Parallel Dual ORC configuration, achieving 20% thermal efficiency and 40% exergy efficiency. R1233zd emerges as the preferred alternative from a safety perspective, exhibiting comparable performance with minimal penalties in both power generation and efficiency metrics. System-level analysis shows that properly sized ORC–hydrogen integration reduces Hospital 1 user LCOEtot from 0.23 $/kWh to 0.069 $/kWh—a 70% reduction achieved by minimizing grid dependence. Environmental benefits strongly correlate with grid carbon intensity, with operational CO2 emission reductions ranging from 181 tons annually in Spain to 752 tons in Poland. Full article
(This article belongs to the Special Issue Numerical Study of Waste and Exhaust Heat Recovery)
Show Figures

Graphical abstract

28 pages, 17521 KB  
Article
Multi-Objective Optimization of Façade and Roof Opening Configurations for Sustainable Industrial Heritage Retrofit: Enhancing Daylight Availability, Non-Visual Potential, and Energy Performance
by Jian Ma, Zhenxiang Cao, Jie Jian, Kunming Li and Jinyue Wu
Sustainability 2026, 18(7), 3644; https://doi.org/10.3390/su18073644 - 7 Apr 2026
Abstract
During the adaptive reuse of industrial heritage buildings, existing opening systems and envelope performance often pose major constraints. These restrictions make it difficult for the building to meet the requirements of the updated indoor environment, resulting in insufficient daylight and increased energy consumption. [...] Read more.
During the adaptive reuse of industrial heritage buildings, existing opening systems and envelope performance often pose major constraints. These restrictions make it difficult for the building to meet the requirements of the updated indoor environment, resulting in insufficient daylight and increased energy consumption. Therefore, optimizing lighting and energy performance has become the primary goal of the retrofit design. However, with limited interventions, the retrofit of heritage buildings to achieve significant overall performance improvement is still a challenge. From a sustainability perspective, improving daylight utilization and reducing energy demand are essential strategies for achieving low-carbon and resource-efficient building retrofit. This study proposes a grid-based parametric multi-objective optimization approach to optimize the window openings of the building envelope. The approach defines the position, size and material properties of the roof and facade openings as design variables. Implemented via the Honeybee and Octopus platforms, it integrates a genetic algorithm with EnergyPlus and Radiance simulations to co-optimize daylight performance, circadian frequency, and energy use intensity. Taking a single-story typical industrial heritage building in China’s cold climate zone as a case study, it is shown that coordinated multi-objective constraints significantly improve the overall performance across various evaluation metrics. The optimization results also provide interpretable window configuration strategies and recommended parameter ranges, which fully consider the climate adaptability of the surrounding environment. These findings offer useful guidance for sustainable retrofit design decision-making in similar single-story industrial heritage buildings. Full article
(This article belongs to the Section Green Building)
Show Figures

Figure 1

47 pages, 11862 KB  
Article
Adaptive Preference-Based Multi-Objective Energy Management in Smart Microgrids: A Novel Hierarchical Optimization Framework with Dynamic Weight Allocation and Advanced Constraint Handling
by Nahar F. Alshammari, Faraj H. Alyami, Sheeraz Iqbal, Md Shafiullah and Saleh Al Dawsari
Sustainability 2026, 18(7), 3591; https://doi.org/10.3390/su18073591 - 6 Apr 2026
Viewed by 138
Abstract
The paper proposed an adaptive preference-based multi-objective optimization framework of intelligent energy management in smart microgrids that are dynamically adapted to operational priorities with regard to real-time grid conditions, stakeholder preferences, and environmental constraints. The suggested hierarchical algorithm combines an improved Non-dominated Sorting [...] Read more.
The paper proposed an adaptive preference-based multi-objective optimization framework of intelligent energy management in smart microgrids that are dynamically adapted to operational priorities with regard to real-time grid conditions, stakeholder preferences, and environmental constraints. The suggested hierarchical algorithm combines an improved Non-dominated Sorting Genetic Algorithm II (NSGA-II) with an advanced dynamic preference weight distribution system that can trade off between minimization of operational cost. Reduction of carbon emission, enhancement of voltage stability, enhancement of power quality and maximization of system reliability and adaptability to different operational conditions, such as renewable energy intermittency, demand response schemes and emergencies. The framework presents a new multi-layered preference-learning module that represents the intricate stakeholder priorities in terms of more sophisticated fuzzy logic-based decision matrices, neural network preference prediction, and adaptive reinforcement learning methods and transforms them into dynamic optimization weights with feedback mechanisms. Large-scale simulations on a modified IEEE 33-bus test system coupled with various renewable energy sources, energy storage facilities, electric vehicle charging points, and smart appliances demonstrate superior improvements in performance: 23.7% operational costs reduction, 31.2% carbon emissions reduction, 18.5% system reliability improvement, 15.3% voltage stability increase and 12.8% reduction of deviations in power quality. The proposed system has an adaptive nature with better performance in a variety of operating conditions such as peak demand times, renewable energy intermittency events, grid-connected and islanded operations, emergency load shedding situations, and cyber–physical security risks. The framework is shown to be highly effective under different conditions of uncertainty and variation in parameters and communication delay through intense sensitivity analysis and robustness testing, thus demonstrating its practical applicability in real-world applications of smart grids. Full article
Show Figures

Figure 1

20 pages, 2409 KB  
Article
Quantifying the Geological Premium in Carbon Footprints of Microtunneling: An EN 15804-Based Case Study in Hard Gravel Formations
by Wen-Sheng Ou
Buildings 2026, 16(7), 1413; https://doi.org/10.3390/buildings16071413 - 2 Apr 2026
Viewed by 216
Abstract
Although trenchless technology is widely recognized for its low-carbon potential, existing assessment models often overlook the significant impact of regional geological variations on energy consumption. Based on the EN 15804 standard and the Input–Process–Output (IPO) model, this study establishes a high-resolution carbon emission [...] Read more.
Although trenchless technology is widely recognized for its low-carbon potential, existing assessment models often overlook the significant impact of regional geological variations on energy consumption. Based on the EN 15804 standard and the Input–Process–Output (IPO) model, this study establishes a high-resolution carbon emission assessment framework focusing on the “Upfront Carbon” stages (Modules A1–A5) of public works. An empirical study was conducted on a sewage microtunneling project in Hualien, Taiwan, characterized by a deep burial depth of 12 m and challenging gravel formations (SPT N-value > 50). Life Cycle Assessment (LCA) principles were adopted to quantify the carbon footprint and benchmark the results against international guidelines from the UK (PJA) and Japan (JSWA). The Life Cycle Inventory (LCI) reveals a unit emission intensity of 349 kgCO2e/m, significantly higher than international benchmarks. Critical findings indicate that this discrepancy is primarily driven by environmental variables—specifically, geological resistance and grid emission factors. Crucially, the sensitivity analysis demonstrates that the physical resistance of the hard gravel layer increased machinery energy intensity by 18.7% compared to baseline soil conditions. This study officially defines this phenomenon as the “Geological Premium.” Additionally, carbon efficiency was found to be profoundly influenced by the regional grid emission factor (Taiwan: 0.495 vs. UK: 0.193 kgCO2/kWh). This research establishes a localized empirical database and validates the necessity of expanding assessment boundaries to include auxiliary works in geologically complex regions. The developed framework provides a scalable solution for optimizing embodied carbon in urban infrastructure, offering policymakers a robust scientific basis for implementing precise “Green Public Procurement” and carbon budgeting strategies. Full article
(This article belongs to the Section Building Structures)
Show Figures

Figure 1

23 pages, 2351 KB  
Article
A Spatio-Temporal Attention-Based Multi-Agent Deep Reinforcement Learning Approach for Collaborative Community Energy Trading
by Sheng Chen, Yong Yan, Jiahua Hu and Changsen Feng
Energies 2026, 19(7), 1730; https://doi.org/10.3390/en19071730 - 1 Apr 2026
Viewed by 255
Abstract
The high penetration of distributed energy resources (DERs) poses numerous challenges to community energy management, including intense source-load stochasticity, synchronized load surges triggered by multi-agent gaming, and potential privacy breaches. To tackle these issues, this paper proposes a coordinated energy trading framework driven [...] Read more.
The high penetration of distributed energy resources (DERs) poses numerous challenges to community energy management, including intense source-load stochasticity, synchronized load surges triggered by multi-agent gaming, and potential privacy breaches. To tackle these issues, this paper proposes a coordinated energy trading framework driven by an intermediate market-rate pricing mechanism. Within this framework, a novel Multi-Agent Transformer Proximal Policy Optimization (MATPPO) algorithm is developed, adopting an LSTM–Transformer hybrid architecture and the centralized training with decentralized execution (CTDE) paradigm. During centralized training, an LSTM network extracts temporal evolution features from source-load data to handle environmental uncertainty, while a Transformer-based self-attention mechanism reconstructs the dynamic agent topology to capture spatial correlations. In the decentralized execution phase, prosumers make independent decisions using only local observations. This eliminates the need to upload internal device states, significantly enhancing the privacy of sensitive local information during the online execution phase. Additionally, a parameter-sharing mechanism enables agents to share policy networks, significantly enhancing algorithmic scalability. Simulation results demonstrate that MATPPO effectively mitigates power peaks and reduces the transformer capacity pressure at the main grid interface. Furthermore, it significantly lowers total community electricity costs while maintaining high computational efficiency in large-scale scenarios. Full article
Show Figures

Figure 1

15 pages, 2788 KB  
Article
Study on the Distribution Patterns and Driving Mechanisms of Urban Plant Diversity in Green Building Demonstration and Non-Demonstration Areas of Jinan, China
by Haili Zhang, Zongshan Zhao, Zongjin Zhao, Mir Muhammad Nizamani, Xiuyu Bian and Xiujun Liu
Urban Sci. 2026, 10(4), 188; https://doi.org/10.3390/urbansci10040188 - 1 Apr 2026
Viewed by 212
Abstract
Urban street greenery plays a crucial role in enhancing biodiversity, environmental quality, and human well-being. However, how different street greening strategies shape urban plant diversity across functional urban contexts remains insufficiently understood. Taking Jinan, a rapidly urbanizing city in China, as a case [...] Read more.
Urban street greenery plays a crucial role in enhancing biodiversity, environmental quality, and human well-being. However, how different street greening strategies shape urban plant diversity across functional urban contexts remains insufficiently understood. Taking Jinan, a rapidly urbanizing city in China, as a case study, this research investigates the spatial patterns, compositional differences, and driving mechanisms of plant diversity between Green Streets (GS) and Non-Green Streets (NGS) across various Urban Functional Units (UFUs). A 1 km × 1 km grid was used to delineate UFUs, combined with field-based plant surveys, linear regression analyses, and the public space assessment framework of Sustainable Development Goal (SDG) 11.7.1. Results indicate that plant diversity is strongly dependent on urban functional types, with higher species richness observed in residential and recreation/leisure districts, and lower levels in industrial, commercial, and transportation districts. The ecological effects of GS exhibit clear context dependence, being more pronounced in residential, educational, and public service areas, but limited in commercial and industrial zones. NGS recorded a significantly higher total number of plant species (346) than GS (116), with NGS dominated by native spontaneous species and GS characterized by introduced cultivated plants, reflecting the filtering effects of different management intensities. Management variables, particularly watering (positive) and fertilization frequency (negative), is primarily positively associated with plant diversity in GS, whereas diversity in NGS is more closely associated with socio-economic and spatial factors such as UFU area and housing prices. Furthermore, the current SDG 11.7.1 indicator emphasizes the quantity and accessibility of public spaces but insufficiently captures their ecological quality. This study highlights the need to integrate biodiversity and vegetation structural complexity into public space assessments, providing scientific support for quality-oriented urban green infrastructure planning and sustainable urban development. Full article
Show Figures

Figure 1

16 pages, 2392 KB  
Proceeding Paper
Dynamic LCA of Electric Vehicles’ Use Phase: A Python-Based Approach Using Real-World Data
by Eleonora Innocenti, Niccolò Pezzati, Lorenzo Berzi and Massimo Delogu
Eng. Proc. 2026, 131(1), 26; https://doi.org/10.3390/engproc2026131026 - 31 Mar 2026
Viewed by 184
Abstract
This study evaluates the real-world environmental impact of electric vehicle usage in Italy, with a specific focus on the city of Florence. It aims to address existing gaps in Life Cycle Assessment studies of the use phase, which often neglect dynamic conditions such [...] Read more.
This study evaluates the real-world environmental impact of electric vehicle usage in Italy, with a specific focus on the city of Florence. It aims to address existing gaps in Life Cycle Assessment studies of the use phase, which often neglect dynamic conditions such as temperature variability, electricity grid mix composition, and traffic conditions. A computational LCA method is applied, using Python-based modeling and real-time data integration via APIs. This approach allows for a more precise evaluation of EVs’ environmental performance by considering dynamic elements that affect energy use and emissions. The findings highlight significant variations in environmental impact depending on real-world conditions. Traffic congestion, lower temperatures, and a carbon-intensive electricity grid contribute to increased emissions and reduced efficiency, while battery degradation further affects overall performance. Additionally, this study introduces an innovative methodology that integrates LCA with real-world dynamic data through a computational tool, improving the reliability of environmental impact assessments. This work serves as the basis for a more holistic investigation of the effects of EVs’ use phase, considering real-world dynamics. It also opens possibilities for future research, like Vehicle-to-Grid applications, where flexible consumers can support the grid and, if properly optimized, contribute to reducing the overall environmental impact. The insights provided may help inform and enhance the development of more sustainable mobility and energy policies for policymakers and stakeholders. Full article
Show Figures

Figure 1

42 pages, 656 KB  
Article
Operational Resilience Under Carbon Constraints: A Socio-Technical Multi-Agentic Approach to Global Supply Chains
by Rashanjot Kaur, Triparna Kundu, Bhanu Sharma, Kathleen Marshall Park and Eugene Pinsky
Systems 2026, 14(4), 374; https://doi.org/10.3390/systems14040374 - 31 Mar 2026
Viewed by 179
Abstract
High-stakes logistics, defined as supply chains where delays, quality loss, or noncompliance have serious human, safety, financial, or geopolitical consequences, are a prominent case of a broader reality: global supply chains are safety-, cost-, and time-critical socio-technical systems where forecasting quality, vendor coordination, [...] Read more.
High-stakes logistics, defined as supply chains where delays, quality loss, or noncompliance have serious human, safety, financial, or geopolitical consequences, are a prominent case of a broader reality: global supply chains are safety-, cost-, and time-critical socio-technical systems where forecasting quality, vendor coordination, and operational decisions shape service levels and stakeholder welfare. At the same time, decarbonization pressures and the growing use of AI for planning and control introduce new risks and trade-offs across energy, computation, and physical logistics. We develop a multi-agent framework that models supply chain system-of-systems dynamics drawing on (1) supply chain decision functions (shipment planning, sourcing and vendor management), (2) national energy-transition conditions that determine grid carbon intensity, and (3) carbon-aware computation accounting for AI-enabled decision support. Methodologically, we combine predictive analytics, unsupervised segmentation, and a carbon-cost-of-intelligence layer in a scenario-based assessment of how national energy-transition profiles–from Norway to India–affect the intensity of AI compute carbon, meaning the carbon emissions generated by the hardware and data centers required to train and run AI models. We introduce the carbon-adjusted supply chain performance (CASP) metric that integrates physical transport carbon, cold-chain overhead where applicable, and AI compute carbon into a per-package-type performance measure. Our analysis yields three actionable outputs for systems engineering and environmental management: carbon, service, and cost trade-off frontiers; governance levers (sourcing portfolio rules, buffers, and compute policies); and system-level early-warning indicators for disruption amplification. This study implements a tool-augmented multi-agent system (orchestrator, risk, and sourcing agents) using AWS bedrock and strands agents, where LLM-based agents orchestrate deterministic analytical engines through structured tool interfaces with adaptive query generation. Theoretically, we extend previous systems-of-systems and sustainable supply chain findings by formalizing package-type-specific carbon–service frontiers and by embedding AI compute carbon into a socio-technical resilience framework. Practically, the CASP benchmark, governance lever analysis, and multi-agent implementation provide decision-makers with concrete tools to compare carriers, routes, and compute strategies across countries while making transparent the trade-offs between service reliability and total carbon. Full article
Show Figures

Graphical abstract

19 pages, 7081 KB  
Article
Grid-Frequency-Independent Static Var Compensator Control Using a Synchronous Phase-Carrier with Direct Firing Instant Determination for Leading Load Compensation in Renewable Energy DC Bus
by Jongho Lim, Hyunjae Lee, Sungyong Son and Jingeun Shon
Energies 2026, 19(7), 1696; https://doi.org/10.3390/en19071696 - 30 Mar 2026
Viewed by 223
Abstract
Static var compensators (SVCs) employing thyristor-controlled reactors (TCRs) are widely used to mitigate power-factor degradation by absorbing lagging reactive power. Conventional TCR control schemes use real-time firing-angle calculations, which require intensive computation and make practical real-time implementation difficult, especially under grid frequency variations. [...] Read more.
Static var compensators (SVCs) employing thyristor-controlled reactors (TCRs) are widely used to mitigate power-factor degradation by absorbing lagging reactive power. Conventional TCR control schemes use real-time firing-angle calculations, which require intensive computation and make practical real-time implementation difficult, especially under grid frequency variations. To address this issue, this paper proposes a grid-frequency-independent SVC control method based on a synchronous phase carrier technique that directly determines thyristor firing instants without explicit firing-angle calculations. The proposed control strategy uses a carrier signal synchronized with the system phase, enabling real-time TCR operation without relying on nominal grid frequency. The effectiveness of the proposed method is evaluated through simulations and hardware experiments. The results show that the proposed method ensures reliable real-time operation and improves the power factor without requiring firing-angle computation. Furthermore, stable performance under grid-frequency variations confirms the robustness of the proposed method. The proposed approach provides a practical and reliable solution for mitigating power-factor degradation in modern power systems. Full article
Show Figures

Figure 1

27 pages, 27225 KB  
Article
Can Hot Water Discharged from Industrial Processes Enhance the Likelihood of Waterspouts?
by Valerio Capecchi, Bernardo Gozzini and Mario Marcello Miglietta
Atmosphere 2026, 17(4), 345; https://doi.org/10.3390/atmos17040345 - 29 Mar 2026
Viewed by 333
Abstract
Italy and the surrounding seas are recognised as one of the European hotspots for tornadoes and waterspouts. In recent years, the town of Rosignano Solvay (on the Northern Tyrrhenian coast) experienced repeated waterspouts affecting the same areas, raising local concern about the possible [...] Read more.
Italy and the surrounding seas are recognised as one of the European hotspots for tornadoes and waterspouts. In recent years, the town of Rosignano Solvay (on the Northern Tyrrhenian coast) experienced repeated waterspouts affecting the same areas, raising local concern about the possible influence of heated wastewater discharged into the sea by a nearby industrial site. We reconstruct the mesoscale meteorological conditions of four intense waterspouts near Rosignano Solvay using a limited-area weather model at a high-to-very-high resolution (inner domain grid spacing of 500 m; sensitivity tests at 100 m). At the reported event times, the intensity of key mesoscale precursors (low-level wind shear, 1 km storm-relative helicity, maximum updraft intensity, and lifting condensation level) is consistent with the values typically associated with EF1 (or stronger) tornadoes and waterspouts. The model systematically predicts the peak of instability indices 2–3 h earlier than the reported event times. For one case study, we conduct two sea surface temperature sensitivity experiments to assess the potential atmospheric impact of heated wastewater discharge (temperature increases of +1.5 K and +5 K over a 10 km2 area). The resulting changes in instability indices are marginal, with differences of at most 3% relative to the control run. A simple mass-balance estimate for the modified sea patch suggests that, given the reported discharge rates, a plausible impact of the warm water released from the industrial site could lead to an increase in the local sea surface temperature of approximately +0.7 °C over two months. We conclude that synoptic and mesoscale conditions primarily govern waterspout initiation in this region, while the direct effect of the small warm coastal plume from the industrial discharge appears to be minor. Full article
(This article belongs to the Special Issue Highly Resolved Numerical Models in Regional Weather Forecasting)
Show Figures

Figure 1

22 pages, 4804 KB  
Article
Ecosystems in Mexico Are Experiencing an Increase in Trend and Intensity in Aridity
by Leticia Citlaly López-Teloxa, Patricia Ruiz-García and Alejandro Ismael Monterroso-Rivas
Environments 2026, 13(4), 187; https://doi.org/10.3390/environments13040187 - 28 Mar 2026
Viewed by 559
Abstract
This study examines the dynamics of aridity in Mexico in relation to El Niño–Southern Oscillation (ENSO) phases (El Niño, La Niña and neutral conditions) between 1999 and 2024. The aim is to identify ecosystems that are exposed to emerging aridification. Aridity was estimated [...] Read more.
This study examines the dynamics of aridity in Mexico in relation to El Niño–Southern Oscillation (ENSO) phases (El Niño, La Niña and neutral conditions) between 1999 and 2024. The aim is to identify ecosystems that are exposed to emerging aridification. Aridity was estimated using the Lang index at a resolution of 1 km across nearly two million grid cells. Aridity intensity and long-term trends were calculated and analysed by ENSO phase to identify areas of double exposure. Over 60% of Mexico is classified as arid or semi-arid. During El Niño, up to 100% of the central and southern regions exhibit increased aridity, affecting an area of 290,852 km2 (14.7%), where both the intensity and the trend are high. Although La Niña typically brings wetter conditions, 150,022 km2 (7.6%) still exhibit increasing aridity. Areas exposed to aridity under both ENSO phases cover 16,224 km2 (0.8%), particularly affecting cloud forests, secondary vegetation and agricultural landscapes. This suggests a process of persistent aridification. The average arid area was 64% ± 7.51% during El Niño, 67% ± 1.44% during La Niña and 64% ± 8.14% during neutral years, indicating substantial variability beyond phase dependence. These findings reveal a complex, non-linear ENSO influence and suggest chronic hydroclimatic stress in some regions. Understanding which ecosystems experience recurrent aridity is crucial for effective water management, biodiversity conservation, and climate adaptation planning. Full article
Show Figures

Figure 1

25 pages, 22071 KB  
Article
The Impact of Meteorological Parameters and Air Pollution on the Spatiotemporal Distribution of Nighttime Light in China
by Dan Wang, Wei Shan, Song Hong, Qian Wu, Shuai Shi and Bin Chen
Sustainability 2026, 18(7), 3256; https://doi.org/10.3390/su18073256 - 26 Mar 2026
Viewed by 389
Abstract
Nighttime light (NTL), a crucial indicator of human activity intensity, has not been systematically analyzed for its interactive mechanisms with air pollution and climate change. This study first investigates the spatiotemporal evolution of China’s total nighttime light (TNTL) and average nighttime light (ANTL), [...] Read more.
Nighttime light (NTL), a crucial indicator of human activity intensity, has not been systematically analyzed for its interactive mechanisms with air pollution and climate change. This study first investigates the spatiotemporal evolution of China’s total nighttime light (TNTL) and average nighttime light (ANTL), alongside key indicators of meteorological parameters and air pollution, at the grid scale from 2000 to 2023. We then employ prefecture-level city data and a geographically and temporally weighted regression (GTWR) model to quantify the spatiotemporally heterogeneous associations of temperature (TMP), precipitation (PRE), fine particulate matter (PM2.5), ozone (O3), land use (LUL), topography, and socioeconomic factors with NTL. The results indicate that (1) China’s NTL exhibits a significant overall upward trend, with areas of increase or significant increase comprising 92.04% of the total study area. TNTL growth demonstrates regional heterogeneity, expanding by a factor of 4.91 in East China and 2.65 in Northeast China; (2) meteorological and air pollution indicators display spatiotemporal non-stationarity, with the synergistic effect between O3 and PRE being the strongest; (3) among NTL drivers, LUL contributes most significantly (0.44), followed by TMP (0.14) > PM2.5 (−0.33 × 10−1) > O3 (0.17 × 10−1) > PRE (−0.33 × 10−6); (4) TMP and PRE may primarily influence NTL by altering ecological conditions and nighttime activity patterns. TMP shows a strong positive correlation with NTL in the junction zone of South, East, and Central China, whereas PRE predominantly exerts a negative influence; (5) air pollution exhibits distinct spatiotemporal effects: high PM2.5 and O3 generally correspond to lower NTL, though positive correlations persist in some areas due to industrial structures, highlighting the need for integrated policies that balance air quality management with sustainable urban planning; (6) the 2013 “Air Pollution Prevention and Control Action Plan” significantly strengthened the negative correlation between PM2.5 and NTL in North China. However, O3 concentrations increased by 28.9% after 2017, underscoring the challenge of coordinating VOC and NOx controls for long-term atmospheric sustainability. Full article
(This article belongs to the Special Issue Ecology, Environment, and Watershed Management)
Show Figures

Figure 1

22 pages, 3218 KB  
Article
Spatiotemporal Evolution of Carbon Emissions and Ecosystem Service Values in Xinjiang Based on LUCC
by Qiuyi Wu, Wei Chang, Mengfei Song, Xinjuan Kuang and Honghui Zhu
Land 2026, 15(4), 538; https://doi.org/10.3390/land15040538 - 26 Mar 2026
Viewed by 297
Abstract
This study is based on time-series land use data of Xinjiang from 2000 to 2022. Using grid tools, bivariate autocorrelation models and other methods, we systematically analyzed the spatiotemporal variation characteristics of land use and ecosystem service value. The results show the following: [...] Read more.
This study is based on time-series land use data of Xinjiang from 2000 to 2022. Using grid tools, bivariate autocorrelation models and other methods, we systematically analyzed the spatiotemporal variation characteristics of land use and ecosystem service value. The results show the following: Firstly, from 2000 to 2022, Xinjiang’s LUCC exhibits differentiated evolution characteristics: cropland, forestland, and built-up land expanded continuously, while the areas of grassland and unused land showed a steady reduction trend, and the area of water bodies showed a fluctuating growth pattern. Secondly, according to the calculation of carbon emissions from LUCC in Xinjiang from 2000 to 2022, the carbon emissions from LUCC have increased significantly, from 27.79 million tons in 2000 to 226.43 million tons in 2022, with built-up land being the main source of carbon emissions, but the continuous reduction in grassland area has led to the weakening of carbon sequestration capacity. Thirdly, from 2000 to 2022, Xinjiang’s ESV shows a fluctuating upward trend, increasing from 1880.528 billion yuan in 2000 to 1894.198 billion yuan in 2022, with grassland and water area being the core contributors to ESV, accounting for over 80% of the total contribution. Fourthly, in terms of spatial distribution, there is an overall negative correlation between the intensity of carbon emissions from LUCC and the intensity of ESV, mainly aggregated as “low–low” and “low–high”, with “high–low” aggregation primarily distributed in the desert areas of the Tarim Basin and Junggar Basin and “low–high” aggregation concentrated in the marginal mountainous areas and oasis regions of Xinjiang. The findings provide a solid scientific basis for the optimization of land use structure, the achievement of carbon emission reduction targets, and the protection of ecosystems in Xinjiang and similar arid regions worldwide. Full article
(This article belongs to the Special Issue Feature Papers on Land Use, Impact Assessment and Sustainability)
Show Figures

Figure 1

24 pages, 4011 KB  
Article
Life Cycle Assessment of an Onshore Wind Farm: Carbon Emission Evaluation and Mitigation Pathway Design
by Haoran Leng, Xiaoxiao Zhou, Jie Chen, Dengyi Chen, Meirong Li, Yuancheng Lin, Zhenzhen Yue and Na Zhong
Processes 2026, 14(7), 1045; https://doi.org/10.3390/pr14071045 - 25 Mar 2026
Viewed by 339
Abstract
Life cycle greenhouse gas (GHG) accounting is increasingly required to substantiate the climate value of wind power beyond “zero-emission” operation, especially under China’s dual-carbon targets. Robust estimation of life cycle GHG emission intensity and the identification of actionable mitigation levers are therefore important [...] Read more.
Life cycle greenhouse gas (GHG) accounting is increasingly required to substantiate the climate value of wind power beyond “zero-emission” operation, especially under China’s dual-carbon targets. Robust estimation of life cycle GHG emission intensity and the identification of actionable mitigation levers are therefore important for credible transition planning. In this study, a process-based life cycle assessment (LCA) was conducted for a representative 100 MW onshore wind farm in Gaoyou, Jiangsu Province, China, following ISO 14040/14044. To enhance engineering relevance, the construction and installation phase was modeled in a refined manner by decomposing it into road, wind-turbine, booster-station, and transmission-line engineering and further into unit processes. The results show that the overall life cycle GHG emission intensity of the studied wind farm is 24.6 g CO2-eq/kWh. Scenario analysis further indicates that reducing curtailment and improving end-of-life recycling are effective pathways to lower emission intensity, while the net advantage of hybrid versus steel towers depends on recycling performance when end-of-life credits are included. The study also summarizes practical implications for low-carbon equipment/material procurement and green supply-chain governance, low-carbon construction and logistics, coordinated “source–grid–load–storage” planning to curb curtailment, and more standardized and comparable life cycle carbon accounting for wind projects in China. Full article
Show Figures

Figure 1

Back to TopTop