Sign in to use this feature.

Years

Between: -

Subjects

remove_circle_outline
remove_circle_outline
remove_circle_outline
remove_circle_outline
remove_circle_outline
remove_circle_outline
remove_circle_outline
remove_circle_outline
remove_circle_outline

Journals

Article Types

Countries / Regions

remove_circle_outline
remove_circle_outline
remove_circle_outline
remove_circle_outline

Search Results (436)

Search Parameters:
Keywords = graphene transfer method

Order results
Result details
Results per page
Select all
Export citation of selected articles as:
21 pages, 1551 KB  
Article
Efficient Thin-Film CdS-MoS2-rGO Photocathode Composite for Photoelectrochemical Hydrogen Evolution Reaction at Neutral pH
by Mohammed Alsultan, Ahmed Suhail, Mohammad Yonis and Hiyam Altaai
J. Compos. Sci. 2026, 10(5), 220; https://doi.org/10.3390/jcs10050220 - 22 Apr 2026
Abstract
A ternary CdS–MoS2–rGO photocathode was developed to enhance visible light-driven hydrogen evolution through interfacial heterostructure engineering. The composite was fabricated via a solution-based deposition method followed by thermal conversion, resulting in crystalline CdS and MoS2 phases that were uniformly integrated [...] Read more.
A ternary CdS–MoS2–rGO photocathode was developed to enhance visible light-driven hydrogen evolution through interfacial heterostructure engineering. The composite was fabricated via a solution-based deposition method followed by thermal conversion, resulting in crystalline CdS and MoS2 phases that were uniformly integrated within a conductive reduced graphene oxide (rGO) framework. Structural and surface analyses (XRD and XPS) confirmed the coexistence of Cd2+, Mo4+, and S2− chemical states without detectable secondary phases. Photoelectrochemical measurements revealed that the ternary architecture significantly improves charge separation efficiency and interfacial charge-transfer kinetics compared to binary and single-component films. The CdS–MoS2–rGO photocathode exhibited the highest photocurrent density, reduced charge-transfer resistance, and favorable Tafel slope under visible-light irradiation (0.25 sun, neutral electrolyte). Gas chromatography measurements verified that these electrochemical enhancements translate into increased hydrogen production rates, following the trend: CdS–MoS2–rGO > CdS–rGO > MoS2–rGO >> rGO. Applied bias photon-to-current efficiency (ABPE) analysis further confirmed improved photon utilization efficiency in the ternary system. The enhanced performance is attributed to synergistic integration of CdS (light harvesting), rGO (rapid electron transport), and MoS2 (catalytic edge sites), which suppresses recombination and accelerates proton reduction kinetics. These findings demonstrate that rational multi-component heterostructure design is an effective strategy for improving hydrogen evolution rate under mild operating conditions. Full article
(This article belongs to the Section Composites Manufacturing and Processing)
Show Figures

Graphical abstract

21 pages, 11243 KB  
Article
Anisotropic Graphene Aerogels with Integrated Metal–Polyphenol Networks and Thermoresponsive Functionality for Recyclable Photocatalytic Wastewater Treatment
by Na Zhang, Guifeng Tang, Nan Xiang, Huajun Sun, Yanan Hu and Chuanxing Wang
Nanomaterials 2026, 16(7), 415; https://doi.org/10.3390/nano16070415 - 30 Mar 2026
Viewed by 338
Abstract
Current strategies for treating organic dye wastewater are shifting from single-function removal processes and catalytic degradation methods toward more integrated treatment approaches. This study proposes a multifunctional composite integrating adsorption–photodegradation–intelligent recovery for photodegradation and recovery of methylene blue-contaminated wastewater. By optimizing the preparation [...] Read more.
Current strategies for treating organic dye wastewater are shifting from single-function removal processes and catalytic degradation methods toward more integrated treatment approaches. This study proposes a multifunctional composite integrating adsorption–photodegradation–intelligent recovery for photodegradation and recovery of methylene blue-contaminated wastewater. By optimizing the preparation process to precisely control the pore size and arrangement of the aerogel, a hierarchical porous framework with a high specific surface area is formed, featuring efficient mass transfer and ultra-multiple loading sites. The graphene framework enhances visible-light absorption by optimizing TiO2 loading, agglomeration behavior and addressing detachable defects through a metal–polyphenol network. After 60 min of illumination, the degradation efficiency exceeds 99.5%, demonstrating superior cycling stability. After 100 cycles, the photocatalytic efficiency remains above 97%, showcasing excellent durability. Furthermore, the in situ polymerized thermoresponsive poly (N-isopropylacrylamide) (PNIPAm) composite exhibits smart responsiveness, enabling reversible temperature-responsive adsorption–desorption behavior within PNIPAm’s LCST range. with an adsorption capacity of 28,000 mg/g at LCST. Heating above LCST desorbs 90.2% of the wastewater, and adsorption stability remains above 98% after 100 thermal cycles, resolving operational challenges in mechanical wastewater recovery. The synergistic integration of an anisotropic porous structure, stable TiO2 loading, and thermal responsiveness provides an efficient platform for integrated adsorption and recovery. Full article
(This article belongs to the Topic Functionalized Materials for Environmental Applications)
Show Figures

Figure 1

15 pages, 3382 KB  
Article
Detection of Synaptic Vesicle Glycoprotein 2A in Serum Using a Polypyrrole-Functionalized Graphene Oxide Electrochemical Immunosensor
by Yonghong Zhao, Le Li, Jiale Tao, Manying Yang, Chen Li, Xiaoqian Zhang, Yang Zhang, Shiguo Sun and Na Zhao
Nanomaterials 2026, 16(7), 397; https://doi.org/10.3390/nano16070397 - 25 Mar 2026
Viewed by 411
Abstract
Early intervention is pivotal for mitigating the progression of Alzheimer’s disease (AD). This study presents an electrochemical immunosensor targeting synaptic vesicle glycoprotein 2A (SV2A) to facilitate early AD diagnosis. A sensing interface was engineered using a nanocomposite of graphene oxide (GO) and 3-carboxyl [...] Read more.
Early intervention is pivotal for mitigating the progression of Alzheimer’s disease (AD). This study presents an electrochemical immunosensor targeting synaptic vesicle glycoprotein 2A (SV2A) to facilitate early AD diagnosis. A sensing interface was engineered using a nanocomposite of graphene oxide (GO) and 3-carboxyl polypyrrole (3-COOH-PPy). Leveraging the synergistic effects between the large specific surface area of GO and the superior conductivity of 3-COOH-PPy, the composite established an efficient electron transport network. This architecture provided abundant active sites for capture antibody immobilization while significantly enhancing interfacial electron transfer kinetics. Coupling this interface with an enzyme-mediated signal amplification strategy based on the horseradish peroxidase (HRP)-catalyzed TMB/H2O2 system, the immunosensor achieved high sensitivity. It exhibited a wide linear range of 2 ng/mL to 16 μg/mL with a low limit of detection (LOD) of 0.15 ng/mL. Furthermore, successful detection in C57 mouse serum samples validated the method’s reliability and potential for clinical application. In conclusion, this immunosensor offers a sensitive and robust platform for the early diagnosis of AD. Full article
Show Figures

Figure 1

12 pages, 1619 KB  
Article
A Target-Displaced Aptamer–cDNA Duplex Strategy on ERGO for Ultrasensitive Turn-On Electrochemical Detection of Ochratoxin A
by Intan Gita Lestari, Seung Joo Jang and Tae Hyun Kim
Sensors 2026, 26(6), 1937; https://doi.org/10.3390/s26061937 - 19 Mar 2026
Viewed by 480
Abstract
Ochratoxin A (OTA) is a highly toxic mycotoxin commonly detected in food and agricultural products, requiring sensitive analytical methods for reliable monitoring. Herein, we report an ultrasensitive turn-on electrochemical aptasensor for OTA detection based on a target-induced displacement of an aptamer–complementary DNA (cDNA) [...] Read more.
Ochratoxin A (OTA) is a highly toxic mycotoxin commonly detected in food and agricultural products, requiring sensitive analytical methods for reliable monitoring. Herein, we report an ultrasensitive turn-on electrochemical aptasensor for OTA detection based on a target-induced displacement of an aptamer–complementary DNA (cDNA) duplex assembled on an electrochemically reduced graphene oxide (ERGO)-modified glassy carbon electrode (GCE). In the absence of OTA, a methylene blue (MB)-labeled aptamer hybridized with cDNA is immobilized on the ERGO surface via π–π stacking interactions, forming a rigid duplex that suppresses electron transfer and yields a low electrochemical signal. Upon OTA binding, the aptamer undergoes a conformational transition into a G-quadruplex structure, leading to dissociation of the cDNA strand. This target-induced folding brings the MB redox tag into close proximity to the ERGO surface, markedly accelerating electron transfer and enhancing the cathodic reduction current of MB, thereby producing a pronounced signal-on response in square-wave voltammetry (SWV). The ERGO-modified electrode provides a conductive and stable interface without chemical linkers. Under optimized conditions, the aptasensor shows a linear response to OTA from 10 fM to 100 pM with an ultralow LOD of 0.67 fM, together with high selectivity, good reproducibility, and satisfactory stability. This work demonstrates a simple and effective turn-on aptasensing strategy for sensitive electrochemical detection of OTA. Full article
(This article belongs to the Special Issue Advances in Nanomaterial-Based Electrochemical and Optical Biosensors)
Show Figures

Figure 1

18 pages, 2478 KB  
Article
Rapid Detection of Fumonisin B1 Using a Fluorescent Aptasensor with Plasmon-Modified Graphene Oxide as a Quencher
by Yi Jiao, Xiaoqing Yang, Junping Hao, Yuhang Wen, Shanshan Wang, Jingbo Zhang, Hengchao E, Zhiyong Zhao, Jianhua Wang and Xianli Yang
Biosensors 2026, 16(2), 133; https://doi.org/10.3390/bios16020133 - 22 Feb 2026
Viewed by 947
Abstract
Fumonisin B1 (FB1) is a secondary metabolite produced by Fusarium species, exhibiting strong toxicity and classified as a Group 2B carcinogen by the International Agency for Research on Cancer. It poses a significant threat to both human and animal health. Therefore, developing a [...] Read more.
Fumonisin B1 (FB1) is a secondary metabolite produced by Fusarium species, exhibiting strong toxicity and classified as a Group 2B carcinogen by the International Agency for Research on Cancer. It poses a significant threat to both human and animal health. Therefore, developing a simple and reliable method for FB1 detection and analysis is imperative. In this study, a biosensor based on nucleic acid aptamers was developed, utilizing plasma-modified graphene oxide (mGO) as a fluorescence quencher for FB1 detection. This system leverages the interaction between mGO and FAM-APT (a nucleic acid aptamer labeled with 5-carboxyfluorescein, FAM), achieving fluorescence quenching through fluorescence resonance energy transfer (FRET) under excitation at 490 nm and emission at 520 nm. In the presence of FB1, FAM-APT specifically binds to FB1 and dissociates from the mGO surface, resulting in fluorescence recovery. Quantitative detection of FB1 was achieved by measuring the differential fluorescence intensity. The biosensor demonstrated excellent linearity over a concentration range of 10 to 5 × 106 ng/L, with a detection limit (LOD) as low as 0.16 μg/L. Additionally, the sensor exhibited high specificity for FB1 among six common mycotoxins. In practical sample analysis, recovery rates ranged from 95.8% to 104.7% in corn samples and from 89.3% to 94.5% in rice samples. This aptamer-based biosensor features a simple structure, high sensitivity, and a wide detection range, providing important technical support for advancing mycotoxin research. Full article
(This article belongs to the Special Issue Advanced Biosensors Based on Molecular Recognition)
Show Figures

Figure 1

12 pages, 2796 KB  
Article
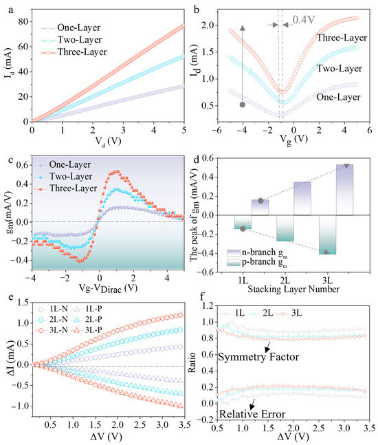
Highly Efficient Conductivity Modulation via Stacked Multi-Gate Graphene Ambipolar Transistors
by Changbin Nie, Hongchen Zhang, Xianning Zhang, Feiying Sun, Jun Liu and Xingzhan Wei
Nanomaterials 2026, 16(3), 218; https://doi.org/10.3390/nano16030218 - 6 Feb 2026
Viewed by 416
Abstract
The exceptional adjustability and ambipolar behavior of graphene offer significant potential for next-generation optoelectronics, where the conductivity of graphene is primarily modulated by the interface field of heterojunction. However, interface defects, which are inevitably introduced during fabrication, severely limit the effectiveness of gate [...] Read more.
The exceptional adjustability and ambipolar behavior of graphene offer significant potential for next-generation optoelectronics, where the conductivity of graphene is primarily modulated by the interface field of heterojunction. However, interface defects, which are inevitably introduced during fabrication, severely limit the effectiveness of gate voltage modulation. Although the layer-by-layer transfer method can effectively enhance conductivity, it also raises the carrier concentration and impairs the symmetry of ambipolar characteristics. This work presents a stacked multi-gate graphene transistor in which synergistic modulation enables efficient regulation of channel conductivity while maintaining low carrier concentration. Simulations are carried out to analyze how mobility, doping concentration, and the number of stacking layers influence the modulation of conductivity. Experimentally, a three-layer stacked graphene structure with distributed source and drain electrodes is fabricated. The device exhibits pronounced ambipolar transfer characteristics and demonstrates a clear improvement in transconductance compared to its conventional one-layer graphene counterpart. This research offers a feasible design strategy for high-performance, vertically integrated graphene-based electronic devices. Full article
Show Figures

Figure 1

13 pages, 3685 KB  
Article
Boron Theranostic Nanoplatform Utilizing a GO@Carborane@Au Hybrid Framework for Targeted Delivery
by Václav Ranc and Ludmila Žárská
Pharmaceutics 2026, 18(2), 188; https://doi.org/10.3390/pharmaceutics18020188 - 31 Jan 2026
Viewed by 690
Abstract
Background: Boron neutron capture therapy (BNCT) represents a highly selective therapeutic modality for recalcitrant cancers, leveraging the nuclear reaction initiated by thermal neutron capture in boron-10 (10B) to deliver high-linear energy transfer radiation (α-particles and 7Li ions) directly within tumor [...] Read more.
Background: Boron neutron capture therapy (BNCT) represents a highly selective therapeutic modality for recalcitrant cancers, leveraging the nuclear reaction initiated by thermal neutron capture in boron-10 (10B) to deliver high-linear energy transfer radiation (α-particles and 7Li ions) directly within tumor cell boundaries. However, the widespread clinical adoption of BNCT is critically hampered by the pharmacological challenge of achieving sufficiently high, tumor-selective intracellular 10B concentrations (20–50 μg of 10B/g tissue). Conventional small-molecule boron carriers often exhibit dose-limiting non-specificity, rapid systemic clearance, and poor cellular uptake kinetics. Methods: To overcome these delivery barriers, we synthesized and characterized a novel dual-modality nanoplatform based on highly biocompatible, functionalized graphene oxide (GO). This platform was structurally optimized via covalent conjugation with high-boron content carborane clusters (dodecacarborane derivatives) for enhanced BNCT efficacy. Crucially, the nanocarrier was further decorated with plasmonic gold nanostructures (AuNPs), endowing the system with intrinsic surface-enhanced Raman scattering (SERS) properties, enabling real-time, high-resolution intracellular tracking and quantification. Results: We evaluated the synthesized GO@Carborane@Au nanoplatforms for their stability, cytotoxicity, and internalization characteristics. Cytotoxicity assays demonstrated excellent biocompatibility against the non-malignant human keratinocyte line (HaCaT) while showing selective toxicity (upon irradiation, if tested) and high cellular uptake efficiency in the aggressive human glioblastoma tumor cell line (T98G). The integrated plasmonic component allowed for the successful, non-destructive monitoring of nanoplatform delivery and accumulation within both HaCaT and T98G cells using SERS microscopy, confirming the potential for pharmacokinetic and biodistribution studies in vivo. Conclusions: This work details the successful synthesis and preliminary in vitro validation of a unique graphene oxide-based dual-modality nanoplatform designed to address the critical delivery and monitoring challenges of BNCT. By combining highly efficient carborane delivery with an integrated photonic trace marker, this system establishes a robust paradigm for next-generation theranostic agents, significantly advancing the potential for precision, image-guided BNCT for difficult-to-treat cancers like glioblastoma. Full article
(This article belongs to the Topic Advanced Nanocarriers for Targeted Drug and Gene Delivery)
Show Figures

Graphical abstract

52 pages, 5391 KB  
Review
Graphene/CNT Nanocomposites: Processing, Properties, and Applications
by Sachin Kumar Sharma, Slavica Miladinović, Lokesh Kumar Sharma, Sandra Gajević, Yogesh Sharma, Mohit Sharma, Stefan Čukić and Blaža Stojanović
Nanomaterials 2026, 16(2), 100; https://doi.org/10.3390/nano16020100 - 12 Jan 2026
Cited by 4 | Viewed by 1767
Abstract
Carbon nanotube (CNT) and graphene-reinforced nanocomposites have become exceptional multifunctional materials because of their exceptional mechanical, thermal, and electrical properties. Recent developments in synthesis methods, dispersion strategies, and interfacial engineering have effectively overcome agglomeration-related limitations by significantly improving filler distribution, matrix compatibility, and [...] Read more.
Carbon nanotube (CNT) and graphene-reinforced nanocomposites have become exceptional multifunctional materials because of their exceptional mechanical, thermal, and electrical properties. Recent developments in synthesis methods, dispersion strategies, and interfacial engineering have effectively overcome agglomeration-related limitations by significantly improving filler distribution, matrix compatibility, and load-transfer efficiency. These nanocomposites have better wear durability, corrosion resistance, and surface properties like super-hydrophobicity. A comparative analysis of polymer, metal, and ceramic matrices finds benefits for applications in biomedical, construction, energy, defense, and aeronautics. Functionally graded architecture, energy-harvesting nanogenerators, and additive manufacturing are some of the new fabrication processes that enhance design flexibility and functional integration. In recent years, scalability, life-cycle evaluation, and environmentally friendly processing have all gained increased attention. The development of next-generation, high-performance graphene and carbon nanotube (CNT)-based nanocomposites is critically reviewed in this work, along with significant obstacles and potential next steps. Full article
(This article belongs to the Section 2D and Carbon Nanomaterials)
Show Figures

Figure 1

12 pages, 2502 KB  
Article
A First-Principles Study of Lithium Adsorption and Diffusion on Graphene and Defective-Graphene as Anodes of Li-Ion Batteries
by Lina Si, Yijian Yang, Yuhao Wang, Qifeng Wu, Rong Huang, Hongjuan Yan, Mulan Mu, Fengbin Liu and Shuting Zhang
Coatings 2026, 16(1), 52; https://doi.org/10.3390/coatings16010052 - 3 Jan 2026
Viewed by 921
Abstract
Defective graphene has emerged as a promising strategy to enhance electrochemical performance of pristine graphene (p-Gr) as anodes in lithium-ion batteries (LIBs). Herein, we perform a comprehensive first-principles study based on density functional theory (DFT) to systematically investigate the Li adsorption, charge transfer, [...] Read more.
Defective graphene has emerged as a promising strategy to enhance electrochemical performance of pristine graphene (p-Gr) as anodes in lithium-ion batteries (LIBs). Herein, we perform a comprehensive first-principles study based on density functional theory (DFT) to systematically investigate the Li adsorption, charge transfer, and diffusion behaviors of p-Gr and defective graphene (d-Gr) with single vacancy (SV Gr) and double vacancy (DV5-8-5 Gr) defects, aiming to clarify the mechanism by which defects modulate Li storage performance. Structural optimization reveals that SV Gr undergoes notable out-of-plane distortion after Li adsorption, while DV5-8-5 Gr retains planar geometry but exhibits more significant C-C bond length variations compared to p-Gr. Binding energy results confirm that defects enhance Li adsorption stability, with DV5-8-5 Gr showing the strongest Li–graphene interaction, followed by SV Gr and p-Gr. Bader charge analysis and charge density difference plots further validate that defects enhance charge transfer from Li ions to graphene. Using the nudged elastic band (NEB) method, we find that defects reduce Li diffusion barriers: DV5-8-5 Gr exhibits a lower barrier than p-Gr. Our findings demonstrate that DV5-8-5 Gr exhibits the most favorable Li storage performance, providing a robust theoretical basis for designing high-performance graphene anodes for next-generation LIBs. Full article
Show Figures

Figure 1

25 pages, 1343 KB  
Review
A Critical Review of Diffusion—Thermomechanical and Composite Reinforcement Approaches for Surface Hardening of Aluminum Alloys and Matrix Composites
by Narayana Swamy Rangaiah, Ananda Hegde, Sathyashankara Sharma, Gowrishankar Mandya Channegowda, Umanath R. Poojary and Niranjana Rai
J. Compos. Sci. 2025, 9(12), 689; https://doi.org/10.3390/jcs9120689 - 12 Dec 2025
Viewed by 1537
Abstract
Aluminum alloys require improved surface performance to satisfy the demands of today’s aerospace, automotive, marine, and structural applications. This paper compares three key surface hardening methods: diffusion-assisted microalloying, thermomechanical deformation-based treatments, and composite/hybrid reinforcing procedures. Diffusion-assisted Zn/Mg enrichment allows for localized precipitation hardening [...] Read more.
Aluminum alloys require improved surface performance to satisfy the demands of today’s aerospace, automotive, marine, and structural applications. This paper compares three key surface hardening methods: diffusion-assisted microalloying, thermomechanical deformation-based treatments, and composite/hybrid reinforcing procedures. Diffusion-assisted Zn/Mg enrichment allows for localized precipitation hardening but is limited by the native Al2O3 barrier, slow solute mobility, alloy-dependent solubility, and shallow hardened depths. In contrast, thermomechanical techniques such as shot peening, surface mechanical attrition treatment (SMAT), and laser shock peening produce ultrafine/nanocrystalline layers, high dislocation densities, and deep compressive residual stresses, allowing for predictable increases in hardness, fatigue resistance, and corrosion performance. Composite and hybrid reinforcement systems, such as SiC, B4C, graphene, and graphite-based aluminum matrix composites (AMCs), use load transfer, Orowan looping, interfacial strengthening, and solid lubrication effects to enhance wear resistance and through-thickness strengthening. Comparative evaluations show that, while diffusion-assisted procedures are still labor-intensive and solute-sensitive, thermomechanical treatments are more industrially established and scalable. Composite and hybrid systems provide the best tribological and load-bearing performance but necessitate more sophisticated processing approaches. Recent corrosion studies show that interfacial chemistry, precipitate distribution, and galvanic coupling all have a significant impact on pitting and stress corrosion cracking (SCC). These findings highlight the importance of treating corrosion as a fundamental design variable in all surface hardening techniques. This work uses unified tables and drawings to provide a thorough examination of strengthening mechanisms, corrosion and fatigue behavior, hardening depth, alloy suitability, and industrial feasibility. Future research focuses on overcoming diffusion barriers, establishing next-generation gradient topologies and hybrid processing approaches, improving strength ductility corrosion trade-offs, and utilizing machine-learning-guided alloy design. This research presents the first comprehensive framework for selecting multifunctional aluminum surfaces in demanding aerospace, automotive, and marine applications by seeing composite reinforcements as supplements rather than strict alternatives to diffusion-assisted and thermomechanical approaches. Full article
(This article belongs to the Section Metal Composites)
Show Figures

Figure 1

24 pages, 3986 KB  
Article
From Cellulose to Functional Electrode SCNF:rGO Hybrid Films for Electrochemical Applications
by Josefa Silva, José Raúl Sosa-Acosta, Galo Ramírez, Katherina Fernández and Rodrigo del Rio
Polymers 2025, 17(23), 3225; https://doi.org/10.3390/polym17233225 - 4 Dec 2025
Cited by 1 | Viewed by 715
Abstract
Sulfated nanocellulose (SCNF) and reduced graphene oxide (rGO) films were fabricated through environmentally friendly methods to develop an effective platform for electrochemical applications. The hybrid materials were extensively characterized by FTIR, XRD, Raman spectroscopy, TGA, SEM, cyclic voltammetry (CV), and electrochemical impedance spectroscopy [...] Read more.
Sulfated nanocellulose (SCNF) and reduced graphene oxide (rGO) films were fabricated through environmentally friendly methods to develop an effective platform for electrochemical applications. The hybrid materials were extensively characterized by FTIR, XRD, Raman spectroscopy, TGA, SEM, cyclic voltammetry (CV), and electrochemical impedance spectroscopy (EIS). Results showed that incorporating rGO into the SCNF matrix significantly improved the electrical conductivity and structural robustness of the films. FTIR confirmed interactions between sulfate groups on cellulose and residual oxygen-containing groups on rGO, while XRD and Raman analyses indicated reduced crystallinity and increased structural disorder, supporting the successful integration of both phases. XPS further demonstrated that SCNF and rGO form chemical bonds rather than simply mixing, with both components remaining active at the surface—evidence of strong interfacial interactions that contribute to enhanced stability and efficient charge transfer. The 1:5 (rGO:SCNF) composition showed the best electrochemical performance, exhibiting minimal charge-transfer resistance and improved hydrazine oxidation, as reflected by a shift of the anodic peak potential toward lower values. Additionally, functionalization with cobalt porphyrin significantly boosted catalytic activity. Overall, the SCNF:rGO films offer a sustainable and scalable platform for electrochemical sensing and energy-conversion applications, demonstrating excellent adaptability and functional performance. Full article
(This article belongs to the Topic Application of Graphene-Based Materials, 2nd Edition)
Show Figures

Figure 1

10 pages, 1717 KB  
Article
First-Principles Study of Biaxial Strain Effects on Schottky Barrier Modulation in Graphene/ZnSe Heterostructures
by Guowang Pang, Xue Wen, Lili Zhang and Yineng Huang
Nanomaterials 2025, 15(23), 1816; https://doi.org/10.3390/nano15231816 - 1 Dec 2025
Cited by 1 | Viewed by 509
Abstract
Reducing the Schottky barrier at the metal–semiconductor interface and achieving Ohmic contact is crucial for the development of high-performance Schottky field-effect transistors. This paper investigates the stability, interface interactions, interlayer charge transfer, and types of Schottky contacts in the graphene/ZnSe heterostructure structure using [...] Read more.
Reducing the Schottky barrier at the metal–semiconductor interface and achieving Ohmic contact is crucial for the development of high-performance Schottky field-effect transistors. This paper investigates the stability, interface interactions, interlayer charge transfer, and types of Schottky contacts in the graphene/ZnSe heterostructure structure using first-principles methods. It employs biaxial strain as a control mechanism. The results indicate that applying compressive strain increases the barrier and band gap while maintaining n-type contact; whereas tensile strain reduces the n-type barrier to negative values, inducing Ohmic contact and decreasing the band gap. The findings of this study will provide theoretical references for the design and fabrication of field-effect transistors, photodetectors, and other optoelectronic devices. Full article
(This article belongs to the Special Issue Graphene and 2D Material-Based Photodetectors)
Show Figures

Figure 1

19 pages, 3969 KB  
Article
Surface Plasmon Resonance and Reduced Graphene Oxide for Optical Ion Monitoring in Water: A Numerical Modeling
by Talia Tene, Edison Patricio Villacres Cevallos, María de Lourdes Palacios Robalino, Lorenzo S. Caputi, Salvatore Straface and Cristian Vacacela Gomez
Photonics 2025, 12(12), 1162; https://doi.org/10.3390/photonics12121162 - 26 Nov 2025
Cited by 3 | Viewed by 673
Abstract
In this work, we analyze how the coupling prism governs the performance of reduced-graphene-oxide (rGO)-assisted surface plasmon resonance (SPR) sensors for trace heavy-metal detection in water. A Kretschmann multilayer at 633 nm with a fixed Cu/Si3N4/rGO stack (45.0/5.00/1.41 nm) [...] Read more.
In this work, we analyze how the coupling prism governs the performance of reduced-graphene-oxide (rGO)-assisted surface plasmon resonance (SPR) sensors for trace heavy-metal detection in water. A Kretschmann multilayer at 633 nm with a fixed Cu/Si3N4/rGO stack (45.0/5.00/1.41 nm) is modeled by transfer-matrix methods while varying the prism material among CaF2, BK7, SiO2, and SF6. Performance optimization is carried out using angular sensitivity, full width at half maximum (FWHM), figure of merit (FoM), detection accuracy (DA), quality factor (QF), and a practical limit of detection (LoD). The analyte is represented by refractive-index typical of clean and contaminated water (n = 1.330 and 1.340). SF6 yields the narrowest angular resonances but compresses analyte-induced angle spacing; CaF2 provides larger analyte separations and consequently higher FoM and lower LoD under angle-encoded readout. The rGO interlayer enhances surface interaction across all prisms when co-tuned with the Cu and Si3N4 thicknesses. The sensitivity peaks around 310–320°·RIU−1 for CaF2. These results highlight the prism as a primary design variable in rGO-enhanced SPR sensing and position CaF2-coupled architectures as promising for compact water-quality monitoring. Full article
Show Figures

Figure 1

18 pages, 2255 KB  
Article
Performance Evaluation of Black Phosphorus and Graphene Layers Using Surface Plasmon Resonance Biosensor for the Detection of CEA Antigens
by Rajeev Kumar, Prem Kumar, Tae Soo Yun and Mangal Sain
Photonics 2025, 12(11), 1105; https://doi.org/10.3390/photonics12111105 - 9 Nov 2025
Cited by 4 | Viewed by 1037
Abstract
The biomarker carcinoembryonic antigen (CEA) plays an important role in the diagnosis and monitoring of cancer, like breast, surveillance, colon, and liver cancer. The highly sensitive surface plasmon resonance (SPR) sensor presented in this work uses two-dimensional (2D) materials: BP/graphene, and the franckeite [...] Read more.
The biomarker carcinoembryonic antigen (CEA) plays an important role in the diagnosis and monitoring of cancer, like breast, surveillance, colon, and liver cancer. The highly sensitive surface plasmon resonance (SPR) sensor presented in this work uses two-dimensional (2D) materials: BP/graphene, and the franckeite layer integrated in a Kretschmann configuration. The sensor structure, which includes a copper (Cu) layer and a CaF2 prism, is intended to detect CEA in aqueous solutions with high accuracy. The proposed sensor’s performance was assessed using the transfer matrix method (TMM), with particular attention paid to important metrics like sensitivity, figure of merit (FoM), detection accuracy (DA), and penetration depth (PD). The proposed sensor achieved a sensitivity of 307.50 deg/RIU and a FoM of 61.62/RIU at a Rmin value of 4.20 × 10−5 a.u. at a 40 nm Cu thickness, operating at a wavelength of 633 nm. The maximum sensitivity of 348.07 deg/RIU was achieved at 47 nm Cu thickness with BP layer, while the graphene layer yielded maximum sensitivity of 314.32 deg/RIU at the same Cu thickness. The results show that adding 2D layered materials to symmetric SPR sensors greatly improves detection performance, providing a promising foundation for the detection of clinical biomarkers in the future. Full article
(This article belongs to the Special Issue Advances in Optical Sensors and Applications)
Show Figures

Figure 1

22 pages, 5674 KB  
Article
Numerical Modeling and Multiscale Evaluation of Fe3O4–Graphene Oxide Nanofluids in Electromagnetic Heating for Colombian Heavy Oil Recovery
by Paola A. León, Andres F. Ortíz, Jimena Gómez-Delgado, Daniela Barrera, Fabian Tapias, Nicolas Santos and Enrique Mejía-Ospino
Energies 2025, 18(22), 5868; https://doi.org/10.3390/en18225868 - 7 Nov 2025
Viewed by 707
Abstract
Electromagnetic heating (EMH) using microwaves has emerged as a promising enhanced oil recovery (EOR) technique, particularly for heavy crude oils where conventional thermal methods encounter technical and environmental challenges. However, its large-scale implementation remains limited due to incomplete understanding of its energy transfer [...] Read more.
Electromagnetic heating (EMH) using microwaves has emerged as a promising enhanced oil recovery (EOR) technique, particularly for heavy crude oils where conventional thermal methods encounter technical and environmental challenges. However, its large-scale implementation remains limited due to incomplete understanding of its energy transfer mechanisms. This study proposes an experimental–numerical approach integrating magnetic graphene oxide nanoparticles (Fe3O4@GO) with microwave heating to enhance energy absorption near the wellbore. The nanomaterial was synthesized via a modified Hummer’s method followed by in situ magnetite precipitation and studied through multiple material characterization techniques showing uniform 80 nm particles with superparamagnetic behavior—ideal for EMH applications. Nine experiments were conducted on sand–heavy-oil–water systems with nanoparticle concentrations up to 500 ppm using a laboratory microwave heating prototype. A simulation model was then developed in CMG-STARS for history matching to estimate energy absorption as a function of saturation and nanoparticle concentration. Experiments reached temperatures up to 240 °C, with 653 MJ of effective heat transferred to the target zone over 55 h, as estimated from the input heat required in the simulator for history matching. The results confirm that magnetic graphene oxide nanoparticles enhance thermal efficiency and heat distribution in microwave-assisted EOR. Full article
Show Figures

Figure 1

Back to TopTop