Sign in to use this feature.

Years

Between: -

Subjects

remove_circle_outline
remove_circle_outline
remove_circle_outline
remove_circle_outline
remove_circle_outline
remove_circle_outline
remove_circle_outline
remove_circle_outline
remove_circle_outline

Journals

remove_circle_outline
remove_circle_outline
remove_circle_outline
remove_circle_outline
remove_circle_outline
remove_circle_outline
remove_circle_outline
remove_circle_outline
remove_circle_outline

Article Types

Countries / Regions

remove_circle_outline
remove_circle_outline
remove_circle_outline
remove_circle_outline
remove_circle_outline

Search Results (858)

Search Parameters:
Keywords = graphene-like

Order results
Result details
Results per page
Select all
Export citation of selected articles as:
19 pages, 1530 KB  
Article
Bioremediation of High-Concentration Heavy Metal-Contaminated Soil by Combined Use of Acidithiobacillus ferrooxidans and Fe3O4–GO Anodes
by Alifeila Yilahamu, Xuewen Wu, Xiaonuan Wang, Shengjuan Peng and Weihua Gu
Toxics 2025, 13(11), 959; https://doi.org/10.3390/toxics13110959 - 6 Nov 2025
Abstract
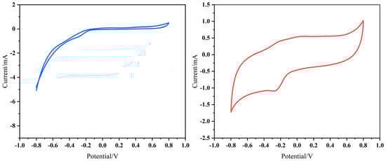
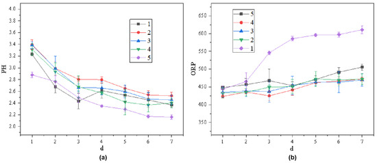
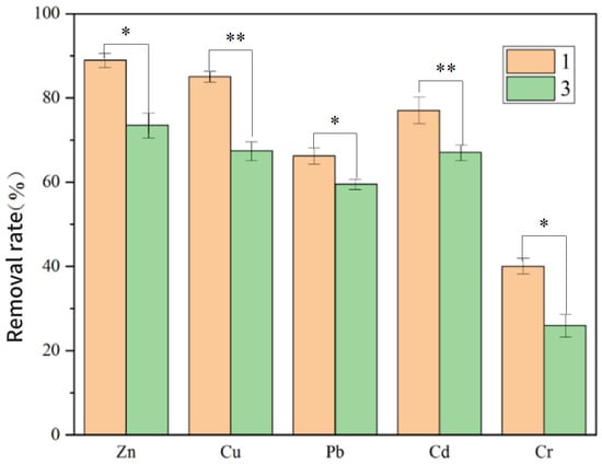
Soils heavily contaminated with potentially toxic elements (PTEs) pose substantial risks to the environment and human health. However, conventional remediation methods are often plagued by high energy consumption and the potential for secondary pollution. To address this challenge, this study developed a synergistic [...] Read more.
Soils heavily contaminated with potentially toxic elements (PTEs) pose substantial risks to the environment and human health. However, conventional remediation methods are often plagued by high energy consumption and the potential for secondary pollution. To address this challenge, this study developed a synergistic system combining acidophilic bacteria with a Fe-modified anode, aiming to enhance the remediation of PTEs in such contaminated soils. This system integrates the following three core components: the catalytic function of Fe3O4–graphene-oxide (Fe3O4–GO) nanocomposites, the acclimation of microbial communities, and the optimization of process parameters—specifically, applied electric current, pH, and oxidation–reduction potential (ORP). Experimental treatments were designed to assess the individual and combined effects of three key factors: bacterial inoculation, the Fe-modified anode, and the addition of Fe3O4–GO. The results revealed that the integrated synergistic system effectively reduced the soil pH from 2.9 to 2.0 and maintained the ORP at approximately 600 mV. For PTE removal, the system achieved efficiencies of 89% for Zn, 85.89% for Cu, 66.3% for Pb, 77.89% for Cd, and 40.63% for Cr, respectively. In contrast, control groups lacking bacteria, applied current, or Fe3O4–GO exhibited significantly lower metal removal efficiencies. Notably, the bacteria-free treatment led to a more than 50% reduction in Cr removal. Additionally, the group with an unmodified anode only achieved 1/3 to 1/2 of the removal efficiencies observed in the full synergistic system; this discrepancy is likely attributed to reduced electron transfer efficiency and compromised microbial adhesion on the anode surface. These findings demonstrate that the coupling of electrochemical enhancement, acidophilic microbial activity, and Fe3O4–GO catalysis constitutes an effective and energy-efficient approach for remediating soils contaminated with high concentrations of PTEs while simultaneously minimizing the risk of secondary pollution. Full article
(This article belongs to the Section Toxicity Reduction and Environmental Remediation)
Show Figures

Figure 1

13 pages, 3254 KB  
Article
Achieving High Sensitivity and Linearity in Resistive Flexible Sensors Using FeNWs@Graphene as Conductive Fillers
by Lei Cui, Zhengfeng Cao, Chuan Chen, Qiang Zhang, Fangyuan Chang, Yan Xiao, Yiyang Tang, Lining Wu and Xiangyu Ge
Nanomaterials 2025, 15(21), 1673; https://doi.org/10.3390/nano15211673 - 4 Nov 2025
Viewed by 64
Abstract
There is a critical demand for flexible resistive sensors that combine high sensitivity with a wide linear range, fast response speed, and excellent long-term stability. This study presents the development of a high-performance resistive flexible sensor utilizing graphene-coated iron nanowires (Fe NWs@Graphene) as [...] Read more.
There is a critical demand for flexible resistive sensors that combine high sensitivity with a wide linear range, fast response speed, and excellent long-term stability. This study presents the development of a high-performance resistive flexible sensor utilizing graphene-coated iron nanowires (Fe NWs@Graphene) as conductive fillers within a polyurethane sponge (PUS) substrate. The sensor was constructed with a sandwich-like structure, consisting of Fe NWs@Graphene-impregnated PUS as the sensing layer, encapsulated by polydimethylsiloxane (PDMS) for protection. The Fe NWs were synthesized via a chemical reduction process employing an external magnetic field. Subsequent chemical vapor deposition enabled uniform graphene coating on the surface of Fe NWs. Systematic performance assessments demonstrated that the Fe NWs@Graphene flexible sensor exhibits a gauge factor (GF) of 14.5 within a 0–100% strain range, representing a 71% improvement over previously reported Fe NW-based strain sensors, along with excellent linearity (R2 = 0.994). The sensor also showed rapid response times (113 ms for loading and 97 ms for unloading) and outstanding cyclic stability over 3000 stretching cycles at 50% strain. These enhancements are attributed to the synergistic effects between Fe NWs and graphene: the graphene shell effectively protects the Fe NW core against oxidation, thereby improving stability, and facilitates efficient charge transport, while the Fe NWs serve as bridging agents that improve both mechanical integrity and electrical percolation. In addition, application tests simulating human motion detection confirmed the sensor’s ability to accurately capture muscle-induced strain signals with high repeatability. The results underscore the feasibility of Fe NWs@Graphene as conductive fillers for high-sensitivity, wide-range, and stable flexible sensors, highlighting the potential in wearable electronics and human–machine interaction systems. Full article
(This article belongs to the Special Issue Nanomaterials in Flexible Sensing and Devices)
Show Figures

Figure 1

14 pages, 3991 KB  
Article
Changes in Electrical Properties of Graphite Coatings Annealed in Air and Nitrogen Environments
by Yusof-den Jamasali, Abdul Mannan Majeed, Sandra Stanionytė, Valdas Šablinskas, Gediminas Kreiza, Algirdas Mekys and Patrik Ščajev
Appl. Sci. 2025, 15(21), 11727; https://doi.org/10.3390/app152111727 - 3 Nov 2025
Viewed by 201
Abstract
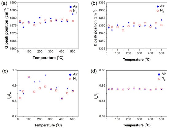
Graphite has fascinated researchers since its discovery because of its unique features and potential applications. Graphite can be applied as a coating onto other materials to tailor their functionality for specific device applications. In the present study, graphite spray was deposited onto glass [...] Read more.
Graphite has fascinated researchers since its discovery because of its unique features and potential applications. Graphite can be applied as a coating onto other materials to tailor their functionality for specific device applications. In the present study, graphite spray was deposited onto glass substrates and then annealed in air and in a N2 gas environment at different temperatures (50 °C to 500 °C). SEM, Raman, and XRD characterization techniques were employed. SEM showed the deposited graphite material has flake-like structures. Raman spectra reveal three prominent spectral bands at ~1350.91 cm−1, ~1579.19 cm−1 and ~2691.47 cm−1, which signify the G, D, and 2D vibrational modes of graphite, respectively. XRD results show three signature peaks of hexagonal graphene sheets at 2θ ≈ 26.4, 54.3, and 77.7 deg corresponding to (002), (004), and (110), respectively. Electrical conductivity of the films was investigated with the use of two- and four-probe methods. In a N2 gas environment, the annealing temperature did not have much effect on crystallinity, while significant changes in the conductivity of the graphite coatings were observed using different annealing temperatures. Full article
(This article belongs to the Section Electrical, Electronics and Communications Engineering)
Show Figures

Figure 1

31 pages, 2913 KB  
Review
Mitigation Techniques of Membranes’ Biofouling in Bioelectrochemical Cells (BEC Cells): Recent Advances
by Shatha Alyazouri, Muhammad Tawalbeh and Amani Al-Othman
Membranes 2025, 15(11), 332; https://doi.org/10.3390/membranes15110332 - 1 Nov 2025
Viewed by 385
Abstract
Biofouling remains a critical challenge in bioelectrochemical cells (BECs), hindering their efficiency and performance. This research article reviews advances in biofouling mitigation techniques within BEC systems during the period from 2019 to 2025, focusing on membrane modifications and electro-assisted membrane technologies. Through comprehensive [...] Read more.
Biofouling remains a critical challenge in bioelectrochemical cells (BECs), hindering their efficiency and performance. This research article reviews advances in biofouling mitigation techniques within BEC systems during the period from 2019 to 2025, focusing on membrane modifications and electro-assisted membrane technologies. Through comprehensive analysis, it is revealed that Nafion alternatives, including ceramic membranes and recycled nonwoven fabrics like polypropylene, have emerged as significant contenders due to their combination of low cost and high performance. Additionally, the incorporation of silver, zeolite, and graphene oxide onto membranes has demonstrated efficacy in mitigating biofouling under laboratory conditions. Furthermore, the application of direct current electric fields has shown potential as a chemical-free preventative measure against biofouling in BECs. However, challenges related to long-term stability, scalability, and cost-effectiveness must be addressed for widespread adoption. Full article
(This article belongs to the Section Membrane Applications for Energy)
Show Figures

Figure 1

41 pages, 887 KB  
Review
Advances in Photocatalytic Degradation of Crystal Violet Using ZnO-Based Nanomaterials and Optimization Possibilities: A Review
by Vladan Nedelkovski, Milan Radovanović and Milan Antonijević
ChemEngineering 2025, 9(6), 120; https://doi.org/10.3390/chemengineering9060120 - 1 Nov 2025
Viewed by 292
Abstract
The photocatalytic degradation of Crystal Violet (CV) using ZnO-based nanomaterials presents a promising solution for addressing water pollution caused by synthetic dyes. This review highlights the exceptional efficiency of ZnO and its modified forms—such as doped, composite, and heterostructured variants—in degrading CV under [...] Read more.
The photocatalytic degradation of Crystal Violet (CV) using ZnO-based nanomaterials presents a promising solution for addressing water pollution caused by synthetic dyes. This review highlights the exceptional efficiency of ZnO and its modified forms—such as doped, composite, and heterostructured variants—in degrading CV under both ultraviolet (UV) and solar irradiation. Key advancements include strategic bandgap engineering through doping (e.g., Cd, Mn, Co), innovative heterojunction designs (e.g., n-ZnO/p-Cu2O, g-C3N4/ZnO), and composite formations with graphene oxide, which collectively enhance visible-light absorption and minimize charge recombination. The degradation mechanism, primarily driven by hydroxyl and superoxide radicals, leads to the complete mineralization of CV into non-toxic byproducts. Furthermore, this review emphasizes the emerging role of Artificial Neural Networks (ANNs) as superior tools for optimizing degradation parameters, demonstrating higher predictive accuracy and scalability compared to traditional methods like Response Surface Methodology (RSM). Potential operational challenges and future directions—including machine learning-driven optimization, real-effluent testing potential, and the development of solar-active catalysts—are further discussed. This work not only consolidates recent breakthroughs in ZnO-based photocatalysis but also provides a forward-looking perspective on sustainable wastewater treatment strategies. Full article
Show Figures

Figure 1

19 pages, 3329 KB  
Article
Reduced Graphene Oxide Modulates Physiological Responses of Lemna minor Under Environmental Heavy Metal Stress
by Marco D’Eugenio, Barbara Casentini and M. Adelaide Iannelli
Environments 2025, 12(11), 407; https://doi.org/10.3390/environments12110407 - 1 Nov 2025
Viewed by 226
Abstract
The expanding development of graphene-based materials (GBMs) requires immediate and balanced environmental assessment balancing two key areas: investigating the risk of graphene oxide toxicity to ecosystems and evaluating GBMs’ potential to act as solutions for challenges like heavy metal stress mitigation. This study [...] Read more.
The expanding development of graphene-based materials (GBMs) requires immediate and balanced environmental assessment balancing two key areas: investigating the risk of graphene oxide toxicity to ecosystems and evaluating GBMs’ potential to act as solutions for challenges like heavy metal stress mitigation. This study analyzed the effects of reduced graphene oxide (rGO) on copper (Cu) and nickel (Ni) toxicity in Lemna minor. Our findings reveal that rGO’s protective effects are metal-specific. L. minor demonstrated significant sensitivity to nickel, but rGO offered no mitigation; growth parameters, pigment content, and nickel accumulation showed no significant improvements with rGO co-exposure compared to Ni-plants. This suggests that rGO does not enhance L. minor’s ability to tolerate or absorb nickel, especially after 14 days (T14). In contrast, rGO showed a partially protective effect against copper toxicity. At T14, the presence of rGO significantly improved plant performance under copper stress, resulting in a 17% increase in biomass, a 19% increase in relative growth rate, and enhanced pigment content, including a 40% increase in chlorophyll when compared to Cu-plants. The protective effect of rGO was directly tied to a 37% reduction in copper accumulation, providing strong evidence that rGO reduces copper’s bioavailability, thereby limiting plant uptake. The divergent effects on Cu and Ni uptake suggest differing affinities of these metals for rGO. Future research, including large-scale experiments with various GBMs and Lemna clones, is crucial to fully assessing their phytoremediation potential. Full article
Show Figures

Figure 1

21 pages, 8013 KB  
Article
Analysis of Microstructure Evolution, Mechanical Properties, and Strengthening Mechanisms in Extruded 2014Al-GNP Composites
by Junjie Xiong, Shaolong Ma, Jinsheng Zhou and Yu Zhou
Metals 2025, 15(11), 1213; https://doi.org/10.3390/met15111213 - 31 Oct 2025
Viewed by 112
Abstract
A 2014Al matrix composite reinforced with 0.8 wt.% graphene nanoplatelets (GNPs) was prepared by pre-dispersion and ultrasonic melt casting. Subsequently, the as-cast 2014Al-GNP composite was subjected to hot extrusion under different parameters, followed by a comparative analysis of the microstructure and properties of [...] Read more.
A 2014Al matrix composite reinforced with 0.8 wt.% graphene nanoplatelets (GNPs) was prepared by pre-dispersion and ultrasonic melt casting. Subsequently, the as-cast 2014Al-GNP composite was subjected to hot extrusion under different parameters, followed by a comparative analysis of the microstructure and properties of the various alloys. Microstructure and phase composition of the prepared samples were characterized using OM, SEM, EDS, EBSD and TEM inspections. The results indicate that the addition of GNPs effectively promoted the refinement of the as-cast matrix alloy microstructure, while hot extrusion with appropriate parameters further refined the microstructure of the as-cast matrix alloy. At an extrusion ratio of 16, the Al2Cu, Al2CuMg, and GNPs in the microstructure displayed a band-like distribution along the extrusion direction, with reduced size and enhanced uniformity. Concurrently, the dislocation density and Kernel Average Misorientation (KAM) values of the composite increased significantly, dynamic recrystallization intensified, and the texture was further enhanced. The tensile strength reached 572.1 MPa, hardness was 369.6 HV, and elongation was 11.9%, representing improvements of 89.0%, 92.0%, and 142.9%, respectively, compared to the as-cast matrix alloy. Fracture surface analysis exhibited brittle fracture characteristics in the matrix alloy, while the extruded composite with optimal parameters displayed distinct ductile fracture features. In the extruded aluminum matrix composite, the interface between GNPs and the matrix was clean, with mutual diffusion of Al and C atoms, achieving an excellent interfacial bonding state. The significant enhancement in mechanical properties of the extruded alloy was primarily attributed to grain refinement strengthening, dislocation strengthening, and load transfer strengthening by GNPs. Full article
Show Figures

Figure 1

18 pages, 10644 KB  
Article
Synergistic Integration of Polypyrrole, Graphene Oxide, and Silver Nanowires into Flexible Polymeric Films for EMI Shielding Applications
by Brankica Gajić, Marija Radoičić, Muhammad Yasir, Warda Saeed, Silvester Bolka, Blaž Nardin, Jelena Potočnik, Danica Bajuk-Bogdanović, Gordana Ćirić-Marjanović, Zoran Šaponjić and Svetlana Jovanović
Molecules 2025, 30(21), 4221; https://doi.org/10.3390/molecules30214221 - 29 Oct 2025
Viewed by 323
Abstract
The remarkable growth of high-frequency electronic systems has raised concerns about electromagnetic interference (EMI), emphasizing the need for lightweight and efficient shielding materials. In this study, ternary composites based on polypyrrole (PPy), graphene oxide (GO), and silver nanowires (AgNWs) were synthesized through chemical [...] Read more.
The remarkable growth of high-frequency electronic systems has raised concerns about electromagnetic interference (EMI), emphasizing the need for lightweight and efficient shielding materials. In this study, ternary composites based on polypyrrole (PPy), graphene oxide (GO), and silver nanowires (AgNWs) were synthesized through chemical oxidative polymerization of pyrrole monomer and embedded into polycaprolactone (PCL) matrices to create flexible films. Structural and morphological analyses confirmed the successful incorporation of all components, with scanning electron microscopy showing granular PPy, sheet-like GO, and fibrous AgNWs, while spectroscopic studies indicated strong interfacial interactions without damaging the PPy backbone. Thermomechanical analysis revealed that GO increased stiffness and defined the glass transition, whereas AgNWs improved toughness and energy dissipation; their combined use resulted in balanced properties. EMI shielding effectiveness (SE) was tested in the X-band (8–12 GHz). Pure PPy exhibited poor shielding ability, while the addition of GO and AgNWs significantly enhanced performance. The highest EMI SE values were observed in PPy/GO–AgNWs composites, with an average SE of 16.05 dB at 20 wt% of the composite in the PCL matrix, equivalent to about 84.4% attenuation of incident waves. These results demonstrate that the synergistic integration of GO and AgNWs into PPy matrices enables the creation of lightweight, flexible films with advanced EMI shielding properties, showing great potential for next-generation electronic and aerospace applications. Full article
(This article belongs to the Special Issue Nanoparticles for Environmental Applications)
Show Figures

Figure 1

15 pages, 3846 KB  
Article
Optimizing Biodegradable Poly(D,L-lactide) Scaffolds Reinforced with Graphene Oxide for Bone Tissue Regeneration
by Esperanza Díaz, Ander García, Xabier León, Yolanda Merodio, Sylvie Ribeiro and Senentxu Lanceros-Méndez
Biomimetics 2025, 10(10), 700; https://doi.org/10.3390/biomimetics10100700 - 15 Oct 2025
Viewed by 459
Abstract
This study investigates the potential of porous poly(D,L-lactide) (PDLLA) scaffolds reinforced with graphene oxide (GO) for bone tissue engineering applications. Scaffolds were fabricated using thermally induced phase separation (TIPS) and characterized in terms of morphology, biodegradation, thermal and mechanical properties, and cytocompatibility. The [...] Read more.
This study investigates the potential of porous poly(D,L-lactide) (PDLLA) scaffolds reinforced with graphene oxide (GO) for bone tissue engineering applications. Scaffolds were fabricated using thermally induced phase separation (TIPS) and characterized in terms of morphology, biodegradation, thermal and mechanical properties, and cytocompatibility. The incorporation of GO enhanced both mechanical strength and thermal stability, likely due to hydrogen bonding and electrostatic interactions between GO’s functional groups (carbonyl, carboxyl, epoxide, and hydroxyl) and PDLLA chains. In vitro degradation studies showed that GO accelerated degradation, while scaffolds with higher GO content retained superior mechanical strength. Cytotoxicity assays confirmed the biocompatibility of all scaffold variants, supporting their suitability for biomedical applications. Overall, the findings demonstrate how GO incorporation can modulate scaffold composition and performance. This provides insights for the design of improved systems for bone tissue regeneration. Full article
(This article belongs to the Special Issue Biomimicry and Functional Materials: 5th Edition)
Show Figures

Figure 1

20 pages, 3793 KB  
Article
Graphene Nanoplatelet-Embedded Urinary Catheters for Enhanced Photothermal Sterilization Against Bacterial Infections
by Nivedita, Kai-Yi Tzou, Muhammad Saukani and Tsung-Rong Kuo
Int. J. Mol. Sci. 2025, 26(20), 9922; https://doi.org/10.3390/ijms26209922 - 12 Oct 2025
Viewed by 321
Abstract
The escalating crisis of bacterial antimicrobial resistance poses a severe threat to global health, necessitating novel strategies beyond conventional antibiotics. Photothermal therapy (PTT) has emerged as a promising alternative that leverages heat generated by laser irradiation to induce localized cellular damage and eradicate [...] Read more.
The escalating crisis of bacterial antimicrobial resistance poses a severe threat to global health, necessitating novel strategies beyond conventional antibiotics. Photothermal therapy (PTT) has emerged as a promising alternative that leverages heat generated by laser irradiation to induce localized cellular damage and eradicate bacteria. Among various photothermal agents, carbon-based nanomaterials like graphene nanoplatelets (GNPs) offer exceptional properties for PTT applications. This study introduces a novel urinary catheter (UC) embedded with GNPs (GNPUC), specifically designed for photothermal sterilization to combat catheter-associated bacterial infections. GNPs were systematically incorporated into polydimethylsiloxane (PDMS) catheters at varying weight percentages (1% to 10%). The fabricated GNPUCs exhibited low wettability, hydrophobic characteristics, and low adhesiveness, properties that are crucial for minimizing bacterial interactions and initial adhesion. Upon exposure to near-infrared (NIR) laser irradiation (808 nm, 1.5 W/cm2), the UC containing 10 weight percent of GNPs (10GNPUC) achieved a significant temperature of 68.8 °C, demonstrating its potent photothermal conversion capability. Quantitative agar plate tests confirmed the enhanced, concentration-dependent photothermal antibacterial activity of GNPUCs against both Gram-negative Escherichia coli (E. coli) and Gram-positive Staphylococcus aureus (S. aureus). Notably, 5% and higher GNP concentrations achieved 100% mortality of S. aureus, while 1% and higher concentrations achieved 100% mortality of E. coli. These findings underscore the significant potential of GNP-embedded catheters as a highly effective photothermal antibacterial platform for future clinical applications in combating catheter-associated infections. Full article
(This article belongs to the Section Materials Science)
Show Figures

Figure 1

16 pages, 4687 KB  
Article
Iron-Doped Molybdenum Sulfide Nanoflowers on Graphene for High-Performance Supercapacitors
by Xuyang Li, Mingjian Zhao, Shuyi Li, Shiyuan Cheng, Yiting Zuo, Kaixuan Wang and Meng Guo
Molecules 2025, 30(20), 4045; https://doi.org/10.3390/molecules30204045 - 10 Oct 2025
Viewed by 335
Abstract
Supercapacitors (SCs) are widely acknowledged for their high-power density as energy storage devices; designing electrode materials with both high efficiency and exceptional energy density remains a significant challenge. In this study, a flower-like iron-doped molybdenum sulfide on graphene nanosheets (FMS/G) was synthesized through [...] Read more.
Supercapacitors (SCs) are widely acknowledged for their high-power density as energy storage devices; designing electrode materials with both high efficiency and exceptional energy density remains a significant challenge. In this study, a flower-like iron-doped molybdenum sulfide on graphene nanosheets (FMS/G) was synthesized through a simple, efficient, and scalable solvothermal approach. The FMS/G composite demonstrated exceptional performance when employed as both positive and negative electrodes, owing to the effective incorporation of iron into the MoS2 crystal lattice. This doping induces defects and facilitates abundant redox reactions, ultimately boosting electrochemical performance. The FMS/G composite demonstrates an ultrahigh specific capacitance of 931 F g−1 at 1 A g−1, along with excellent rate capability, retaining 582 F g−1 at 20 A g−1. It also exhibits remarkable cycling stability, maintaining 90.5% of its initial capacitance after 10,000 cycles. Furthermore, the assembled FMS/G-3//FMS/G-3 supercapacitor device achieves a superior energy density of 64.7 Wh kg−1 at a power density of 0.8 kW kg−1 with outstanding cycling stability, retaining 92% of its capacitance after 10,000 cycles. The remarkable capabilities of the flower-like FMS/G composite underscore its noteworthy potential for promoting effective energy storage systems. Full article
(This article belongs to the Section Inorganic Chemistry)
Show Figures

Figure 1

30 pages, 2315 KB  
Review
Progress in NiO Based Materials for Electrochemical Sensing Applications
by Praveen Kumar, Mohammad Aslam, Saood Ali, Khaled Hamdy, Khursheed Ahmad and Danishuddin
Biosensors 2025, 15(10), 678; https://doi.org/10.3390/bios15100678 - 9 Oct 2025
Viewed by 829
Abstract
Nickel oxide (NiO), a wide bandgap p-type semiconductor, has emerged as a promising material for electrochemical sensing owing to its excellent redox properties, chemical stability, and facile synthesis. Its strong electrocatalytic activity enables effective detection of diverse analytes, including glucose, hydrogen peroxide, environmental [...] Read more.
Nickel oxide (NiO), a wide bandgap p-type semiconductor, has emerged as a promising material for electrochemical sensing owing to its excellent redox properties, chemical stability, and facile synthesis. Its strong electrocatalytic activity enables effective detection of diverse analytes, including glucose, hydrogen peroxide, environmental pollutants, and biomolecules. Advances in nanotechnology have enabled the development of NiO-based nanostructures such as nanoparticles, nanowires, and nanoflakes, which offer enhanced surface area and improved electron transfer. Integration with conductive materials like graphene, carbon nanotubes, and metal–organic frameworks (MOFs) further enhance sensor performance through synergistic effects. Innovations in synthesis techniques, including hydrothermal, sol–gel, and green approaches, have expanded the applicability of NiO in next-generation sensing platforms. This review summarizes recent progress in the structural engineering, composite formation, and electrochemical mechanisms of NiO-based materials for advanced electrochemical sensing applications. Full article
Show Figures

Figure 1

18 pages, 2078 KB  
Review
The Role of Tribocatalysis in Friction and Wear: A Review
by Diana Berman and Ali Erdemir
Lubricants 2025, 13(10), 442; https://doi.org/10.3390/lubricants13100442 - 8 Oct 2025
Viewed by 831
Abstract
When exposed to high contact pressure and shear conditions, the sliding and/or rolling contact interfaces of moving mechanical systems can experience significant friction and wear losses, thereby impairing their efficiency, reliability, and environmental sustainability. Traditionally, these losses have been minimized using high-performance solid [...] Read more.
When exposed to high contact pressure and shear conditions, the sliding and/or rolling contact interfaces of moving mechanical systems can experience significant friction and wear losses, thereby impairing their efficiency, reliability, and environmental sustainability. Traditionally, these losses have been minimized using high-performance solid and liquid lubricants or surface engineering techniques like physical and chemical vapor deposition. However, increasingly harsh operating conditions of more advanced mechanical systems (including wind turbines, space mechanisms, electric vehicle drivetrains, etc.) render such traditional methods less effective or impractical over the long term. Looking ahead, an emerging and complementary solution could be tribocatalysis, a process that spontaneously triggers the formation of nanocarbon-based tribofilms in situ and on demand at lubricated interfaces, significantly reducing friction and wear even without the use of high-performance additives. These films often comprise a wide range of amorphous or disordered carbons, crystalline graphite, graphene, nano-onions, nanotubes, and other carbon nanostructures known for their outstanding friction and wear properties under the most demanding tribological conditions. This review highlights recent advances in understanding the underlying mechanisms involved in forming these carbon-based tribofilms, along with their potential applications in real-world mechanical systems. These examples underscore the scientific significance and industrial potential of tribocatalysis in further enhancing the efficiency, reliability, and environmental sustainability of future mechanical systems. Full article
(This article belongs to the Special Issue Tribo-Catalysis)
Show Figures

Graphical abstract

25 pages, 2285 KB  
Article
Rationally Designed Molecularly Imprinted Polymer Electrochemical Biosensor with Graphene Oxide Interface for Selective Detection of Matrix Metalloproteinase-8 (MMP-8)
by Jae Won Lee, Rowoon Park, Sangheon Jeon, Sung Hyun Kim, Young Woo Kwon, Dong-Wook Han and Suck Won Hong
Biosensors 2025, 15(10), 671; https://doi.org/10.3390/bios15100671 - 4 Oct 2025
Viewed by 688
Abstract
Molecularly imprinted polymer (MIP) biosensors offer an attractive strategy for selective biomolecule detection, yet imprinting proteins with structural fidelity remains a major challenge. In this work, we present a rationally designed electrochemical biosensor for matrix metal-loproteinase-8 (MMP-8), a key salivary biomarker of periodontal [...] Read more.
Molecularly imprinted polymer (MIP) biosensors offer an attractive strategy for selective biomolecule detection, yet imprinting proteins with structural fidelity remains a major challenge. In this work, we present a rationally designed electrochemical biosensor for matrix metal-loproteinase-8 (MMP-8), a key salivary biomarker of periodontal disease. By integrating graphene oxide (GO) with electropolymerized poly(eriochrome black T, EBT) films on screen-printed carbon electrodes, the partially reduced GO interface enhanced electrical conductivity and facilitated the formation of well-defined poly(EBT) films with re-designed polymerization route, while template extraction generated artificial antibody-like sites capable of specific protein binding. The MIP-based electrodes were comprehensively validated through morphological, spectroscopic, and electrochemical analyses, demonstrating stable and selective recognition of MMP-8 against structurally similar interferents. Complementary density functional theory (DFT) modeling revealed energetically favorable interactions between the EBT monomer and catalytic residues of MMP-8, providing molecular-level insights into imprinting specificity. These experimental and computational findings highlight the importance of rational monomer selection and nanomaterial-assisted polymerization in achieving selective protein imprinting. This work presents a systematic approach that integrates electrochemical engineering, nanomaterial interfaces, and computational validation to address long-standing challenges in protein-based MIP biosensors. By bridging molecular design with practical sensing performance, this study advances the translational potential of MIP-based electrochemical biosensors for point-of-care applications. Full article
(This article belongs to the Special Issue Molecularly Imprinted Polymers-Based Biosensors)
Show Figures

Graphical abstract

16 pages, 3301 KB  
Article
The Role of Graphite-like Materials in Modifying the Technological Properties of Rubber Composites
by Konstantin V. Vishnevskii, Pavel B. Kurmashov, Valeriy Golovakhin, Eugene A. Maksimovskiy, Huile Jin, Zhanna S. Shashok and Alexander G. Bannov
J. Compos. Sci. 2025, 9(10), 522; https://doi.org/10.3390/jcs9100522 - 1 Oct 2025
Viewed by 391
Abstract
In this work, general purpose rubber composites were created based on a mixture of non-polar cis-1,4-isoprene rubber and cis-1,4-divinyl rubber as components. The main filler used was carbon black, while various graphite-like materials (graphite oxide, reduced graphite oxide, expanded graphite, and graphite nanoplatelets) [...] Read more.
In this work, general purpose rubber composites were created based on a mixture of non-polar cis-1,4-isoprene rubber and cis-1,4-divinyl rubber as components. The main filler used was carbon black, while various graphite-like materials (graphite oxide, reduced graphite oxide, expanded graphite, and graphite nanoplatelets) served as additives. It was determined that the addition of these graphite-like materials resulted in a reduction in Mooney viscosity, with the introduction of graphene nanoplatelets having the most significant effect, contributing to a viscosity decrease of 8.5%. The relaxation rate increased, positively impacting elastic recovery and consequently reducing shrinkage. The introduction of graphite oxide, graphite nanoplatelets, and expanded graphite also increased the time to the onset of the vulcanization reaction; moreover, these additives lengthened the time needed to reach the optimum level of vulcanization. The addition of various graphite-like materials significantly affected the elongation at break, with the highest increase attributable to the addition of expanded graphite and reduced graphite oxide. It was found that the conditional tensile strength of these additives had little effect. Upon assessing the elastic-strength properties after aging, it was found that the inclusion of graphite-like materials reduced the elongation at break. Full article
(This article belongs to the Section Composites Manufacturing and Processing)
Show Figures

Graphical abstract

Back to TopTop